Persistence of Biochar Effects on Soil and Nitrous Oxide Emissions: Evaluating Single vs. Repeated Applications in Multi-Year Field Trial
Abstract
1. Introduction
2. Materials and Methods
2.1. Experimental Site, Soil and Biochar
2.2. Experimental Design
2.3. Soil Sampling and Analysis
2.4. Gas Sampling and Analysis
2.5. Plant Sampling and Analysis of Yield Parameters
2.6. Statistical Analysis
3. Results and Discussion
3.1. Biochar Effect on Soil Physical Properties
3.2. Soil Physico-Chemical Properties
3.3. Biochar Effect on Crop Yields
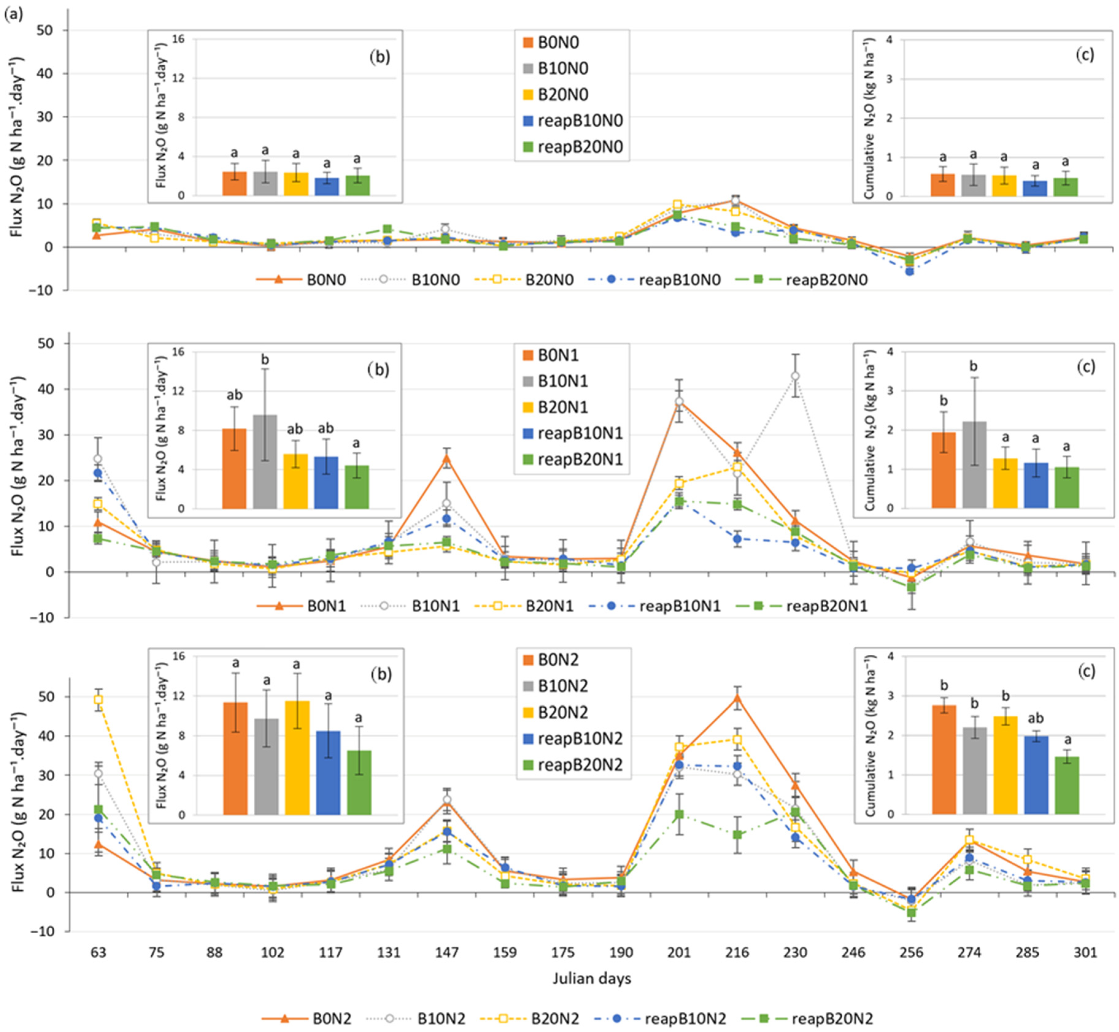
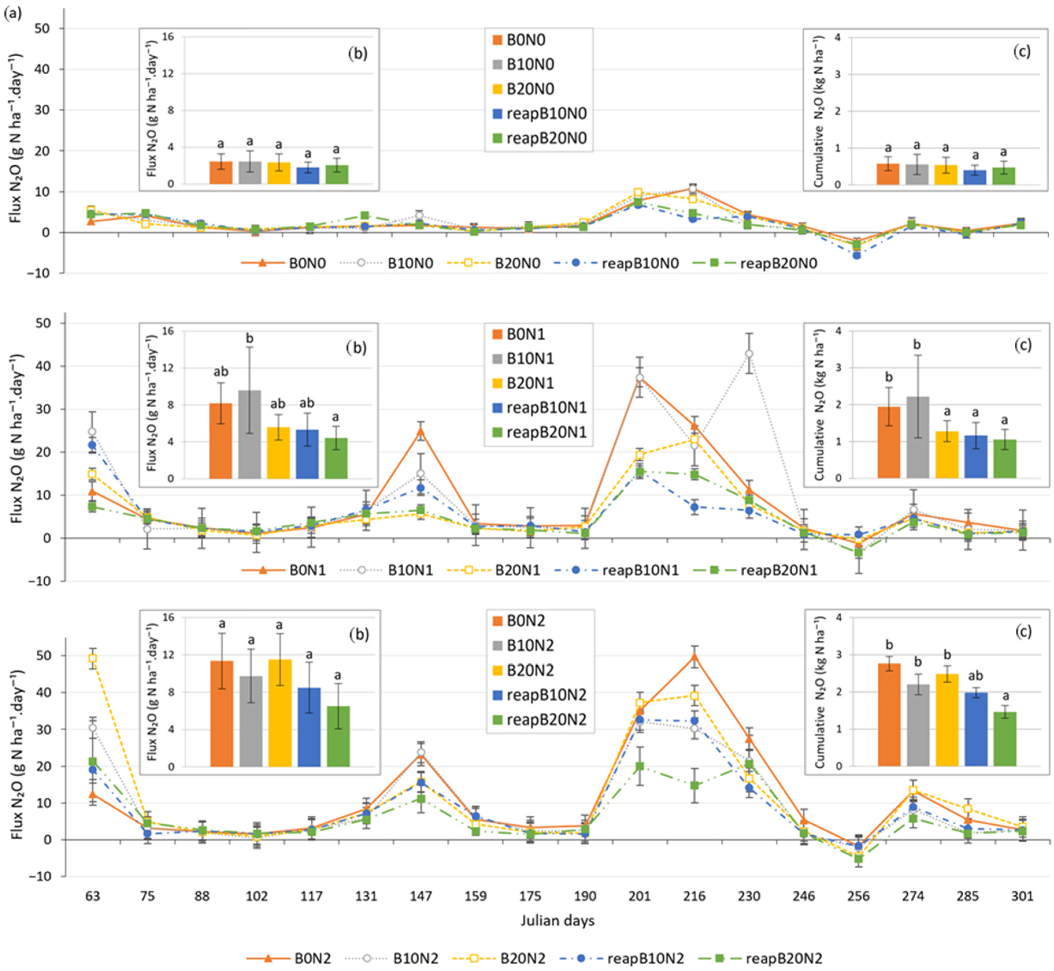
3.4. Biochar Effect on Soil N2O Flux
4. Conclusions
Supplementary Materials
Author Contributions
Funding
Data Availability Statement
Acknowledgments
Conflicts of Interest
References
- Kumar, A.; Bhattacharya, T. Biochar: A sustainable solution. Environ. Dev. Sustain. 2021, 23, 6642–6680. [Google Scholar] [CrossRef]
- Geisen, S.; Wall, D.H.; Van Der Putten, W.H. Challenges and opportunities for soil biodiversity in the Anthropocene. Curr. Biol. 2019, 29, R1036–R1044. [Google Scholar] [CrossRef]
- Khampuang, K.; Rerkasem, B.; Lordkaew, S.; Prom-u-thai, C. Nitrogen fertilizer increases grain zinc along with yield in high yield rice varieties initially low in grain zinc concentration. Plant Soil 2021, 467, 239–252. [Google Scholar] [CrossRef]
- Guo, C.; Liu, X.; He, X. A global meta-analysis of crop yield and agricultural greenhouse gas emissions under nitrogen fertilizer application. Sci. Total Environ. 2022, 831, 154982. [Google Scholar] [CrossRef] [PubMed]
- Stocker, T. (Ed.) Climate Change 2013: The Physical Science Basis: Working Group I Contribution to the Fifth Assessment Report of the Intergovernmental Panel on Climate Change; Cambridge University Press: New York, NY, USA, 2014. [Google Scholar]
- Sun, W.; Huang, Y. Synthetic fertilizer management for China’s cereal crops has reduced N2O emissions since the early 2000s. Environ. Pollut. 2012, 160, 24–27. [Google Scholar] [CrossRef] [PubMed]
- Weber, K.; Quicker, P. Properties of biochar. Fuel 2018, 217, 240–261. [Google Scholar] [CrossRef]
- Wang, X.; Lu, P.; Yang, P.; Ren, S. Effects of fertilizer and biochar applications on the relationship among soil moisture, temperature, and N2O emissions in farmland. PeerJ 2021, 9, e11674. [Google Scholar] [CrossRef] [PubMed]
- Wang, J.; Wang, S. Preparation, modification and environmental application of biochar: A review. J. Clean. Prod. 2019, 227, 1002–1022. [Google Scholar] [CrossRef]
- Cha, J.S.; Park, S.H.; Jung, S.-C.; Ryu, C.; Jeon, J.-K.; Shin, M.-C.; Park, Y.-K. Production and utilization of biochar: A review. J. Ind. Eng. Chem. 2016, 40, 1–15. [Google Scholar] [CrossRef]
