Sign in to use this feature.

Years

Between: -

Subjects

remove_circle_outline
remove_circle_outline
remove_circle_outline
remove_circle_outline
remove_circle_outline
remove_circle_outline
remove_circle_outline
remove_circle_outline
remove_circle_outline

Journals

Article Types

Countries / Regions

Search Results (62)

Search Parameters:
Keywords = resonant amplification mechanism

Order results
Result details
Results per page
Select all
Export citation of selected articles as:
12 pages, 1206 KB  
Article
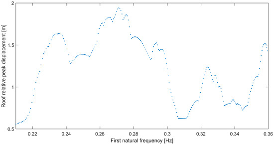
Seismic Structural Resonance Observation Based on Recent Estimation of Earthquake Predominant Frequency
by Cesar A. Morales
Buildings 2025, 15(24), 4485; https://doi.org/10.3390/buildings15244485 - 11 Dec 2025
Viewed by 228
Abstract
Resonance is currently more of a mechanical engineering concept than a civil engineering one. This is because in earthquake engineering or science, there has not been one definitive predominant frequency of seismic action, which is something that the resonance concept requires: at least [...] Read more.
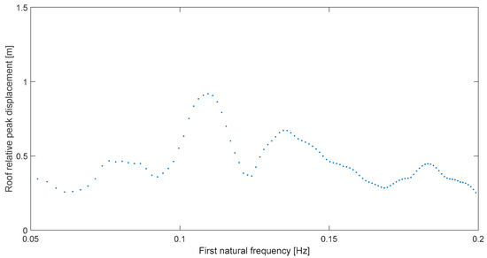
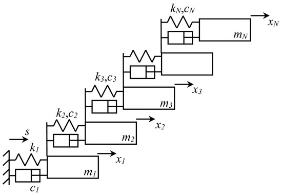
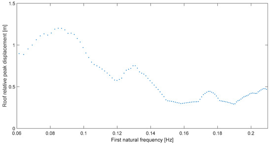
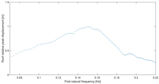
Resonance is currently more of a mechanical engineering concept than a civil engineering one. This is because in earthquake engineering or science, there has not been one definitive predominant frequency of seismic action, which is something that the resonance concept requires: at least one excitation frequency should predominate. In fact, a literature review on seismic structural resonance indicates that the subject has not been studied much. Recently, however, when the seismic spectral analysis focus is shifted—disruptively—from the common acceleration to displacement, clear predominant periods of near-field earthquake records have been observed and published. Now, based on these new and clear seismic predominant frequencies, the objective of this paper is to verify and experience clear structural resonance in linear multiple-degrees-of-freedom building models. Clear resonant structural response will be defined as evident amplification in the global deformation (top-floor relative displacement) spectrum; moreover, an additional hypothesis is that these amplifications would occur near the novel earthquake predominant frequencies. Full article
(This article belongs to the Section Building Structures)
Show Figures

Figure 1

19 pages, 4988 KB  
Article
Vibration Energy Harvesting Characteristics of Pyramid Sandwich Beams Under Periodic Elastic Constraints
by Weimin Xiao, Junjuan Zhao, Jingkai Nie, Shuai Jiang, Zhenkun Guo and Lei Shi
J. Compos. Sci. 2025, 9(12), 659; https://doi.org/10.3390/jcs9120659 - 1 Dec 2025
Viewed by 216
Abstract
Vibration energy harvesting from ambient mechanical sources offers a sustainable alternative to batteries for powering low-power electronics in remote environments, yet challenges persist in achieving broadband efficiency, low-frequency operation, and concurrent vibration suppression. Here, we introduce a pyramidal piezoelectric sandwich beam (PPSB) with [...] Read more.
Vibration energy harvesting from ambient mechanical sources offers a sustainable alternative to batteries for powering low-power electronics in remote environments, yet challenges persist in achieving broadband efficiency, low-frequency operation, and concurrent vibration suppression. Here, we introduce a pyramidal piezoelectric sandwich beam (PPSB) with periodic elastic constraints, leveraging homogenized lattice truss cores for enhanced electromechanical coupling. Using Lagrange equations, we derive the coupled dynamics, validated against finite element simulations with resonant frequency errors below 3%. Compared to equivalent-stiffness uniform beams, the PPSB exhibits 3.42-fold higher voltage and 11.68-fold greater power output, attributed to optimized strain distribution and resonance amplification. Parametric analyses reveal trade-offs: increasing core thickness or spring stiffness elevates resonant frequencies but reduces voltage peaks due to stiffness–strain imbalances; conversely, a larger beam length, truss radius or tilt angle will reduce the natural frequency while increasing the output through inertia and shear enhancement. Piezoelectric constants and load resistance minimally affect mechanics but optimize electrical impedance matching. This single-phase, geometrically tunable design bridges gaps in multifunctional metamaterials, enabling self-powered sensors with vibration attenuation for aerospace, civil infrastructure, and biomedical applications, paving the way for energy-autonomous systems. Full article
(This article belongs to the Section Composites Modelling and Characterization)
Show Figures

