Promoting Effects of Acid Treatment on Catalytic Performance of K-Sepiolite Clay Fibers for Soot Oxidation
Abstract
1. Introduction
2. Results and Discussion
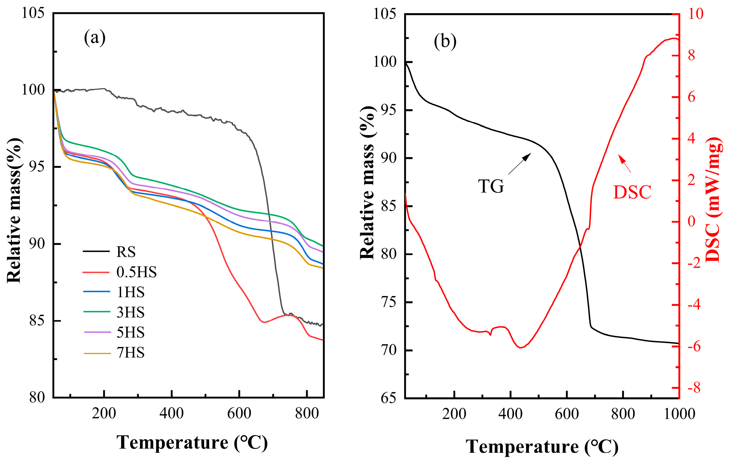
2.1. Effects of Different HCl Concentrations on the Structural Properties for Bare and K-Supported Activated Sepiolite Fibers
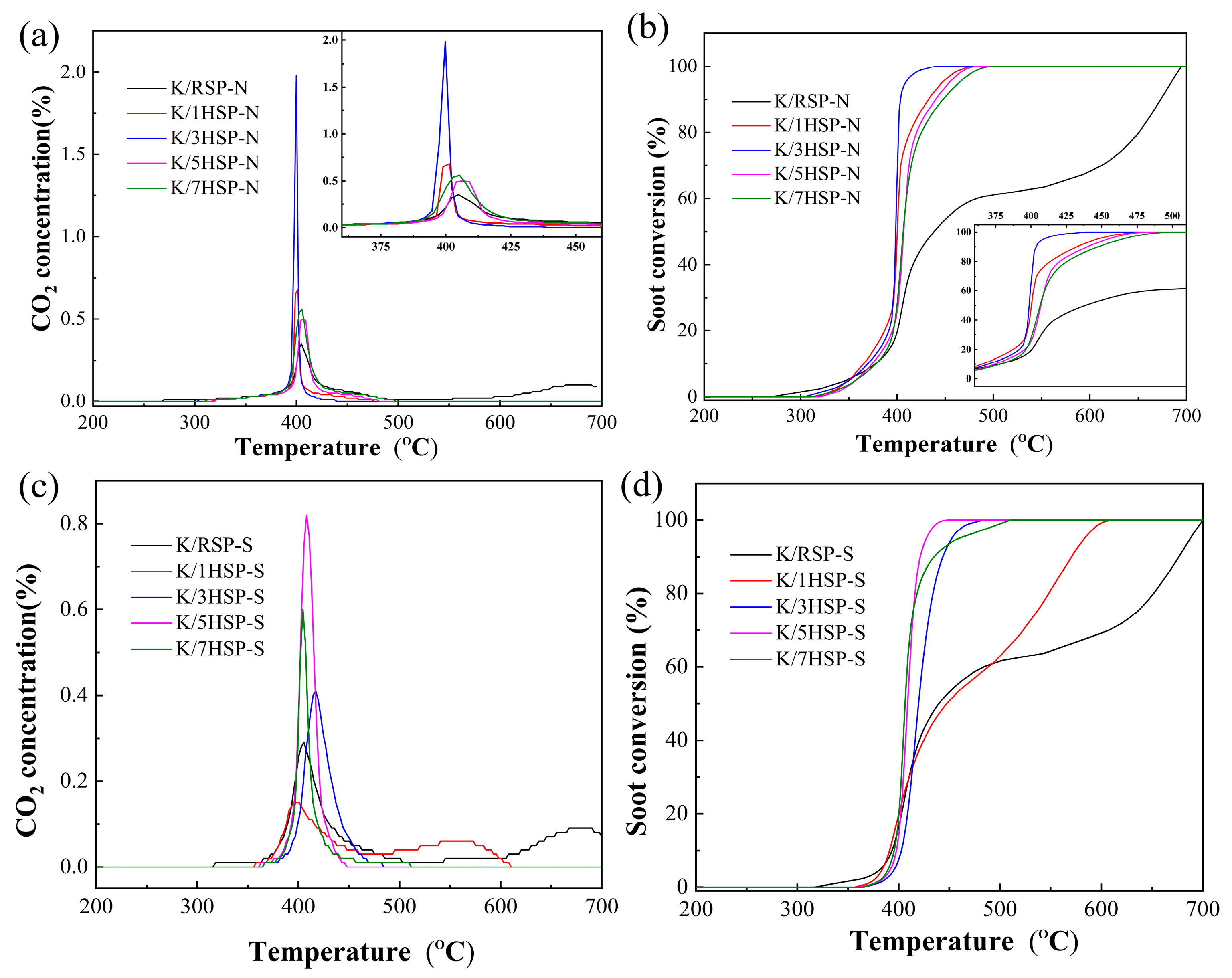
2.2. Catalytic Activities of K-HS and K-HSP for Soot Oxidation
2.3. Catalytic Stability of K-HS and K-HSP for Soot Oxidation
2.4. Effect of NO and H2O on Catalytic Activity of Sepiolite Fiber Paper Catalyst
3. Materials and Methods
3.1. Preparation of Acidified Sepiolite Fibers
3.2. Design of the Paper-Structured Catalysts
3.3. Characterization
4. Conclusions
Author Contributions
Funding
Data Availability Statement
Conflicts of Interest
Abbreviations
| PM | Particulate matter |
| DPF | Diesel particulate filter |
| PSC | Paper-structured catalyst |
| MTS | Methyltrichlorosilane |
| RS | Sepiolite fibers |
| XRD | X-ray diffraction |
| BET | Brunauer–Emmett–Teller |
| TG-DSC | Thermogravimetry-differential scanning calorimetry |
| SEM | Scanning electron microscope |
| UV-Vis DRS | UV-Vis diffuse reflection spectroscopy |
| CO2-TPD | Carbon dioxide temperature-programmed desorption |
| TPO | Temperature-programmed oxidation |
| ICP-OES | Inductively coupled plasma optical emission spectrometerCoupled Plasma Optical Emission Spectrometer |
References
- Rossomando, B.; Meloni, E.; De Falco, G.; Sirignano, M.; Arsie, I.; Palma, V. Experimental characterization of ultrafine particle emissions from a light-duty diesel engine equipped with a standard DPF. Proc. Combust. Inst. 2021, 38, 5695–5702. [Google Scholar] [CrossRef]
- Twigg, M.V. Progress and future challenges in controlling automotive exhaust gas emissions. Appl. Catal. B Environ. 2007, 70, 2–15. [Google Scholar] [CrossRef]
- Ou, J.; Meng, Z.; Hu, Y.; Du, Y. Experimental investigation on the variation characteristics of soot layer thickness and pressure drop during DPF/CDPF active regeneration. Chem. Eng. Sci. 2021, 241, 116682. [Google Scholar] [CrossRef]
- Li, Q.; Wang, X.; Chen, H.; Xin, Y.; Tian, G.; Lu, C.; Zhang, Z.; Zheng, L.; Zheng, L. K-supported catalysts for diesel soot combustion: Making a balance between activity and stability. Catal. Today 2016, 264, 171–179. [Google Scholar] [CrossRef]
- Sui, L.; Yu, L. K–V–Ca catalysts supported on porous alumina ceramic substrate for soot combustion: Preparation and characterization. Chem. Eng. J. 2009, 155, 508–513. [Google Scholar] [CrossRef]