- Oliveira, F.R.; Patel, A.K.; Jaisi, D.P.; Adhikari, S.; Lu, H.; Khanal, S.K. Environmental application of biochar: Current status and perspectives. Bioresour. Technol. 2017, 246, 110–122. [Google Scholar] [CrossRef]
- Lehmann, J.; Rillig, M.C.; Thies, J.; Masiello, C.A.; Hockaday, W.C.; Crowley, D. Biochar effects on soil biota–a review. Soil Biol. Biochem. 2011, 43, 1812–1836. [Google Scholar] [CrossRef]
- Luo, Y.; Yu, Z.; Zhang, K.; Xu, J.; Brookes, P.C. The properties and functions of biochars in forest ecosystems. J. Soils Sediments 2016, 16, 2005–2020. [Google Scholar] [CrossRef]
- Ginebra, M.; Muñoz, C.; Calvelo-Pereira, R.; Doussoulin, M.; Zagal, E. Biochar impacts on soil chemical properties, greenhouse gas emissions and forage productivity: A field experiment. Sci. Total Environ. 2022, 806, 150465. [Google Scholar] [CrossRef]
- Cayuela, M.L.; Sánchez-Monedero, M.A.; Roig, A.; Hanley, K.; Enders, A.; Lehmann, J. Biochar and denitrification in soils: When, how much and why does biochar reduce N2O emissions? Sci. Rep. 2013, 3, 1732. [Google Scholar] [CrossRef] [PubMed]
- Harter, J.; Krause, H.-M.; Schuettler, S.; Ruser, R.; Fromme, M.; Scholten, T.; Kappler, A.; Behrens, S. Linking N2O emissions from biochar-amended soil to the structure and function of the N-cycling microbial community. ISME J. 2014, 8, 660–674. [Google Scholar] [CrossRef] [PubMed]
- Felber, R.; Leifeld, J.; Horák, J.; Neftel, A. Nitrous oxide emission reduction with greenwaste biochar: Comparison of laboratory and field experiments. Eur. J. Soil Sci. 2014, 65, 128–138. [Google Scholar] [CrossRef]
- Schimmelpfennig, S.; Müller, C.; Grünhage, L.; Koch, C.; Kammann, C. Biochar, hydrochar and uncarbonized feedstock application to permanent grassland—Effects on greenhouse gas emissions and plant growth. Agric. Ecosyst. Environ. 2014, 191, 39–52. [Google Scholar] [CrossRef]
- Wu, Z.; Dong, Y.; Zhang, X.; Xu, X.; Xiong, Z. Biochar single application and reapplication decreased soil greenhouse gas and nitrogen oxide emissions from rice–wheat rotation: A three-year field observation. Geoderma 2023, 435, 116498. [Google Scholar] [CrossRef]
- Angst, T.E.; Six, J.; Reay, D.S.; Sohi, S.P. Impact of pine chip biochar on trace greenhouse gas emissions and soil nutrient dynamics in an annual ryegrass system in California. Agric. Ecosyst. Environ. 2014, 191, 17–26. [Google Scholar] [CrossRef]
- Clough, T.J.; Condron, L.M.; Kammann, C.; Müller, C. A review of biochar and soil nitrogen dynamics. Agronomy 2013, 3, 275–293. [Google Scholar] [CrossRef]
