Heavy Metal Adsorption and Desorption Behavior of Raw Sepiolite: A Study on Cd(II), Cu(II), and Ni(II) Ions
Abstract
1. Introduction
2. Materials and Methods
2.1. Characterization of Raw Sepiolite
2.2. Batch Adsorption Experiments
2.3. Regeneration Tests
2.4. Adsorption Isotherms and Kinetic Models
3. Results and Discussion
3.1. Adsorbent Characterization
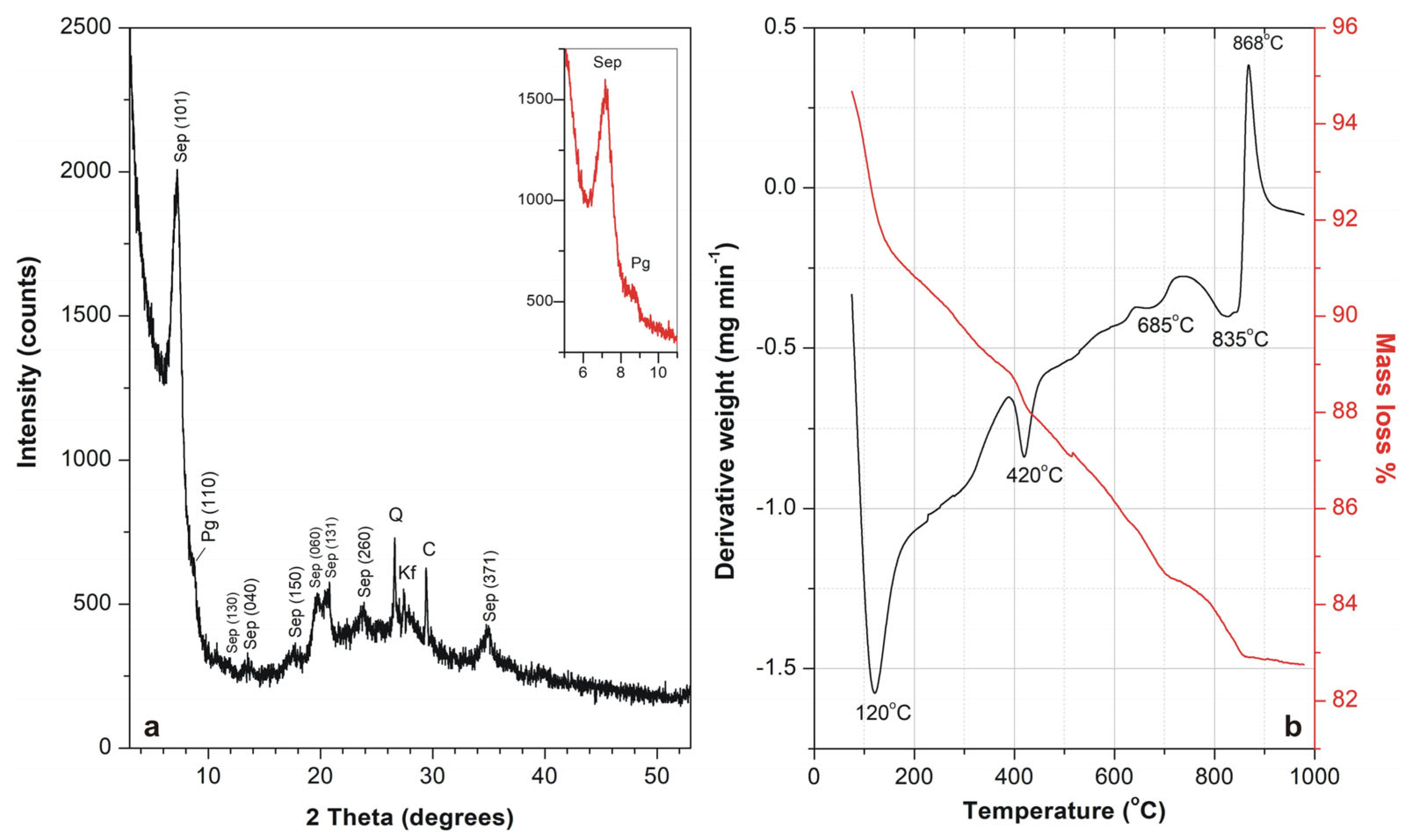
3.1.1. Mineralogical Characterization of Raw Sepiolite
3.1.2. Chemical Composition of Raw Sepiolite
3.1.3. DTG-TA Analysis of Raw Sepiolite
3.1.4. Specific Surface Area and CEC of Raw Sepiolite
3.2. Adsorption Studies
3.2.1. Effect of pH
3.2.2. Effect of Adsorbent Dosage
3.2.3. Adsorption Isotherms
3.2.4. Effect of Contact Time and Adsorption Kinetics
3.3. Regeneration Study
4. Conclusions
Supplementary Materials
Funding
Data Availability Statement
Acknowledgments
Conflicts of Interest
References
- Briffa, J.; Sinagra, E.; Blundell, R. Heavy metal pollution in the environment and their toxicological effects on humans. Heliyon 2020, 6, e04691. [Google Scholar] [CrossRef]
- Kubier, A.; Wilkin, R.T.; Pichler, T. Cadmium in soils and groundwater: A review. Appl. Geochem. 2019, 108, 104388. [Google Scholar] [CrossRef] [PubMed]
- Oladimeji, T.E.; Oyedemi, M.; Emetere, M.E.; Agboola, O.; Adeoye, J.B.; Odunlami, O.A. Review on the impact of heavy metals from industrial wastewater effluent and removal technologies. Heliyon 2024, 10, e40370. [Google Scholar] [CrossRef] [PubMed]
- Denkhaus, E.; Salnikow, K. Nickel essentiality, toxicity, and carcinogenicity. Crit. Rev. Oncol./Hematol. 2002, 42, 35–56. [Google Scholar] [CrossRef]
- Zhang, W.; Li, J.; Tang, J.; Wang, B.; Huang, F. Advance of the treatment of heavy metal wastewater by adsorption. Chem. Ind. Eng. Prog. 2013, 11, 2749–2756. [Google Scholar] [CrossRef]
- Alkan, M.; Demirbaş, Ö.; Doğan, M. Adsorption kinetics and thermodynamics of an anionic dye onto sepiolite. Microporous Mesoporous Mater. 2007, 101, 388–396. [Google Scholar] [CrossRef]
- Aziz, K.H.H. Removal of toxic heavy metals from aquatic systems using low-cost and sustainable biochar: A review. Desalination Water Treat. 2024, 320, 100757. [Google Scholar] [CrossRef]
- Babel, S.; Kurniawan, T.A. Low-cost adsorbents for heavy metals uptake from contaminated water: A review. J. Hazard. Mater. 2003, 97, 219–243. [Google Scholar] [CrossRef]
- Bourliva, A.; Michailidis, K.; Sikalidis, C.; Filippidis, A.; Betsiou, M. Adsorption of Cd(II), Cu(II), Ni(II) and Pb(II) onto natural bentonite: Study in mono- and multi-metal systems. Environ. Earth Sci. 2015, 73, 5435–5444. [Google Scholar] [CrossRef]
- Bourliva, A.; Michailidis, K.; Sikalidis, C.; Filippidis, A.; Betsiou, M. Lead removal from aqueous solutions by natural Greek bentonites. Clay Miner. 2013, 48, 771–787. [Google Scholar] [CrossRef]