- Peralta, M.A.; Zanuttini, M.S.; Querini, C.A. Activity and stability of BaKCo/CeO2 catalysts for diesel soot oxidation. Appl. Catal. B Environ. 2011, 110, 90–98. [Google Scholar] [CrossRef]
- Fang, F.; Xu, F.; Li, X.; Chen, C.; Feng, N.; Jiang, Y.; Huang, J. Mechanistic Insights into Potassium-Assistant Thermal-Catalytic Oxidation of Soot over Single-Crystalline SrTiO3 Nanotubes with Ordered Mesopores. ACS Catal. 2024, 15, 789–799. [Google Scholar] [CrossRef]
- Homma, T.; Kitaoka, T. Multiphase catalytic oxidation of alcohols over paper-structured catalysts with micrometer-size pores. Appl. Catal. A Gen. 2014, 486, 201–209. [Google Scholar] [CrossRef]
- Shiratori, Y.; Quang-Tuyen, T.; Umemura, Y.; Kitaoka, T.; Sasaki, K. Paper-structured catalyst for the steam reforming of biodiesel fuel. Int. J. Hydrogen Energy 2013, 38, 11278–11287. [Google Scholar] [CrossRef]
- Koga, H.; Fukahori, S.; Kitaoka, T.; Nakamura, M.; Wariishi, H. Paper-structured catalyst with porous fiber-network microstructure for autothermal hydrogen production. Chem. Eng. J. 2008, 139, 408–415. [Google Scholar] [CrossRef]
- Banús, E.D.; Ulla, M.A.; Galván, M.V.; Zanuttini, M.A.; Milt, V.G.; Miró, E.E. Catalytic ceramic paper for the combustion of diesel soot. Catal. Commun. 2010, 12, 46–49. [Google Scholar] [CrossRef]
- Yu, G.; Wang, J.; Liu, J.; Cheng, X.; Ma, H.; Wu, H.; Yang, Z.; Zhang, G.; Sun, X. Paper-structured catalyst based on CeO2-ZrO2 fibers for soot combustion. Catal. Lett. 2019, 149, 3543–3555. [Google Scholar] [CrossRef]
- Yu, G.; Wang, J.; Ma, H.; Liu, X.; Qin, S.; Yang, Z.; Zhang, G.; Li, Y.; Zhu, L. Exploring abundantly synergic effects of K-Cu supported paper catalysts using TiO2-ZrO2 mesoporous fibers as matrix towards soot efficient oxidation. Chem. Eng. J. 2021, 417, 128111. [Google Scholar] [CrossRef]
- Wu, X.; Zhang, Q.; Liu, C.; Zhang, X.; Chung, D. Carbon-coated sepiolite clay fibers with acid pre-treatment as low-cost organic adsorbents. Carbon 2017, 123, 259–272. [Google Scholar] [CrossRef]
- Xie, S.; Zhang, S.; Wang, F.; Yang, M.; Séguéla, R.; Lefebvre, J.-M. Preparation, structure and thermomechanical properties of nylon-6 nanocomposites with lamella-type and fiber-type sepiolite. Compos. Sci. Technol. 2007, 67, 2334–2341. [Google Scholar] [CrossRef]
- Zhang, Y.; Wang, L.; Wang, F.; Liang, J.; Ran, S.; Sun, J. Phase transformation and morphology evolution of sepiolite fibers during thermal treatment. Appl. Clay Sci. 2017, 143, 205–211. [Google Scholar] [CrossRef]
- He, C.; Makovicky, E.; Osbæck, B. Thermal treatment and pozzolanic activity of sepiolite. Appl. Clay Sci. 1996, 10, 337–349. [Google Scholar] [CrossRef]
