Combined Application of Commercial Hydroxyapatite and a Straw-Derived Organic Fertilizer Immobilizes Cadmium in an Alkaline-Contaminated Soil
Abstract
1. Introduction
2. Materials and Methods
2.1. Soil and Passivators
2.2. Kinetic and Isotherm Experiments of Aqueous-Phase Passivator Adsorption
2.3. Passivation Experiment
2.4. Leachability of Cd
2.5. Statistical Analysis
| Parameter | Unit | Soil | Hydroxyapatite | Straw-Derived Organic Fertilizer | Sepiolite | Diatomite | Method |
|---|---|---|---|---|---|---|---|
| Supplier/Grade | Reagent grade | Composted agricultural grade | Industrial grade fibrous clay | Filter-aid grade | Information provided by supplier | ||
| Particle size range | μm | 0.1–2000 | 0.1–2000 | 250–2000 | 1–2 | 10–200 | Laser diffraction particle size analysis |
| Plastic limit | % | 16.5 | Atterberg limits test (ASTM D4318) | ||||
| Liquid limit | % | 28.4 | Atterberg limits test (ASTM D4318) | ||||
| Plasticity index | / | 11.9 | Atterberg limits test (ASTM D4318) | ||||
| pH | / | 9.2 | 7.3 | 6.83 | 9.5 | 8.1 | Soil-Determination of pH-Potentiometry (HJ 962-2018) |
| Electrical conductivity | mS·cm−1 | 2 | 0.3 | 2.81 | 2.69 | 0.4 | Soil quality-Determination of conductivity-Electrode method (HJ 802-2016) |
| Organic matter | g·kg−1 | 8.6 | 504 | Soil-Determination of organic carbon-Potassium dichromate oxidation spectrophotometric method (HJ 615-2011) | |||
| Cation exchange capacity | cmol(+)/kg | 9.6 | 15 | 32 | 74 | 27 | Ammonium acetate method (NH4OAc, pH 7.0) |
| Major elements (wt%) | wt% | SiO2: 65; Al2O3: 19 | Ca: 36; P: 18 | C: 52; O: 37 | SiO2: 56; MgO: 29 | SiO2: 84; Al2O3: 5 | X-ray fluorescence spectroscopy (XRF) |
| Total cadmium | mg·kg−1 | 5.05 | <0.01 | 0.008–0.1 | <0.5 | <0.5 | Acid digestion (HNO3–HClO4) followed by ICP-MS |
3. Results
3.1. Adsorption Capacity of Passivators
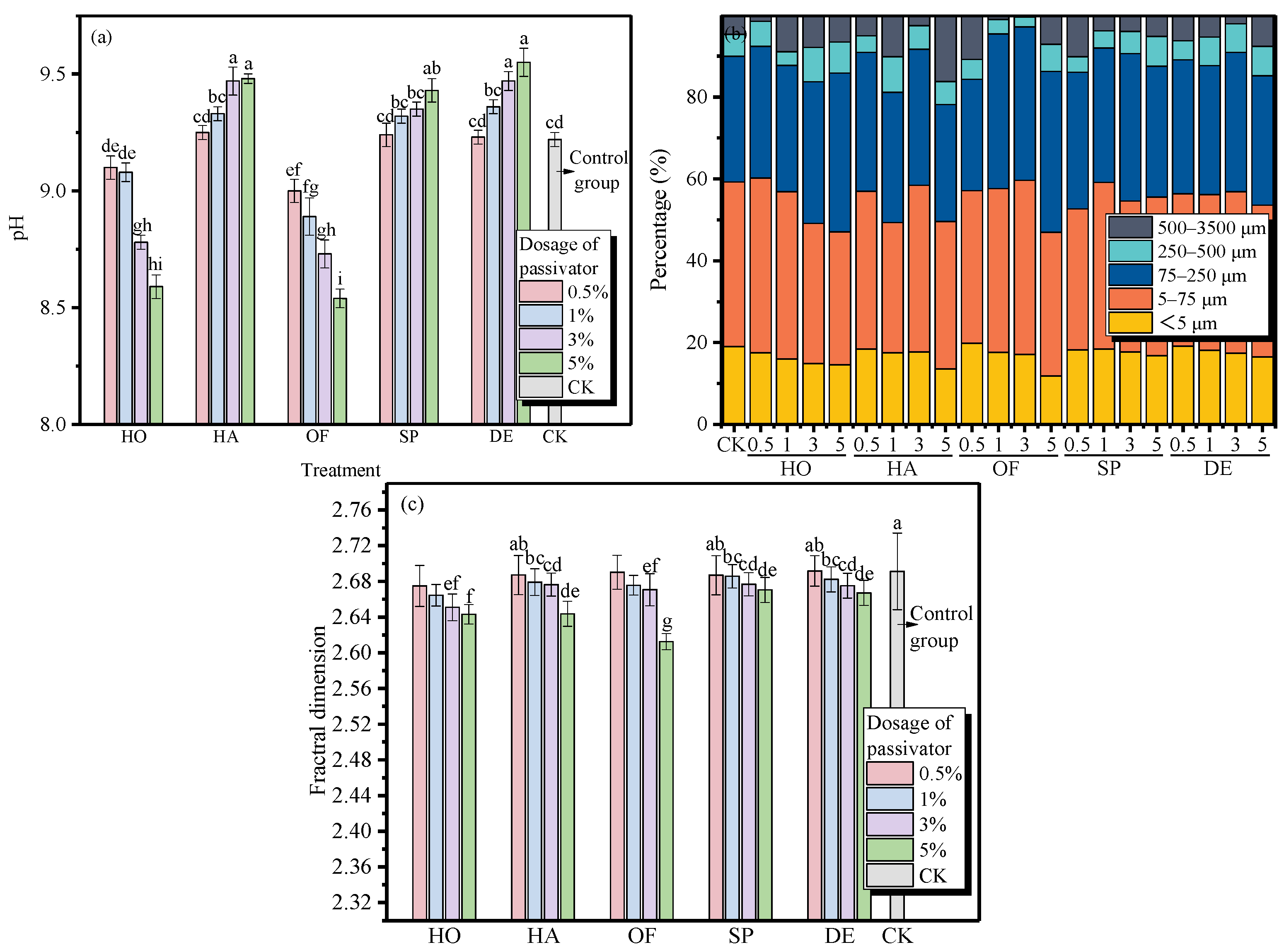
3.2. Effect of Passivators Addition on Soil pH and Aggregates
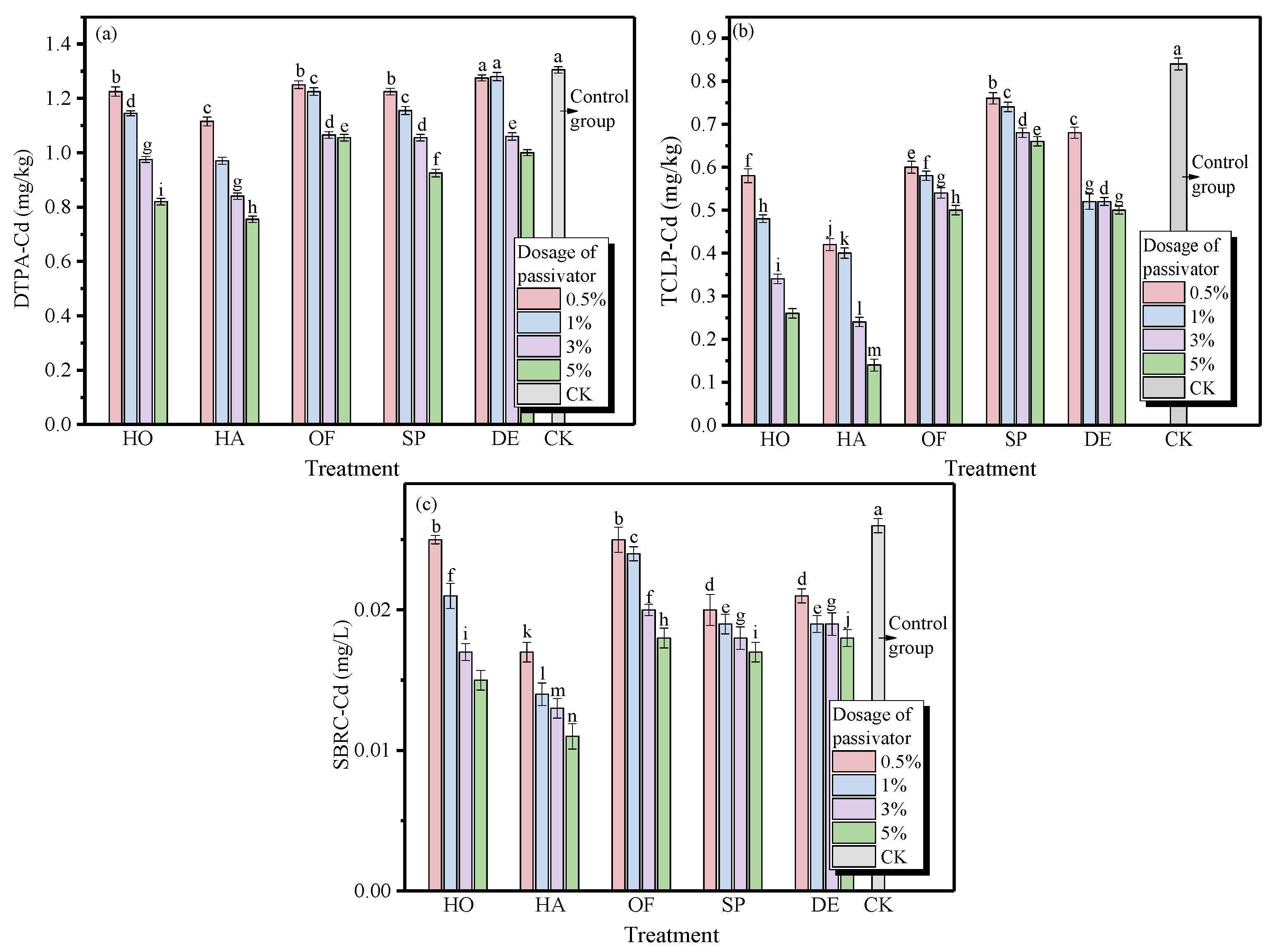
3.3. Leaching of Cd
4. Discussion
5. Conclusions
- In aqueous solution, HO exhibited a high Cd2+ adsorption capacity, comparable to HA and higher than OF, SP, and DE under the tested conditions, and the adsorption behavior differed among materials (e.g., OF was better described by the Freundlich model, whereas HA/SP/DE were better described by the Langmuir model).