- Hüppi, R.; Felber, R.; Neftel, A.; Six, J.; Leifeld, J. Effect of biochar and liming on soil nitrous oxide emissions from a temperate maize cropping system. Soil 2015, 1, 707–717. [Google Scholar] [CrossRef]
- Nguyen, T.T.N.; Xu, C.-Y.; Tahmasbian, I.; Che, R.; Xu, Z.; Zhou, X.; Wallace, H.M.; Bai, S.H. Effects of biochar on soil available inorganic nitrogen: A review and meta-analysis. Geoderma 2017, 288, 79–96. [Google Scholar] [CrossRef]
- Wei, W.; Yang, H.; Fan, M.; Chen, H.; Guo, D.; Cao, J.; Kuzyakov, Y. Biochar effects on crop yields and nitrogen loss depending on fertilization. Sci. Total Environ. 2020, 702, 134423. [Google Scholar] [CrossRef] [PubMed]
- Jeffery, S.; Verheijen, F.G.A.; Van Der Velde, M.; Bastos, A.C. A quantitative review of the effects of biochar application to soils on crop productivity using meta-analysis. Agric. Ecosyst. Environ. 2011, 144, 175–187. [Google Scholar] [CrossRef]
- Aydin, E.; Šimanský, V.; Horák, J.; Igaz, D. Potential of biochar to alternate soil properties and crop yields 3 and 4 years after the application. Agronomy 2020, 10, 889. [Google Scholar] [CrossRef]
- Fischer, D.; Glaser, B. Synergisms between compost and biochar for sustainable soil amelioration. In Management of Organic Waste; Kumar, S., Ed.; In Tech Europe: Rijeka, Croatia, 2012; pp. 167–198. [Google Scholar] [CrossRef]
- Xu, H.; Cai, A.; Wu, D.; Liang, G.; Xiao, J.; Xu, M.; Colinet, G.; Zhang, W. Effects of biochar application on crop productivity, soil carbon sequestration, and global warming potential controlled by biochar C:N ratio and soil pH: A global meta-analysis. Soil Tillage Res. 2021, 213, 105125. [Google Scholar] [CrossRef]
- Lehmann, J.; Gaunt, J.; Rondon, M. Bio-char sequestration in terrestrial ecosystems—A review. Mitig. Adapt. Strateg. Glob. Change 2006, 11, 403–427. [Google Scholar] [CrossRef]
- Agegnehu, G.; Bass, A.M.; Nelson, P.N.; Bird, M.I. Benefits of biochar, compost and biochar–compost for soil quality, maize yield and greenhouse gas emissions in a tropical agricultural soil. Sci. Total Environ. 2016, 543, 295–306. [Google Scholar] [CrossRef]
- Šimanský, V.; Polláková, N.; Chlpík, J.; Kolenčík, M. Pôdoznalectvo [Soil Science]; SPU: Nitra, Slovakia, 2018; p. 398. (In Slovak) [Google Scholar]
- Food and Agriculture Organization of the United Nations. World Reference Base for Soil Resources 2014: International Soil Classification System for Naming Soils and Creating Legends for Soil Maps, 3rd ed.; FAO: Rome, Italy, 2014; Available online: https://openknowledge.fao.org/server/api/core/bitstreams/bcdecec7-f45f-4dc5-beb1-97022d29fab4/content (accessed on 20 April 2024).
