Sign in to use this feature.

Years

Between: -

Subjects

remove_circle_outline
remove_circle_outline
remove_circle_outline
remove_circle_outline
remove_circle_outline
remove_circle_outline
remove_circle_outline
remove_circle_outline
remove_circle_outline

Journals

remove_circle_outline
remove_circle_outline
remove_circle_outline
remove_circle_outline
remove_circle_outline
remove_circle_outline
remove_circle_outline
remove_circle_outline
remove_circle_outline
remove_circle_outline

Article Types

Countries / Regions

remove_circle_outline
remove_circle_outline
remove_circle_outline
remove_circle_outline
remove_circle_outline
remove_circle_outline

Search Results (989)

Search Parameters:
Keywords = soil structure degradation

Order results
Result details
Results per page
Select all
Export citation of selected articles as:
21 pages, 4009 KB  
Article
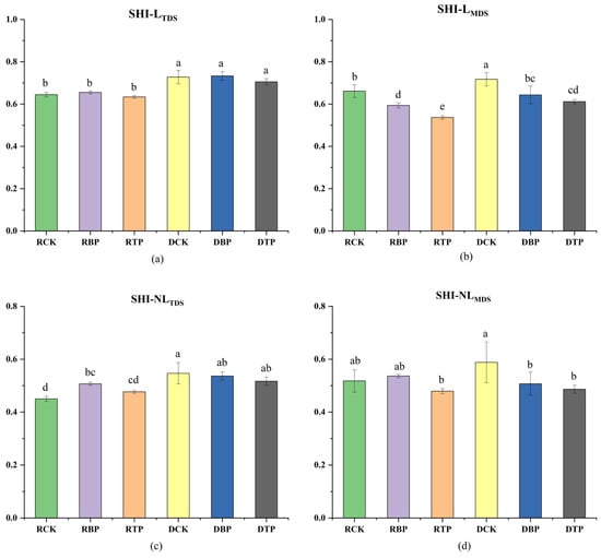
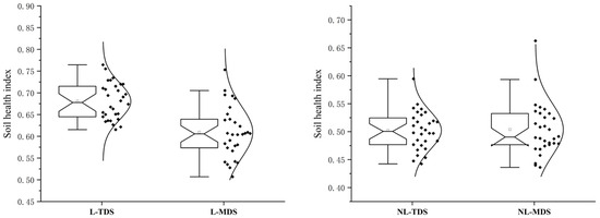
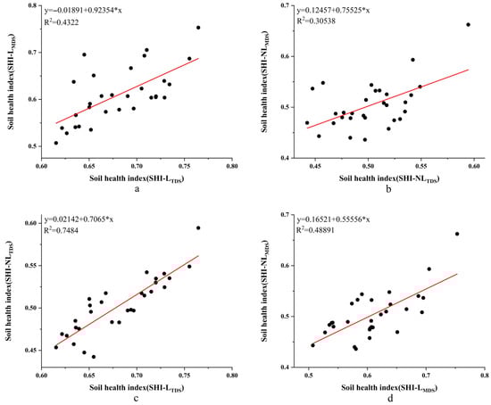
Evaluation of Soil Health of Panax notoginseng Forest Plantations Based on Minimum Data Set
by Wenqi Tang, Jianqiang Li, Huiying Yan, Lianling Cha, Yuan Yang and Linling Wang
Forests 2025, 16(12), 1869; https://doi.org/10.3390/f16121869 - 17 Dec 2025
Abstract
Healthy soil serves as the fundamental basis for sustainable Panax notoginseng (Burkill) F.H. Chen ex C.Y. Wu & K.M. Feng cultivation in understory systems. Current management practices have raised concerns about potential soil degradation and ecological imbalance. To comprehensively assess the soil health [...] Read more.
Healthy soil serves as the fundamental basis for sustainable Panax notoginseng (Burkill) F.H. Chen ex C.Y. Wu & K.M. Feng cultivation in understory systems. Current management practices have raised concerns about potential soil degradation and ecological imbalance. To comprehensively assess the soil health status, this study investigated typical understory P. notoginseng plantations in the subtropical mountain monsoon region of western Yunnan. By analyzing 29 soil physical, chemical, and biological indicators, we constructed a Minimum Data Set (MDS) using Principal Component Analysis to evaluate soil health and identify major constraints. The results showed that the MDS for soil health assessment consisted of 11 key indicators: acid phosphatase, fungal ACE index, organic matter, total nitrogen, sucrase, fungal Simpson index, fine sand, non-capillary porosity, silt content, bulk density, and microbial biomass nitrogen. Using both linear and non-linear scoring functions, the Soil Health Index (SHI) calculated based on the MDS showed a significant positive correlation with the SHI derived from the Total Data Set (TDS) (linear scoring: R2 = 0.43, p < 0.001; non-linear scoring: R2 = 0.305, p < 0.001). This indicates that the MDS captures a substantial and significant portion of the variation explained by the TDS and can serve as a practical and simplified alternative for soil health evaluation in this cultivation system. Based on the MDS, the SHI values obtained using linear and non-linear scoring functions ranged from 0.53 to 0.72 and 0.48–0.59, with mean values of 0.62 and 0.51, respectively, indicating moderate soil health status in the study area. Significant differences in SHI were observed across planting durations and seasons (p < 0.05), with two-year-old plantations showing notably better soil health indices than three-year-old plantations, particularly during the rainy season. The main constraints identified in understory P. notoginseng plantations included microbial community degradation, nutrient imbalance, and physical structural deterioration. Implementing scientific soil management strategies such as optimized rotation cycles, organic amendment applications, and microbial community regulation can effectively mitigate these soil constraints, enhance soil health, and promote the sustainable development of understory P. notoginseng cultivation. Full article
(This article belongs to the Section Forest Soil)
Show Figures