Figure 1

15 pages, 2218 KB  
Article
Frequency-Dependent Amplification of Head Motion in Infant Rockers: A Segmental IMU-Based Signal Analysis
by Alina Głowińska and Sebastian Glowinski
J. Clin. Med. 2025, 14(23), 8301; https://doi.org/10.3390/jcm14238301 - 22 Nov 2025
Viewed by 276
Abstract
(1) Background: Passive rocking is commonly used to calm infants, yet its biomechanical impact on different body segments—particularly dynamic loading of the head and torso—remains insufficiently understood. (2) Methods: An infant doll was instrumented with IMUs placed on the head, abdomen, and gluteal [...] Read more.
(1) Background: Passive rocking is commonly used to calm infants, yet its biomechanical impact on different body segments—particularly dynamic loading of the head and torso—remains insufficiently understood. (2) Methods: An infant doll was instrumented with IMUs placed on the head, abdomen, and gluteal region and subjected to controlled rocking in a standard infant rocker. Segmental responses were quantified using angular displacement, velocity, and acceleration, along with time–frequency analyses including wavelet transforms and inter-segmental transfer functions. (3) Results: The head showed the highest angular displacements and peak accelerations, predominantly in the sagittal plane, with pronounced oscillations in the 10–12 Hz range. The abdomen acted as a transitional damping zone, while the gluteal region remained largely static, serving as the mechanical input point. Frequency-domain results revealed upward amplification of motion energy, suggesting inertial and potentially resonant effects that intensify loads at the head. (4) Conclusions: Although base-level motion appears gentle, signal-level analysis reveals significant dynamic amplification toward the head. These findings underscore the importance of considering frequency-dependent transmission and segmental dynamics in infant rocker design, with implications for ergonomic safety, particularly in the early stages of development. Full article
Show Figures

Figure 1

16 pages, 3808 KB  
Article
Broadband Response Enhancement of a Pitching Wave Energy Converter Using a Nonlinear Stiffness Mechanism Under Dry Friction Effects
by Braulio Neira, Fabián G. Pierart, Claudio Villegas, Cristian Cifuentes, Vicente Barrientos, Gonzalo Tampier, Thomas Knobloch, Burkhard Corves and Mathias Hüsing
Energies 2025, 18(22), 6022; https://doi.org/10.3390/en18226022 - 18 Nov 2025
Viewed by 373
Abstract
This work presents an experimental and theoretical study of a pitching point-absorber wave energy converter (WEC) equipped with a nonlinear stiffness mechanism (NSM) based on a pre-compressed spring. The mechanism is designed to reduce the equivalent restoring stiffness and enhance the device response [...] Read more.
This work presents an experimental and theoretical study of a pitching point-absorber wave energy converter (WEC) equipped with a nonlinear stiffness mechanism (NSM) based on a pre-compressed spring. The mechanism is designed to reduce the equivalent restoring stiffness and enhance the device response without external control. A 1:13 scale prototype of the Lafkenewen WEC, deployed off Lebu (Chile), was tested in regular waves within a wave tank for two configurations: with and without the NSM. The rotational response amplitude operator (RAO) was obtained from experiments and compared against a linear hydrodynamic model formulated via Newtonian mechanics and frequency domain radiation/excitation coefficients. Dry friction at the hinge was represented as an equivalent viscous damping term identified iteratively. Unlike narrow-resonance WECs, both configurations exhibited a broadband response without a sharp resonance peak in the 0.71.2 Hz range, due to significant radiation damping and hinge friction. The NSM produced a moderate amplification of the rotational RAO (up to ∼32%) while preserving the broadband character. Theoretical predictions agreed with the measurements when dry friction was included. These results demonstrate that passive stiffness reduction via an NSM enhances wave–structure energy transfer even in systems dominated by effective damping and provides a consistent basis for future nonlinear time domain modeling and control-oriented studies. Full article
(This article belongs to the Special Issue New Advances in Wave Energy Conversion)
Show Figures