- Šimanský, V. Effects of biochar and biochar with nitrogen on soil organic matter and soil structure in haplic Luvisol. Acta Fytotech. Zootech. 2016, 19, 129–138. [Google Scholar] [CrossRef]
- Šimanský, V.; Klimaj, A. How does biochar and biochar with nitrogen fertilization influence soil reaction? J. Ecol. Eng. 2017, 18, 50–54. [Google Scholar] [CrossRef]
- Yuen, S.H.; Pollard, A.G. Determination of nitrogen in agricultural materials by the Nessler reagent. II.—Micro-determinations in plant tissue and in soil extracts. J. Sci. Food Agric. 1954, 5, 364–369. [Google Scholar] [CrossRef]
- Elder, J.W.; Lal, R. Tillage effects on gaseous emissions from an intensively farmed organic soil in North Central Ohio. Soil Tillage Res. 2008, 98, 45–55. [Google Scholar] [CrossRef]
- Liu, Y.; Lu, H.; Yang, S.; Wang, Y. Impacts of biochar addition on rice yield and soil properties in a cold waterlogged paddy for two crop seasons. Field Crops Res. 2016, 191, 161–167. [Google Scholar] [CrossRef]
- Rawat, J.; Saxena, J.; Sanwal, P. Biochar: A sustainable approach for improving plant growth and soil properties. In Biochar-An Imperative Amendment for Soil and the Environment; IntechOpen: London, UK, 2019. [Google Scholar] [CrossRef]
- Karhu, K.; Mattila, T.; Bergström, I.; Regina, K. Biochar addition to agricultural soil increased CH4 uptake and water holding capacity—Results from a short-term pilot field study. Agric. Ecosyst. Environ. 2011, 140, 309–313. [Google Scholar] [CrossRef]
- Han, J.; Zhang, A.; Kang, Y.; Han, J.; Yang, B.; Hussain, Q.; Wang, X.; Zhang, M.; Khan, M.A. Biochar promotes soil organic carbon sequestration and reduces net global warming potential in apple orchard: A two-year study in the Loess Plateau of China. Sci. Total Environ. 2022, 803, 150035. [Google Scholar] [CrossRef]
- Lahori, A.H.; Guo, Z.; Zhang, Z.; Li, R.; Mahar, A.; Awasthi, M.K.; Shen, F.; Sial, T.A.; Kumbhar, F.; Wang, P.; et al. Use of biochar as an amendment for remediation of heavy metal-contaminated soils: Prospects and challenges. Pedosphere 2017, 27, 991–1014. [Google Scholar] [CrossRef]
- O’Connor, D.; Peng, T.; Zhang, J.; Tsang, D.C.W.; Alessi, D.S.; Shen, Z.; Bolan, N.S.; Hou, D. Biochar application for the remediation of heavy metal polluted land: A review of in situ field trials. Sci. Total Environ. 2018, 619–620, 815–826. [Google Scholar] [CrossRef]
- Karimi, F.; Rahimi, G.; Kolahchi, Z.; Nezhad, A.K.J. Using industrial sewage sludge-derived biochar to immobilize selected heavy metals in a contaminated calcareous soil. Waste Biomass Valorization 2020, 11, 2825–2836. [Google Scholar] [CrossRef]
- Yan, Q.; Dong, F.; Li, J.; Duan, Z.; Yang, F.; Li, X.; Lu, J.; Li, F. Effects of maize straw-derived biochar application on soil temperature, water conditions and growth of winter wheat. Eur. J. Soil Sci. 2019, 70, 1280–1289. [Google Scholar] [CrossRef]
- Ding, Y.; Gao, X.; Qu, Z.; Jia, Y.; Hu, M.; Li, C. Effects of biochar application and irrigation methods on soil temperature in farmland. Water 2019, 11, 499. [Google Scholar] [CrossRef]
- Liu, Y.; Yang, S.; Lu, H.; Wang, Y. Effects of biochar on spatial and temporal changes in soil temperature in cold waterlogged rice paddies. Soil Tillage Res. 2018, 181, 102–109. [Google Scholar] [CrossRef]
- Zheng, J.; Stewart, C.E.; Cotrufo, M.F. Biochar and nitrogen fertilizer alters soil nitrogen dynamics and greenhouse gas fluxes from two temperate soils. J. Environ. Qual. 2012, 41, 1361–1370. [Google Scholar] [CrossRef]
- Šimanský, V.; Polláková, N.; Chlpík, J.; Kolenčík, M. Pôdoznalectvo [Soil Science], 2nd ed.; SPU: Nitra, Slovakia, 2023; p. 398. (In Slovak) [Google Scholar]
- Fulajtár, E. Physical Properties of Soil; VÚPOP: Bratislava, Slovakia, 2006. (In Slovak) [Google Scholar]
- Głąb, T.; Palmowska, J.; Zaleski, T.; Gondek, K. Effect of biochar application on soil hydrological properties and physical quality of sandy soil. Geoderma 2016, 281, 11–20. [Google Scholar] [CrossRef]
