Organic Fertilizer Substitution Modulates Soil Properties and Microbial Communities in a Vegetable–Earthworm Co-Cultivation System
Abstract
1. Introduction
2. Materials and Methods
2.1. Experimental Design
2.2. Crop Harvest and Soil Sampling
2.3. Determination of Soil Physicochemical Parameters
2.4. Soil DNA Extraction and PCR Amplification
2.5. Illumina MiSeq Sequencing and Data Processing
2.6. Soil Quantitative PCR
2.7. Statistical Analyses
3. Results
3.1. Vegetable Yield
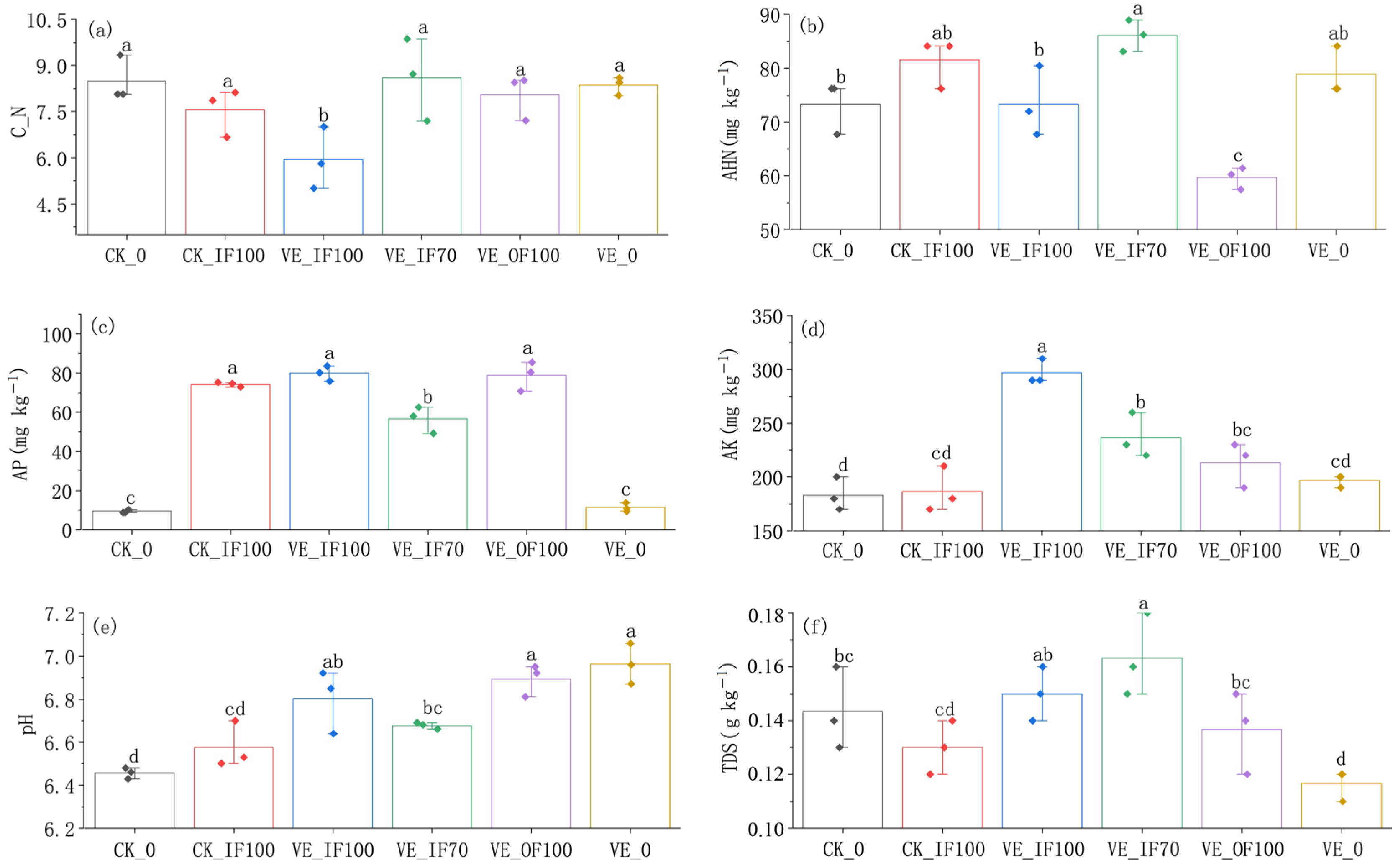
3.2. Soil Physicochemical Properties
3.3. Soil Bacterial and Fungal Abundance and Diversity Indices
3.4. Soil Bacterial Community Composition and Functions
3.5. Soil Fungal Community Composition and Functions
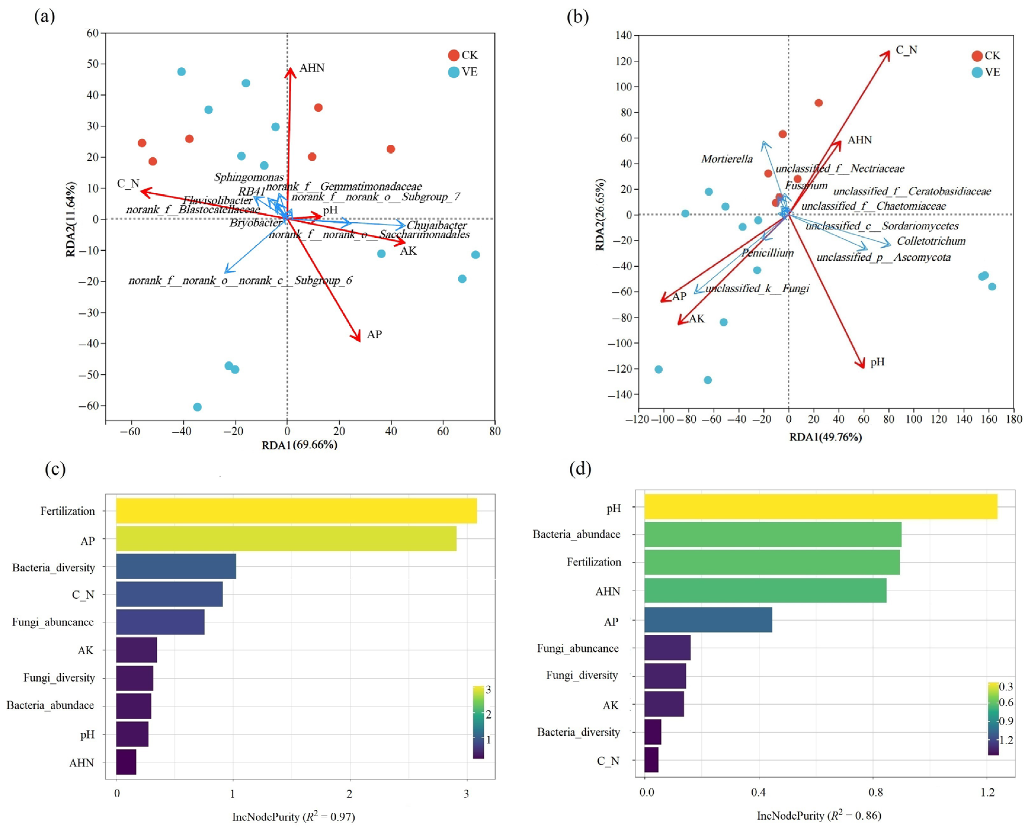
3.6. Environmental Drivers of Soil Microbial Community Shifts and Yield Attribution
4. Discussion
4.1. Earthworm-Mediated Enhancement of Vegetable Yield
4.2. Synergistic Effects of Earthworms and Partial Organic Substitution on Microbial Community Structure
4.3. Fertilization Thresholds and Bidirectional Effects of Earthworm–Organic Interactions
5. Conclusions
Supplementary Materials
Author Contributions
Funding
Institutional Review Board Statement
Informed Consent Statement
Data Availability Statement
Conflicts of Interest
References
- Zhuang, Y.; Zhang, C.Y.; Lu, N. Environmental Performance of Fruiting Vegetable Production in Vertical Farms. Sustain. Prod. Consum. 2025, 56, 477–489. [Google Scholar] [CrossRef]
- Li, W.; Zhuang, M.; Feng, L.; Wei, W.; Xia, L.; Yang, Y. Carbon and Reactive Nitrogen Footprint of Greenhouse versus Open-Field Vegetable Production in China. Resour. Conserv. Recycl. 2025, 221, 108400. [Google Scholar] [CrossRef]
- Tian, X.; Zheng, H.; Yin, Y.; Zhang, Q.; He, K.; Cong, J.; Cai, W.; Cui, Z. Optimizing Nitrogen Input to Control Health and Environmental Risks in Chinese Vegetable Production. J. Clean. Prod. 2025, 519, 145956. [Google Scholar] [CrossRef]
- Kianpoor Kalkhajeh, Y.; Huang, B.; Hu, W.; Ma, C.; Gao, H.; Thompson, M.L.; Bruun Hansen, H.C. Environmental Soil Quality and Vegetable Safety under Current Greenhouse Vegetable Production Management in China. Agric. Ecosyst. Environ. 2021, 307, 107230. [Google Scholar] [CrossRef]
- Yan, H.; Wu, Y.; He, G.; Wen, S.; Yang, L.; Ji, L. Fertilization Regime Changes Rhizosphere Microbial Community Assembly and Interaction in Phoebe Bournei Plantations. Appl. Microbiol. Biotechnol. 2024, 108, 417. [Google Scholar] [CrossRef] [PubMed]