Figure 1

32 pages, 9393 KB  
Article
Dynamic Characterization and Soil–Structure Interaction (SSI) of Heritage Buildings: The Case of the Norman Castle of Aci Castello (Sicily, Italy)
by Claudia Pirrotta, Anna Maria Gueli, Carlo Trigona, Eleonora Pappalardo and Sebastiano Imposa
Heritage 2025, 8(12), 538; https://doi.org/10.3390/heritage8120538 - 16 Dec 2025
Abstract
The dynamic characterization of historical buildings located in a complex geological and seismological context is essential to assess seismic vulnerability and to guide conservation strategies. This study presents a non-invasive, ambient vibration-based, investigation of the Norman Castle of Aci Castello (Sicily, Italy), applying [...] Read more.
The dynamic characterization of historical buildings located in a complex geological and seismological context is essential to assess seismic vulnerability and to guide conservation strategies. This study presents a non-invasive, ambient vibration-based, investigation of the Norman Castle of Aci Castello (Sicily, Italy), applying Horizontal to Vertical Spectral Ratio (HVSR), Horizontal to Horizontal Spectral Ratio (HHSR), and Random Decrement Method (RDM) to evaluate the structure’s dynamic behavior and potential Soil–Structure Interaction (SSI) effects. The fundamental site frequency, estimated within a broad plateau in the range 2.05–2.70 Hz, does not overlap with the structural frequencies of the castle, which range approximately from 6.30 Hz to 9.00 Hz in the N–S structural direction and from 3.50 Hz to 8.50 Hz in the E–W direction, indicating absence of global SSI resonance. However, the structure exhibits a complex multimodal response, with direction-dependent behavior evident both in spectral peaks and in damping ratios, ranging from 2.10–7.73% along N–S and 0.90–5.84% along E–W. These behaviors can be interpreted as possibly linked to structural complexity and the interaction with the fractured volcanic substrate, characterized by shallow cavities, as well as to the material degradation of the masonry. In particular, the localized presence of subsurface voids may induce a perturbation of the low-frequency ambient vibration wavefield (e.g., microseisms), producing a localized increase in spectral amplitude observed at Level I. The analysis indicates the absence of global SSI resonance due to the lack of overlap between site and structural fundamental frequencies, while significant local SSI effects, mainly related to cavity-induced wavefield perturbation, are observed and may represent a potential vulnerability factor. These findings highlight the relevance of vibration-based diagnostics for heritage vulnerability assessment and conservation strategies. Full article
Show Figures

Figure 1

25 pages, 6146 KB  
Article
Evaluation of Soil Amelioration Effects of Different Afforestation Measures in Alpine Sandy Land: A Case Study of the Gonghe Basin
by Shaobo Du, Huichun Xie, Gaosen Zhang, Feng Qiao, Tianyue Zhao, Guigong Geng and Chongyi E
Microorganisms 2025, 13(12), 2860; https://doi.org/10.3390/microorganisms13122860 - 16 Dec 2025
Abstract
Desertification poses a severe challenge in China. Although long-term sand control measures have proven effective, the extensive and challenging nature of sandy land necessitates systematic research to identify optimal sand control measures for soil amelioration, thereby promoting ecological restoration in sandy areas. This [...] Read more.
Desertification poses a severe challenge in China. Although long-term sand control measures have proven effective, the extensive and challenging nature of sandy land necessitates systematic research to identify optimal sand control measures for soil amelioration, thereby promoting ecological restoration in sandy areas. This study focused on the Gonghe Basin to assess the effectiveness of four 24-year afforestation treatments—Salix cheilophila + Populus simonii, S. cheilophila, P. simonii (YY), and Caragana korshinskii—compared to untreated mobile dunes. Surface soils (0–10 cm and 10–20 cm) were analyzed for physicochemical properties, enzyme activities, and bacterial community structure using Illumina high-throughput sequencing and PICRUSt2 functional prediction. All afforestation treatments significantly improved soil quality, increasing fine particle content, moisture, nutrients, enzyme activity, and microbial richness and diversity, especially in the topsoil. Bulk density and pH were notably reduced. Among the treatments, YY demonstrated the most substantial improvements. pH emerged as the primary factor influencing bacterial community structure, with enzyme activities also playing a significant role. Metabolism was the dominant functional category across all sites, while YY enhanced environmental information processing functions in the topsoil. Secondary functions showed high redundancy across treatments. These findings confirm that afforestation can effectively rehabilitate degraded alpine sandy soils, with the YY treatment offering the greatest benefits. The study provides a scientific basis for optimizing sand control measures and supports broader ecological restoration efforts in similar environments worldwide. Full article
(This article belongs to the Special Issue Diversity, Function, and Ecology of Soil Microbial Communities)
Show Figures