- Blanco-Canqui, H. Biochar and soil physical properties. Soil Sci. Soc. Am. J. 2017, 81, 687–711. [Google Scholar] [CrossRef]
- El-Naggar, A.; Lee, S.S.; Rinklebe, J.; Farooq, M.; Song, H.; Sarmah, A.K.; Zimmerman, A.R.; Ahmad, M.; Shaheen, S.M.; Ok, Y.S. Biochar application to low fertility soils: A review of current status, and future prospects. Geoderma 2019, 337, 536–554. [Google Scholar] [CrossRef]
- Cheng, H.; Hill, P.W.; Bastami, M.S.; Jones, D.L. Biochar stimulates the decomposition of simple organic matter and suppresses the decomposition of complex organic matter in a sandy loam soil. GCB Bioenergy 2017, 9, 1110–1121. [Google Scholar] [CrossRef]
- Šrank, D.; Šimanský, V. Differences in soil organic matter and humus of sandy soil after application of biochar substrates and combination of biochar substrates with mineral fertilizers. Acta Fytotech. Zootech. 2020, 23, 117–124. [Google Scholar] [CrossRef]
- Chintala, R.; Mollinedo, J.; Schumacher, T.E.; Malo, D.D.; Julson, J.L. Effect of biochar on chemical properties of acidic soil. Arch. Agron. Soil Sci. 2014, 60, 393–404. [Google Scholar] [CrossRef]
- Horák, J. Testing biochar as a possible way to ameliorate slightly acidic soil at the research field located in the Danubian lowland. Acta Hortic. Regiotectuare 2015, 18, 20–24. [Google Scholar] [CrossRef]
- Juriga, M.; Šimanský, V. Effects of biochar and its reapplication on soil pH and sorption properties of silt loam Haplic Luvisol. Acta Hortic. Regiotect. 2019, 22, 65–70. [Google Scholar] [CrossRef]
- Yuan, J.-H.; Xu, R.-K.; Zhang, H. The forms of alkalis in the biochar produced from crop residues at different temperatures. Bioresour. Technol. 2011, 102, 3488–3497. [Google Scholar] [CrossRef]
- Hanes, J. Analýza Sorpčných Vlastností Pôd [Analyzes of Soil Sorptive Characteristics]; SSCRI: Bratislava, Slovakia, 1999; p. 138. (In Slovak) [Google Scholar]
- Zołotajkin, M.; Ciba, J.; Kluczka, J.; Skwira, M.; Smoliński, A. Exchangeable and bioavailable aluminium in the mountain forest soil of Barania Góra range (Silesian Beskids, Poland). Water Air Soil Pollut. 2011, 216, 571–580. [Google Scholar] [CrossRef] [PubMed]
- Šimanský, V.; Chlpík, J.; Horváthová, J. Biochar substrates and their combination with fertilization as a factor affecting the changes in pH and surface charge of soil particles in soils with different texture. J. Ecol. Eng. 2022, 23, 44–53. [Google Scholar] [CrossRef] [PubMed]
- Novak, J.M.; Busscher, W.J.; Watts, D.W.; Laird, D.A.; Ahmedna, M.A.; Niandou, M.A.S. Short-term CO2 mineralization after additions of biochar and switchgrass to a Typic Kandiudult. Geoderma 2010, 154, 281–288. [Google Scholar] [CrossRef]
- Dai, Z.; Li, R.; Muhammad, N.; Brookes, P.C.; Wang, H.; Liu, X.; Xu, J. Principle component and hierarchical cluster analysis of soil properties following biochar incorporation. Soil Sci. Soc. Am. J. 2014, 78, 205–213. [Google Scholar] [CrossRef]
- Kováčik, P.; Ryant, P. Agrochémia, Princípy a Prax. Agrochemistry, Principles and Practice; SPU: Nitra, Slovakia, 2023; p. 385. (In Slovak) [Google Scholar]
- Wang, X.; Zhou, W.; Liang, G.; Song, D.; Zhang, X. Characteristics of maize biochar with different pyrolysis temperatures and its effects on organic carbon, nitrogen and enzymatic activities after addition to fluvo-aquic soil. Sci. Total Environ. 2015, 538, 137–144. [Google Scholar] [CrossRef]
- Liang, B.; Lehmann, J.; Solomon, D.; Kinyangi, J.; Grossman, J.; O’Neill, B.; Skjemstad, J.O.; Thies, J.; Luizão, F.J.; Petersen, J.; et al. Black carbon increases cation exchange capacity in soils. Soil Sci. Soc. Am. J. 2006, 70, 1719–1730. [Google Scholar] [CrossRef]
- Clough, T.J.; Condron, L.M. Biochar and the nitrogen cycle: Introduction. J. Environ. Qual. 2010, 39, 1218–1223. [Google Scholar] [CrossRef]
