Sign in to use this feature.

Years

Between: -

Subjects

remove_circle_outline
remove_circle_outline
remove_circle_outline
remove_circle_outline
remove_circle_outline
remove_circle_outline
remove_circle_outline
remove_circle_outline
remove_circle_outline

Journals

remove_circle_outline
remove_circle_outline
remove_circle_outline
remove_circle_outline
remove_circle_outline

Article Types

Countries / Regions

remove_circle_outline
remove_circle_outline
remove_circle_outline
remove_circle_outline

Search Results (485)

Search Parameters:
Keywords = soil GHG emissions

Order results
Result details
Results per page
Select all
Export citation of selected articles as:
17 pages, 3264 KB  
Article
Effects of Invasive Solidago canadensis and Biochar on the Remediation of Soil Cd Contamination and Greenhouse Gas Emissions
by Xiaokang Ni, Yadi Yu, Xi Liu, Wanqing Nie, Yuli Hu, Jian Bai, Ziyi Yan, Wei Li, Lifei Xiong, Xixian Xie, Yuanyuan Zhu, Zihan Zeng, Qingye Yu, Shuli Wang, Qin Ying, Nansheng Wu and Ling Zhang
Life 2025, 15(12), 1927; https://doi.org/10.3390/life15121927 - 16 Dec 2025
Viewed by 101
Abstract
Cadmium (Cd) contamination in agricultural soils threatens food security and exacerbates climate change through its impact on greenhouse gas (GHG) (CO2, N2O and CH4) emissions, in which N2O and CO2 are the dominant fluxes [...] Read more.
Cadmium (Cd) contamination in agricultural soils threatens food security and exacerbates climate change through its impact on greenhouse gas (GHG) (CO2, N2O and CH4) emissions, in which N2O and CO2 are the dominant fluxes of the terrestrial carbon-nitrogen cycle whose magnitude is directly amplified by Cd stress. Key remediation approaches for this dual challenge are phytoremediation and biochar amendment. This study aims to investigate the effects of Solidago canadensis (CGR) and biochar (BC) on soil remediation and GHG emissions under different levels of Cd contamination. A pot experiment with four Cd concentration gradients (0, 5, 10, and 30 mg kg−1, i.e., Cd-0, Cd-5, Cd-10, and Cd-30, respectively) and three remediation measures (control, BC addition, and CGR cultivation) was set up to measure available soil Cd (ACd), soil physicochemical properties, GHG emissions, and plant Cd accumulations. The results demonstrated that ACd was significantly reduced by BC via adsorption through surface complexation and by CGR via immobilization through root uptake and sequestration. CGR decreased ACd by 46.2% and 41.7% under mild and moderate Cd contamination, respectively, while BC reduced ACd by 8.9% under severe contamination. In terms of GHG emissions, CGR increased cumulative CO2 by 83.4% in Cd-10 soil and 53.8% in Cd-30 soil, whereas BC significantly lowered N2O emissions by 22.1% in Cd-5 soil. Mantel analysis revealed strong correlations between ACd and key carbon and nitrogen indicators, which mediate the bioavailability of Cd. Therefore, CGR cultivation is better suited to mild-to-moderate contamination given its high removal efficiency, while BC amendment is targeted at severe contamination by stabilizing Cd and mitigating N2O. This provides a scientific basis for the remediation of Cd-contaminated soils. Full article
(This article belongs to the Section Plant Science)
Show Figures