- In the alkaline soil (initial pH 9.22), HO (and OF) moderated soil alkalinity, decreasing the pH to 8.59 at a 5% application rate, while HA, SP, and DE increased soil pH. The addition of amendments also shifted aggregate-size distribution toward larger aggregates (>0.25 mm), indicating improved soil structural quality.
- All amendments reduced Cd extractability to varying extents. Relative to the untreated control, HO reduced TCLP-extractable Cd by 30.95%, 42.86%, 59.52%, and 69.05% at application rates of 0.5%, 1%, 3%, and 5%, respectively, and also decreased DTPA- and SBRC-extractable Cd at higher application rates.
Author Contributions
Funding
Data Availability Statement
Conflicts of Interest
Abbreviations
| DE | Diatomite |
| DTPA | Diethylenetriaminepentaacetic acid |
| HA | Hydroxylapatite |
| HO | Hydroxyapatite–organic fertilizer composite amendment |
| ICP-MS | Inductively coupled plasma mass spectrometry |
| ANOVA | One-way analysis of variance |
| OF | Organic fertilizer |
| SP | Sepiolite |
| SBRC | Solubility bioavailability research consortium |
| SD | Standard deviation |
| TCLP | Toxicity leaching procedure test |
| TEA | Triethanolamine |
| USEPA | United States Environmental Protection Agency |
References
- Ballabio, C.; Jones, A.; Panagos, P. Cadmium in topsoils of the European Union–An analysis based on LUCAS topsoil database. Sci. Total Environ. 2024, 912, 168710. [Google Scholar] [CrossRef] [PubMed]
- Song, L.P.; Zhou, J.H.; Xu, X.Y.; Na, M.; Xu, S.Q.; Huang, Y.J.; Zhang, J.; Li, X.P.; Zheng, X.Q. Inoculation of cadmium-tolerant bacteria to regulate microbial activity and key bacterial population in cadmium-contaminated soils during bioremediation. Ecotoxicol. Environ. Saf. 2024, 271, 115957. [Google Scholar] [CrossRef] [PubMed]
- Huang, X.H.; Li, X.Z.; Zheng, L.P.; Zhang, Y.; Sun, L.; Feng, Y.H.; Du, J.Y.; Lu, X.S.; Wang, G.Q. Comprehensive assessment of health and ecological risk of cadmium in agricultural soils across China: A tiered framework. J. Hazard. Mater. 2024, 465, 133111. [Google Scholar] [CrossRef] [PubMed]
- Bashir, S.; Ali, U.; Shaaban, M.; Gulshan, A.B.; Iqbal, J.; Khan, S.; Husain, A.; Ahmed, N.; Mehmood, S.; Kamran, M.; et al. Role of sepiolite for cadmium (Cd) polluted soil restoration and spinach growth in wastewater irrigated agricultural soil. J. Environ. Manag. 2020, 258, 110020. [Google Scholar] [CrossRef]
- Wei, X.D.; Yang, D.; Yin, X.H.; Yang, H.Q.; Fang, Y.Y.; Chen, N.; Zhang, H.; Hu, Z.Y. Comparative study of efficiencies of purification of cadmium contaminated irrigation water by different purification systems. Sci. Total Environ. 2024, 907, 167941. [Google Scholar] [CrossRef]