- Yu, G.; Ma, H.; Wang, J.; Qin, S.; Yang, Z.; Li, Y. Highly flexible and active potassium-supported sepiolite paper catalysts for soot oxidation. Catal. Sci. Technol. 2020, 10, 1875–1880. [Google Scholar] [CrossRef]
- Basurto, F.C.; García-López, D.; Villarreal-Bastardo, N.; Merino, J.C.; Pastor, J.M. Nanocomposites of ABS and sepiolite: Study of different clay modification processes. Compos. Part B Eng. 2012, 43, 2222–2229. [Google Scholar] [CrossRef]
- Lemić, J.; Tomašević-Čanović, M.; Djuričić, M.; Stanić, T. Surface modification of sepiolite with quaternary amines. J. Colloid Interface Sci. 2005, 292, 11–19. [Google Scholar] [CrossRef]
- Xu, Z.; Jiang, H.; Yu, Y.; Xu, J.; Liang, J.; Zhou, L.; Hu, F. Activation and β-FeOOH modification of sepiolite in one-step hydrothermal reaction and its simulated solar light catalytic reduction of Cr(VI). Appl. Clay Sci. 2017, 135, 547–553. [Google Scholar] [CrossRef]
- Szymańska, A.; Kiełbasa, K. Sepiolite-based adsorbents for carbon dioxide capture. Pol. J. Chem. Technol. 2021, 23, 1–6. [Google Scholar] [CrossRef]
- Zhuang, G.; Gao, J.; Chen, H.; Zhang, Z. A new one-step method for physical purification and organic modification of sepiolite. Appl. Clay Sci. 2018, 153, 1–8. [Google Scholar] [CrossRef]
- Franco, F.; Pozo, M.; Cecilia, J.; Benítez-Guerrero, M.; Pozo, E.; Rubí, J.M. Microwave assisted acid treatment of sepiolite: The role of composition and “crystallinity”. Appl. Clay Sci. 2014, 102, 15–27. [Google Scholar] [CrossRef]
- Wang, X.; Zhang, S.; Zhou, C.; Hu, J.; Li, C.; Han, F. Preparation of hydrophobic sepiolite via a facile one-step methyltrichlorosilane vapor deposition for oil-water separation. Appl. Clay Sci. 2025, 275, 107882. [Google Scholar] [CrossRef]
- Heller-Kallai, L. Chapter 10.2—Thermally Modified Clay Minerals. In Gerhard Lagaly, Developments in Clay Science; Bergaya, F., Ed.; Elsevier: Amsterdam, The Netherlands, 2013; Volume 5, pp. 411–433. [Google Scholar]








| Sample | BET Surface Area (m2/g) | Pore Diameter (nm) |
|---|---|---|
| RS | 38.4 | 9.45 |
| 0.5HS | 52.1 | 11.91 |
| 1HS | 77.1 | 11.43 |
| 3HS | 67.6 | 12.60 |
| 5HS | 80.9 | 10.46 |
| 7HS | 64.2 | 11.89 |
| K/RS | 43.1 | 7.39 |
| K/0.5HS | 66.2 | 8.43 |
| K/1HS | 62.3 | 8.38 |
| K/3HS | 70.5 | 9.62 |
| K/5HS | 85.4 | 7.17 |
| K/7HS | 107.9 | 7.40 |
| Sample | Mass Loss Percentage for Each Temperature Range | |||
|---|---|---|---|---|
| 50–150 °C | 150–350 °C | 350–650 °C | 650–850 °C | |
| RS | 1.42 | 2.65 | 18.15 | 1.30 |
| 0.5HS | 4.26 | 2.34 | 8.34 | 1.65 |