Figure 1

22 pages, 6650 KB  
Article
Biochar Particle Size Modulates the Microbial Degradation of Petroleum Hydrocarbons in Contaminated Soil
by Yanjie Wang, Qiong Wang, Meijuan Wang, Haiqing Lei and Jiabo Chen
Agronomy 2025, 15(12), 2874; https://doi.org/10.3390/agronomy15122874 - 14 Dec 2025
Viewed by 153
Abstract
Petroleum hydrocarbons are pervasive soil pollutants that detrimentally affect the soil structure, nutrients, and microbial ecosystems. However, the effect of biochar particle size on the remediation effectiveness remains a critical, unresolved parameter. Here, a soil remediation experiment was conducted to evaluate the synergy [...] Read more.
Petroleum hydrocarbons are pervasive soil pollutants that detrimentally affect the soil structure, nutrients, and microbial ecosystems. However, the effect of biochar particle size on the remediation effectiveness remains a critical, unresolved parameter. Here, a soil remediation experiment was conducted to evaluate the synergy between biochars of different particle sizes and nutrient addition. Total petroleum hydrocarbons (TPHs) were quantified gravimetrically, and specific hydrocarbon fractions were analysed via gas chromatography mass spectroscopy (GC-MS) while the microbial community composition was analysed via high-throughput sequencing. The results revealed that granular bulrush straw biochar (0.85 mm) with nutrients achieved the greatest TPH degradation (73.35%), significantly outperforming both powder biochar and soybean straw biochar. This enhanced remediation was associated with a significant shift in the microbial community (p < 0.05), characterized by substantial increases in hydrocarbon-degrading bacteria, particularly Actinobacteria and the genus Mycobacterium. This study revealed that the synergistic application of granular biochar and nutrients is a highly effective, nature-based strategy for petroleum-contaminated soil, which functions by resolving a critical biochar parameter to enhance key microbial degraders. Full article
Show Figures

Figure 1

23 pages, 1903 KB  
Article
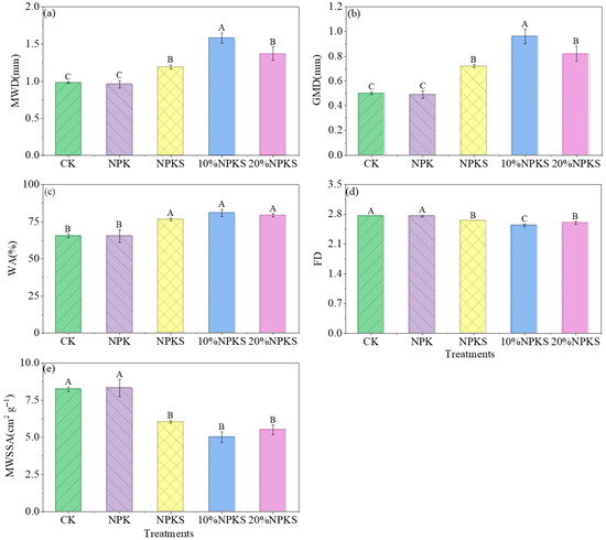
Long-Term Straw Return Combined with Chemical Fertilizer Enhances Crop Yields in Wheat-Maize Rotation Systems by Improving Soil Nutrients Stoichiometry and Aggregate Stability in the Shajiang Black Soil (Vertisol) Region of North China Plain
by Xian Tang, Yangfan Qu, Yu Wu, Shasha Li, Fuwei Wang, Dongxue Li, Xiaoliang Li, Jianfei Wang and Jianrong Zhao
Agronomy 2025, 15(12), 2861; https://doi.org/10.3390/agronomy15122861 - 12 Dec 2025
Viewed by 154
Abstract
The sustainability of wheat-maize rotation systems in the North China Plain is challenged by the over-reliance on chemical fertilizers, which leads to the decline of soil organic matter and structural degradation, particularly in the unique Shajiang black soil (Vertisol). While straw return is [...] Read more.
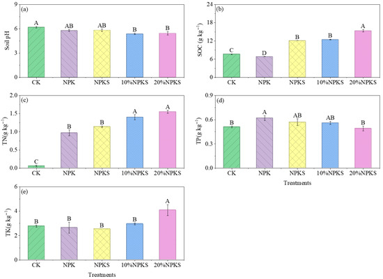
The sustainability of wheat-maize rotation systems in the North China Plain is challenged by the over-reliance on chemical fertilizers, which leads to the decline of soil organic matter and structural degradation, particularly in the unique Shajiang black soil (Vertisol). While straw return is widely recommended to mitigate these issues, the synergistic mechanisms of its long-term combination with chemical fertilizers on soil nutrient stoichiometry and aggregate stability remain inadequately quantified. A long-term field experiment was conducted with the five fertilization treatments including: (1) no fertilizer or straw (CK), (2) chemical fertilizer alone (NPK), (3) straw return chemical fertilizer (NPKS), (4) straw return with 10% straw-decomposing microbial inoculant combined with chemical fertilizer (10%NPKS), and (5) straw return with 20% straw-decomposing microbial inoculant combined with chemical fertilizer (20%NPKS) in the Shajiang black soil (Vertisol) region to investigate the effects of straw return combined with chemical fertilizers on soil organic carbon (SOC), total nitrogen (TN) and total phosphorus (TP) stoichiometry, aggregate stability, and crop yield in winter wheat-summer maize rotation systems of North China Plain. Our study demonstrated that the co-application of straw with a straw-decomposing microbial inoculant is a highly effective strategy for enhancing soil health and crop productivity, with its efficacy being critically dose-dependent. Our results identified the 10%NPKS treatment as the optimal practice. It most effectively improved soil physical structure by significantly increasing the content of large macroaggregates (>0.5 mm) and key stability indices (MWD, GMD, WA), while concurrently enhancing nutrient cycling, as evidenced by elevated SOC, TN, and shifted C/P and N/P stoichiometry. Multivariate analyses confirmed strong positive correlations among these soil properties, indicating a synergistic improvement in soil quality. Crucially, these enhancements translated into significant yield gains, with a notable crop-specific response: maize yield was maximized under the 10%NPKS treatment, whereas wheat yield benefited sufficiently from NPKS treatment. A key mechanistic insight was that 20%NPKS treatment, despite leading to the highest SOC and TN, induced a relative phosphorus limitation and likely caused transient nutrient immobilization, thereby attenuating its benefits for soil structure and yield. We conclude that co-applying straw with a 10% microbial inoculant combined with chemical fertilizer represents the superior strategy, offering a sustainable pathway to synergistically improve soil structure, nutrient availability, and crop productivity, particularly in maize-dominated systems. Full article
(This article belongs to the Special Issue Plant Nutrition Eco-Physiology and Nutrient Management)
Show Figures

