Mitigation of Greenhouse Gas Emissions Through Straw Management and Oxygenated and Biochar-Based Fertilizers
Abstract
1. Introduction
2. Results
2.1. Rice Yield Under Different Oxygenation Measures
2.2. Photosynthetic Parameters of Rice Leaves Under Different Oxygenation Measures
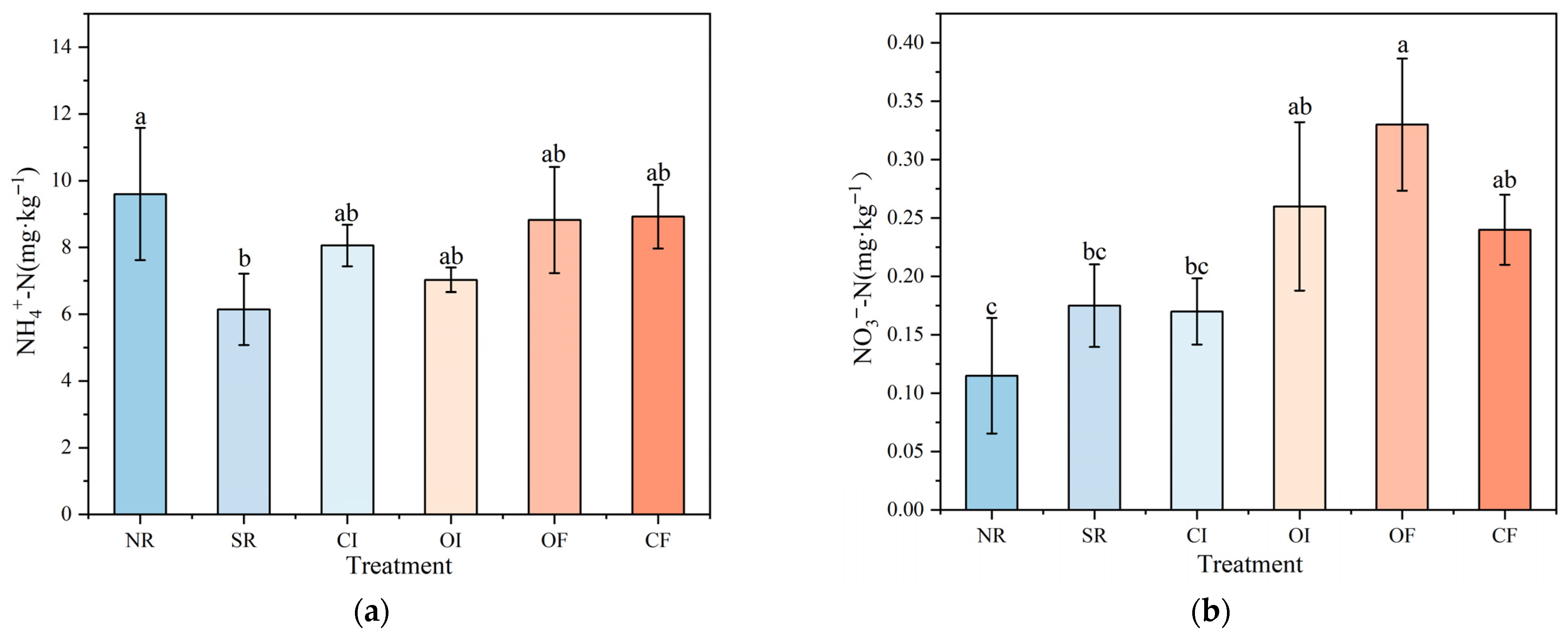
2.3. Nitrate and Ammonium N Content in Rice Soil Under Different Oxygenation Measures
2.4. GHG from Rice Under Different Oxygenation Measures
3. Discussion
3.1. Effects of Different Oxygenation Measures on GHG from Rice
3.2. Effects of Different Oxygenation Measures on Rice Yield and Its Components
3.3. Effects of Different Oxygenation Measures on Rice Photosynthesis Parameters
3.4. Effects of Different Oxygenation Measures on Nitrate and Ammonium N Content in Rice Soil
3.5. Economic and Social Benefits of Oxygenation Measures for Rice Cultivation
3.6. Limitations
4. Materials and Methods
4.1. Site Location, Soil Analysis and Current Agricultural Practice
4.2. Trial Design
4.3. Sampling and Analysis
4.4. Statistics
5. Conclusions
Supplementary Materials
Author Contributions
Funding
Data Availability Statement
Conflicts of Interest
Abbreviations
| CO2 | Carbon dioxide |
| N2O | Nitrous oxide |
| CH4 | Methane |
| Pn | Net photosynthetic |
| Gs | Stomatal conductance |
| Tr | Transpiration rate |
| Ci | Inter-cellular CO2 concentration |
| WUE | Water use efficiency |
| CaO2 | Calcium peroxide |
| N | Nitrogen |
| O2 | Oxygen |
References
- Wei, D.; Xinming, Z. Research on the Development History of China’s Rice Seed Industry. China Seed Ind. 2022, 11, 1–10. [Google Scholar]
- Xu, C.C.; Ji, L.; Li, F.B.; Feng, J.F.; Fang, F.P. Situation and strategies of rice industry development in China. J. Huazhong Agric. Univ. 2022, 41, 21–27. [Google Scholar] [CrossRef]
- Bhattacharyya, P.; Bisen, J.; Bhaduri, D.; Priyadarsini, S.; Munda, S.; Chakraborti, M.; Adak, T.; Panneerselvam, P.; Mukherjee, A.K.; Swain, S.L. Turn the wheel from waste to wealth: Economic and environmental gain of sustainable rice straw management practices over field burning in reference to India. Sci. Total Environ. 2021, 775, 145896. [Google Scholar] [CrossRef]
- Sun, Q.; Gu, X.; Wang, Y.; Gao, H.; Wang, X.; Chen, X.; Sun, S. Impact of straw return on greenhouse gas emissions from maize fields in China: Meta-analysis. Front. Plant Sci. 2025, 16, 1493357. [Google Scholar] [CrossRef]
- Zhao, B.; Zhang, J.; Yu, Y.; Karlen, D.L.; Hao, X. Crop residue management and fertilization effects on soil organic matter and associated biological properties. Environ. Sci. Pollut. Res. 2016, 23, 17581–17591. [Google Scholar] [CrossRef]