- Ren, L.; Dong, L.; Liang, G.; Han, Y.; Li, J.; Fan, Q.; Wei, D.; Zou, H.; Zhang, Y. Microbially Mediated Mechanisms Underlie N2O Mitigation by Bio-Organic Fertilizer in Greenhouse Vegetable Production System. Appl. Soil Ecol. 2025, 211, 106114. [Google Scholar] [CrossRef]
- Dong, L.; Berg, B.; Sun, T.; Wang, Z.; Han, X. Response of Fine Root Decomposition to Different Forms of N Deposition in a Temperate Grassland. Soil Biol. Biochem. 2020, 147, 107845. [Google Scholar] [CrossRef]
- Wu, G.; Yang, S.; Luan, C.; Wu, Q.; Lin, L.; Li, X.; Che, Z.; Zhou, D.; Dong, Z.; Song, H. Partial Organic Substitution for Synthetic Fertilizer Improves Soil Fertility and Crop Yields While Mitigating N2O Emissions in Wheat-Maize Rotation System. Eur. J. Agron. 2024, 154, 127077. [Google Scholar] [CrossRef]
- Li, S.; Fan, W.; Xu, G.; Cao, Y.; Zhao, X.; Hao, S.; Deng, B.; Ren, S.; Hu, S. Bio-Organic Fertilizers Improve Dendrocalamus farinosus Growth by Remolding the Soil Microbiome and Metabolome. Front. Microbiol. 2023, 14, 1117355. [Google Scholar] [CrossRef]
- Kooch, Y.; Heydari, M.; Parsapour, M.K.; Valkó, O. Earthworm: A Keystone Species of Soil Quality, Health and Functions. Acta Oecol. 2025, 128, 104106. [Google Scholar] [CrossRef]
- Fonte, S.J.; Hsieh, M.; Mueller, N.D. Earthworms Contribute Significantly to Global Food Production. Nat. Commun. 2023, 14, 5713. [Google Scholar] [CrossRef] [PubMed]
- Carey, A.M.; Dutter, C.R.; Mbacke, K.; McDaniel, M.D.; Nair, A. Integrating Poultry Improves Soil Health and Vegetable Yield in Organic, Cover-Cropped System. Agric. Ecosyst. Environ. 2025, 382, 109499. [Google Scholar] [CrossRef]
- Edwards, C.A.; Arancon, N.Q. The Role of Earthworms in Organic Matter and Nutrient Cycles; Springer US: New York, NY, USA, 2022. [Google Scholar]
- Buivydaitė, Ž.; Lilja, M.A.; Sapkota, R.; Hansen, B.W.; Ellegaard-Jensen, L.; Hendriksen, N.B.; Krogh, P.H.; Winding, A. Earthworms Shape Prokaryotic Communities and Affect Extracellular Enzyme Activities in Agricultural Soil. Eur. J. Soil Biol. 2023, 115, 103474. [Google Scholar] [CrossRef]
- Tiunov, A.V.; Scheu, S. Microfungal Communities in Soil, Litter and Casts of Lumbricus terrestris L. (Lumbricidae): A Laboratory Experiment. Appl. Soil Ecol. 2000, 14, 17–26. [Google Scholar] [CrossRef]