Figure 1

19 pages, 4756 KB  
Article
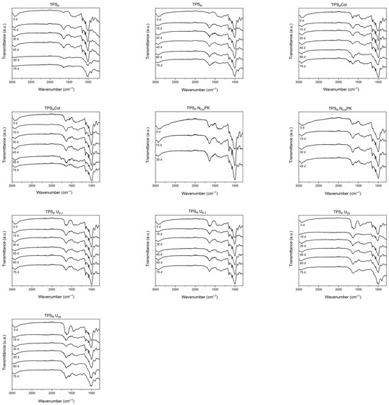
Sustainable Biodegradable Starch–Collagen Polymeric Systems: Preparation, Characterization, and Efficacy for Slow Release of Organic Nitrogen, Phosphorus, and Potassium
by Maíra L. S. Couto, Ingrid A. dos S. Matusinho, Patterson P. Souza, Luiz C. A. Oliveira and Patrícia S. de O. Patricio
Polysaccharides 2025, 6(4), 113; https://doi.org/10.3390/polysaccharides6040113 - 9 Dec 2025
Viewed by 200
Abstract
The use of biodegradable polymers in slow-release NPK fertilizers is gaining prominence for reducing overdosing, minimizing nutrient loss, and enhancing efficiency. This study prepared modified and unmodified thermoplastic starch (TPS) systems via extrusion, incorporating collagen and potassium phosphate. Controlled-release nutrient systems utilizing nitrogen [...] Read more.
The use of biodegradable polymers in slow-release NPK fertilizers is gaining prominence for reducing overdosing, minimizing nutrient loss, and enhancing efficiency. This study prepared modified and unmodified thermoplastic starch (TPS) systems via extrusion, incorporating collagen and potassium phosphate. Controlled-release nutrient systems utilizing nitrogen from an organic source were developed and characterized. The materials were characterized using Fourier-transform infrared spectroscopy (FTIR), X-ray diffraction (XRD), contact angle measurements, and biodegradability in the soil. The biodegradability of the polymeric matrix was evaluated through mass loss, with up to 78.9% degradation observed after 60 days for TPS-based systems containing collagen. Structural modifications in the TPS matrix led to changes in crystallinity and hydrophilicity, which directly influenced degradation rates. The nutrient release effect was assessed by monitoring the growth of chili pepper seedlings over 15 days. Seedlings grown in soil containing polymeric systems with 20% collagen or 6.2% urea reached average heights between 5.2 and 7.8 cm, compared to 5.0 cm for the unmodified TPS and 0 cm in treatments with pure urea, which caused seedling mortality. The polymeric systems containing collagen exhibited superior performance as a sustainable nitrogen source, ensuring a slower and more controlled release while yielding positive outcomes for early plant development. Full article
Show Figures

Graphical abstract

30 pages, 1390 KB  
Review
Perenniality Impacts on Soil Physical and Hydraulic Properties and Ecosystem Services: A Review
by Navdeep Singh
Sustainability 2025, 17(24), 10988; https://doi.org/10.3390/su172410988 - 8 Dec 2025
Viewed by 317
Abstract
Soil degradation threatens agricultural sustainability by impairing soil structure, hydrological function, and ecosystem services. While conservation tillage and cover cropping have been extensively studied, the role of perenniality remains underexplored, particularly regarding its impacts on soil physical and hydraulic properties. This review addresses [...] Read more.
Soil degradation threatens agricultural sustainability by impairing soil structure, hydrological function, and ecosystem services. While conservation tillage and cover cropping have been extensively studied, the role of perenniality remains underexplored, particularly regarding its impacts on soil physical and hydraulic properties. This review addresses three key objectives: (1) assessing the effects of perenniality on soil structure and hydrology, (2) synthesizing its contributions to water quality, soil conservation and climate mitigation, and (3) identifying barriers to its adoption in agricultural systems. This study synthesized over two decades of interdisciplinary evidence from peer-reviewed literature across diverse agroecosystems to understand how perennial crops influence soil systems. Findings indicate that perennial crops restore soil structure through continuous root activity and organic matter inputs, enhancing aggregate stability, reducing compaction, and stabilizing pore networks. These structural improvements enhance water infiltration capacity, increase soil water retention, and reduce erosion, thus contributing to improved water quality and climate mitigation through reduced nutrient losses and greater carbon sequestration. Despite these benefits, perenniality adoption is constrained by agronomic, economic, and policy barriers. Continued long-term, multidisciplinary research is essential to guide management decisions and support broader adoption of perennial agriculture. Full article
(This article belongs to the Section Soil Conservation and Sustainability)
Show Figures