- Jiang, C.; Wang, Y.; Zheng, X.; Li, J.; Huang, Y.; Han, G.; Zhang, Z.; Zhu, B. Study on Methane and Nitrous Oxide Emissions from Winter Irrigated Fields in the Hilly Region of Sichuan. Chin. J. Appl. Ecol. 2005, 16, 539–544. [Google Scholar] [CrossRef]
- Sun, Y.; Sun, Y.; Wang, R.; Feng, J.; Li, C.; Ma, J.; Li, S. Research of tillage-cropping systems on CH4 and N2O emission from permanently flooded rice fields in a central Sichuan hilly area of southwest China. Ecol. Environ. Sci. 2011, 20, 1003–1010. [Google Scholar] [CrossRef]
- Zhang, H.; Lv, W.; Zheng, X.; Li, S.; Wang, J.; Zhang, J.; He, Q.; Yuan, D.; Gu, X. Effects of years of straw return to soil on greenhouse gas emission in rice/wheat rotation systems. Chin. J. Eco-Agric. 2015, 23, 302–308. [Google Scholar] [CrossRef]
- Dendooven, L.; Patiño-Zúñiga, L.; Verhulst, N.; Luna-Guido, M.; Marsch, R.; Govaerts, B. Global warming potential of agricultural systems with contrasting tillage and residue management in the central highlands of Mexico. Agric. Ecosyst. Environ. 2012, 152, 50–58. [Google Scholar] [CrossRef]
- Xia, L.; Wang, S.; Yan, X. Effects of long-term straw incorporation on the net global warming potential and the net economic benefit in a rice–wheat cropping system in China. Agric. Ecosyst. Environ. 2014, 197, 118–127. [Google Scholar] [CrossRef]
- Bhattarai, S.P.; Su, N.; Midmore, D.J. Oxygation Unlocks Yield Potentials of Crops in Oxygen-Limited Soil Environments. In Advances in Agronomy; Elsevier: Amsterdam, The Netherlands, 2005; Volume 88, pp. 313–377. ISBN 0065-2113. [Google Scholar]
- Dong, X. The Effects of Oxygation on Microorganism in the Rhizosphere Soil of Super Rice. Master’s Thesis, Hunan Agricultural University, Changsha, China, 2014. [Google Scholar]
- Rao, X.; Fu, Y.; Huang, J.; Feng, Y.; Wang, Z. Effects of Oxygenated Irrigation on Nutritional Characteristics of Cotton and Soil Fertility. Acta Pedol. Sin. 2018, 55, 797–803. [Google Scholar]
- Chen, X.; Dhungel, J.; Bhattarai, S.; Torabi, M.; Midmore, D.J. Impact of Oxygenated on Soil Respiration and crop Physiological Characteristics in Pineapple. J. Drain. Irrig. Mach. Eng. 2010, 28, 543–547. [Google Scholar]
- Zhang, W.; Liu, S.; Zhang, Y.; Liu, K. Research Status and Progress of Oxygen-Boosted Irrigation Technology. Mod. Agric. 2019, 7, 69–72. [Google Scholar]
- Hu, Z.; Zhu, L.; Li, Y.; Zhang, J.; Hu, J.; Yu, S.; Cao, X.; Jin, Q. Effect of root aeration methods on rice yield and nitrogen utilization. J. Plant Nutr. Fertil. 2016, 22, 1503–1512. [Google Scholar] [CrossRef]
- Feng, J.; Yang, T.; Li, F.; Zhou, X.; Xu, C.; Fang, F. Impact of tillage on the spatial distribution of CH4 and N2O in the soil profile of late rice fields. Soil Tillage Res. 2021, 211, 105029. [Google Scholar] [CrossRef]