- Lehmann, J.; Pereira Da Silva, J., Jr.; Steiner, C.; Nehls, T.; Zech, W.; Glaser, B. Nutrient availability and leaching in an archaeological Anthrosol and a Ferralsol of the Central Amazon basin: Fertilizer, manure and charcoal amendments. Plant Soil 2003, 249, 343–357. [Google Scholar] [CrossRef]
- Ippolito, J.A.; Novak, J.M.; Busscher, W.J.; Ahmedna, M.; Rehrah, D.; Watts, D.W. Switchgrass biochar affects two Aridisols. J. Environ. Qual. 2012, 41, 1123–1130. [Google Scholar] [CrossRef]
- Singh, B.P.; Hatton, B.J.; Singh, B.; Cowie, A.L.; Kathuria, A. Influence of biochars on nitrous oxide emission and nitrogen leaching from two contrasting soils. J. Environ. Qual. 2010, 39, 1224–1235. [Google Scholar] [CrossRef]
- Cheng, C.-H.; Lehmann, J.; Engelhard, M.H. Natural oxidation of black carbon in soils: Changes in molecular form and surface charge along a climosequence. Geochim. Cosmochim. Acta 2008, 72, 1598–1610. [Google Scholar] [CrossRef]
- Laird, D.A. The charcoal vision: A win–win–win scenario for simultaneously producing bioenergy, permanently sequestering carbon, while improving soil and water quality. Agron. J. 2008, 100, 178. [Google Scholar] [CrossRef]
- Vaněk, V.; Ložek, O.; Balík, J.; Pavlíková, D.; Tlustoš, P. Výživa Pol’ných a Záhradných Plodín. In Nutrition of Field and Garden Crops; Profi Press: Praha, Czechia, 2013; p. 175. (In Slovak) [Google Scholar]
- Ding, Y.; Liu, Y.; Liu, S.; Li, Z.; Tan, X.; Huang, X.; Zeng, G.; Zhou, L.; Zheng, B. Biochar to improve soil fertility. A review. Agron. Sustain. Dev. 2016, 36, 36. [Google Scholar] [CrossRef]
- Rigobelo, E.C.; Serra, A.P. Nitrogen Fixation; IntechOpen: London, UK, 2020; p. 202. [Google Scholar]
- Horák, J.; Kondrlová, E.; Igaz, D.; Šimanský, V.; Felber, R.; Lukac, M.; Balashov, E.V.; Buchkina, N.P.; Rizhiya, E.Y.; Jankowski, M. Biochar and biochar with N-fertilizer affect soil N2O emission in Haplic Luvisol. Biologia 2017, 72, 995–1001. [Google Scholar] [CrossRef]
- Borchard, N.; Schirrmann, M.; Cayuela, M.L.; Kammann, C.; Wrage-Mönnig, N.; Estavillo, J.M.; Fuertes-Mendizábal, T.; Sigua, G.; Spokas, K.; Ippolito, J.A.; et al. Biochar, soil and land-use interactions that reduce nitrate leaching and N2O emissions: A meta-analysis. Sci. Total Environ. 2019, 651, 2354–2364. [Google Scholar] [CrossRef] [PubMed]
- Zhang, J.; He, P.; Jin, L.; Wei, D.; Xu, X.; Zhao, S.; Zhou, W.; Qiu, S. Biochar amendment affected soil nitrogen transformation and nitrous oxide emissions: A 15N tracer study. Pedosphere 2025, S1002016025000013. [Google Scholar] [CrossRef]
- Liu, Y.L.; Dokohely, M.E.; Fan, C.H.; Li, Q.L.; Zhang, X.X.; Zhao, H.Y.; Xiong, Z.Q. Influence of different seedling-nursing methods on methane and nitrous oxide emissions in the double rice cropping system of South China. CLEAN—Soil Air Water 2016, 44, 1733–1738. [Google Scholar] [CrossRef]
- Li, Z.; Xu, Q.; Lu, Y.; Ning, W.; Wu, R.; Li, T.; Mao, B.; Yang, Y.; Su, H.; Yang, Y.; et al. Reducing nitrogen fertilizer applications mitigates N2O emissions and maintains sugarcane yields in South China. Agric. Ecosyst. Environ. 2025, 377, 109250. [Google Scholar] [CrossRef]
- Horák, J.; Kotuš, T.; Toková, L.; Aydın, E.; Igaz, D.; Šimanský, V. A sustainable approach for improving soil properties and reducing N2O emissions is possible through initial and repeated biochar application. Agronomy 2021, 11, 582. [Google Scholar] [CrossRef]
- Liu, Q.; Zhang, Y.; Liu, B.; Amonette, J.E.; Lin, Z.; Liu, G.; Ambus, P.; Xie, Z. How does biochar influence soil N cycle? A meta-analysis. Plant Soil 2018, 426, 211–225. [Google Scholar] [CrossRef]
- Horák, J.; Šimanský, V. Effect of biochar on soil CO2 production. Acta Fytotech. Zootech. 2017, 20, 72–77. [Google Scholar] [CrossRef]
- Horák, J.; Šimanský, V.; Aydin, E.; Igaz, D.; Buchkina, N.; Balashov, E. Effects of biochar combined with N-fertilization on soil CO2 emissions, crop yields and relationships with soil properties. Pol. J. Environ. Stud. 2020, 29, 3597–3609. [Google Scholar] [CrossRef]