Figure 1

20 pages, 5164 KB  
Article
Stand Density Drives Soil Microbial Community Structure in Response to Nutrient Availability in Larix gmelinii var. principis-rupprechtii (Mayr) Pilger Plantations
by Fengzi Li, Lei Liu, Long Hai, Hongwei Yang, Kai Zhao, Qiuming Di and Zhibo Wang
Plants 2025, 14(24), 3737; https://doi.org/10.3390/plants14243737 - 8 Dec 2025
Viewed by 228
Abstract
Sustainable forest management requires a comprehensive understanding of how stand density regulates soil ecological processes. We examined a Larix principis-rupprechtii plantation under three thinning retention densities (High—HD; Medium—MD; Low—LD) and an unthinned control (CK), with soil samples collected from four depth layers (0–10, [...] Read more.
Sustainable forest management requires a comprehensive understanding of how stand density regulates soil ecological processes. We examined a Larix principis-rupprechtii plantation under three thinning retention densities (High—HD; Medium—MD; Low—LD) and an unthinned control (CK), with soil samples collected from four depth layers (0–10, 10–20, 20–30, and 30–40 cm). This study investigated the effects of stand density on soil properties and microbial communities in a Larix principis-rupprechtii plantation by combining high-throughput sequencing with soil physicochemical analysis to identify the optimal density regime for maintaining soil health. Results demonstrated the following: (1) Moderate-density (MD) management best balanced the stability of soil ecosystem structure, showing superior water retention, organic carbon content, and microbial diversity in the 0–30 cm soil layer. The mechanism underlying these improvements can be attributed to the moderately open canopy structure in MD stands, which facilitated efficient litter decomposition and drove functional complementarity between Basidiomycota (enhancing cellulose degradation capacity) and Acidobacteriota (adapted to oligotrophic conditions). (2) Redundancy analysis revealed that soil pH and available nutrients (AK, AP) were key environmental factors driving microbial community restructuring: Actinobacteriota dominated in neutral, phosphorus-rich environments, while Acidobacteriota thrived under acidic, phosphorus-limited conditions. Fungal communities showed high sensitivity to management intensity, with significant shifts between Ascomycota and Basidiomycota, whereas bacterial communities remained relatively stable due to functional redundancy. We recommend the adoption of moderate-density management as a sustainable practice to enhance soil nutrient cycling and maintain microbial diversity, thereby providing scientific support for sustainable plantation management. Full article
(This article belongs to the Section Plant–Soil Interactions)
Show Figures

Figure 1

19 pages, 8957 KB  
Article
Mean Annual Temperature, Soil Organic Matter and Phyllospheric Bacterial Diversity Shape Biomass of Dominant Species Along a Degradation Gradient in Alpine Steppes: A Case Study from the Qinghai–Tibet Plateau
by Kaifu Zheng, Xin Jin, Jingjing Li and Guangxin Lu
Microorganisms 2025, 13(12), 2787; https://doi.org/10.3390/microorganisms13122787 - 7 Dec 2025
Viewed by 239
Abstract
The structure and function of alpine steppes are maintained largely by dominant species, which in turn determine the productivity and stability of plant communities. Nutrient acquisition and stress regulation may, to some extent, be mediated by phyllospheric microbiota at the interface of plants [...] Read more.
The structure and function of alpine steppes are maintained largely by dominant species, which in turn determine the productivity and stability of plant communities. Nutrient acquisition and stress regulation may, to some extent, be mediated by phyllospheric microbiota at the interface of plants with the atmosphere, and phyllospheric microbes are capable of amplifying and transmitting vegetation responses to degradation. Previous research has mainly addressed climate, soil, vegetation and soil microbiota or has assessed phyllosphere communities as a whole, thereby overlooking the specific responses of phyllospheric bacteria associated with the vegetation-dominant species Stipa purpurea along gradients of vegetation degradation in alpine steppes. In this study, we characterised vegetation degradation at the community level (from non-degraded to severely degraded grasslands) and quantified associated changes in the dominant species Stipa purpurea (cover, height and aboveground biomass) and its phyllospheric bacterial communities, in order to elucidate response patterns within the coupled system of host plants, phyllosphere microbiota, climate (mean annual temperature and precipitation) and soil physicochemical properties. Compared with non-degraded (ND) grasslands, degraded sites had a 22.6% lower mean annual temperature (MAT) and reductions in total nitrogen, nitrate nitrogen, organic matter (OM) and soil quality index (SQI) of 49.4%, 55.6%, 46.8% and 47.6%, respectively. Plant community cover and the aboveground biomass of dominant species declined significantly with increasing degradation. Along the vegetation-degradation gradient from non-degraded to severely degraded alpine steppes, microbial source-tracking analysis of the phyllosphere of the dominant species Stipa purpurea revealed a sharp decline in the contribution of phyllospheric bacterial sources. Estimated contributions from non-degraded sites to lightly, moderately and severely degraded sites were 95.68%, 62.21% and 6.89%, respectively, whereas contributions from lightly to moderately degraded and from moderately to severely degraded sites were 34.89% and 16.47%, respectively. Bacterial richness increased significantly, and β diversity diverged under severe degradation (PERMANOVA, F = 5.48, p < 0.01). From light to moderate degradation, biomass and relative cover of the dominant species decreased significantly, while the phyllosphere bacterial community appeared more strongly influenced by the host than by environmental deterioration; the community microbial turnover index (CMTB) and microbial resistance potential increased slightly but non-significantly (p > 0.05). Under severe degradation, worsening soil conditions and hydrothermal regimes exerted a stronger influence than the host, and CMTB and microbial resistance potential decreased by 6.5% and 34.1%, respectively (p < 0.05). Random-forest analysis indicated that climate, soil, phyllosphere diversity and microbial resistance jointly accounted for 42.1% of the variation in constructive-species biomass (R2 = 0.42, p < 0.01), with the remaining variation likely driven by unmeasured biotic and abiotic factors. Soil contributed the most (21.73%), followed by phyllosphere diversity (9.87%) and climate (8.62%), whereas microbial resistance had a minor effect (1.86%). Specifically, soil organic matter (OM) was positively correlated with biomass, whereas richness, beta diversity and MAT were negatively correlated (p < 0.05). Taken together, our results suggest that under ongoing warming on the Qinghai–Tibet Plateau, management of alpine steppes should prioritise grasslands in the early stages of degradation. In these systems, higher soil organic matter is associated with greater phyllospheric microbial resistance potential and increased biomass of Stipa purpurea, which may help stabilise this dominant species and slow further vegetation degradation. Full article
(This article belongs to the Section Environmental Microbiology)
Show Figures