- Fathy, A.T.; Moneim, M.A.; Ahmed, E.A.; El-Ayaat, A.; Dardir, F.M. Effective removal of heavy metal ions (Pb, Cu, and Cd) from contaminated water by limestone mine wastes. Sci. Rep. 2025, 15, 1680. [Google Scholar] [CrossRef]
- Otunola, B.O.; Ololade, O.O. A review on the application of clay minerals as heavy metal adsorbents for remediation purposes. Environ. Technol. Innov. 2020, 18, 100692. [Google Scholar] [CrossRef]
- Uddin, M.K. A review on the adsorption of heavy metals by clay minerals, with focus on the past decade. Chem. Eng. J. 2017, 308, 438–462. [Google Scholar] [CrossRef]
- Newman, A.C.D.; Brown, G. The chemical constitution of clays. In The Chemistry of Clays and Clay Minerals; Newman, A.C.D., Ed.; Mineralogical Society of London: London, UK, 1987; pp. 1–128. [Google Scholar]
- Brauner, K.; Presinger, A. Struktur und Entstehung des Sepioliths. Tschermak’s Mineral. Petrogr. Mitteilungen 1956, 6, 120–140. [Google Scholar] [CrossRef]
- Inagaki, S.; Fukushima, Y.; Doi, H.; Kamigaito, O. Pore distribution and adsorption selectivity of sepiolite. Clay Miner. 1990, 25, 99–105. [Google Scholar] [CrossRef]
- Brigatti, M.F.; Galan, E.; Theng, B.K.G. Structure and mineralogy of clay minerals. In Handbook of Clay Science; Bergaya, F., Theng, B.H.K., Lagaly, G., Eds.; Elsevier: Amsterdam, The Netherlands, 2013; pp. 21–81. [Google Scholar]
- Bahabadi, F.N.; Farpoor, M.H.; Mahrizi, M.H. Removal of Cd, Cu and Zn ions from aqueous solutions using natural and Fe modified sepiolite, zeolite and palygorskite clay minerals. Water Sci. Technol. 2013, 75, 340–349. [Google Scholar] [CrossRef]
- Brigatti, M.F.; Lugli, C.; Poppi, L. Kinetics of heavy-metal removal and recovery in sepiolite. Appl. Clay Sci. 2000, 16, 45–57. [Google Scholar] [CrossRef]
- Doğan, M.; Turhan, Y.; Alkan, M.; Namli, H.; Turan, P.; Demirbaş, Ö. Functionalized sepiolite for heavy metal ions adsorption. Desalination 2008, 230, 248–268. [Google Scholar] [CrossRef]
- Kocaoba, S. Adsorption of Cd(II), Cr(III) and Mn(II) on natural sepiolite. Desalination 2009, 244, 24–30. [Google Scholar] [CrossRef]
- Padilla-Ortega, E.; Leyva-Ramos, R.; Mendoza-Barron, J.; Guerrero-Coronado, R.M.; Jacobo-Azuara, A.; Aragon-Piña, A. Adsorption of heavy metals ions from aqueous solution onto sepiolite. Adsorpt. Sci. Technol. 2011, 29, 569–584. [Google Scholar] [CrossRef]
- Hojati, S.; Khademi, H. Cadmium sorption from aqueous solutions onot Iranian sepiolite: Kinetics and isotherms. J. Cent. South Univ. 2013, 20, 3627–3632. [Google Scholar] [CrossRef]
- Zhou, X.Y.; Xue, X.X. Study on adsorption of heavy metalion in metallurgical wastewater by sepiolite. Adv. Mater. Res. 2011, 726–731, 2585–2588. [Google Scholar]