- Byzov, B.A.; Khomyakov, N.V.; Kharin, S.A.; Kurakov, A.V. Fate of Soil Bacteria and Fungi in the Gut of Earthworms. Eur. J. Soil Biol. 2007, 43, S149–S156. [Google Scholar] [CrossRef]
- Gong, X.; Wang, S.; Wang, Z.; Jiang, Y.; Hu, Z.; Zheng, Y.; Chen, X.; Li, H.; Hu, F.; Liu, M.; et al. Earthworms Modify Soil Bacterial and Fungal Communities through Enhancing Aggregation and Buffering pH. Geoderma 2019, 347, 59–69. [Google Scholar] [CrossRef]
- Cheng, L.; Lu, W.; Luo, T.; He, H.; Li, J. Organic Fertilizer Substitution Promoted the Organic Carbon Sequestration in Calcareous Fluvisol: A Study Based on Acid Hydrolysis and Attenuated Total Reflectance-Fourier Transform Infrared Spectroscopy (ATR-FTIR). Commun. Soil Sci. Plant Anal. 2023, 54, 2951–2964. [Google Scholar] [CrossRef]
- Chen, J.; Chen, S.; Liu, Z.; Wu, L.; Xiang, H.; Zhang, J.; Wei, H. A Bibliometric Analysis on Research Progress of Earthworms in Soil Ecosystems. Biology 2024, 13, 385. [Google Scholar] [CrossRef]
- IUSS Working Group WRB. World Reference Base for Soil Resources: International Soil Classification System for Naming Soils and Creating Legends for Soil Maps, 4th ed.; International Union of Soil Sciences (IUSS): Vienna, Austria, 2022. [Google Scholar]
- Lu, R.K. Soil Agrochemistry Analysis Protocoes; China Agriculture Science Press: Beijing, China, 1999. [Google Scholar]
- Whittington, P.; Koiter, A.; Watts, D.; Brewer, A.; Golubev, V. Bulk Density, Particle Density, and Porosity of Two Species of Sphagnum: Variability in Measurement Techniques and Spatial Distribution. Soil Sci. Soc. Am. J. 2021, 85, 2220–2233. [Google Scholar] [CrossRef]
- Kubínová, R.; Neumann, M.; Kavka, P. Aggregate and Particle Size Distribution of the Soil Sediment Eroded on Steep Artificial Slopes. Appl. Sci. 2021, 11, 4427. [Google Scholar] [CrossRef]
- Cai, S.M.; Xu, S.X.; Zhang, D.S.; Fu, Z.S.; Zhang, H.L.; Zhu, H.T. Phytoremediation of Secondary Salinity in Greenhouse Soil with Astragalus sinicus, Spinacea oleracea and Lolium perenne. Agriculture 2022, 12, 212. [Google Scholar] [CrossRef]
- Schloss, P.D.; Westcott, S.L.; Ryabin, T.; Hall, J.R.; Hartmann, M.; Hollister, E.B.; Lesniewski, R.A.; Oakley, B.B.; Parks, D.H.; Robinson, C.J.; et al. Introducing Mothur: Open-Source, Platform-Independent, Community-Supported Software for Describ-ing and Comparing Microbial Communities. Appl. Environ. Microbiol. 2009, 75, 7537–7541. [Google Scholar] [CrossRef]