- Yao, Y.; Gao, B.; Zhang, M.; Inyang, M.; Zimmerman, A.R. Effect of biochar amendment on sorption and leaching of nitrate, ammonium, and phosphate in a sandy soil. Chemosphere 2012, 89, 1467–1471. [Google Scholar] [CrossRef] [PubMed]
- Zhang, H.; Voroney, R.P.; Price, G.W. Effects of temperature and processing conditions on biochar chemical properties and their influence on soil C and N transformations. Soil Biol. Biochem. 2015, 83, 19–28. [Google Scholar] [CrossRef]
- Zheng, H.; Wang, Z.; Deng, X.; Zhao, J.; Luo, Y.; Novak, J.; Herbert, S.; Xing, B. Characteristics and nutrient values of biochars produced from giant reed at different temperatures. Bioresour. Technol. 2013, 130, 463–471. [Google Scholar] [CrossRef]
- Spokas, K.A.; Novak, J.M.; Venterea, R.T. Biochar’s role as an alternative N-fertilizer: Ammonia capture. Plant Soil 2012, 350, 35–42. [Google Scholar] [CrossRef]
- Sheng, Y.; Zhu, L. Biochar alters microbial community and carbon sequestration potential across different soil pH. Sci. Total Environ. 2018, 622–623, 1391–1399. [Google Scholar] [CrossRef]
- Igaz, D.; Šimanský, V.; Horák, J.; Kondrlová, E.; Domanová, J.; Rodný, M.; Buchkina, N.P. Can a single dose of biochar affect selected soil physical and chemical characteristics? J. Hydrol. Hydromech. 2018, 66, 421–428. [Google Scholar] [CrossRef]



| Soil Properties | Value | Units | 
|---|---|---|
| sand | 15.2 | % | 
| silt | 59.9 | % | 
| clay | 24.9 | % | 
| pH(KCl) | 5.71 | - | 
| SOC | 9.13 | g kg−1 | 
| Biochar Properties | Value | Units | 
|---|---|---|
| pH(KCl) | 8.80 | - | 
| Ash content | 38.3 | % | 
| Bulk density | 0.21 | g cm−3 | 
| SSA | 21.7 | m2 g−1 | 
| Ca | 57.0 | g kg−1 | 
| Mg | 3.9 | g kg−1 | 
| K | 15.0 | g kg−1 | 
| Na | 0.77 | g kg−1 | 
| TC | 53.1 | g kg−1 | 
| TN | 14.0 | g kg−1 | 
| C/N | 37.9 | - | 
| Treatments | Biochar Application in 2014 (t ha−1) | Biochar Reapplication in 2018 (t ha−1) | N-Fertilization Application in 2021 (kg N ha−1) | 
|---|---|---|---|
| N0 Level–Unfertilized Treatments | |||
| B0N0 | 0 | 0 | 0 | 
| B10N0 | 10 | 0 | 0 | 
| B20N0 | 20 | 0 | 0 | 
| reapB10N0 | 10 | 10 | 0 | 
| reapB20N0 | 20 | 20 | 0 | 
| N1 Level–Fertilized Treatments | |||
| B0N1 | 0 | 0 | 140 | 
| B10N1 | 10 | 0 | 140 | 
| B20N1 | 20 | 0 | 140 | 
| reapB10N1 | 10 | 10 | 140 | 
| reapB20N1 | 20 | 20 | 140 | 
| N2 Level–Fertilized Treatments | |||
| B0N2 | 0 | 0 | 210 | 
| B10N2 | 10 | 0 | 210 | 
| B20N2 | 20 | 0 | 210 | 
| reapB10N2 | 10 | 10 | 210 | 
| reapB20N2 | 20 | 20 | 210 | 
| Treatment | SWC (% Mass) | WFPS (% Vol.) | Soil T (°C) | BD (Spring) (g cm−3) | BD (Autumn) (g cm−3) | 
|---|---|---|---|---|---|
| N0 Level–Unfertilized Treatments | |||||
| B0N0 B10N0 B20N0 reapB10N0 reapB20N0 | 14.66 a ± 1.1 14.14 a ± 0.7 15.46 a ± 0.8 14.60 a ± 0.6 15.71 a ± 1.2 | 50.38 a ± 3.5 54.04 a ± 3.0 56.41 a ± 2.9 56.08 a ± 2.6 53.64 a ± 3.8 | 16.20 a ± 0.4 16.30 a ± 0.3 15.95 a ± 0.3 16.28 a ± 0.3 16.05 a ± 0.4 | 1.50 a ± 0.04 1.57 a ± 0.03 1.53 a ± 0.03 1.57 a ± 0.03 1.47 a ± 0.06 | 1.59 ab ± 0.06 1.71 b ± 0.01 1.55 ab ± 0.07 1.70 b ± 0.03 1.51 a ± 0.07 | 
| N1 Level–Fertilized Treatments | |||||
| B0N1 B10N1 B20N1 reapB10N1 reapB20N1 | 14.54 a ± 0.7 | 47.42 a ± 2.4 | 15.54 a ± 0.4 | 1.46 a ± 0.04 | 1.63 a ± 0.07 | 
| 14.65 a ± 1.0 | 47.25 a ± 3.6 | 15.36 a ± 0.2 | 1.45 a ± 0.01 | 1.52 a ± 0.11 | |
| 15.89 a ± 0.8 | 47.74 a ± 1.8 | 15.31 a ± 0.4 | 1.41 a ± 0.04 | 1.42 a ± 0.01 | |
| 14.64 a ± 0.9 15.56 a ± 0.7 | 51.90 a ± 3.3 46.71 a ± 2.4 | 15.46 a ± 0.3 15.24 a ± 0.3 | 1.51 a ± 0.02 1.41 a ± 0.06 | 1.58 a ± 0.08 1.52 a ± 0.03 | |
| N2 Level–Fertilized Treatments | |||||
| B0N2 B10N2 B20N2 reapB10N2 | 14.92 a ± 0.9 15.04 a ± 0.7 15.75 a ± 0.8 15.12 a ± 0.8 | 49.82 ab ± 3.5 49.21 ab ± 2.1 50.51 ab ± 2.8 46.40 a ± 2.4 | 15.28 a ± 0.2 15.68 a ± 0.4 15.42 a ± 0.2 15.58 a ± 0.3 | 1.48 a ± 0.03 1.47 a ± 0.05 1.45 a ± 0.03 1.42 a ± 0.03 | 1.56 a ± 0.05 1.60 a ± 0.11 1.74 a ± 0.02 1.58 a ± 0.08 | 