- Zhang, G.; Liu, G.; Zhang, Y.; Ma, J.; Xu, H.; Yagi, K. Methanogenic pathway and fraction of CH4 oxidized in paddy fields: Seasonal variation and effect of water management in winter fallow season. PLoS ONE 2013, 8, e73982. [Google Scholar] [CrossRef]
- Chu, G.; Zhan, M.; Zhu, K.; Wang, Z.; Yang, J. Effects of Alternate Wetting and Drying Irrigation on Yield and Water Use Efficiency of Rice. Acta Agron. Sin. 2016, 42, 1026–1036. [Google Scholar] [CrossRef]
- Liu, C.; Chi, D.; Zhang, F.; Han, H.; Yi, B.; Wang, Z.; Meng, J.; Chen, T. Effects of rice straw biochar on CH4 and N2O emissions in alternating wetting and drying rice fields. Trans. Chin. Soc. Agric. Eng. 2023, 39, 232–242. [Google Scholar] [CrossRef]
- Shi, S.W.; Li, Y.E.; Liu, Y.T.; Wan, Y.F.; Gao, Q.Z.; Zhang, Z.X. CH4 and N2O Emission from Rice Field and Mitigation Options Based on Field Measurements in China: An Integration Analysis. Sci. Agric. Sin. 2010, 43, 2923–2936. [Google Scholar] [CrossRef]
- Wang, C.; Zhang, Z.; Lv, C.; Zheng, E.; Yuan, N. CH4 and N2O Emission from Paddy Field in Cold Region is Impacted by Irrigation Methods. J. Irrig. Drain. 2019, 38, 14–20. [Google Scholar] [CrossRef]
- Stepniewski, W.; Stepniewska, Z.; Przywara, G.; Brzezinska, M.; Wlodarczyk, T.; Varallyay, G. Relations between aeration status and physical parameters of some selected Hungarian soils. Int. Agrophys. 2000, 14, 439–447. [Google Scholar]
- Chidthaisong, A.; Cha-un, N.; Rossopa, B.; Buddaboon, C.; Kunuthai, C.; Sriphirom, P.; Towprayoon, S.; Tokida, T.; Padre, A.T.; Minamikawa, K. Evaluating the effects of alternate wetting and drying (AWD) on methane and nitrous oxide emissions from a paddy field in Thailand. Soil Sci. Plant Nutr. 2018, 64, 31–38. [Google Scholar] [CrossRef]
- Camargo, E.S.; Pedroso, G.M.; Minamikawa, K.; Shiratori, Y.; Bayer, C. Intercontinental comparison of greenhouse gas emissions from irrigated rice fields under feasible water management practices: Brazil and Japan. Soil Sci. Plant Nutr. 2018, 64, 59–67. [Google Scholar] [CrossRef]
- Wang, L. Study on the Effect of Slow-Release Calcium Peroxide on the Gleying Paddy Fields. Master’s Thesis, Hunan University, Changsha, China, 2018. [Google Scholar]
- Zhang, J.; Zhou, X.; Qian, Y. Research progress of the application of calcium peroxide in environmental remediation. Environ. Chem. 2014, 33, 321–326. [Google Scholar] [CrossRef]
- Yuan, Y.; Li, L.; Rui, S.; Zhou, J.; Liu, G.; Zhang, W.; Huang, Q.; Cheng, Y. Effects of Biochar and Calcium Peroxide on the Emissions of CH4, CO2 and N2O in Upland Red Soil. Resour. Environ. Yangtze Basin 2019, 28, 642–650. [Google Scholar]
- Bekele, A.T.; Maeda, M.; Nakahara, N.; Hashiguchi, A.; Somura, H.; Akao, S.; Nakano, C.; Nishina, Y. Coupling effects of biochar and sediment microbial fuel cells on CH4 and CO2 emissions from straw-amended paddy soil. J. Soils Sediments 2025. [Google Scholar] [CrossRef]