- Zhou, Z.F.; Wang, M.X.; Zuo, X.H.; Yao, Y.H. Comparative Investigation of Bacterial, Fungal, and Archaeal Community Structures in Soils in a Typical Oilfield in Jianghan, China. Arch. Environ. Contam. Toxicol. 2017, 72, 65–77. [Google Scholar] [CrossRef]
- Segata, N.; Izard, J.; Waldron, L.; Gevers, D.; Miropolsky, L.; Garrett, W.S.; Huttenhower, C. Metagenomic Biomarker Discov-ery and Explanation. Genome Biol. 2011, 12, R60. [Google Scholar] [CrossRef]
- Legendre, P.; Oksanen, J.; Ter Braak, C.J.F. Testing the Significance of Canonical Axes in Redundancy Analysis. Methods Ecol. Evol. 2011, 2, 269–277. [Google Scholar] [CrossRef]
- Yang, R.M.; Zhang, G.L.; Liu, F.; Lu, Y.Y.; Yang, F.; Yang, F.; Yang, M.; Zhao, Y.G.; Li, D.C. Comparison of Boosted Regres-sion Tree and Random Forest Models for Mapping Topsoil Organic Carbon Concentration in an Alpine Ecosystem. Ecol. Indic. 2016, 60, 870–878. [Google Scholar] [CrossRef]
- Chelkha, M.; Blanco-Pérez, R.; Labarga, D.; de Toro, M.; Dueñas-Hernani, J.; Wickings, K.; Campos-Herrera, R. Co-Occurrence of Entomopathogenic Nematodes and Earthworms Enhances Enduring Biocontrol Activity and Microbial Diversity in a Naturalized Plant-Soil System. Biol. Control 2025, 200, 105685. [Google Scholar] [CrossRef]
- Rodríguez, M.P.; Domínguez, A.; Gabbarini, L.A.; Escudero, H.J.; Wall, L.G.; Bedano, J.C. Earthworms Mediate the Effect of Diversifying Crop Rotations on Soil Organic Carbon Incorporation, Soil Structure Formation and Microbial Activity. Agr. Ecosyst. Environ. 2025, 391, 109751. [Google Scholar] [CrossRef]
- Capowiez, Y.; Sanchez-Hernandez, J.C. Anecic Earthworms Benefit from Organic Management Practices in Apple Orchards under the Mediterranean Climate. Appl. Soil Ecol. 2024, 200, 105439. [Google Scholar] [CrossRef]
- Ratsiatosika, O.; Trap, J.; Herinasandratra, V.; Razafimbelo, T.; Bernard, L.; Blanchart, E. Earthworms Enhance the Performance of Organic Amendments in Improving Rice Growth and Nutrition in Poor Ferralsols. Soil Biol. Biochem. 2024, 195, 109477. [Google Scholar] [CrossRef]
- Song, C.; Zi, Y.; Dignac, M.F.; Bottinelli, N.; Felbacq, A.; Song, S.; Rumpel, C. The Role of Earthworms in the Transformation of Labile Plant Litter into Mineral-Associated Organic Matter. Soil Biol. Biochem. 2025, 208, 109859. [Google Scholar] [CrossRef]