Figure 1

16 pages, 1429 KB  
Article
Plant Functional Group Removal Shifts Soil Nematode Community and Decreases Soil Particulate Organic Carbon in an Alpine Meadow
by Ligai Huang, Luping Ye, Xianhui Zhou, Hui Guo, Juan Zuo, Peng Wang and Yong Zheng
Plants 2025, 14(24), 3728; https://doi.org/10.3390/plants14243728 - 6 Dec 2025
Viewed by 209
Abstract
Vegetation degradation in the alpine meadows is becoming increasingly severe under global change, with species loss frequently linked to changes in plant functional groups (PFGs). Changes in PFGs alter plant-derived carbon inputs, which significantly influence soil organic carbon (SOC) sequestration and soil communities. [...] Read more.
Vegetation degradation in the alpine meadows is becoming increasingly severe under global change, with species loss frequently linked to changes in plant functional groups (PFGs). Changes in PFGs alter plant-derived carbon inputs, which significantly influence soil organic carbon (SOC) sequestration and soil communities. However, the impact of specific PFG removal on soil carbon fractions and nematode trophic groups remains underexplored. In this study, above-ground removal of PFGs was carried out for five consecutive years in the Qinghai–Tibet Plateau alpine meadow, with five treatments: (1) no removal of PFGs (CK); (2) keep non-legume forbs (remove graminoids and legumes, Forbs); (3) keep graminoids (remove legumes and non-legume forbs, Graminoids); (4) keep legumes (remove non-legume forbs and graminoids, Legumes); (5) remove all PFGs (All-plants-removed). Root properties, nematode community, and soil carbon fractions were measured. We found that the Graminoids treatment significantly increased root biomass, whereas the All-plants-removed treatment led to a significant decrease. Nematode abundance was highest under the Legumes treatment, primarily due to increased omnivores-predators. Meanwhile, the soil particulate organic carbon (POC) varied significantly between PFG types, being the highest in the Forbs and CK treatments. Correlation analysis revealed a significant positive relationship between SOC and bacterivore abundance, suggesting that higher SOC enhances bacterivore populations and subsequently influences carbon cycling. We conclude that PFG removal alters soil nematode community structure and POC, underscoring the role of PFGs in below-ground biodiversity and soil carbon sequestration. Full article
Show Figures