Figure 1

15 pages, 1457 KB  
Article
Linking Soil C:N Stoichiometry to Greenhouse Gas Balance: Implications for Ecosystem Sustainability in Temperate Forests
by Baolong Du, Nan Xu, Yuan Wang, Juexian Dong and Shaopeng Yu
Sustainability 2025, 17(24), 11260; https://doi.org/10.3390/su172411260 - 16 Dec 2025
Viewed by 122
Abstract
Ecological stoichiometry offers a powerful framework for linking the elemental composition of ecosystems to their biogeochemical functions. However, whether soil stoichiometry directly controls greenhouse gas (GHG) emission ratios remains largely unexplored. This study provides a case study investigating the link between the soil [...] Read more.
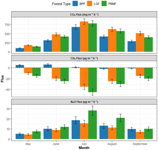
Ecological stoichiometry offers a powerful framework for linking the elemental composition of ecosystems to their biogeochemical functions. However, whether soil stoichiometry directly controls greenhouse gas (GHG) emission ratios remains largely unexplored. This study provides a case study investigating the link between the soil carbon-to-nitrogen (C:N) mass ratio and the gaseous C:N molar emission ratio in three distinct temperate island-like forests (Larix gmelinii forest, LGF; Betula platyphylla forest, BPF; and a Populus-Betula mixed forest, PBMF) in the Qixing River Wetland. Using the static chamber–gas chromatography method, we measured soil fluxes of CO2, CH4, and N2O throughout the growing season. Our results revealed a strong, significant positive linear relationship (R2 = 0.99, p < 0.001) between the soil C:N ratio and the gaseous C:N emission ratio across all forest types. The LGF, possessing the highest soil C:N ratio, exhibited the highest gaseous C:N emission ratio, driven by substantial CO2 emissions (mean flux of 512.45 mg·m−2·h−1). Furthermore, the Larix gmelinii forest (LGF) exhibited the highest total Global Warming Potential (GWP), primarily driven by its significant CO2 emissions. In contrast, the PBMF was the strongest CH4 sink (−25.82 μg·m−2·h−1) and a N2O emission hotspot (15.24 μg·m−2·h−1), corresponding to its low soil C:N ratio. These findings provide strong evidence that soil elemental stoichiometry is a key driver regulating the functional signature of GHG emissions. This case study highlights the potential of using stoichiometric theory to develop predictive tools for assessing ecosystem sustainability and informing sustainable forest management strategies under climate change. Full article
(This article belongs to the Special Issue Sustainable Forest Ecosystems, Climate Change and Biodiversity)
Show Figures

Figure 1

15 pages, 1042 KB  
Article
GHG Emissions and Carbon Sequestration in Coastal Bambusa edulis Shelterbelts with Biochar and Organic Fertilizer
by Ying-Pin Huang, Chung-I Chen, Chih-Pei Shen, Jia-Yi Shen, Wei-Chih Chen, Yue-Hua Liou, Shih-Chi Lee, Chuan-Chi Chien, Xu-Chen Yang, Wen-Hung Huang and Ching-Wen Wang
C 2025, 11(4), 93; https://doi.org/10.3390/c11040093 - 15 Dec 2025
Viewed by 167
Abstract
This study evaluated the seasonal greenhouse gas (GHG) emissions and carbon assimilation of Bambusa edulis under four soil amendment treatments—control (C), biochar (B), fertilizer using vermicompost (F), and biochar plus fertilizer (B + F)—in a coastal shelterbelt system in south-western Taiwan. Over a [...] Read more.
This study evaluated the seasonal greenhouse gas (GHG) emissions and carbon assimilation of Bambusa edulis under four soil amendment treatments—control (C), biochar (B), fertilizer using vermicompost (F), and biochar plus fertilizer (B + F)—in a coastal shelterbelt system in south-western Taiwan. Over a 12-month period, CO2 and N2O fluxes and photosynthetic carbon uptake were measured. The control (C) treatment served as the baseline, exhibiting the lowest greenhouse gas (GHG) emissions and carbon assimilation. Its summer N2O emissions were 39.54 ± 20.79 g CO2 e m−2, and its spring carbon assimilation was 13.2 ± 0.84 kg CO2 clump−1. In comparison, the amendment treatments significantly enhanced both emissions and carbon uptake. The fertilizer-only (F) treatment resulted in the highest levels, with peak summer N2O emissions increasing by 306.5% (to 160.73 ± 96.22 g CO2 e m−2) and spring carbon assimilation increasing by 40.2% (to 18.5 ± 0.62 kg CO2 clump−1). An increase in these values was also observed in the combined biochar and fertilizer (B + F) treatment, although the magnitude was less than that of the F treatment alone. In the B + F treatment, summer N2O emissions increased by 130.3% (to 91.1 ± 62.51 g CO2 e m−2), while spring carbon assimilation increased by 17.4% (to 15.5 ± 0.36 kg CO2 clump−1). Soil CO2 flux was significantly correlated with atmosphere temperature (r = 0.63, p < 0.01) and rainfall (r = 0.45, p < 0.05), while N2O flux had a strong positive correlation with rainfall (r = 0.71, p < 0.001). The findings highlight a trade-off between nutrient-driven productivity and GHG intensity and demonstrate that optimized organic and biochar applications can enhance photosynthetic carbon gain while mitigating emissions. The results support bamboo’s role in climate mitigation and carbon offset strategies within nature-based solution frameworks. Full article
(This article belongs to the Section Carbon Cycle, Capture and Storage)
Show Figures