- Jiang, M.-Q.; Jin, X.-Y.; Lu, X.-Q.; Chen, Z.-L. Adsorption of Pb(II), Cd(II), Ni(II) and Cu(II) onto natural kaolinite clay. Desalination 2010, 252, 33–39. [Google Scholar] [CrossRef]
- El-Rayyes, A.; Hefawy, M.; Refat, M.S.; Ogunbamowo, O.E.; Babatimehin, A.M.; Ngueagni, P.T.; Ofudje, E.A.; Alsuhaibani, A.M. Kinetics, equilibrium and thermodynamics studies on natural and heat treated clays for the removal of arsenate ions from aqueous solution. Sci. Rep. 2025, 15, 15526. [Google Scholar] [CrossRef]
- Sabah, E.; Ouki, S. Adsorption of pyrene from aqueous solutions onto sepiolite. Clays Clay Miner. 2017, 65, 14–26. [Google Scholar] [CrossRef]
- Li, N.; Yan, X.; Dai, W.; Lv, B.; Wang, W. Adsorption properties and mechanism of sepiolite to grapheme oxide in aqueous solution. Arab. J. Chem. 2023, 16, 104595. [Google Scholar] [CrossRef]
- Alexiades, C.A.; Jackson, M.L. Quantitative clay mineralogical analysis of soils and sediments. Clays Clay Miner. 1966, 14, 35–52. [Google Scholar] [CrossRef]
- Langmuir, I. The adsorption of gases on plane surfaces of glass, mica and platinum. J. Am. Chem. Soc. 1918, 40, 1361–1403. [Google Scholar] [CrossRef]
- Freundlich, H. Ueber die Adsorption in Loesungen. Z. Phys. Chem. 1907, 57, 385–470. [Google Scholar] [CrossRef]
- Yang, S.; Zhao, D.; Zhang, H.; Lu, S.; Chen, L.; Yu, X. Impact of environmental conditions on the sorption behavior of Pb(II) in Na-bentonite suspensions. J. Hazard. Mater. 2010, 183, 632–640. [Google Scholar] [CrossRef] [PubMed]
- Veli, S.; Alyuz, B. Adsorption of copper and zinc from aqueous solutions by using natural clay. J. Hazard. Mater. 2007, 149, 226–233. [Google Scholar] [CrossRef]
- Xu, D.; Tan, X.L.; Chen, C.L.; Wang, X.K. Adsorption of Pb(II) from aqueous solution to MX-80 bentonite: Effect of pH, ionic strength, foreign ions and temperature. Appl. Clay Sci. 2008, 41, 37–46. [Google Scholar] [CrossRef]
- Ho, Y.S. Citation review of Lagergren kinetic rate equation on adsorption reactions. Scientometrics 2004, 59, 171–177. [Google Scholar] [CrossRef]
- Lagergren, S. Zur theorie der sogenannten adsorption gelöster stoffe. K. Sven. Vetenskapsakademiens Handl. 1898, 24, 1–39. [Google Scholar]
- Ho, Y.S.; McKay, G. Batch lead(II) removal from aqueous solution by peat: Equilibrium and kinetics. Trans. Inst. Chem. Eng. 1999, 77, 165–173. [Google Scholar]
- Ho, Y.S.; Ng, J.C.; McKay, G. Removal of lead(II) from effluents by sorption on peat using second-order kinetics. Sep. Sci. Technol. 2001, 36, 241–261. [Google Scholar] [CrossRef]
- Weber, W.J.; Morris, J.C. Kinetics of adsorption of carbon from solutions. J. Sanit. Eng. Div. 1963, 89, 31–63. [Google Scholar] [CrossRef]