Figure 1

36 pages, 8773 KB  
Article
FEA Modal and Vibration Analysis of the Operator’s Seat in the Context of a Modern Electric Tractor for Improved Comfort and Safety
by Teofil-Alin Oncescu, Sorin Stefan Biris, Iuliana Gageanu, Nicolae-Valentin Vladut, Ioan Catalin Persu, Stefan-Lucian Bostina, Florin Nenciu, Mihai-Gabriel Matache, Ana-Maria Tabarasu, Gabriel Gheorghe and Daniela Tarnita
AgriEngineering 2025, 7(11), 362; https://doi.org/10.3390/agriengineering7110362 - 1 Nov 2025
Viewed by 710
Abstract
The central purpose of this study is to develop and validate an advanced numerical model capable of simulating the vibrational behavior of the operator’s seat in a tractor-type agricultural vehicle designed for operation in protected horticultural environments, such as vegetable greenhouses. The three-dimensional [...] Read more.
The central purpose of this study is to develop and validate an advanced numerical model capable of simulating the vibrational behavior of the operator’s seat in a tractor-type agricultural vehicle designed for operation in protected horticultural environments, such as vegetable greenhouses. The three-dimensional (3D) model of the seat was created using SolidWorks 2023, while its dynamic response was investigated through Finite Element Analysis (FEA) in Altair SimSolid, enabling a detailed evaluation of the natural vibration modes within the 0–80 Hz frequency range. Within this interval, eight significant natural frequencies were identified and correlated with the real structural behavior of the seat assembly. For experimental validation, direct time-domain measurements were performed at a constant speed of 5 km/h on an uneven, grass-covered dirt track within the research infrastructure of INMA Bucharest, using the TE-0 self-propelled electric tractor prototype. At the operator’s seat level, vibration data were collected considering the average anthropometric characteristics of a homogeneous group of subjects representative of typical tractor operators. The sample of participating operators, consisting exclusively of males aged between 27 and 50 years, was selected to ensure representative anthropometric characteristics and ergonomic consistency for typical agricultural tractor operators. Triaxial accelerometer sensors (NexGen Ergonomics, Pointe-Claire, Canada, and Biometrics Ltd., Gwent, UK) were strategically positioned on the seat cushion and backrest to record accelerations along the X, Y, and Z spatial axes. The recorded acceleration data were processed and converted into the frequency domain using Fast Fourier Transform (FFT), allowing the assessment of vibration transmissibility and resonance amplification between the floor and seat. The combined numerical–experimental approach provided high-fidelity validation of the seat’s dynamic model, confirming the structural modes most responsible for vibration transmission in the 4–8 Hz range—a critical sensitivity band for human comfort and health as established in previous studies on whole-body vibration exposure. Beyond validating the model, this integrated methodology offers a predictive framework for assessing different seat suspension configurations under controlled conditions, reducing experimental costs and enabling optimization of ergonomic design before physical prototyping. The correlation between FEA-based modal results and field measurements allows a deeper understanding of vibration propagation mechanisms within the operator–seat system, supporting efforts to mitigate whole-body vibration exposure and improve long-term operator safety in horticultural mechanization. Full article
Show Figures