- Medina-Sauza, R.M.; Álvarez-Jiménez, M.; Delhal, A.; Reverchon, F.; Blouin, M.; Guerrero-Analco, J.A.; Cerdán, C.R.; Guevara, R.; Villain, L.; Barois, I. Earthworms Building Up Soil Microbiota, a Review. Front. Environ. Sci. 2019, 7, 81. [Google Scholar] [CrossRef]
- De Vries, F.T.; Thébault, E.; Liiri, M.; Birkhofer, K.; Tsiafouli, M.A.; Bjørnlund, L.; Bracht Jørgensen, H.; Brady, M.V.; Christen-sen, S.; De Ruiter, P.C.; et al. Soil Food Web Properties Explain Ecosystem Services across European Land Use Systems. Proc. Natl. Acad. Sci. USA 2013, 110, 14296–14301. [Google Scholar] [CrossRef] [PubMed]
- Zhang, Q.; Li, S.; Saleem, M.; Ali, M.Y.; Xiang, J. Biochar and Earthworms Synergistically Improve Soil Structure, Microbial Abundance, Activities and Pyraclostrobin Degradation. Appl. Soil Ecol. 2021, 168, 104154. [Google Scholar] [CrossRef]
- Pelaez-Sanchez, S.; Schmidt, O.; Frouz, J.; Čápová, K.; Courtney, R. Effects of Earthworms on Microbial Community Structure, Functionality and Soil Properties in Soil Cover Treatments for Mine Tailings Rehabilitation. Eur. J. Soil Biol. 2024, 120, 103603. [Google Scholar] [CrossRef]
- Naqqash, T.; Imran, A.; Hameed, S.; Shahid, M.; Majeed, A.; Iqbal, J.; Hanif, M.K.; Ejaz, S.; Malik, K.A. First Report of Diazo-trophic Brevundimonas Spp. as Growth Enhancer and Root Colonizer of Potato. Sci. Rep. 2020, 10, 12893. [Google Scholar] [CrossRef]
- Onley, J.R.; Ahsan, S.; Sanford, R.A.; Löffler, F.E. Denitrification by Anaeromyxobacter dehalogenans, a Common Soil Bacterium Lacking the Nitrite Reductase Genes nirS and nirK. Appl. Environ. Microbiol. 2018, 84, e01985-17. [Google Scholar] [CrossRef]
- Hung, P.M.; Wattanachai, P.; Kasem, S.; Poeaim, S. Efficacy of Chaetomium Species as Biological Control Agents against Phytophthora Nicotianae Root Rot in Citrus. Mycobiology 2015, 43, 288–296. [Google Scholar] [CrossRef]
- Wang, D.; Ma, N.; Rao, W.; Zhang, Y. Recent Advances in Life History Transition with Nematode-Trapping Fungus Arthrobotrys oligospora and Its Application in Sustainable Agriculture. Pathogens 2023, 12, 367. [Google Scholar] [CrossRef]
- Blouin, M.; Robin, A.; Amans, L.; Reverchon, F.; Barois, I.; Lavelle, P. A Meta-Analysis Reveals Earthworms as Mutualists Rather than Predators of Soil Microorganisms. Geoderma 2025, 455, 117238. [Google Scholar] [CrossRef]