- Knocke, W.R.; Hemphill, L.H. Mercury (II) sorption by waste rubber. Water Res. 1981, 15, 275–282. [Google Scholar] [CrossRef]
- Post, J.E.; Bish, D.L.; Heaney, P.J. Synchroton powder X-ray diffraction study of the structure and dehydration behavior of sepiolite. Am. Mineral. 2007, 92, 91–97. [Google Scholar] [CrossRef]
- Sánchez del Rio, M.; García-Romero, E.; Suárez, M.; da Silva, I.; Fuentes Moreno, L.; Martín-Criado, G. Variability in sepiolite: Diffraction studies. Am. Mineral. 2011, 96, 1443–1454. [Google Scholar] [CrossRef]
- Suárez, M.; García-Romero, E. Variability of the surface properties of sepiolite. Appl. Clay Sci. 2012, 67–68, 72–82. [Google Scholar] [CrossRef]
- Suárez, M.; García-Romero, E. Advances in the crystal-chemistry of sepiolite and palygorskite. In Developments in Clay Science; Galan, E., Singer, A., Eds.; Elsevier: Amsterdam, The Netherlands, 2011; Volume 3, pp. 33–65. [Google Scholar]
- Suárez, M.; García-Rivas, J.; García-Romero, E.; Jara, N. Mineralogical characterization and surface properties of sepiolite from Polatli (Turkey). Appl. Clay Sci. 2016, 131, 124–130. [Google Scholar] [CrossRef]
- Karakaya, N.; Celik Karakaya, M.; Temel, A.; Küpeli, S.; Tunoğlu, C. Mineralogical and chemical characterization of sepiolite occurrences at Karapinar (Konya basin, Turkey). Clays Clay Miner. 2004, 52, 495–509. [Google Scholar] [CrossRef]
- Perraki, T.; Orfanoudaki, A. Study of raw and thermally treated sepiolite from the Mantoudi area, Euboea, Greece: X-ray diffraction, TG/DTG/DTA and FTIR investigations. J. Therm. Anal. Calorim. 2008, 91, 589–593. [Google Scholar] [CrossRef]
- Pėrez-Rodríguez, J.L.; Galán, E. Determination of impurity in sepiolite by thermal analysis. J. Therm. Anal. 1994, 42, 131–141. [Google Scholar] [CrossRef]
- Lazarevic, S.; Jankovic-Častvan, I.; Jovanovic, D.; Milonjic, S.; Janackovic, D.; Petrovic, R. Adsorption of Pb2+, Cd2+ and Sr2+ ions onto natural and acid-activated sepiolites. Appl. Clay Sci. 2007, 37, 47–57. [Google Scholar] [CrossRef]
- Sheikhhosseini, A.; Shirvani, M.; Shariatmadari, H. Competitive sorption of nickel, cadmium, zinc and copper on palygorskite and sepiolite silicate clay minerals. Geoderma 2013, 192, 249–253. [Google Scholar] [CrossRef]
- Sánchez-Martín, M.J.; Rodríguez-Cruz, M.S.; Andrades, M.S.; Sánchez-Camazano, M. Efficiency of different clay minerals modified with a cationic surfactant in the adsorption of pesticides: Influence of clay type and pesticide hydrophobicity. Appl. Clay Sci. 2006, 31, 216–228. [Google Scholar] [CrossRef]
- Casal, B.; Merino, J.; Serratosa, J.M.; Ruiz-Hitzky, E. Sepiolite-based materials for the photo- and thermal-stabilization of pesticides. Appl. Clay Sci. 2001, 18, 245–254. [Google Scholar] [CrossRef]