Figure 1

47 pages, 15990 KB  
Review
Single-Molecule Detection Technologies: Advances in Devices, Transduction Mechanisms, and Functional Materials for Real-World Biomedical and Environmental Applications
by Sampa Manoranjan Barman, Arpita Parakh, A. Anny Leema, P. Balakrishnan, Ankita Avthankar, Dhiraj P. Tulaskar, Purshottam J. Assudani, Shon Nemane, Prakash Rewatkar, Madhusudan B. Kulkarni and Manish Bhaiyya
Biosensors 2025, 15(10), 696; https://doi.org/10.3390/bios15100696 - 14 Oct 2025
Viewed by 1670
Abstract
Single-molecule detection (SMD) has reformed analytical science by enabling the direct observation of individual molecular events, thus overcoming the limitations of ensemble-averaged measurements. This review presents a comprehensive analysis of the principles, devices, and emerging materials that have shaped the current landscape of [...] Read more.
Single-molecule detection (SMD) has reformed analytical science by enabling the direct observation of individual molecular events, thus overcoming the limitations of ensemble-averaged measurements. This review presents a comprehensive analysis of the principles, devices, and emerging materials that have shaped the current landscape of SMD. We explore a wide range of sensing mechanisms, including surface plasmon resonance, mechanochemical transduction, transistor-based sensing, optical microfiber platforms, fluorescence-based techniques, Raman scattering, and recognition tunneling, which offer distinct advantages in terms of label-free operation, ultrasensitivity, and real-time responsiveness. Each technique is critically examined through representative case studies, revealing how innovations in device architecture and signal amplification strategies have collectively pushed the detection limits into the femtomolar to attomolar range. Beyond the sensing principles, this review highlights the transformative role of advanced nanomaterials such as graphene, carbon nanotubes, quantum dots, MnO2 nanosheets, upconversion nanocrystals, and magnetic nanoparticles. These materials enable new transduction pathways and augment the signal strength, specificity, and integration into compact and wearable biosensing platforms. We also detail the multifaceted applications of SMD across biomedical diagnostics, environmental monitoring, food safety, neuroscience, materials science, and quantum technologies, underscoring its relevance to global health, safety, and sustainability. Despite significant progress, the field faces several critical challenges, including signal reproducibility, biocompatibility, fabrication scalability, and data interpretation complexity. To address these barriers, we propose future research directions involving multimodal transduction, AI-assisted signal analytics, surface passivation techniques, and modular system design for field-deployable diagnostics. By providing a cross-disciplinary synthesis of device physics, materials science, and real-world applications, this review offers a comprehensive roadmap for the next generation of SMD technologies, poised to impact both fundamental research and translational healthcare. Full article
Show Figures

Figure 1

13 pages, 2126 KB  
Article
Gradient-Equivalent Medium Enables Acoustic Rainbow Capture and Acoustic Enhancement
by Yulin Ren, Guodong Hao, Xinsa Zhao and Jianning Han
Crystals 2025, 15(10), 850; https://doi.org/10.3390/cryst15100850 - 29 Sep 2025
Viewed by 866
Abstract
The detection and extraction of weak signals are crucial in various engineering and scientific fields, yet current acoustic sensing technologies are restricted by fundamental pressure detection methods. This paper proposes gradient-equivalent medium-coupled metamaterials (GEMCMs) utilizing strong wave compression and an equivalent medium mechanism [...] Read more.
The detection and extraction of weak signals are crucial in various engineering and scientific fields, yet current acoustic sensing technologies are restricted by fundamental pressure detection methods. This paper proposes gradient-equivalent medium-coupled metamaterials (GEMCMs) utilizing strong wave compression and an equivalent medium mechanism to capture weak signals in complex environments and enhance target acoustic signals. Overcoming shape and impedance mismatch limitations of traditional gradient structures, GEMCMs significantly improve control performance. Experimental and numerical simulations indicate that GEMCMs can effectively enhance specific frequency components in acoustic signals, outperforming traditional gradient structures. This enhancement of specific frequency components relies on the resonance effect of the unit cell structure. By introducing acoustic resonance within a spatially wound acoustic channel, a significant amplification of weak acoustic signals is achieved. This provides a new research direction for acoustic wave manipulation and enhancement, and holds significant importance in fields such as mechanical fault diagnosis and medical diagnostics. Full article
(This article belongs to the Section Inorganic Crystalline Materials)
Show Figures