Figure 1

21 pages, 2046 KB  
Article
Mitigation of Greenhouse Gas Emissions Through Straw Management and Oxygenated and Biochar-Based Fertilizers
by Qi Sun, Yu-Feng Wang, Hao Jiang, Huichang Bian, Xiao-Jun Wang, Yan Li, Hong-Sheng Gao, Xue Pan, Shuai Hao and Xue-Jia Gu
Plants 2025, 14(24), 3791; https://doi.org/10.3390/plants14243791 - 12 Dec 2025
Viewed by 174
Abstract
Straw returning is a common agricultural practice that can enhance rice (Oryza sativa L.) yield in paddy systems. However, it also leads to a significant increase in greenhouse gas emissions (GHG). Fortunately, this negative impact can be mitigated by implementing enhanced oxygenation [...] Read more.
Straw returning is a common agricultural practice that can enhance rice (Oryza sativa L.) yield in paddy systems. However, it also leads to a significant increase in greenhouse gas emissions (GHG). Fortunately, this negative impact can be mitigated by implementing enhanced oxygenation strategies during rice cultivation. This study explored the effects of various oxygenation measures on GHG under straw-returning conditions through controlled pot experiments. Six distinct treatments were applied. These included straw not returned (NR, no straw applied), straw returned (SR), controlled irrigation (CI), oxygenation irrigation (OI), application of oxygenated fertilizer (OF, CaO2), and use of biochar-based fertilizer (CF). All treatment groups, with the exception of the NR group, involved the return of straw to the field. Creating rice production methods that increase yield and decrease emissions is of great importance to agricultural ecology. We postulated that using aeration methods under straw return conditions would stabilize rice yield and reduce GHG. The experimental results were consistent with our hypothesis. The experiment evaluated multiple parameters, including rice yield, leaf photosynthetic performance, soil ammonium and nitrate nitrogen (N) levels, and greenhouse gas emissions. The findings revealed that different oxygenation approaches significantly promoted rice tillering. Oxygenation measures have been shown to enhance rice yield by 19% to 65%. The highest tiller numbers were observed in the SR (22.75) and CF (21.6) treatments. Among all treatments, the CF achieved the highest seed setting rate at 0.94, which was notably greater than that of the other treatments. Total plant biomass was also significantly higher in the straw returning treatment (109.36 g), surpassing all other treatments. In terms of soil nitrogen dynamics, the OF treatment resulted in the highest nitrate nitrogen content. Meanwhile, the ammonium nitrogen concentrations across the four oxygenation treatments (CI, OI, OF, CF) ranged from approximately 7 to 8.9 mg kg−1. Regarding GHG, the CF treatment exhibited the lowest methane emissions, which were 33% lower compared to the straw returning treatment. The OF led to a 22% reduction in carbon dioxide emissions (CO2) relative to straw returning. Most notably, the CF reduced nitrous oxide emissions by 37% compared to the straw returning treatment. Overall, SR was found to substantially increase GHG. In contrast, all tested oxygenation measures—CI, OI, OF, and CF—were effective in suppressing GHG to varying degrees. Among these, the CF and OF demonstrated the most balanced and outstanding effects, both in reducing emissions and maintaining stable rice yields. Full article
Show Figures

Figure 1

20 pages, 1715 KB  
Article
A Comparative Analysis of the Regional Integrated Rice–Crayfish Systems Based on Ecosystem Service Value: A Case Study of Huoqiu County and Chongming District in China
by Bingbing Lou, Chen Qian, Xiangzhi Cai, Zeyi Cheng, Yewen Xi, Qiqi Pan, Jinghao Li, Zhaofang Zhang and Jiayao Li
Sustainability 2025, 17(24), 11047; https://doi.org/10.3390/su172411047 - 10 Dec 2025
Viewed by 178
Abstract
This study evaluates regional differences in ecosystem service values (ESVs) between the integrated rice–crayfish systems of Huoqiu County (HQ) and Chongming District (CM) in China. The assessment was based on the Common International Classification of Ecosystem Services (CICES) V5.1, which categorizes ecosystem services [...] Read more.
This study evaluates regional differences in ecosystem service values (ESVs) between the integrated rice–crayfish systems of Huoqiu County (HQ) and Chongming District (CM) in China. The assessment was based on the Common International Classification of Ecosystem Services (CICES) V5.1, which categorizes ecosystem services into provisioning, regulation and maintenance, and cultural services. In this framework, each service category was quantified using region-specific biophysical indicators combined with monetary valuation methods. The results showed that the ESVs in HQ and CM were 346,113.59 CNY/ha and 467,334.89 CNY/ha, respectively, with greenhouse gas (GHG) emissions accounted for as a negative value. Regulation and maintenance services dominated both regions (59% in HQ and 52% in CM), followed by provisioning services (22%) in HQ and cultural services (19%) in CM. Among these, temperature regulation, water storage and flood control, soil nutrient retention, social security functions, and greenhouse gas emissions were higher in HQ than in CM, with the key difference lying in social security value in HQ and greater tourism development value in CM. A SWOT-AHP analysis recommends a pioneering strategy leveraging strengths and opportunities for sustainable development. These findings inform region-specific policies to balance economic growth and environmental sustainability, contributing to global discourse on integrated agriculture–aquaculture (IAA) systems. Future research incorporating primary data and refining model parameters would further enhance the precision and practical application of these assessments. Full article
(This article belongs to the Special Issue Bringing Ecosystem Services into Decision-Making—2nd Edition)
Show Figures