- Gupta, S.S.; Bhattacharyya, K.G. Immobilization of Pb(II), Cd(II) and Ni(II) ions on kaolinite and montmorillonite surfaces from aqueous medium. J. Environ. Manag. 2008, 87, 46–58. [Google Scholar] [CrossRef]
- Kumrić, K.R.; Đuckić, A.B.; Trtić-Petrović, T.M.; Vukelć, N.S.; Stojanović, Z.; Grbović Novakovi, J.D.; Matović, L.L. Simultaneous removal of divalent heavy metals from aqueous solutions using raw and mechanochemically treated interstratified montmorillonite/kaolinite clay. Ind. Eng. Chem. Res. 2013, 52, 7930–7939. [Google Scholar] [CrossRef]
- Shukla, A.; Zhang, Y.H.; Dubey, P.; Margrave, J.L.; Shukla, S.S. The role of sawdust in the removal of unwanted materials from water. J. Hazard. Mater. 2002, 95, 137–152. [Google Scholar] [CrossRef]
- Kannan, N.; Rengasamy, G. Comparison of cadmium adsorption on various activated carbons. Water Air Soil Pollut. 2005, 163, 185–201. [Google Scholar] [CrossRef]
- Sen, T.K.; Gomez, D. Adsorption of zinc (Zn2+) from aqueous solution on natural bentonite. Desalination 2011, 267, 286–294. [Google Scholar] [CrossRef]
- Giles, C.H.; Smith, D.; Huitson, A. A general treatment and classification of the solute adsorption isotherm: I. Theoretical. J. Colloid Interface Sci. 1974, 47, 755–765. [Google Scholar] [CrossRef]
- Onursal, N. Application of a new adsorption kinetic model for the removal of Zn(II) ions present in aqueous solutions with Malatya clay. J. King Saud Univ.-Sci. 2025, 37, 4232024. [Google Scholar] [CrossRef]
- Dubinin, M.; Astakhov, V. Development of the concepts of volume filling of micropores in the adsorption of gases and vapors by microporous adsorbents–Communication 1. Bull. Acad. Sci. USSR Div. Chem. Sci. 1971, 20, 3–7. [Google Scholar] [CrossRef]
- Caliskan, N.; Kul, A.R.; Alkan, S.; Gokirmak Sogut, E.; Alacabey, I. Adsorption of Zinc(II) on diatomite and manganese-oxide-modified diatomite: A kinetic and equilibrium study. J. Hazard. Mater. 2011, 193, 27–36. [Google Scholar] [CrossRef] [PubMed]
- Kul, A.R.; Koyuncu, H. Adsorption of Pb(II) ions from aqueous solution by native and activated bentonite: Kinetic, equilibrium and thermodynamic study. J. Hazard. Mater. 2010, 179, 332–339. [Google Scholar] [CrossRef] [PubMed]
- Taha, A.A.; Shreadah, M.A.; Heiba, H.F.; Ahmed, A.M. Validity of Egyptian Na-montmorillonite for adsorption of Pb2+, Cd2+ and Ni2+ under acidic conditions: Characterization, isotherm, kinetics, thermodynamics and application study. Asia-Pac. J. Chem. Eng. 2017, 12, 292–306. [Google Scholar] [CrossRef]
- Girish, C.R. Determination of thermodynamic parameters in adsorption studies: A review. Chem. Pap. 2025, 79, 5687–5706. [Google Scholar] [CrossRef]
- Huang, J.; Wu, Z.; Chen, L.; Sun, Y. The sorption of Cd(II) and U(VI) on sepiolite: A combined experimental and modeling studies. J. Mol. Liq. 2015, 209, 706–712. [Google Scholar] [CrossRef]