- Chen, L.; Ma, J.; Xiang, S.; Jiang, L.; Wang, Y.; Li, Z.; Liu, X.; Duan, S.; Luo, Y.; Xiao, Y. Promotion of rice seedlings growth and enhancement of cadmium immobilization under cadmium stress with two types of organic fertilizer. Environ. Pollut. 2024, 346, 123619. [Google Scholar] [CrossRef]
- Huang, F.Y.; Li, Z.M.; Yang, X.; Liu, H.J.; Chen, L.; Chang, N.; He, H.R.; Zeng, Y.; Qiu, T.Y.; Fang, L.C. Silicon reduces toxicity and accumulation of arsenic and cadmium in cereal crops: A meta-analysis, mechanism, and perspective study. Sci. Total Environ. 2024, 918, 170663. [Google Scholar] [CrossRef]
- Zhu, Z.Q.; Liu, H.K.; Yang, Y.H.; Zhou, X.B.; Tang, S.; Zhang, L.H.; Zhu, Y.N.; Fan, Y.M. Remediation characteristics and effects of electrokinetic-citric acid system on karst soil contaminated by arsenic and cadmium. Environ. Technol. Innov. 2024, 33, 103483. [Google Scholar] [CrossRef]
- Huang, C.Y.; Huang, H.L.; Qin, P.F. In-situ immobilization of copper and cadmium in contaminated soil using acetic acid-eggshell modified diatomite. J. Environ. Chem. Eng. 2020, 8, 103931. [Google Scholar] [CrossRef]
- Qu, J.; Li, Y.; Sun, H.; Liu, R.; Han, Y.; Bi, F.; Fan, H.; Zhang, G.; Zhang, Y.; Wang, Y. Ball-milled sepiolite/phosphate rock for simultaneous remediation of cadmium-contaminated farmland and alleviation of phosphorus deficiency symptoms in pepper. Chem. Eng. J. 2024, 488, 150925. [Google Scholar] [CrossRef]
- Piri, M.; Sepehr, E.; Samadi, A.; Farhadi, K.H.; Alizadeh, M. Contaminated soil amendment by diatomite: Chemical fractions of zinc, lead, copper and cadmium. Int. J. Environ. Sci. Technol. 2021, 18, 1191–1200. [Google Scholar] [CrossRef]
- Wen, J.W.; Wu, C.; Bi, X.Y.; Zhang, S.L.; Ouyang, H.; Ye, J.X.; Ohnuki, T.; Yu, Q.Q. Soil pH change induced by smelting activities affects secondary carbonate production and long-term Cd activity in subsoils. Appl. Geochem. 2023, 152, 105663. [Google Scholar] [CrossRef]
- Zhang, Y.N.; Zhang, Y.J.; Wu, A.G. Remediation effects and mechanisms of typical minerals combined with inorganic amendment on cadmium-contaminated soil: A field study in wheat. Environ. Sci. Pollut. Res. 2023, 30, 38605–38615. [Google Scholar] [CrossRef] [PubMed]
- Yue, J.; Li, T.; Tian, J.; Ge, F.; Li, F.; Liu, Y.; Zhang, D.; Li, J. Penicillium oxalicum induced phosphate precipitation enhanced cadmium (Cd) immobilization by simultaneously accelerating Cd biosorption and biomineralization. J. Hazard. Mater. 2024, 470, 134306. [Google Scholar] [CrossRef] [PubMed]