- Wang, Y.; Su, Z.; Wang, J.; Jiang, T.; Zhou, N. Application of Calcium Peroxide for Methane Mitigation in Paddy Fields: Effects of Milk Vet alh (Astragalus sinicus L.) Incorporation. Agriculture 2025, 15, 520. [Google Scholar] [CrossRef]
- Cai, D.; Li, D.; Chen, X.; Wang, L.; Ping, Q.; Li, Y. Innovative application of CaO2 in two-phase anaerobic digestion to enhance methane production from waste activated sludge: Condition optimization and mechanistic insights. Chem. Eng. J. 2025, 504, 158911. [Google Scholar] [CrossRef]
- Sharma, P.; Ali, S.; Biswas, J.K. Application of biochar for soil erosion control and environmental management: Implications for achieving sustainable development goals. Discov. Soil 2025, 2, 36. [Google Scholar] [CrossRef]
- Abdou, N.M.; EL-Samnoudi, I.M.; Ibrahim, A.E.M.; EL-Tawwab, A.R.A. Biochar Amendment Alleviates the Combined Effects of Salinity and Drought Stress on Water Productivity, Yield and Quality Traits of Sugar Beet (Beta vulgaris L.). J. Soil Sci. Plant Nutr. 2024, 24, 2091–2110. [Google Scholar] [CrossRef]
- Peng, D.; Yang, S.; Li, W.; Li, M.; Dai, H.; Zhou, J. Effects of Biochar Application on Methane-producing and Oxidizing Bacteria in Water-saving Irrigation Paddy Fields. Water Sav. Irrig. 2022, 05, 54–59. [Google Scholar]
- Qin, X.; Li, Y.; Wang, H.; Li, J.; Wan, Y.; Li, Y.; Liao, Y.; Fan, M.; Zhu, J.; Gao, Q.; et al. Impact of biochar amendment on carbon emissions intensity in double rice field in South China. Trans. Chin. Soc. Agric. Eng. 2015, 31, 226–232. [Google Scholar] [CrossRef]
- Song, L.; Li, H.; Fang, X.; Shi, H. Biochar input to reduce trace greenhouse gas emission in paddy field. Trans. Chin. Soc. Agric. Eng. 2014, 30, 234–240. [Google Scholar] [CrossRef]
- Hu, H.; Menhas, S.; Zhu, S.; Lin, D. A review on soil amendments for cadmium sequestration and methane emission reduction in paddy soils. Crit. Rev. Environ. Sci. Technol. 2025, 55, 1777–1801. [Google Scholar] [CrossRef]
- Jiang, Y.; Qian, H.; Huang, S.; Zhang, X.; Wang, L.; Zhang, L.; Shen, M.; Xiao, X.; Chen, F.; Zhang, H.; et al. Acclimation of methane emissions from rice paddy fields to straw addition. Sci. Adv. 2019, 5, eaau9038. [Google Scholar] [CrossRef]
- Li, Y.; Zhang, L.; Li, H.; Crippa, M.; Zheng, B. Co-benefits of Water-Saving Irrigation for Mitigating CH4 Emissions from Rice Cultivation in China: Insights from the Past Seven Decades. Environ. Sci. Technol. 2025, 59, 23949–23961. [Google Scholar] [CrossRef]
- Filimonenko, E.; Kuzyakov, Y. Activation Energy of Organic Matter Decomposition in Soil and Consequences of Global Warming. Glob. Change Biol. 2025, 31, e70472. [Google Scholar] [CrossRef]