Figure 1

17 pages, 6326 KB  
Article
Dynamic Stress Wave Response of Thin-Walled Circular Cylindrical Shell Under Thermal Effects and Axial Harmonic Compression Boundary Condition
by Desejo Filipeson Sozinando, Patrick Nziu, Bernard Xavier Tchomeni and Alfayo Anyika Alugongo
Appl. Mech. 2025, 6(3), 55; https://doi.org/10.3390/applmech6030055 - 28 Jul 2025
Viewed by 1411
Abstract
The interaction between thermal fields and mechanical loads in thin-walled cylindrical shells introduces complex dynamic behaviors relevant to aerospace and mechanical engineering applications. This study investigates the axial stress wave propagation in a circular cylindrical shell subjected to combined thermal gradients and time-dependent [...] Read more.
The interaction between thermal fields and mechanical loads in thin-walled cylindrical shells introduces complex dynamic behaviors relevant to aerospace and mechanical engineering applications. This study investigates the axial stress wave propagation in a circular cylindrical shell subjected to combined thermal gradients and time-dependent harmonic compression. A semi-analytical model based on Donnell–Mushtari–Vlasov (DMV) shells theory is developed to derive the governing equations, incorporating elastic, inertial, and thermal expansion effects. Modal solutions are obtained to evaluate displacement and stress distributions across varying thermal and mechanical excitation conditions. Empirical Mode Decomposition (EMD) and Instantaneous Frequency (IF) analysis are employed to extract time–frequency characteristics of the dynamic response. Complementary Finite Element Analysis (FEA) is conducted to assess modal deformations, stress wave amplification, and the influence of thermal softening on resonance frequencies. Results reveal that increasing thermal gradients leads to significant reductions in natural frequencies and amplifies stress responses at critical excitation frequencies. The combination of analytical and numerical approaches captures the coupled thermomechanical effects on shell dynamics, providing an understanding of resonance amplification, modal energy distribution, and thermal-induced stiffness variation under axial harmonic excitation across thin-walled cylindrical structures. Full article
Show Figures

Figure 1

18 pages, 1587 KB  
Article
Management of Mobile Resonant Electrical Systems for High-Voltage Generation in Non-Destructive Diagnostics of Power Equipment Insulation
by Anatolii Shcherba, Dmytro Vinnychenko, Nataliia Suprunovska, Sergy Roziskulov, Artur Dyczko and Roman Dychkovskyi
Electronics 2025, 14(15), 2923; https://doi.org/10.3390/electronics14152923 - 22 Jul 2025
Cited by 2 | Viewed by 773
Abstract
This research presents the development and management principles of mobile resonant electrical systems designed for high-voltage generation, intended for non-destructive diagnostics of insulation in high-power electrical equipment. The core of the system is a series inductive–capacitive (LC) circuit characterized by a high quality [...] Read more.
This research presents the development and management principles of mobile resonant electrical systems designed for high-voltage generation, intended for non-destructive diagnostics of insulation in high-power electrical equipment. The core of the system is a series inductive–capacitive (LC) circuit characterized by a high quality (Q) factor and operating at high frequencies, typically in the range of 40–50 kHz or higher. Practical implementations of the LC circuit with Q-factors exceeding 200 have been achieved using advanced materials and configurations. Specifically, ceramic capacitors with a capacitance of approximately 3.5 nF and Q-factors over 1000, in conjunction with custom-made coils possessing Q-factors above 280, have been employed. These coils are constructed using multi-core, insulated, and twisted copper wires of the Litzendraht type to minimize losses at high frequencies. Voltage amplification within the system is effectively controlled by adjusting the current frequency, thereby maximizing voltage across the load without increasing the system’s size or complexity. This frequency-tuning mechanism enables significant reductions in the weight and dimensional characteristics of the electrical system, facilitating the development of compact, mobile installations. These systems are particularly suitable for on-site testing and diagnostics of high-voltage insulation in power cables, large rotating machines such as turbogenerators, and other critical infrastructure components. Beyond insulation diagnostics, the proposed system architecture offers potential for broader applications, including the charging of capacitive energy storage units used in high-voltage pulse systems. Such applications extend to the synthesis of micro- and nanopowders with tailored properties and the electrohydropulse processing of materials and fluids. Overall, this research demonstrates a versatile, efficient, and portable solution for advanced electrical diagnostics and energy applications in the high-voltage domain. Full article
(This article belongs to the Special Issue Energy Harvesting and Energy Storage Systems, 3rd Edition)
Show Figures