- Zhou, Y.; Cui, Y.; Yang, J.; Chen, L.; Qi, J.; Zhang, L.; Zhang, J.; Huang, Q.; Zhou, T.; Zhao, Y. Roles of red mud in remediation of contaminated soil in mining areas: Mechanisms, advances and perspectives. J. Environ. Manag. 2024, 356, 120608. [Google Scholar] [CrossRef]
- Feng, Y.; Yang, J.J.; Aminu, D.; Han, H.; Yan, Y.B.; Wang, Y.H.; Liu, J.; Wang, X.D. Effects of hydroxyapatite on safe wheat production and soil microbial functional genes in an alkaline soil contaminated with heavy metals. Environ. Res. 2023, 220, 115183. [Google Scholar] [CrossRef]
- Hamid, Y.; Tang, L.; Hussain, B.; Usman, M.; Lin, Q.; Rashid, M.S.; He, Z.L.; Yang, X.E. Organic soil additives for the remediation of cadmium contaminated soils and their impact on the soil-plant system: A review. Sci. Total Environ. 2020, 707, 136121. [Google Scholar] [CrossRef]
- Zhang, Y.N.; Zhang, Y.J.; Akakuru, O.U.; Xu, X.W.; Wu, A.G. Research progress and mechanism of nanomaterials-mediated in-situ remediation of cadmium-contaminated soil: A critical review. J. Environ. Sci. 2021, 104, 351–364. [Google Scholar] [CrossRef]
- Wang, Z.L.; Zhang, T.T.; Zhao, Y.L.; Miao, Y.H.; Zhang, L.J.; Sarocchi, D.; Song, S.X.; Zhang, Q.W. Immobilization of Cd in contaminated soil by mechanically activated calcite: Sustained release activity-depended performance and mechanisms. Chem. Eng. J. 2024, 482, 149024. [Google Scholar] [CrossRef]
- Liu, Z.T.; Ning, X.; Long, S.; Wang, S.L.; Li, S.G.; Dong, Y.W.; Nan, Z.R. Arsenic and cadmium simultaneous immobilization in arid calcareous soil amended with iron-oxidizing bacteria and organic fertilizer. Sci. Total Environ. 2024, 920, 170959. [Google Scholar] [CrossRef]
- Jiang, W.; Li, D.A.; Yang, J.L.; Ye, Y.Y.; Luo, J.W.; Zhou, X.J.; Yang, L.; Liu, Z.Z. A combined passivator of zeolite and calcium magnesium phosphate fertilizer: Passivation behavior and mechanism for Cd (II) in composting. Environ. Res. 2023, 231, 116306. [Google Scholar] [CrossRef] [PubMed]
- Wang, H.Y.; Liu, H.; Li, J.H.; Chen, S.N.; Zaman, Q.U.; Sultan, K.; Rehman, M.; Saud, S.; El-Kahtany, K.; Fahad, S.; et al. Combined passivators regulate physiological, antioxidant potential and metals accumulation in potato grown in metals contaminated soil. Sci. Total Environ. 2024, 912, 168956. [Google Scholar] [CrossRef] [PubMed]