- Zhang, W.; Cao, J.; Zhang, S.; Wang, C. Effect of Earthworms and Arbuscular Mycorrhizal Fungi on the Microbial Community and Maize Growth under Salt Stress. Appl. Soil Ecol. 2016, 107, 214–223. [Google Scholar] [CrossRef]
- Lu, Y.; Gao, P.; Wang, Y.; Li, W.; Cui, X.; Zhou, J.; Peng, F.; Dai, L. Earthworm Activity Optimized the Rhizosphere Bacterial Community Structure and Further Alleviated the Yield Loss in Continuous Cropping Lily (Lilium lancifolium Thunb.). Sci. Rep. 2021, 11, 20840. [Google Scholar] [CrossRef] [PubMed]
- Gao, F.; Ye, L.; Mu, X.; Xu, L.; Shi, Z.; Luo, Y. Synergistic Effects of Earthworms and Cow Manure under Reduced Chemical Fertilization Modified Microbial Community Structure to Mitigate Continuous Cropping Effects on Chinese Flowering Cabbage. Front. Microbiol. 2023, 14, 1285464. [Google Scholar] [CrossRef]
- Li, P.; Li, Y.; Xu, L.; Zhang, H.; Shen, X.; Xu, H.; Jiao, J.; Li, H.; Hu, F. Crop Yield-Soil Quality Balance in Double Cropping in China’s Upland by Organic Amendments: A Meta-Analysis. Geoderma 2021, 403, 115197. [Google Scholar] [CrossRef]
- Zheng, X.; Song, K.; Li, S.; Zhang, H.; Bai, N.; Zhang, J.; Zhang, H.; Cai, S.; Lv, W.; Cao, L. Effects of Long-Term Integrated Agri-Aquaculture on the Soil Fungal Community Structure and Function in Vegetable Fields. Sci. Rep. 2021, 11, 10813. [Google Scholar] [CrossRef] [PubMed]
- Al-Maliki, S.; Al-Taey, D.K.A.; Al-Mammori, H.Z. Earthworms and Eco-Consequences: Considerations to Soil Biological Indicators and Plant Function: A Review. Acta Ecol. Sin. 2021, 41, 512–523. [Google Scholar] [CrossRef]
- Cozim-Melges, F.; Ripoll-Bosch, R.; Oggiano, P.; van Zanten, H.H.E.; van der Putten, W.H.; Veen, G.C. The Effect of Alternative Agricultural Practices on Soil Biodiversity of Bacteria, Fungi, Nematodes and Earthworms: A Review. Agric. Ecosyst. Environ. 2025, 379, 109329. [Google Scholar] [CrossRef]
- Van Groenigen, J.W.; Van Groenigen, K.J.; Koopmans, G.F.; Stokkermans, L.; Vos, H.M.; Lubbers, I.M. How Fertile Are Earthworm Casts? A Meta-Analysis. Geoderma 2019, 338, 525–535. [Google Scholar] [CrossRef]





| Treatments | 16S | ITS | B:F | ||||
|---|---|---|---|---|---|---|---|
| Quantity | Shannon | Chao1 | Quantity | Shannon | Chao1 | ||
| (109 Copies/g) | (107 Copies/g) | ||||||
| CK_0 | 4.77 ± 0.18 b | 6.52 ± 0.03 a | 3374.43 ± 68.20 b | 2.06 ± 0.03 d | 4.12 ± 0.05 ab | 562.66 ± 19.07 a | 2.32 ± 0.10 b |