Figure 1

15 pages, 4334 KB  
Article
Research on Wheel Polygonal Wear Based on the Vehicle–Track Coupling Vibration of Metro
by Yixuan Shi, Qingzhou Mao, Qunsheng Wang, Huanyun Dai, Xinyu Peng and Cuijun Dong
Machines 2025, 13(7), 587; https://doi.org/10.3390/machines13070587 - 7 Jul 2025
Cited by 2 | Viewed by 649
Abstract
Wheel polygonal wear of metro deteriorates the vibration environment of the vehicle system, potentially leading to resonance-induced fatigue failure of components. This poses serious risks to operational safety and increases maintenance costs. To address the adverse effects of wheel polygonal wear, dynamic tracking [...] Read more.
Wheel polygonal wear of metro deteriorates the vibration environment of the vehicle system, potentially leading to resonance-induced fatigue failure of components. This poses serious risks to operational safety and increases maintenance costs. To address the adverse effects of wheel polygonal wear, dynamic tracking tests and numerical simulations were conducted. The modal analysis focused on the vehicle–track coupling system, incorporating various track structures to explore the formation mechanisms and key influencing factors of polygonization. Test results revealed dominant polygonal wear patterns of the seventh to ninth order, inducing forced vibrations in the 50–70 Hz frequency range. These frequencies closely match the P2 resonance frequency generated by wheel–rail interaction. When vehicle–track coupling is considered, the track’s frequency response shows multiple peaks within this range, indicating susceptibility to resonance excitation. Additionally, rail joint irregularities act as geometric excitation sources that trigger polygonal development, while the P2 force resonance mode plays a critical role in its amplification. Full article
(This article belongs to the Section Vehicle Engineering)
Show Figures

Figure 1

26 pages, 1973 KB  
Article
Circular Economy Innovation in Built Environments: Mapping Policy Thresholds and Resonant Resilience via DEMATEL–TAISM
by Zhuo Su, Junlong Peng, Mengyu Wang, Guyue Gui, Qian Meng, Yuntao Su, Zhenlin Xiao and Sisi Zhang
Buildings 2025, 15(12), 2110; https://doi.org/10.3390/buildings15122110 - 18 Jun 2025
Viewed by 981
Abstract
Under China’s dual-carbon strategy, the construction sector still lacks a systematic quantitative view of what drives its shift to a circular economy. This study couples the Decision-Making Trial and Evaluation Laboratory (DEMATEL) with Total Adversarial Interpretive Structural Modeling (TAISM) to build a weighted, [...] Read more.
Under China’s dual-carbon strategy, the construction sector still lacks a systematic quantitative view of what drives its shift to a circular economy. This study couples the Decision-Making Trial and Evaluation Laboratory (DEMATEL) with Total Adversarial Interpretive Structural Modeling (TAISM) to build a weighted, multi-layer model of the policy–market–organization–technology chain. DEMATEL measures causal strengths, and TAISM arranges the variables into five levels without subjective thresholds, revealing a five-stage activation pathway. Fiscal incentives and regulations start the cascade; market demand amplifies their effect into a “resonant resilience” mechanism that improves cost performance. Robustness tests show 87% hierarchy stability and causal variation within ±0.6%. Sensitivity checks indicate that policy support must supply at least 30% of total network weight, because market capital alone cannot meet circular-construction costs. A three-tier intervention—policy incentives, financial amplification, and digital decomposition via green finance, BIM, and material passports—is therefore recommended. Full article
Show Figures