- Zhang, J.X.; Dai, L.M.; Li, J.H.; Zeng, Q.Y.; Zhou, M.; Hou, H.B. Phosphate tailings-based slow-release heavy metal passivation materials: Mechanism, environmental risk, and microbial community evolution. J. Clean. Prod. 2024, 434, 139931. [Google Scholar] [CrossRef]
- Han, L.W.; Zhao, Z.J.; Li, J.; Ma, X.B.; Zheng, X.; Yue, H.Y.; Sun, G.H.; Lin, Z.Y.; Guan, S.Q. Application of humic acid and hydroxyapatite in Cd-contaminated alkaline maize cropland: A field trial. Sci. Total Environ. 2023, 859, 160315. [Google Scholar] [CrossRef]
- Jia, L.J.; Zhou, Y.L.; Su, Y.X.; Zhao, P.; Zhang, J.L.; Fan, W.; Yang, S.C.; Long, G.Q. Coupling raw material cultivation with nano-hydroxyapatite application to utilize and remediate severely Cd-containing soil. Process Saf. Environ. 2024, 184, 96–104. [Google Scholar] [CrossRef]
- Yan, Y.B.; Du, M.; Jing, L.Q.; Zhang, X.X.; Li, Q.; Yang, J.J. Green synthesized hydroxyapatite for efficient immobilization of cadmium in weakly alkaline environment. Environ. Res. 2023, 223, 115445. [Google Scholar] [CrossRef]
- Iqbal, A.; Ligeng, J.; Mo, Z.W.; Adnan, M.; Lal, R.; Zaman, M.; Usman, S.; Hua, T.; Imran, M.; Pan, S.G.; et al. Substation of vermicompost mitigates Cd toxicity, improves rice yields and restores bacterial community in a Cd-contaminated soil in Southern China. J. Hazard. Mater. 2024, 465, 133118. [Google Scholar] [CrossRef]
- Miao, T.L.; Jin, Z.H.; Kong, L.H.; Jin, Y.; Liu, X.S.; Qu, J.J. Effect of composite organic amendment on Cd(II) ions stabilization and microbial activity under various ammonium sulfate levels. Environ. Res. 2024, 247, 118194. [Google Scholar] [CrossRef]
- Yang, W.T.; Jing, H.N.; Yang, L.Y.; Li, X.X.; Chen, M.Z.; Xu, M.Q.; Chen, Y.L.; Wu, P.; Liu, H.Y.; Wang, P. Effects of rapeseed residue organic fertilizer on cadmium toxicity in soil and its uptake and transfer by rice plants (Oryza sativa L.). Land Degrad. Dev. 2023, 34, 2791–2802. [Google Scholar] [CrossRef]
- Liu, T.; Wang, Q.; Li, Y.; Chen, Y.; Jia, B.; Zhang, J.; Guo, W.; Li, F.Y. Bio-organic fertilizer facilitated phytoremediation of heavy metal (loid) s-contaminated saline soil by mediating the plant-soil-rhizomicrobiota interactions. Sci. Total Environ. 2024, 922, 171278. [Google Scholar] [CrossRef]
- Li, J.; Zhang, P.Y.; Ye, J.P.; Zhang, G.M.; Cai, Y.J. Simultaneous in-situ remediation and fertilization of Cd-contaminated weak-alkaline farmland for wheat production. J. Environ. Manag. 2019, 250, 109528. [Google Scholar] [CrossRef] [PubMed]