- Wang, C.; Zhou, Y.; Wen, Y.; Zhang, Y.; Fa, X.; Xiao, Z.; Zhang, H. Effects of Straw Returning Methods on Soil Characteristics and Greenhouse Gas Emissions in Paddy Fields and Their Regulation Through Water-fertilizer Interactions. Chin. J. Rice Sci. 2025, 39, 295–305. [Google Scholar] [CrossRef]
- Wu, L.; Zhang, W.; Wei, W.; He, Z.; Kuzyakov, Y.; Bol, R.; Hu, R. Soil organic matter priming and carbon balance after straw addition is regulated by long-term fertilization. Soil Biol. Biochem. 2019, 135, 383–391. [Google Scholar] [CrossRef]
- Li, W.; Zhuang, Q.; Wu, W.; Wen, X.; Han, J.; Liao, Y. Effects of ridge–furrow mulching on soil CO2 efflux in a maize field in the Chinese Loess Plateau. Agr. For. Meteorol. 2019, 264, 200–212. [Google Scholar] [CrossRef]
- Hu, J.; Xue, L.; Qian, C.; Xue, L.; Cao, S. Effects of Aeration on Surface Water Nutrient Dynamics and Greenhouse Gas Emission in Different Straw Returning Paddy Fields. Environ. Sci. 2023, 44, 2348–2355. [Google Scholar] [CrossRef]
- Cao, W.; Song, H.; Wang, Y.; Qin, W.; Guo, J.; Chen, Q.; Wang, J. Key production processes and influencing factors of nitrous oxide emissions from agricultural soils. J. Plant Nutr. Fertil. 2019, 25, 1781–1798. [Google Scholar] [CrossRef]
- Wang, X.; Duo, Y.; He, J.; Yao, J.; Qian, H.; Hrynsphan, D.; Tatsiana, S.; Chen, J. A newly isolated and rapid denitrifier Pseudomonas citronellolis WXP-4: Difference in N2O emissions under aerobic and anaerobic conditions. Bioprocess Biosyst. Eng. 2020, 43, 811–820. [Google Scholar] [CrossRef] [PubMed]
- Wu, J.; Wu, S.; Xiao, W.; Long, H.; Wu, Y.; Li, F. N2O Concentration and Nitrogen-Cycling Functional Genes as Affected by Alternate Wetting and Drying Irrigation. J. Soil. Sci. Plant Nutr. 2025, 25, 8026–8043. [Google Scholar] [CrossRef]
- Rafy, A.U.; Hannan, M.; Mohammed, M.; Khan, N. Meta-Analysis of Alternate Wetting and Drying (AWD) Irrigation Effects on Methane and Nitrous Oxide Emissions Across Different Climates and Soil Types. Eur. J. Ecol. Biol. Agric. 2025, 2, 181–200. [Google Scholar] [CrossRef] [PubMed]
- Liu, H.; Li, X.; Lu, S.; Wang, N.; Li, Y.; Zhang, Y.; Qi, G.; Lu, H.; Dong, H.; Wang, H.; et al. Biennial biochar application mitigates N2O emissions in saline–alkali soils by modulating microbial communities and metabolic pathways. Environ. Technol. Innov. 2025, 40, 104475. [Google Scholar] [CrossRef]
- An, N.; Zhang, L.; Liu, Y.; Shen, S.; Li, N.; Wu, Z.; Yang, J.; Han, W.; Han, X. Biochar application with reduced chemical fertilizers improves soil pore structure and rice productivity. Chemosphere 2022, 298, 134304. [Google Scholar] [CrossRef]
- Yang, L.; Bai, Y.; Xu, C.; Hu, X.; Wang, W. The Research Progress of Relationship between of rice Grain Size and Quality. J. China Agric. 2001, 29, 312–316. [Google Scholar] [CrossRef]