| 1HS | 4.43 | 2.36 | 2.24 | 2.38 |
| 3HS | 3.73 | 2.16 | 2.06 | 2.34 |
| 5HS | 4.16 | 2.00 | 2.16 | 2.30 |
| 7HS | 4.62 | 2.22 | 2.50 | 2.05 |
| Sample | Element Content/wt% | T10/°C | T50/°C | T90/°C | Tm/°C | ||
|---|---|---|---|---|---|---|---|
| K | Ca | Mg | |||||
| RS | 0.31 | 11.13 | 10.37 | - | - | - | - |
| Soot | - | - | - | 458 | 561 | 616 | 586 |
| K/RS | 4.38 | 9.25 | 11.35 | 342 | 365 | 644 | 354 |
| K/0.5HS | 4.92 | 6.11 | 13.04 | 329 | 353 | 573 | 351 |
| K/1HS | 6.51 | 0.49 | 13.58 | 345 | 368 | 400 | 364 |
| K/3HS | 13.43 | 0.25 | 11.24 | 323 | 348 | 364 | 346 |
| K/5HS | 16.74 | 0.57 | 7.61 | 332 | 357 | 375 | 357 |
| K/7HS | 14.42 | 0.35 | 8.69 | 345 | 362 | 379 | 362 |
| K/RSP | - | - | - | 396 | 422 | 670 | 407 |
| K/1HSP | - | - | - | 385 | 404 | 483 | 400 |
| K/3HSP [18] | - | - | - | 400 | 412 | 426 | 410 |
| K/5HSP | - | - | - | 388 | 401 | 415 | 401 |
| K/7HSP | - | - | - | 390 | 402 | 411 | 403 |
Disclaimer/Publisher’s Note: The statements, opinions and data contained in all publications are solely those of the individual author(s) and contributor(s) and not of MDPI and/or the editor(s). MDPI and/or the editor(s) disclaim responsibility for any injury to people or property resulting from any ideas, methods, instructions or products referred to in the content. |
© 2025 by the authors. Licensee MDPI, Basel, Switzerland. This article is an open access article distributed under the terms and conditions of the Creative Commons Attribution (CC BY) license (https://creativecommons.org/licenses/by/4.0/).
Share and Cite
Li, H.; Yang, W.; Hu, J.; Niu, M.; Qin, S.; Yang, Z.; Yu, G. Promoting Effects of Acid Treatment on Catalytic Performance of K-Sepiolite Clay Fibers for Soot Oxidation. Catalysts 2025, 15, 994. https://doi.org/10.3390/catal15100994
Li H, Yang W, Hu J, Niu M, Qin S, Yang Z, Yu G. Promoting Effects of Acid Treatment on Catalytic Performance of K-Sepiolite Clay Fibers for Soot Oxidation. Catalysts. 2025; 15(10):994. https://doi.org/10.3390/catal15100994
Chicago/Turabian StyleLi, Haizhen, Wensheng Yang, Jiateng Hu, Mengjiao Niu, Shengjian Qin, Zhigang Yang, and Gang Yu. 2025. "Promoting Effects of Acid Treatment on Catalytic Performance of K-Sepiolite Clay Fibers for Soot Oxidation" Catalysts 15, no. 10: 994. https://doi.org/10.3390/catal15100994
APA StyleLi, H., Yang, W., Hu, J., Niu, M., Qin, S., Yang, Z., & Yu, G. (2025). Promoting Effects of Acid Treatment on Catalytic Performance of K-Sepiolite Clay Fibers for Soot Oxidation. Catalysts, 15(10), 994. https://doi.org/10.3390/catal15100994