- Lindsay, W.L.; Norvell, W. Development of a DTPA soil test for zinc, iron, manganese, and copper. Soil Sci. Soc. Am. J. 1978, 42, 421–428. [Google Scholar] [CrossRef]
- Ruby, N.F.; Burns, D.E.; Heller, H.C. Circadian rhythms in the suprachiasmatic nucleus are temperature-compensated and phase-shifted by heat pulses in vitro. J. Neurosci. 1999, 19, 8630–8636. [Google Scholar] [CrossRef] [PubMed]
- Li, X.Y.; Zhang, M.J.; Li, S.Y.; Wei, W. Humic acid-mediated transport of a typical soil passivation remediation product (chloropyromorphite) in saturated porous media. J. Environ. Sci. 2024, 141, 51–62. [Google Scholar] [CrossRef]
- Wei, B.L.; Peng, Y.C.; Jeyakumar, P.; Lin, L.X.; Zhang, D.L.; Yang, M.Y.; Zhu, J.N.; Lin, C.S.K.; Wang, H.L.; Wang, Z.T.; et al. Soil pH restricts the ability of biochar to passivate cadmium: A meta-analysis. Environ. Res. 2023, 219, 115110. [Google Scholar] [CrossRef]
- Singh, C.; Amberger, A. Organic acids and phosphorus solubilization in straw composted with rock phosphate. Bioresour. Technol. 1998, 63, 13–16. [Google Scholar] [CrossRef]
- Wang, Q.Y.; Wang, Q.R.; Wang, T.Y.; Zhang, S.Q.; Yu, H.W. Impacts of polypropylene microplastics on the distribution of cadmium, enzyme activities, and bacterial community in black soil at the aggregate level. Sci. Total Environ. 2024, 917, 170541. [Google Scholar] [CrossRef]
- Huang, X.; Tang, S.T.; Zeng, M.; Wu, Y.; Liang, J.L.; Yuan, Y.; Yu, F.M.; Li, Y. Soil aggregate size mediates the impact of different fertilization patterns on the diazotrophic community of mine soils. Appl. Soil Ecol. 2024, 193, 105173. [Google Scholar] [CrossRef]
- Bronick, C.J.; Lal, R. Soil structure and management: A review. Geoderma 2005, 124, 3–22. [Google Scholar] [CrossRef]
- Six, J.; Elliott, E.T.; Paustian, K. Soil macroaggregate turnover and microaggregate formation: A mechanism for C sequestration under no-tillage agriculture. Soil Biol. Biochem. 2000, 32, 2099–2103. [Google Scholar] [CrossRef]
- Tisdall, J.M.; Oades, J.M. Organic matter and water-stable aggregates in soils. J. Soil Sci. 1982, 33, 141–163. [Google Scholar] [CrossRef]
- Zhang, Y.; Li, Y.; Xu, Y.; Huang, Q.; Sun, G.; Qin, X.; Wang, L. Effects of mercapto-palygorskite application on cadmium accumulation of soil aggregates at different depths in Cd-contaminated alkaline farmland. Environ. Res. 2023, 216, 114448. [Google Scholar] [CrossRef]





| Passivator | Langmuir Model | Freundlich Model | ||||
|---|---|---|---|---|---|---|
| Qm (mg/g) | KL (L/mg) | R2 | 1/n | KF ((mg/kg)·(L/mg)1/n) | R2 | |