Figure 1

16 pages, 1736 KB  
Article
A First Process-Oriented Characterization of Eriolobus trilobatus (Labill. ex Poiret) Bark from Turkey: Chemical, Morphological and Energy Properties
by Umut Șen, Cengiz Yücedağ, Büşra Balcı, Şefik Arıcı, Günnur Koçar, Beyza Şat, Catarina Viegas, Margarida Gonçalves, Isabel Miranda and Helena Pereira
Processes 2025, 13(12), 3946; https://doi.org/10.3390/pr13123946 - 6 Dec 2025
Viewed by 213
Abstract
For the first time, Eriolobus trilobatus bark from Turkey has been characterized in terms of its chemical, extractive, fuel, and ash characteristics using SEM–EDS, wet chemical analysis, phenolic analysis, FT-IR, TGA, XRF, XRD, BET surface area measurement, proximate analysis, and ash fusion temperature [...] Read more.
For the first time, Eriolobus trilobatus bark from Turkey has been characterized in terms of its chemical, extractive, fuel, and ash characteristics using SEM–EDS, wet chemical analysis, phenolic analysis, FT-IR, TGA, XRF, XRD, BET surface area measurement, proximate analysis, and ash fusion temperature (AFT) determination. The results showed that the bark contains 13% ash, dominated by calcium oxalate, and 15% extractives, largely composed of polar phenolic compounds with moderate radical-scavenging potential. Thermal decomposition of bark proceeds in four distinct stages, associated with the sequential degradation of extractives/hemicelluloses, cellulose, lignin/suberin, and inorganic fractions. The higher calorific value of 14.9 MJ/kg indicates moderate fuel quality compared with conventional woody biomass. Ash is mesoporous with a CaO-rich structure highly suitable for catalytic applications in biodiesel production and biomass gasification. Ash fusion analysis revealed a high flow temperature (1452 °C), indicating a very low slagging risk during thermochemical conversion. Overall, E. trilobatus bark is a promising material for value-added biorefinery pathways, enabling processes for the production of biochars, CaO-based catalysts, phenolic extracts, and sustainable energy. The valorization of E. trilobatus bark not only enhances the economic potential of forestry residues but also provides environmental co-benefits through carbon soil amendment and landscape applications. Full article
(This article belongs to the Section Environmental and Green Processes)
Show Figures

Graphical abstract

15 pages, 3534 KB  
Article
Organic Fertilizer Substitution Modulates Soil Properties and Microbial Communities in a Vegetable–Earthworm Co-Cultivation System
by Shumei Cai, Sixin Xu, Deshan Zhang, Yun Liang, Xianqing Zheng and Haitao Zhu
Microorganisms 2025, 13(12), 2742; https://doi.org/10.3390/microorganisms13122742 - 1 Dec 2025
Viewed by 335
Abstract
In intensive vegetable production systems, long-term reliance on chemical fertilizers often leads to soil degradation and microbial imbalance, highlighting the need for sustainable biotillage strategies. In this study, a long-term field experiment examined how vegetable–earthworm co-cultivation (VE) combined with different fertilization regimes affects [...] Read more.
In intensive vegetable production systems, long-term reliance on chemical fertilizers often leads to soil degradation and microbial imbalance, highlighting the need for sustainable biotillage strategies. In this study, a long-term field experiment examined how vegetable–earthworm co-cultivation (VE) combined with different fertilization regimes affects vegetable yield, soil physicochemical properties, and microbial communities. VE significantly improved vegetable yield, with full chemical fertilization (VE_IF100) and a 30% reduction in chemical fertilizer supplemented with organic fertilizer (VE_IF70) increasing yields by 30.86% and 26.02%, respectively, relative to full fertilization without earthworms (CK_IF100). VE also moderated soil pH toward neutrality. VE_IF100 decreased the soil C/N ratio, whereas VE_IF70 increased it and enhanced available hydrolyzable nitrogen, indicating a more balanced nutrient transformation. Microbial analysis revealed that VE_IF100 reduced bacterial abundance while strongly increasing fungal abundance, decreasing the bacteria-to-fungi ratio from 3.51 to 0.53. In contrast, VE_IF70 restored the bacteria-to-fungi ratio to 1.65 and increased fungal diversity, with the Shannon and Chao1 indices exceeding those in VE_IF100. Bacterial genera associated with nutrient cycling and plant growth promotion (e.g., Brevundimonas, Anaeromyxobacter) were enriched under VE_IF70, while fungal taxa with antagonistic and biocontrol potential (e.g., Chaetomium, Arthrobotrys) also increased. Redundancy analysis identified the soil C/N ratio (ranging from 5.94 to 8.60 across treatments) as a key driver of both bacterial and fungal community structures, whereas pH exerted a stronger influence on fungi. Random forest analysis indicated that the annual total vegetable yield was primarily driven by fertilization and available phosphorus in VE systems, whereas pH and bacterial abundance were the main drivers in CK systems. Overall, earthworm inoculation combined with partial organic fertilizer substitution improved soil conditions, reshaped microbial communities, and maintained high yield, demonstrating a practical strategy for sustainable vegetable production. Full article
(This article belongs to the Section Environmental Microbiology)
Show Figures

Figure 1

25 pages, 2836 KB  
Article
Synergistic Effects of Earthworm Size, Earthworm Application Timing, and Quantity on Brassica rapa var. chinensis Growth and Black Soil Pore Structure
by Baoguang Wu, Zhenyu Wang, Zhipeng Yin, Pu Chen, Yuping Liu, Shun Xu, Hao Pang and Qiuju Wang
Agriculture 2025, 15(23), 2497; https://doi.org/10.3390/agriculture15232497 - 30 Nov 2025
Viewed by 281
Abstract
Black soil, as a vital environment for food production, is currently facing severe degradation. Earthworm tillage is recognized as an effective approach to improving black soil structure; however, its optimal implementation strategy remains unclear. In this study, a pot experiment using Pak Choi [...] Read more.
Black soil, as a vital environment for food production, is currently facing severe degradation. Earthworm tillage is recognized as an effective approach to improving black soil structure; however, its optimal implementation strategy remains unclear. In this study, a pot experiment using Pak Choi (Brassica rapa L. ssp. chinensis) was conducted under an orthogonal design with three factors—earthworm size, application timing, and quantity. Combined with yield measurement, analysis of variance (ANOVA), and grey relational analysis (GRA), the effects of earthworm application on plant growth and soil structure were systematically evaluated. In addition, Computer Tomography (CT) scanning and three-dimensional reconstruction were employed to visualize the pore structures of representative soil samples. The results showed that large earthworms significantly enhanced both leaf and root biomass of Pak Choi, exhibiting a stronger promoting effect than small earthworms. Application at the sowing stage resulted in the greatest yield improvement, whereas applications at other growth stages had limited effects. The number of earthworms did not show a statistically significant impact under the experimental conditions, and its potential influence requires further verification under more refined density gradients. Overall, this study elucidates the mechanisms by which earthworm tillage improves soil structure and promotes crop growth, providing a theoretical basis for the restoration and sustainable utilization of degraded black soil. Full article
(This article belongs to the Section Agricultural Soils)
Show Figures