- Wang, K.; Ren, T.; Cong, R.; Lu, Z.; Li, X.; Lu, J. Reduction of chemical phosphate fertilizer application in a rice–rapeseed cropping system through continuous straw return. Field Crops Res. 2024, 312, 109399. [Google Scholar] [CrossRef]
- Wang, D.; Li, C.; Parikh, S.J.; Scow, K.M. Impact of biochar on water retention of two agricultural soils—A multi-scale analysis. Geoderma 2019, 340, 185–191. [Google Scholar] [CrossRef]
- Fa, X.; Meng, Q.; Wang, C.; Gu, H.; Jing, W.; Zhang, H. Research Progress on Response of Rice Root Morphology and Physiology to Alternate Wetting and Drying Irrigation. Crops 2024, 06, 1–8. [Google Scholar] [CrossRef]
- Hu, K.; Dong, C.; Luo, Z.; Wang, L.; Zhou, X.; Hong, X.; Xie, Y.; Chu, F. Effects of different coated slow-release calcium peroxide on microbial characteristics of gleyed paddy soil. Chin. J. Appl. Ecol. 2020, 31, 1467–1475. [Google Scholar] [CrossRef]
- Li, Z.; Shen, Y.; Zhang, W.; Zhang, H.; Liu, L.; Wang, Z.; Gu, J.; Yang, J. Effects of long-term straw returning on rice yield and soil properties and bacterial community in a rice-wheat rotation system. Field Crops Res. 2023, 291, 108800. [Google Scholar] [CrossRef]
- Gao, J.; Wang, F.; Hu, H.; Jiang, S.; Muhammad, A.; Shao, Y.; Sun, C.; Tian, Z.; Jiang, D.; Dai, T. Improved leaf nitrogen reutilisation and Rubisco activation under short-term nitrogen-deficient conditions promotes photosynthesis in winter wheat (Triticum aestivum L.) at the seedling stage. Funct. Plant Biol. 2018, 45, 840. [Google Scholar] [CrossRef]
- Evans, J.R.; Clarke, V.C. The nitrogen cost of photosynthesis. J. Exp. Bot. 2019, 70, 7–15. [Google Scholar] [CrossRef]
- Valverde, J.C.; Rubilar, R.A.; Medina, A.; Pincheira, M.; Emhart, V.; Espinoza, Y.; Bozo, D.; Campoe, O.C. Transpiration and Water Use Efficiency of Mediterranean Eucalyptus Genotypes Under Contrasting Irrigation Regimes. Plants 2025, 14, 2232. [Google Scholar] [CrossRef]
- Pedersen, O. A novel approach for detecting molecular O2 at the subcellular level in plants. New Phytol. 2025, 247, 2492. [Google Scholar] [CrossRef]
- Wang, Z.; Han, Y.; Luo, S.; Rong, X.; Song, H.; Jiang, N.; Li, C.; Yang, L. Calcium peroxide alleviates the waterlogging stress of rapeseed by improving root growth status in a rice-rape rotation field. Front. Plant Sci. 2022, 13, 1048227. [Google Scholar] [CrossRef]
- Mei, J.; Wang, W.; Peng, S.; Nie, L. Seed Pelleting with Calcium Peroxide Improves Crop Establishment of Direct-seeded Rice under Waterlogging Conditions. Sci. Rep. 2017, 7, 4878. [Google Scholar] [CrossRef]
- Bolan, S.; Hou, D.; Wang, L.; Hale, L.; Egamberdieva, D.; Tammeorg, P.; Li, R.; Wang, B.; Xu, J.; Wang, T.; et al. The potential of biochar as a microbial carrier for agricultural and environmental applications. Sci. Total Environ. 2023, 886, 163968. [Google Scholar] [CrossRef]