- García-Sánchez, A.; Alastuey, A.; Querol, X. Heavy metal adsorption by different minerals: Application to the remediation of polluted soils. Sci. Total Environ. 1999, 242, 179–188. [Google Scholar] [CrossRef]
- Doğan, M.; Türkyilmaz, A.; Alkan, M.; Demirbaş, Ö. Adsorption of copper (II) ions onto sepiolite and electrokinetic properties. Desalination 2009, 238, 257–270. [Google Scholar] [CrossRef]
- Ansanay-Alex, S.; Lomenech, C.; Hurel, C.; Marmier, N. Adsorption of nickel and arsenic from aqueous solution on natural sepiolite. Int. J. Nanotechnol. 2012, 9, 204–215. [Google Scholar] [CrossRef]
- Samieifard, R.; Landi, A.; Pourreza, N. Adsorption of Cd, Co, and Zn from multi-ionic solutions onto Iranian sepiolite isotherms. Cent. Asian J. Environ. Sci. Technol. 2021, 3, 102–118. [Google Scholar]
- Turhan, Y.; Turan, P.; Doğan, M.; Alkan, M.; Namli, H.; Demirbaş, Ö. Characterization and adsorption properties of chemically modified sepiolite. Ind. Eng. Chem. Res. 2008, 47, 1883–1895. [Google Scholar] [CrossRef]
- Sun, W.J.; Tang, Q.T.; Lu, T.H.; Fan, R.D.; Sun, G.G.; Tan, Y.Z. Adsorption performance of bentonite and clay for Zn(II) in landfill leachate. Geoenviron. Disasters 2024, 11, 4. [Google Scholar] [CrossRef]
- Ciosek, A.L.; Luk, G.K. Kinetic modeling of the removal of multiple heavy metallic ions from mine waste by natural zeolite sorption. Water 2017, 9, 482. [Google Scholar] [CrossRef]
- Lach, J.; Okoniewska, E. Equilibrium, kinetic, and diffusion mechanism of lead (II) and cadmium (II) adsorption onto commercial activated carbons. Molecules 2024, 29, 2418. [Google Scholar] [CrossRef] [PubMed]






| Chemical Composition | Textural Properties | ||||
|---|---|---|---|---|---|
| Oxide (wt %) | Trace (ppm) | ||||
| SiO2 | 51.37 | Mo | <0.1 | SBET (m2/g) | 194.8 |
| Al2O3 | 7.34 | Cu | 5 | Pore Volume (cm3/g) | 0.39 |
| TiO2 | 0.56 | Pb | 5 | Pore Size (nm) | 8.12 |
| MnO | 0.04 | Zn | 84 | CEC (mmol/100 g) | 58.7 |
| Fe2O3 | 2.36 | Ni | 266 | ||
| Cr2O3 | 0.014 | As | <0.5 | ||
| MgO | 20.32 | Cd | <0.1 | ||
| CaO | 1.21 | Sb | <0.1 | ||
| Na2O | 0.05 | Bi | <0.1 | ||
| K2O | 0.24 | Hg | <0.01 | ||
| P2O5 | 0.04 | Tl | 1.0 | ||
| L.O.I. | 16.3 | V | 73 | ||
| Total | 99.84 | Co | 43 | ||
| Isotherm Model | Parameters | Parameter Values | ||
|---|---|---|---|---|
| Cd | Cu | Ni | ||
| Langmuir | Qm (mg g−1) | 15.95 | 37.31 | 17.83 |
| b (L mg−1) | 0.715 | 0.046 | 0.068 | |
| RL | 0.018 | 0.118 | 0.063 | |
| R2 | 0.992 | 0.964 | 0.997 | |
| Freundlich | Kf (mg1−n Ln g−1) | 4.40 | 5.37 | 3.29 |
| n | 2.617 | 3.693 | 3.202 | |
| R2 | 0.889 | 0.904 | 0.931 | |
| Dubinin-Radushkevich | qm (mg g−1) | 51.82 | 24.57 | 35.64 |