Figure 1

24 pages, 619 KB  
Review
Monitoring, Reporting, and Verification (MRV) Protocols Used in Carbon Trading Applied to Dryland Nations in the Global South for Climate Change Mitigation
by Mary Thornbush and Ajit Govind
Sustainability 2025, 17(24), 11001; https://doi.org/10.3390/su172411001 - 9 Dec 2025
Viewed by 642
Abstract
Climate change mitigation involves carbon sequestration that can be supported by Voluntary Carbon Markets (VCMs) and counted as Nationally Determined Contributions (NDCs) in national climate change strategies. Integrating these allows for the determination of greenhouse gas (GHG) emissions and carbon sequestration at the [...] Read more.
Climate change mitigation involves carbon sequestration that can be supported by Voluntary Carbon Markets (VCMs) and counted as Nationally Determined Contributions (NDCs) in national climate change strategies. Integrating these allows for the determination of greenhouse gas (GHG) emissions and carbon sequestration at the national level. The case for Egypt and other nontropical dryland nations is made in this systematic review article through consideration of monitoring, reporting, and verification (MRV) protocol challenges and initiatives. Improvements are indicated based on the literature, encompassing the academic literature as well as organizational reports and governmental policy documents. Agricultural MRV protocols depending on soil organic carbon (SOC) measurements are specifically considered, delineating the challenges and barriers for SOC MRV methods. Considering the impacts of climate zones affecting soils and providing as much standardization as possible for MRV protocols will improve the accuracy and generalizability of data. Measurements in carbon sequestration monitoring based on SOC MRV protocols need to be informed by soil experts alongside climatologists and policymakers in a multidisciplinary approach. Full article
Show Figures

Figure 1

15 pages, 2268 KB  
Review
A Comprehensive Review of the Effects of Organic Amendments on Soil Health and Fertility: Mechanisms, Greenhouse Gas Emissions, and Implications for Sustainable Agriculture
by Jing Xu, Yangyang Li and Lingling Li
Agronomy 2025, 15(12), 2705; https://doi.org/10.3390/agronomy15122705 - 25 Nov 2025
Viewed by 1041
Abstract
With the escalating application of chemical fertilizers, the potential for environmental pollution has increased significantly. Currently, the degradation of soil quality due to the indiscriminate use of chemical fertilizers poses a more pressing challenge than ever before, threatening both human food production and [...] Read more.
With the escalating application of chemical fertilizers, the potential for environmental pollution has increased significantly. Currently, the degradation of soil quality due to the indiscriminate use of chemical fertilizers poses a more pressing challenge than ever before, threatening both human food production and the environment. The utilization of organic amendments not only enables the efficient recycling of organic waste resources but also reduces the reliance on chemical fertilizers. Meanwhile, organic amendments play a crucial role in soil improvement, helping to stabilize and enhance crop yields. Numerous studies have investigated the impacts of organic amendments on various aspects of crop production, including soil biology, biochemistry, heavy metal accumulation, and greenhouse gas (GHG) emissions. However, these studies have predominantly focused on isolated aspects rather than adopting a comprehensive perspective. Therefore, a comprehensive analysis of the positive and adverse effects of organic amendments is important in optimizing fertilizer use to meet crop nutrient demands and advancing carbon-neutral agriculture. This study mainly explores the intrinsic mechanism of the influence of organic amendments on soil physicochemical properties, enzyme activity and microbial diversity, heavy metal contamination and mobility, and GHG emissions in farmland. Finally, recommendations for the future development of organic amendments are proposed for promoting green and sustainable agricultural practices. Full article
(This article belongs to the Section Farming Sustainability)
Show Figures