- Kremer, C.; Faúndez, C.; Beyá-Marshall, V.; Franck, N.; Muñoz-Aravena, V. Transpiration-use efficiency of young cactus pear plants (Opuntia ficus-indica L.). Int. J. Agric. Nat. Resour. 2021, 48, 115–124. [Google Scholar] [CrossRef]
- Liu, Y.; Li, J.; Jiao, X.; Li, H.; An, Y.; Liu, K. Effects of Straw Returning Combine with Biochar on Water Quality under Flooded Condition. Water 2020, 12, 1633. [Google Scholar] [CrossRef]
- Hu, J.; Zhu, L.; Hu, Z.; Zhong, C.; Li, Y.; Zhang, J.; Cao, X.; James, A.B.; Yu, S.; Jin, Q. Effects of soil aeration methods on soil nitrogen transformation, rice nitrogen utilization and yield. Trans. Chin. Soc. Agric. Eng. 2017, 33, 167–174. [Google Scholar] [CrossRef]
- Liu, Y.; Li, X.; Jiang, T.; Zhang, H.; Li, H.; Zhu, J.; Fang, Z.; Yuan, X. Effects of Cow Manure Organic Fertilizer Combined with Oxygenation on Soil Organic Matter Transformation Efficiency and Tobacco Yield and Quality. Chin. Tob. Sci. 2024, 45, 17–24. [Google Scholar] [CrossRef]
- Hu, J. Study on the Effect of Deep Aeration Cultivation Technology on Methane Emission Reduction and Yield. Master’s Thesis, Huazhong Agricultural University, Wuhan, China, 2023. [Google Scholar]
- He, Y.; Li, Y.; Zhou, M.; Yi, F.; Lv, W.; Zhang, J.; Zeng, Y.; Huang, S. Effects of Calcium Peroxide Application on Yield and Greenhouse Gas Emissions under Full-Rate Straw Returning in a Double Rice-Cropping System. Crops 2022, 1, 116–123. [Google Scholar] [CrossRef]
- Zhang, X.; Dong, Q.; Zhang, C.; Li, P.; Li, B.; Liu, Z.; Yu, C. Effects of Straw Return Rate on Soil Reducing Substances and Rice Growth Under Different Soil Conditions. Chin. J. Rice Sci. 2024, 38, 198–210. [Google Scholar] [CrossRef]
- Yang, X.; Lan, Y.; Meng, J.; Chen, W.; Huang, Y.; Cheng, X.; He, T.; Cao, T.; Liu, Z.; Jiang, L.; et al. Effects of maize stover and its derived biochar on greenhouse gases emissions and C-budget of brown earth in Northeast China. Environ. Sci. Pollut. Res. 2017, 24, 8200–8209. [Google Scholar] [CrossRef]
- Yang, X.; Meng, J.; Lan, Y.; Chen, W.; Yang, T.; Yuan, J.; Liu, S.; Han, J. Effects of maize stover and its biochar on soil CO2 emissions and labile organic carbon fractions in Northeast China. Agric. Ecosyst. Environ. 2017, 240, 24–31. [Google Scholar] [CrossRef]
- Jeong, S.T.; Kim, G.W.; Hwang, H.Y.; Kim, P.J.; Kim, S.Y. Beneficial effect of compost utilization on reducing greenhouse gas emissions in a rice cultivation system through the overall management chain. Sci. Total Environ. 2018, 613–614, 115–122. [Google Scholar] [CrossRef]





| Number of Tillers | Height (cm) | Panicle Length (cm) | Seed Setting Rate (%) | Single Spike Grain Weight (g) | Total Weight (g/pot) | Thousand Seed Weight (g) | |