Figure 1

16 pages, 4092 KB  
Article
Observation of Thickness-Modulated Out-of-Plane Spin–Orbit Torque in Polycrystalline Few-Layer Td-WTe2 Film
by Mingkun Zheng, Wancheng Zhang, You Lv, Yong Liu, Rui Xiong, Zhenhua Zhang and Zhihong Lu
Nanomaterials 2025, 15(10), 762; https://doi.org/10.3390/nano15100762 - 19 May 2025
Viewed by 1449
Abstract
The low-symmetry Weyl semimetallic Td-phase WTe2 exhibits both a distinct out-of-plane damping torque (τDL) and exceptional charge–spin interconversion efficiency enabled by strong spin-orbit coupling, positioning it as a prime candidate for spin–orbit torque (SOT) applications in two-dimensional transition metal [...] Read more.
The low-symmetry Weyl semimetallic Td-phase WTe2 exhibits both a distinct out-of-plane damping torque (τDL) and exceptional charge–spin interconversion efficiency enabled by strong spin-orbit coupling, positioning it as a prime candidate for spin–orbit torque (SOT) applications in two-dimensional transition metal dichalcogenides. Herein, we report on thickness-dependent unconventional out-of-plane τDL in chemically vapor-deposited (CVD) polycrystalline Td-WTe2 (t)/Ni80Fe20/MgO/Ti (Td-WTN-t) heterostructures. Angle-resolved spin-torque ferromagnetic resonance measurements on the Td-WTN-12 structure showed significant spin Hall conductivities of σSH,y = 4.93 × 103 (ℏ/2e) Ω−1m−1 and σSH,z = 0.81 × 103 (ℏ/2e) Ω−1m−1, highlighting its potential for wafer-scale spin–orbit torque device applications. Additionally, a detailed examination of magnetotransport properties in polycrystalline few-layer Td-WTe2 films as a function of thickness revealed a marked amplification of the out-of-plane magnetoresistance, which can be ascribed to the anisotropic nature of charge carrier scattering mechanisms within the material. Spin pumping measurements in Td-WTN-t heterostructures further revealed thickness-dependent spin transport properties of Td-WTe2, with damping analysis yielding an out-of-plane spin diffusion length of λSD ≈ 14 nm. Full article
Show Figures

Figure 1

25 pages, 6701 KB  
Article
Design and Analysis of a Two-Stage Compliant Amplification Mechanism Based on Bridge-Type and Scott–Russell Structures for Compact Out-of-Plane Actuation
by Xianfeng Shi, Shuaishuai Lu, Fei Wang, Pengbo Liu, Guangchun Xiao and Peng Yan
Machines 2025, 13(5), 386; https://doi.org/10.3390/machines13050386 - 5 May 2025
Viewed by 876
Abstract
Piezo-driven compliant actuators capable of out-of-plane displacement from the substrate are urgently required in the fields of micro/nano manipulations and active optics, where compact size and low-profile configurations are often critical. In this paper, a two-stage amplification mechanism is developed by orthogonal series [...] Read more.
Piezo-driven compliant actuators capable of out-of-plane displacement from the substrate are urgently required in the fields of micro/nano manipulations and active optics, where compact size and low-profile configurations are often critical. In this paper, a two-stage amplification mechanism is developed by orthogonal series connection of a bridge-type mechanism and a Scott-Russell mechanism, for the sake of a large amplification ratio and high stiffness. The low-profile configuration is realized by horizontally mounting the piezoelectric actuator within the planar bridge-type amplification mechanism. The bridge-type mechanism initially amplifies the output displacement of the piezoelectric actuator. A compound guiding mechanism at the output end significantly enhances the equivalent stiffness and constrains parasitic displacements of the bridge-type mechanism. The second-stage Scott–Russell mechanism, further amplifies and converts the in-plane displacement into out-of-plane motion. The kinematic and static model of the developed mechanism is established using the compliance matrix method, enabling precise prediction of the amplification ratio and input/equivalent stiffness. Finite element simulations and experimental tests on the prototype validate the modeling accuracy and mechanical performance of the proposed low-profile amplification mechanism, demonstrating a large amplification ratio of 15.70, a high resonant frequency of 312.50 Hz, and a load-bearing capacity up to 20 N. Full article
(This article belongs to the Section Electrical Machines and Drives)
Show Figures