Figure 1

18 pages, 1392 KB  
Article
Precipitation-Driven Soil and Vegetation Changes Shape Wetland Greenhouse Gas Emissions
by Ziwei Yang, Kelong Chen, Hairui Zhao, Ni Zhang and Desheng Qi
Biology 2025, 14(12), 1663; https://doi.org/10.3390/biology14121663 - 24 Nov 2025
Viewed by 257
Abstract
Against the backdrop of global climate change, alterations in precipitation regimes—including the increasing frequency of extreme events—have become more widespread, exerting profound impacts on terrestrial ecosystems and reshaping greenhouse gas (GHG) emission dynamics in wetlands. Wetlands, as unique ecosystems formed at the interface [...] Read more.
Against the backdrop of global climate change, alterations in precipitation regimes—including the increasing frequency of extreme events—have become more widespread, exerting profound impacts on terrestrial ecosystems and reshaping greenhouse gas (GHG) emission dynamics in wetlands. Wetlands, as unique ecosystems formed at the interface of terrestrial and aquatic environments, play a critical role in regulating carbon source–sink functions. In this study, we conducted in situ field simulation experiments to examine how precipitation changes influence the seasonal fluxes of carbon dioxide (CO2), methane (CH4), and nitrous oxide (N2O) in the Wayan Mountain headwater wetlands, and further explored the regulatory effects of vegetation attributes and soil physicochemical properties on these fluxes. The results revealed that a moderate increase in precipitation (+25%) enhanced CO2 emissions and vegetation growth while suppressing CH4 and N2O fluxes, indicating a positive ecosystem response to additional water supply. In contrast, extreme precipitation changes (+75% and −75%) weakened the coupling between GHG fluxes and soil factors, resulting in reduced CO2 flux, amplified variability in CH4 and N2O emissions, and inhibited vegetation growth and community diversity. The dominant controls differed among gases: CO2 was primarily regulated by soil carbon pools, CH4 was highly sensitive to water availability, and N2O was influenced by soil nitrogen, pH, and salinity. Overall, moderate increases in precipitation enhance the carbon sink capacity and community stability of alpine wetlands, whereas extreme hydrological fluctuations undermine ecosystem functioning. These findings provide important insights into carbon cycling processes and regulatory mechanisms of alpine wetlands under future climate change scenarios. Full article
(This article belongs to the Special Issue Wetland Ecosystems (2nd Edition))
Show Figures

Figure 1

17 pages, 2829 KB  
Article
Livestock and Climate Change: How Do Livestock Practices Impact Greenhouse Gas Emissions in Holders Fields in Zamora Chinchipe?
by Leticia Jiménez, Daniel Capa-Mora, Natacha Fierro, Jefferson Lasso, Junior Roa, Juan Bermeo, Juan Merino and Rubén Carrera
Environments 2025, 12(11), 443; https://doi.org/10.3390/environments12110443 - 17 Nov 2025
Viewed by 688
Abstract
Agricultural production in Zamora Chinchipe is primarily focused on dairy farming, an activity that constitutes a key component of land use in the region. Accordingly, the objectives of this study were as follows: (a) to estimate greenhouse gas (GHG) emissions from dairy farms [...] Read more.
Agricultural production in Zamora Chinchipe is primarily focused on dairy farming, an activity that constitutes a key component of land use in the region. Accordingly, the objectives of this study were as follows: (a) to estimate greenhouse gas (GHG) emissions from dairy farms using the GLEAM model and (b) to evaluate the influence of altitude and livestock management practices on soil properties and the estimated GHG emissions associated with cattle production. This study encompassed 100 dairy farms, where the GLEAM methodology was applied to quantify emissions-related data. In addition, 300 soil samples (three per farm) were collected, and the perimeter of each farm, as well as the remaining forest areas, was mapped. The results indicate that although the farms generate CO2-equivalent emissions associated with livestock activities, the remaining forest areas contribute to mitigation by storing carbon in the soil. Altitude was found to positively influence soil quality, increasing organic matter and nitrogen content, whereas overgrazing negatively affected key soil properties and was associated with higher levels of GHG emissions. These findings underscore the need to implement sustainable management strategies that integrate agricultural production with the conservation of ecosystem services. Full article
Show Figures