| reapB20N2 | 15.92 a ± 0.7 | 55.36 b ± 3.1 | 15.31 a ± 0.3 | 1.50 a ± 0.04 | 1.63 a ± 0.02 | 
| Treatment | pH(KCl) | NH4+-N (mg kg−1) | NO3−-N (mg kg−1) | 
|---|---|---|---|
| N0 Level–Unfertilized Treatments | |||
| B0N0 B10N0 B20N0 reapB10N0 reapB20N0 | 5.32 a ± 0.2 5.46 a ± 0.2 5.46 a ± 0.1 5.49 a ± 0.1 5.50 a ± 0.1 | 12.21 ab ± 1.9 10.58 ab ± 1.7 11.65 ab ± 2.0 10.25 a ± 1.5 12.93 b ± 2.3 | 6.54 a ± 1.1 5.93 a ± 0.5 5.88 a ± 0.5 5.46 a ± 13.4 5.77 a ± 0.5 | 
| N1 Level–Fertilized Treatments | |||
| B0N1 B10N1 B20N1 reapB10N1 reapB20N1 | 4.97 a ± 0.2 5.40 b ± 0.3 5.31 b ± 0.1 5.40 b ± 0.3 5.39 b ± 0.1 | 30.90 a ± 8.8 24.17 a ± 5.2 25.66 a ± 7.1 26.33 a ± 4.2 24.08 a ± 6.6 | 16.80 a ± 4.2 16.26 a ± 2.4 13.99 a ± 3.5 16.42 a ± 3.1 13.34 a ± 2.3 | 
| N2 Level–Fertilized Treatments | |||
| B0N2 B10N2 B20N2 reapB10N2 reapB20N2 | 4.63 a ± 0.1 5.01 b ± 0.2 5.14 b ± 0.2 5.07 b ± 0.3 5.28 b ± 0.2 | 54.11 a ± 12.1 44.48 a ± 12.0 42.69 a ± 9.8 38.90 a ± 15.3 36.43 a ± 6.8 | 16.50 a ± 5.3 20.14 a ± 4.4 21.14 a ± 3.2 18.27 a ± 3.2 18.69 a ± 3.9 | 
| N2O Flux (g N2O-N ha−1 day−1) | Cumulative Emissions of N2O (g N2O-N ha−1) | |
|---|---|---|
| Above ground dry biomass (t ha−1) Grain yield (t ha−1) Average weight of 1 grain (mg) Number of ears per plant (m2) Number of grains per ear (m2) pH (units) NO3−-N (mg kg−1) NH4+-N (mg kg−1) Nan (mg kg−1) SWC (% mass) SWC (% vol.) WFPS (%) Soil T (°C) Bulk density (2 June 2021) (g cm−3) Bulk density (11 November 2021) (g cm−3) | 0.256 (0.005) 0.048 (0.600) 0.059 (0.525) 0.054 (0.558) 0.065 (0.482) 0.429 (0.000) 0.115 (0.211) 0.008 (0.935) 0.042 (0.648) 0.587 (0.000) 0.567 (0.000) 0.533 (0.000) 0.343 (0.000) 0.205 (0.025) 0.011 (0.903) | 0.418 (0.000) 0.074 (0.422) 0.105 (0.252) 0.076 (0.411) 0.124 (0.178) 0.626 (0.000) 0.288 (0.001) 0.251 (0.006) 0.270 (0.003) 0.293 (0.001) 0.003 (0.268) 0.230 (0.011) 0.207 (0.023) 0.292 (0.001) 0.037 (0.689) | 
| Disclaimer/Publisher’s Note: The statements, opinions and data contained in all publications are solely those of the individual author(s) and contributor(s) and not of MDPI and/or the editor(s). MDPI and/or the editor(s) disclaim responsibility for any injury to people or property resulting from any ideas, methods, instructions or products referred to in the content. | 
© 2025 by the authors. Licensee MDPI, Basel, Switzerland. This article is an open access article distributed under the terms and conditions of the Creative Commons Attribution (CC BY) license (https://creativecommons.org/licenses/by/4.0/).
Share and Cite
Molnárová, M.; Aydın, E.; Šimanský, V.; Čimo, J.; Mirzaei, M.; Buchkina, N.P.; Horák, J. Persistence of Biochar Effects on Soil and Nitrous Oxide Emissions: Evaluating Single vs. Repeated Applications in Multi-Year Field Trial. Agriculture 2025, 15, 2259. https://doi.org/10.3390/agriculture15212259
Molnárová M, Aydın E, Šimanský V, Čimo J, Mirzaei M, Buchkina NP, Horák J. Persistence of Biochar Effects on Soil and Nitrous Oxide Emissions: Evaluating Single vs. Repeated Applications in Multi-Year Field Trial. Agriculture. 2025; 15(21):2259. https://doi.org/10.3390/agriculture15212259
Chicago/Turabian StyleMolnárová, Melinda, Elena Aydın, Vladimír Šimanský, Ján Čimo, Morad Mirzaei, Natalya P. Buchkina, and Ján Horák. 2025. "Persistence of Biochar Effects on Soil and Nitrous Oxide Emissions: Evaluating Single vs. Repeated Applications in Multi-Year Field Trial" Agriculture 15, no. 21: 2259. https://doi.org/10.3390/agriculture15212259
APA StyleMolnárová, M., Aydın, E., Šimanský, V., Čimo, J., Mirzaei, M., Buchkina, N. P., & Horák, J. (2025). Persistence of Biochar Effects on Soil and Nitrous Oxide Emissions: Evaluating Single vs. Repeated Applications in Multi-Year Field Trial. Agriculture, 15(21), 2259. https://doi.org/10.3390/agriculture15212259
 
        


 
       