|---|---|---|---|---|---|---|---|
| NR | 15.43 ± 2.23 c | 124.57 ± 5.14 a | 23.00 ± 1.26 bc | 0.83 ± 0.06 c | 2.64 ± 0.91 a | 66.04 ± 10.56 c | 24.65 ± 1.18 b |
| SR | 22.75 ± 3.06 a | 128.81 ± 5.27 a | 24.06 ± 1.12 ab | 0.89 ± 0.02 b | 3.03 ± 0.44 a | 109.36 ± 9.15 a | 26.92 ± 1.23 a |
| CI | 18.80 ± 3.97 ab | 129.29 ± 7.08 a | 24.44 ± 1.08 a | 0.93 ± 0.06 b | 2.78 ± 0.30 a | 87.02 ± 13.88 b | 26.14 ± 0.25 ab |
| OI | 19.50 ± 3.84 ab | 126.55 ± 4.00 a | 23.56 ± 0.68 abc | 0.91 ± 0.04 b | 3.07 ± 0.53 a | 85.77 ± 22.77 b | 25.20 ± 0.35 ab |
| OF | 18.78 ± 4.27 ab | 122.70 ± 4.30 a | 22.67 ± 0.88 c | 0.92 ± 0.04 b | 2.62 ± 0.41 a | 78.99 ± 19.09 bc | 25.39 ± 1.46 ab |
| CF | 21.60 ± 3.21 a | 122.81 ± 9.62 a | 23.10 ± 1.67 bc | 0.94 ± 0.04 a | 2.84 ± 0.59 a | 90.43 ± 5.19 b | 24.75 ± 0.43 b |
| TN % | TP % | TK % | AN mg kg−1 | AP mg kg−1 | AK mg kg−1 | OM g kg−1 | pH |
|---|---|---|---|---|---|---|---|
| 0.123 | 0.075 | 2.36 | 79.3 | 77.3 | 231 | 18.3 | 5.36 |
Disclaimer/Publisher’s Note: The statements, opinions and data contained in all publications are solely those of the individual author(s) and contributor(s) and not of MDPI and/or the editor(s). MDPI and/or the editor(s) disclaim responsibility for any injury to people or property resulting from any ideas, methods, instructions or products referred to in the content. |
© 2025 by the authors. Licensee MDPI, Basel, Switzerland. This article is an open access article distributed under the terms and conditions of the Creative Commons Attribution (CC BY) license (https://creativecommons.org/licenses/by/4.0/).
Share and Cite
Sun, Q.; Wang, Y.-F.; Jiang, H.; Bian, H.; Wang, X.-J.; Li, Y.; Gao, H.-S.; Pan, X.; Hao, S.; Gu, X.-J. Mitigation of Greenhouse Gas Emissions Through Straw Management and Oxygenated and Biochar-Based Fertilizers. Plants 2025, 14, 3791. https://doi.org/10.3390/plants14243791
Sun Q, Wang Y-F, Jiang H, Bian H, Wang X-J, Li Y, Gao H-S, Pan X, Hao S, Gu X-J. Mitigation of Greenhouse Gas Emissions Through Straw Management and Oxygenated and Biochar-Based Fertilizers. Plants. 2025; 14(24):3791. https://doi.org/10.3390/plants14243791
Chicago/Turabian StyleSun, Qi, Yu-Feng Wang, Hao Jiang, Huichang Bian, Xiao-Jun Wang, Yan Li, Hong-Sheng Gao, Xue Pan, Shuai Hao, and Xue-Jia Gu. 2025. "Mitigation of Greenhouse Gas Emissions Through Straw Management and Oxygenated and Biochar-Based Fertilizers" Plants 14, no. 24: 3791. https://doi.org/10.3390/plants14243791
APA StyleSun, Q., Wang, Y.-F., Jiang, H., Bian, H., Wang, X.-J., Li, Y., Gao, H.-S., Pan, X., Hao, S., & Gu, X.-J. (2025). Mitigation of Greenhouse Gas Emissions Through Straw Management and Oxygenated and Biochar-Based Fertilizers. Plants, 14(24), 3791. https://doi.org/10.3390/plants14243791