Figure 1

37 pages, 4377 KB  
Review
Sustainable Approaches to Agricultural Greenhouse Gas Mitigation in the EU: Practices, Mechanisms, and Policy Integration
by Roxana Maria Madjar, Gina Vasile Scăețeanu, Ana-Cornelia Butcaru and Andrei Moț
Sustainability 2025, 17(22), 10228; https://doi.org/10.3390/su172210228 - 15 Nov 2025
Cited by 1 | Viewed by 988
Abstract
The agricultural sector has a significant impact on the global carbon cycle, contributing substantially to greenhouse gas (GHG) emissions through various practices and processes. This review paper examines the significant role of the agricultural sector in the global carbon cycle, highlighting its substantial [...] Read more.
The agricultural sector has a significant impact on the global carbon cycle, contributing substantially to greenhouse gas (GHG) emissions through various practices and processes. This review paper examines the significant role of the agricultural sector in the global carbon cycle, highlighting its substantial contribution to GHG emissions through diverse practices and processes. The study explores the trends and spatial distribution of agricultural GHG emissions at both the global level and within the European Union (EU). Emphasis is placed on the principal gases released by this sector—methane (CH4), nitrous oxide (N2O), and carbon dioxide (CO2)—with detailed attention to their sources, levels, environmental impacts, and key strategies to mitigate and control their effects, based on the latest scientific data. The paper further investigates emissions originating from livestock production, along with mitigation approaches including feed additives, selective breeding, and improved manure management techniques. Soil-derived emissions, particularly N2O and CO2 resulting from fertilizer application and microbial activity, are thoroughly explored. Additionally, the influence of various agricultural practices such as tillage, crop rotation, and fertilization on emission levels is analyzed, supported by updated data from recent literature. Special focus is given to the underlying mechanisms that regulate these emissions and the effectiveness of management interventions in reducing their magnitude. The research also evaluates current European legislative measures aimed at lowering agricultural emissions and promoting climate-resilient, sustainable farming systems. Various mitigation strategies—ranging from optimized land and nutrient management to the application of nitrification inhibitors and soil amendments are assessed for both their practical feasibility and long-term impact. Full article
Show Figures

Graphical abstract

25 pages, 1246 KB  
Review
Biochar for Soil Fertility and Climate Mitigation: Review on Feedstocks, Pyrolysis Conditions, Functional Properties, and Applications with Emerging AI Integration
by Florian Marin, Oana Maria Tanislav, Marius Constantinescu, Antoaneta Roman, Felicia Bucura, Simona Oancea and Anca Maria Zaharioiu
Agriculture 2025, 15(22), 2345; https://doi.org/10.3390/agriculture15222345 - 11 Nov 2025
Viewed by 1024
Abstract
Soil degradation, declining fertility, and rising greenhouse gas emissions highlight the urgent need for sustainable soil management strategies. Among them, biochar has gained recognition as a multifunctional material capable of enhancing soil fertility, sequestering carbon, and valorizing biomass residues within circular economy frameworks. [...] Read more.
Soil degradation, declining fertility, and rising greenhouse gas emissions highlight the urgent need for sustainable soil management strategies. Among them, biochar has gained recognition as a multifunctional material capable of enhancing soil fertility, sequestering carbon, and valorizing biomass residues within circular economy frameworks. This review synthesizes evidence from 186 peer-reviewed studies to evaluate how feedstock diversity, pyrolysis temperature, and elemental composition shape the agronomic and environmental performance of biochar. Crop residues dominated the literature (17.6%), while wood, manures, sewage sludge, and industrial by-products provided more targeted functionalities. Pyrolysis temperature emerged as the primary performance driver: 300–400 °C biochars improved pH, cation exchange capacity (CEC), water retention, and crop yield, whereas 450–550 °C biochars favored stability, nutrient concentration, and long-term carbon sequestration. Elemental composition averaged 60.7 wt.% C, 2.1 wt.% N, and 27.5 wt.% O, underscoring trade-offs between nutrient supply and structural persistence. Greenhouse gas (GHG) outcomes were context-dependent, with consistent Nitrous Oxide (N2O) reductions in loam and clay soils but variable CH4 responses in paddy systems. An emerging trend, present in 10.6% of studies, is the integration of artificial intelligence (AI) to improve predictive accuracy, adsorption modeling, and life-cycle assessment. Collectively, the evidence confirms that biochar cannot be universally optimized but must be tailored to specific objectives, ranging from soil fertility enhancement to climate mitigation. Full article
Show Figures