| HA | 29.994 | 3.314115 | 0.9992 | 0.42628 | 15.95816 | 0.8183 |
| HO | 29.32551 | 3.997655 | 0.9987 | 0.34499 | 15.15848 | 0.6448 |
| OF | 40.12841 | 0.009926 | 0.5146 | 0.91421 | 0.423997 | 0.9662 |
| SP | 11.13338 | 0.186969 | 0.9292 | 0.28864 | 3.130178 | 0.9805 |
| DE | 6.135346 | 0.038074 | 0.9987 | 0.94863 | 0.196247 | 0.9236 |
| Passivator | Pseudo-First-Order | Pseudo-Second-Order | ||||
|---|---|---|---|---|---|---|
| Qe (mg/g) | K1 (min−1) | R2 | Qe (mg/g) | K2 (g/(mg·min)) | R2 | |
| HA | 9.803211 | 0.00123 | 0.9752 | 28.13731 | 0.00124 | 0.997 |
| HO | 0.781102 | 0.00301 | 0.9367 | 30.012 | 0.018581 | 0.9999 |
| OF | 3.415657 | 0.00373 | 0.9114 | 14.12429 | 0.004579 | 0.9997 |
| SP | 13.63268 | 0.00124 | 0.9496 | 13.18392 | 0.000198 | 0.755 |
| DE | 5.497481 | 0.00265 | 0.882 | 9.919651 | 0.001833 | 0.984 |
Disclaimer/Publisher’s Note: The statements, opinions and data contained in all publications are solely those of the individual author(s) and contributor(s) and not of MDPI and/or the editor(s). MDPI and/or the editor(s) disclaim responsibility for any injury to people or property resulting from any ideas, methods, instructions or products referred to in the content. |
© 2026 by the authors. Licensee MDPI, Basel, Switzerland. This article is an open access article distributed under the terms and conditions of the Creative Commons Attribution (CC BY) license.
Share and Cite
Ren, B.; Wei, W.; Wei, M.; Zhao, G. Combined Application of Commercial Hydroxyapatite and a Straw-Derived Organic Fertilizer Immobilizes Cadmium in an Alkaline-Contaminated Soil. Environments 2026, 13, 110. https://doi.org/10.3390/environments13020110
Ren B, Wei W, Wei M, Zhao G. Combined Application of Commercial Hydroxyapatite and a Straw-Derived Organic Fertilizer Immobilizes Cadmium in an Alkaline-Contaminated Soil. Environments. 2026; 13(2):110. https://doi.org/10.3390/environments13020110
Chicago/Turabian StyleRen, Beibei, Wei Wei, Mingli Wei, and Guangsi Zhao. 2026. "Combined Application of Commercial Hydroxyapatite and a Straw-Derived Organic Fertilizer Immobilizes Cadmium in an Alkaline-Contaminated Soil" Environments 13, no. 2: 110. https://doi.org/10.3390/environments13020110
APA StyleRen, B., Wei, W., Wei, M., & Zhao, G. (2026). Combined Application of Commercial Hydroxyapatite and a Straw-Derived Organic Fertilizer Immobilizes Cadmium in an Alkaline-Contaminated Soil. Environments, 13(2), 110. https://doi.org/10.3390/environments13020110