Figure 1

28 pages, 3417 KB  
Article
Research on the Mechanism of Social Emotion Formation in Public Emergencies Based on the DeGroot Model
by Xiaohan Yan, Yi Liu, Tiezhong Liu and Yan Chen
Mathematics 2025, 13(6), 904; https://doi.org/10.3390/math13060904 - 7 Mar 2025
Viewed by 1231
Abstract
In recent years, the frequent occurrence of public emergencies has often triggered the rapid spread and amplification of social emotions. The accumulation and intensification of negative emotions can lead to collective behaviors and even pose a threat to social stability. To better understand [...] Read more.
In recent years, the frequent occurrence of public emergencies has often triggered the rapid spread and amplification of social emotions. The accumulation and intensification of negative emotions can lead to collective behaviors and even pose a threat to social stability. To better understand the formation and evolution of social emotions in such contexts, this study constructs a theoretical framework and simulation approach that combines opinion dynamics with emotional and trust interactions. First, we propose a clustering method that incorporates emotional similarity and trust relationships among users to delineate group structures involved in social emotion formation. Second, a dynamic trust adjustment mechanism is also proposed to capture how trust evolves as individuals interact emotionally. Third, a large-scale group emotional consensus decision-making approach, based on the DeGroot model, is developed to simulate how emotional exchanges and resonance drive groups toward consensus in public emergencies. Additionally, we present a strategy for guiding emotional interactions to reach a desired consensus that ensures minimal modifications to collective preference values while achieving an acceptable consensus level, helping to manage emotional escalation. To validate the proposed model, we conduct simulations using the “Fat Cat” incident as a case study. The results reveal key mechanisms underlying social emotion formation during public emergencies and highlight critical influencing factors, including user participation, opinion leader influence, and trust relationships. This study provides a clear understanding of how social emotions are generated and offers practical insights for managing emotional dynamics and improving group decision-making during crises. Full article
Show Figures

Figure 1

22 pages, 18605 KB  
Article
Essential Organizing and Evolving Atmospheric Mechanisms Affecting the East Bay Hills Fire in Oakland, California (1991)
by William Agyakwah, Yuh-Lang Lin and Michael L. Kaplan
Fire 2025, 8(2), 72; https://doi.org/10.3390/fire8020072 - 10 Feb 2025
Cited by 1 | Viewed by 1126
Abstract
This study examined atmospheric mechanisms affecting the East Bay Hills Fire (1991) in Oakland, California, using the Advanced Weather Research and Forecasting (WRF) model and North American Regional Reanalysis (NARR) dataset. High-resolution WRF simulations, initially at 16 km, were downscaled to 4 km [...] Read more.
This study examined atmospheric mechanisms affecting the East Bay Hills Fire (1991) in Oakland, California, using the Advanced Weather Research and Forecasting (WRF) model and North American Regional Reanalysis (NARR) dataset. High-resolution WRF simulations, initially at 16 km, were downscaled to 4 km and 1 km for analyzing primary and secondary circulations at synoptic and meso-α/meso-β scales, respectively, before the fire. Additionally, the interaction between the synoptic-scale and mesoscale environments was examined using backward trajectories derived from NARR data. The findings reveal that a strong pressure gradient created by a ridge over the Great Basin and a trough off the Pacific coast generated favorable meso-α conditions for the hot, dry northeasterly winds, known as “Diablo winds”, which initiated the wildfire in northern California. Mountain waves, enhanced by jet stream dynamics, contributed to sinking air on the Sierra Nevada’s western slopes. The main conclusion is that jet circulation did not directly transport warm, dry air to the fire but established a vertical atmospheric structure conducive to wave amplification and breaking and downward dry air fluxes leading to the necessary warm and dry low-level air for the fire. The hot–dry–windy (HDW) fire weather index further confirmed the highly favorable fire weather conditions. Full article
Show Figures

Figure 1

Back to TopTop