Figure 1

18 pages, 1320 KB  
Article
Persistence of Biochar Effects on Soil and Nitrous Oxide Emissions: Evaluating Single vs. Repeated Applications in Multi-Year Field Trial
by Melinda Molnárová, Elena Aydın, Vladimír Šimanský, Ján Čimo, Morad Mirzaei, Natalya P. Buchkina and Ján Horák
Agriculture 2025, 15(21), 2259; https://doi.org/10.3390/agriculture15212259 - 29 Oct 2025
Viewed by 602
Abstract
Biochar has been widely recognized for its potential to improve soil quality and mitigate greenhouse gas (GHG) emissions. A field experiment was conducted in a temperate climate zone of Slovakia on Haplic Luvisol and evaluated the long-term impact of biochar on soil properties, [...] Read more.
Biochar has been widely recognized for its potential to improve soil quality and mitigate greenhouse gas (GHG) emissions. A field experiment was conducted in a temperate climate zone of Slovakia on Haplic Luvisol and evaluated the long-term impact of biochar on soil properties, nitrous oxide (N2O) emissions, and winter wheat (Triticum aestivum L.) yield. Biochar was applied in 2014 at rates of 0, 10, and 20 t ha−1 and reapplied in 2018 at the same rates, combined with nitrogen (N) fertilization (0, 140, and 210 kg N ha−1). Measurements, conducted from March to October 2021, showed that biochar improved soil water content, increased soil pH, and enhanced soil organic carbon content. However, the concentrations of NH4+-N and NO3-N generally decreased across all the treatments compared to their respective controls. Biochar reapplication rate at 20 t ha−1, especially combined with second level of N-fertilization, led to a significant reduction in cumulative N2O emissions by 38.40%. Winter wheat yield was positively correlated with both biochar application (10 and 20 t ha−1) and N levels (140 and 210 kg N ha−1), but these differences were not statistically significant (p > 0.05). The positive effects of biochar on soil properties and yield declined over time, with no significant yield differences observed 7 years after the initial application and 3 years after reapplication. These findings suggest that while biochar can enhance soil conditions and reduce GHG emissions in the short term, its long-term effectiveness remains uncertain. Further research is needed to explore alternative biochar feedstocks, application methods, and strategies to sustain its benefits in agricultural systems. Full article
(This article belongs to the Section Agricultural Soils)
Show Figures

Figure 1

26 pages, 2709 KB  
Article
Exploratory Flux Pulses and Emerging Trade-Offs in a Semi-Arid Lettuce Experiment: Plant and Nitrogen Effects on GHG and NH3 Emissions
by Andreas M. Savvides, George Themistokleous, Katerina Philippou, Maria Panagiotou and Michalis Omirou
Horticulturae 2025, 11(11), 1287; https://doi.org/10.3390/horticulturae11111287 - 26 Oct 2025
Viewed by 688
Abstract
Agriculture significantly contributes to greenhouse gas (GHG) emissions, yet fluxes from irrigated semi-arid systems remain poorly quantified. This study investigates CO2, CH4, N2O, and NH3 fluxes in a short-term lettuce experiment under semi-arid conditions. The objective [...] Read more.
Agriculture significantly contributes to greenhouse gas (GHG) emissions, yet fluxes from irrigated semi-arid systems remain poorly quantified. This study investigates CO2, CH4, N2O, and NH3 fluxes in a short-term lettuce experiment under semi-arid conditions. The objective was to quantify flux variability and identify key environmental and management drivers. High-frequency soil gas flux measurements were conducted under three treatments: irrigated soil (I), irrigated soil with plants (IP), and irrigated soil with plants plus NH4NO3 fertilizer (IPF). Environmental factors, including solar radiation, soil temperature, water-filled pore space, and relative projected leaf area, were monitored. A Random Forest model identified main flux determinants. Fluxes varied with plant function, growth, and fertilization. IP exhibited net CO2 uptake through photosynthesis, whereas I and IPF showed net CO2 emissions from soil respiration and fertilizer-induced disruption of plant function, respectively. CH4 uptake occurred across treatments but decreased with plant presence. Fertilization in IPF triggered episodic N2O (EF = 0.1%) and NH3 emissions (EF = 0.97%) linked to nitrogen input. Vegetated semi-arid soils can act as CO2 sinks when nitrogen is optimally managed. Excess or poorly timed nitrogen delays CO2 uptake and increases reactive nitrogen losses. Methanotrophic activity drives CH4 dynamics and is influenced by plants and fertilization. Maintaining crop vigor and applying precision nitrogen management are essential to optimize productivity while mitigating GHG and NH3 emissions in semi-arid lettuce cultivation. Full article
(This article belongs to the Section Vegetable Production Systems)
Show Figures