| CK_IF100 | 6.01 ± 0.34 a | 6.66 ± 0.04 a | 3706.73 ± 115.01 a | 1.71 ± 0.07 e | 4.46 ± 0.04 a | 574.99 ± 22.85 a | 3.51 ± 0.06 a |
| VE_IF100 | 3.11 ± 0.10 d | 6.53 ± 0.11 a | 3355.27 ± 54.00 b | 5.84 ± 0.02 a | 2.76 ± 0.19 d | 402.07 ± 24.65 c | 0.53 ± 0.05 d |
| VE_IF70 | 4.07 ± 0.30 c | 6.27 ± 0.19 ab | 3287.77 ± 106.70 b | 2.47 ± 0.05 c | 3.44 ± 0.19 c | 482.29 ± 31.56 b | 1.65 ± 0.20 c |
| VE_OF100 | 1.85 ± 0.08 e | 6.42 ± 0.24 a | 3723.67 ± 90.03 a | 2.23 ± 0.05 cd | 3.93 ± 0.05 b | 477.52 ± 11.87 b | 0.83 ± 0.15 d |
| VE_0 | 4.84 ± 0.14 b | 5.85 ± 0.21 b | 3517.10 ± 99.12 ab | 3.35 ± 0.17 b | 3.01 ± 0.19 cd | 399.12 ± 25.68 c | 1.44 ± 0.02 c |
Disclaimer/Publisher’s Note: The statements, opinions and data contained in all publications are solely those of the individual author(s) and contributor(s) and not of MDPI and/or the editor(s). MDPI and/or the editor(s) disclaim responsibility for any injury to people or property resulting from any ideas, methods, instructions or products referred to in the content. |
© 2025 by the authors. Licensee MDPI, Basel, Switzerland. This article is an open access article distributed under the terms and conditions of the Creative Commons Attribution (CC BY) license (https://creativecommons.org/licenses/by/4.0/).
Share and Cite
Cai, S.; Xu, S.; Zhang, D.; Liang, Y.; Zheng, X.; Zhu, H. Organic Fertilizer Substitution Modulates Soil Properties and Microbial Communities in a Vegetable–Earthworm Co-Cultivation System. Microorganisms 2025, 13, 2742. https://doi.org/10.3390/microorganisms13122742
Cai S, Xu S, Zhang D, Liang Y, Zheng X, Zhu H. Organic Fertilizer Substitution Modulates Soil Properties and Microbial Communities in a Vegetable–Earthworm Co-Cultivation System. Microorganisms. 2025; 13(12):2742. https://doi.org/10.3390/microorganisms13122742
Chicago/Turabian StyleCai, Shumei, Sixin Xu, Deshan Zhang, Yun Liang, Xianqing Zheng, and Haitao Zhu. 2025. "Organic Fertilizer Substitution Modulates Soil Properties and Microbial Communities in a Vegetable–Earthworm Co-Cultivation System" Microorganisms 13, no. 12: 2742. https://doi.org/10.3390/microorganisms13122742
APA StyleCai, S., Xu, S., Zhang, D., Liang, Y., Zheng, X., & Zhu, H. (2025). Organic Fertilizer Substitution Modulates Soil Properties and Microbial Communities in a Vegetable–Earthworm Co-Cultivation System. Microorganisms, 13(12), 2742. https://doi.org/10.3390/microorganisms13122742