| B (mol2 kJ−2) | 0.007 | 0.001 | 0.004 | |
| E (kJ mol−1) | 8.45 | 21.32 | 11.95 | |
| R2 | 0.930 | 0.889 | 0.977 | |
| Adsorbent | Adsorption Capacity (mg/g) | Reference | ||
|---|---|---|---|---|
| Cd | Cu | Ni | ||
| Sepiolite | 15.95 | 37.31 | 17.83 | This study |
| Modified Sepiolite | 49.84 | 118.8 | [20] | |
| Sepiolite | 21.78 | [21] | ||
| Sepiolite | 13.79 | 7.57 | [22] | |
| Sepiolite | 25.85 | [49] | ||
| Sepiolite | 8.68 | [50] | ||
| Sepiolite | 27.78 | [65] | ||
| Sepiolite | 8.3 | 6.9 | [66] | |
| sepiolite | 2.24 | [68] | ||
| Sepiolite | 3.97 | [69] | ||
| Sepiolite | 10.33 | 8.29 | [70] | |
| Kinetic Models | Parameters | Cd | Cu | Ni | ||
|---|---|---|---|---|---|---|
| Pseudo-first order (PFO) | qe,exp (mg/g) | 12.8 | 20.2 | 11.9 | ||
| qe,cal (mg/g) | 1.12 | 1.35 | 1.82 | |||
| k1 (min−1) | 0.003 | 0.004 | 0.005 | |||
| Deviation (%) | −91.25 | −93.32 | −84.71 | |||
| R2 | 0.834 | 0.860 | 0.881 | |||
| Pseudo-second order (PSO) | qe,cal (mg/g) | 12.82 | 20.41 | 12.20 | ||
| k2 (g mg−1 min−1) | 0.02 | 0.02 | 0.01 | |||
| Deviation (%) | +0.16 | +1.03 | +2.46 | |||
| R2 | 0.999 | 0.999 | 0.999 | |||
| Intra-particle diffusion (IPD) | ki (g mg−1 min−0.5) | 0.238 | 0.056 | 0.350 | 0.087 | 0.189 |
| C | 10.23 | 11.80 | 16.64 | 18.64 | 8.53 | |
| R2 | 0.944 | 0.670 | 0.909 | 0.873 | 0.915 | |
Disclaimer/Publisher’s Note: The statements, opinions and data contained in all publications are solely those of the individual author(s) and contributor(s) and not of MDPI and/or the editor(s). MDPI and/or the editor(s) disclaim responsibility for any injury to people or property resulting from any ideas, methods, instructions or products referred to in the content. |
© 2025 by the author. Licensee MDPI, Basel, Switzerland. This article is an open access article distributed under the terms and conditions of the Creative Commons Attribution (CC BY) license (https://creativecommons.org/licenses/by/4.0/).
Share and Cite
Bourliva, A. Heavy Metal Adsorption and Desorption Behavior of Raw Sepiolite: A Study on Cd(II), Cu(II), and Ni(II) Ions. Minerals 2025, 15, 1110. https://doi.org/10.3390/min15111110
Bourliva A. Heavy Metal Adsorption and Desorption Behavior of Raw Sepiolite: A Study on Cd(II), Cu(II), and Ni(II) Ions. Minerals. 2025; 15(11):1110. https://doi.org/10.3390/min15111110
Chicago/Turabian StyleBourliva, Anna. 2025. "Heavy Metal Adsorption and Desorption Behavior of Raw Sepiolite: A Study on Cd(II), Cu(II), and Ni(II) Ions" Minerals 15, no. 11: 1110. https://doi.org/10.3390/min15111110
APA StyleBourliva, A. (2025). Heavy Metal Adsorption and Desorption Behavior of Raw Sepiolite: A Study on Cd(II), Cu(II), and Ni(II) Ions. Minerals, 15(11), 1110. https://doi.org/10.3390/min15111110