Figure 1

19 pages, 8658 KB  
Article
An Integrated Strategy of Nitrogen Reduction, Microbial Amendment, and Straw Incorporation Mitigates Soil Degradation and Enhances Cucumber Yield in Northern Chinese Greenhouses
by Yang Yang, Runze Guo, Xin Fu, Tianjie Sun, Yanqun Wang and Zhengping Peng
Agriculture 2025, 15(21), 2231; https://doi.org/10.3390/agriculture15212231 - 25 Oct 2025
Viewed by 719
Abstract
Facility agriculture is essential for modernizing the production of horticultural plants, while long-standing over-fertilization and improper tillage in some vegetable facilities in northern China have resulted in reduced soil quality, increased greenhouse gas (GHG) emissions, and diminished vegetable yields and quality. This study [...] Read more.
Facility agriculture is essential for modernizing the production of horticultural plants, while long-standing over-fertilization and improper tillage in some vegetable facilities in northern China have resulted in reduced soil quality, increased greenhouse gas (GHG) emissions, and diminished vegetable yields and quality. This study systematically analyzed the deteriorating health of typical cucumber facility soils in Hebei Province, China, induced by long-term over-fertilization. Based on field surveys, we explored dynamic changes in soil physicochemical properties across different durations of over-fertilization. Subsequently, a series of field trials were conducted to assess whether reducing nitrogen application, either alone or when combined with microbial agents, could ameliorate soil properties, reduce greenhouse gas emissions, and enhance cucumber productivity. The initial field assessment revealed severe topsoil salt and nutrient accumulation, with water-soluble salt content in 5-year-old greenhouses from Yongqing soaring to 3.82 g·kg−1, nearly eight times the level found in 1-year-old plots. Field experiments demonstrated that a 20% reduction in nitrogen application from the conventional rate of 900 kg·hm−2 effectively mitigated salt accumulation, improved the structure of the microbial community, and maintained cucumber yield at 66,914 kg·hm−2, an output comparable to conventional practices. More notably, integrating this 20% nitrogen reduction with an inoculation of Bacillus megaterium reduced the overall global warming potential by 26.7% and simultaneously increased cucumber yield to 72,747 kg·hm−2. The most comprehensive strategy combined deep tillage, soybean straw incorporation, and B. megaterium application under reduced nitrogen, which boosted nitrogen use efficiency by 13.7% and achieved the highest yield among all treatments. In conclusion, our findings demonstrate that a combined approach of nitrogen reduction, microbial amendment, and straw application offers an effective strategy to restore soil health, enhance crop productivity, and mitigate environmental impacts in protective vegetable production systems. Full article
(This article belongs to the Section Agricultural Soils)
Show Figures

Figure 1

21 pages, 3153 KB  
Article
Effects of Extreme Moisture Events on Greenhouse Gas Emissions and Soil Ecological Functional Stability in Calcaric Cambisols
by Weixin Wang, Minmin Qiang, Jichao Zuo, Kaixuan Wang, Jianqiao Han, Xin Tong and Man Zhang
Agronomy 2025, 15(11), 2461; https://doi.org/10.3390/agronomy15112461 - 23 Oct 2025
Viewed by 398
Abstract
Global warming is expected to increase the frequency and intensity of extreme precipitation, yet its effects on soil greenhouse gas (GHG) emissions and functional stability remain uncertain. This study explored the impact of extreme soil moisture conditions on farmland and forest soil under [...] Read more.
Global warming is expected to increase the frequency and intensity of extreme precipitation, yet its effects on soil greenhouse gas (GHG) emissions and functional stability remain uncertain. This study explored the impact of extreme soil moisture conditions on farmland and forest soil under three scenarios: 60% field water capacity (W1), soil saturation (W2), and 10 cm of standing water (W3). We used a laboratory incubation to evaluate how three extreme soil moisture regimes—60% of field water capacity (W1), soil saturation (W2), and 10 cm of standing water (W3)—affect GHG emissions and the functional stability of farmland and forest soils. Forest soils exhibited significantly higher global warming potential (GWP) than farmland across all regimes (p < 0.05). Relative to W1, farmland GWP increased by 0.14% under W3, whereas forest GWP increased by 13.7% under W2 (p < 0.05). Extreme soil moisture conditions markedly elevated total organic C (TOC) and ammonium N (NH4+–N) contents in soil solutions from both farmland and forest, with increases of 25.0% and 6.0% for TOC and 78.6% and 69.6% for NH4+–N, respectively. Conversely, nitrate N (NO3–N) content in farmland soil decreased by 3.54% and 6.96% under W2 and W3 treatments, while forest soil NO3–N increased by 39.68% under W2 and decreased by 39.13% under W3. Functional stability declined under extreme precipitation and was positively correlated with total CO2 emissions, GWP, and TOC (p < 0.001), as well as with total N2O emissions and soil total C (p < 0.05). Overall, forest soils maintained greater functional stability than farmland under extreme moisture. These findings clarify how extreme soil-moisture events influence soil functional stability in a warming climate and highlight the potential for post-event recovery of soil functions. Full article
Show Figures

Figure 1

Back to TopTop