Figure 1

16 pages, 983 KB  
Article
Effects of Different Sod-Seeding Patterns on Soil Properties, Nitrogen Cycle Genes, and N2O Mitigation in Peach Orchards
by Zhuo Pang, Yufeng Li, Hengkang Xu, Guofang Zhang, Chao Chen, Anxiang Lu and Haiming Kan
Agronomy 2025, 15(12), 2744; https://doi.org/10.3390/agronomy15122744 - 28 Nov 2025
Cited by 1 | Viewed by 241
Abstract
To clarify the role and mechanism of sod-seeding patterns in improving soil fertility and mitigating nitrous oxide (N2O) emissions in peach orchards, we conducted a study since 2023. Taking clean tillage (CK) as the control, three sod-seeding patterns—Trifolium repens [...] Read more.
To clarify the role and mechanism of sod-seeding patterns in improving soil fertility and mitigating nitrous oxide (N2O) emissions in peach orchards, we conducted a study since 2023. Taking clean tillage (CK) as the control, three sod-seeding patterns—Trifolium repensLolium perenne mixed sowing (TPr), T. repens single sowing (Tr), and L. perenne single sowing (Pr)—were tested to analyze soil physicochemical properties, nitrogen cycle functional genes, and N2O emission-related genes, and to explore the driving mechanism of N2O mitigation. Results showed that all three sod-seeding patterns significantly reduced soil pH and bulk density, increased soil electrical conductivity and mean aggregate size, and improved soil nutrient status compared with CK; TPr performed best, significantly enhancing soil enzyme activities related to carbon and nitrogen cycles. Sod-seeding patterns had no significant effect on genes involved in assimilatory nitrate reduction, denitrification, or nitrification, but significantly increased dissimilatory nitrate reduction (DNRA) and nitrogen degradation gene abundances, and reduced N2O-producing gene (amoA + amoB, nirS + nirK) abundances. Field monitoring indicated TPr reduced N2O emissions by 34.0%, 35.7%, and 41.0%, relative to CK, Pr, and Tr, respectively. Structural equation modeling revealed that sod-seeding reduced N2O emissions mainly by decreasing soil NH4+-N content and nirS + nirK abundance. In conclusion, sod-seeding patterns improve soil fertility and mitigate N2O emissions in peach orchards, with TPr showing the best comprehensive benefits. Full article
Show Figures

Figure 1

15 pages, 6215 KB  
Article
Aging Characterization and Preliminary Exploration of Gel-Based Cleaning of Cellulose Acetate in José Escada’s Le Rituel
by Susana França de Sá, Sara Babo, Artur Neves, Alexandra Garcia, Sofia Nunes, Aurora Cairoli and Maria João Melo
Gels 2025, 11(12), 954; https://doi.org/10.3390/gels11120954 - 27 Nov 2025
Viewed by 262
Abstract
Cellulose acetate (CA) is a semi-synthetic polymer widely present in modern and contemporary collections, yet its conservation poses major challenges due to its chemical and physical instability. Hydrolytic degradation, acetic acid release, plasticizer loss, and embrittlement compromise both structure and surface, making cleaning [...] Read more.
Cellulose acetate (CA) is a semi-synthetic polymer widely present in modern and contemporary collections, yet its conservation poses major challenges due to its chemical and physical instability. Hydrolytic degradation, acetic acid release, plasticizer loss, and embrittlement compromise both structure and surface, making cleaning particularly difficult. Conventional cleaning methods may cause abrasion, extract additives, or alter gloss. Although hydrogels have shown promise for CA cleaning, the literature remains extremely limited. This study reports a preliminary investigation of gel-based cleaning on Le Rituel (1968), a heavily soiled cellulose acetate (CA) artwork by José Escada. The object’s condition was assessed through visual inspection, pH measurements, volatile acidity testing, and infrared spectroscopy. Cleaning tests were conducted on a CA replica (2006) with superficial soiling and on selected artwork areas. Two gel formulations were evaluated: the biopolymer agar-agar rigid gel and the synthetic viscoelastic poly(vinyl alcohol)-borax (PVAl-Borax) gel. Agar-agar was effective as a first step, reducing superficial soiling and humidifying adherent residues for subsequent removal, while PVAl-Borax was advantageous in the second step, as its viscoelastic properties enabled controlled mechanical action and facilitated the removal of more adherent residues. This case study demonstrates the potential of combined gel systems as versatile tools for CA conservation. Full article
(This article belongs to the Special Issue Gel Materials for Heritage Conservation)
Show Figures

Figure 1

Back to TopTop