Sign in to use this feature.

Years

Between: -

Subjects

remove_circle_outline
remove_circle_outline
remove_circle_outline
remove_circle_outline
remove_circle_outline
remove_circle_outline
remove_circle_outline
remove_circle_outline
remove_circle_outline

Journals

remove_circle_outline
remove_circle_outline
remove_circle_outline
remove_circle_outline
remove_circle_outline
remove_circle_outline
remove_circle_outline
remove_circle_outline
remove_circle_outline
remove_circle_outline
remove_circle_outline
remove_circle_outline
remove_circle_outline
remove_circle_outline
remove_circle_outline
remove_circle_outline

Article Types

Countries / Regions

remove_circle_outline
remove_circle_outline
remove_circle_outline
remove_circle_outline
remove_circle_outline
remove_circle_outline
remove_circle_outline

Search Results (1,101)

Search Parameters:
Keywords = reducing/non-reducing residues

Order results
Result details
Results per page
Select all
Export citation of selected articles as:
32 pages, 5130 KB  
Article
MDB-YOLO: A Lightweight, Multi-Dimensional Bionic YOLO for Real-Time Detection of Incomplete Taro Peeling
by Liang Yu, Xingcan Feng, Yuze Zeng, Weili Guo, Xingda Yang, Xiaochen Zhang, Yong Tan, Changjiang Sun, Xiaoping Lu and Hengyi Sun
Electronics 2026, 15(1), 97; https://doi.org/10.3390/electronics15010097 (registering DOI) - 24 Dec 2025
Abstract
The automation of quality control in agricultural food processing, particularly the detection of incomplete peeling in taro, constitutes a critical frontier for ensuring food safety and optimizing production efficiency in the Industry 4.0 era. However, this domain is fraught with significant technical challenges, [...] Read more.
The automation of quality control in agricultural food processing, particularly the detection of incomplete peeling in taro, constitutes a critical frontier for ensuring food safety and optimizing production efficiency in the Industry 4.0 era. However, this domain is fraught with significant technical challenges, primarily stemming from the inherent visual characteristics of residual peel: extremely minute scales relative to the vegetable body, highly irregular morphological variations, and the dense occlusion of objects on industrial conveyor belts. To address these persistent impediments, this study introduces a comprehensive solution comprising a specialized dataset and a novel detection architecture. We established the Taro Peel Industrial Dataset (TPID), a rigorously annotated collection of 18,341 high-density instances reflecting real-world production conditions. Building upon this foundation, we propose MDB-YOLO, a lightweight, multi-dimensional bionic detection model evolved from the YOLOv8s architecture. The MDB-YOLO framework integrates a synergistic set of innovations designed to resolve specific detection bottlenecks. To mitigate the conflict between background texture interference and tiny target detection, we integrated the C2f_EMA module with a Wise-IoU (WIoU) loss function, a combination that significantly enhances feature response to low-contrast residues while reducing the penalty on low-quality anchor boxes through a dynamic non-monotonic focusing mechanism. To effectively manage irregular peel shapes, a dynamic feature processing chain was constructed utilizing DySample for morphology-aware upsampling, BiFPN_Concat2 for weighted multi-scale fusion, and ODConv2d for geometric preservation. Furthermore, to address the issue of missed detections caused by dense occlusion in industrial stacking scenarios, Soft-NMS was implemented to replace traditional greedy suppression mechanisms. Experimental validation demonstrates the superiority of the proposed framework. MDB-YOLO achieves a mean Average Precision (mAP50-95) of 69.7% and a Recall of 88.0%, significantly outperforming the baseline YOLOv8s and advanced transformer-based models like RT-DETR-L. Crucially, the model maintains high operational efficiency, achieving an inference speed of 1.1 ms on an NVIDIA A100 and reaching 27 FPS on an NVIDIA Jetson Xavier NX using INT8 quantization. These findings confirm that MDB-YOLO provides a robust, high-precision, and cost-effective solution for real-time quality control in agricultural food processing, marking a significant advancement in the application of computer vision to complex biological targets. Full article
(This article belongs to the Special Issue Advancements in Edge and Cloud Computing for Industrial IoT)
Show Figures

Figure 1

12 pages, 354 KB  
Case Report
Dynamic Changes in Oxidative Stress Biomarkers in a Child with Idiopathic Nephrotic Syndrome: A Longitudinal Case Study
by Joško Osredkar and Matjaž Kopač
Int. J. Mol. Sci. 2026, 27(1), 216; https://doi.org/10.3390/ijms27010216 (registering DOI) - 24 Dec 2025
Abstract
Idiopathic nephrotic syndrome (INS) is the most prevalent glomerular illness in children. Even while immunologic processes are well-established, oxidative stress is becoming more widely acknowledged as a significant factor in the etiopathogenesis of illness. Assessing its activity and treatment response may be made [...] Read more.
Idiopathic nephrotic syndrome (INS) is the most prevalent glomerular illness in children. Even while immunologic processes are well-established, oxidative stress is becoming more widely acknowledged as a significant factor in the etiopathogenesis of illness. Assessing its activity and treatment response may be made easier with the use of trustworthy, non-invasive indicators to track redox balance. We report on the oxidative stress levels of a 10.7-year-old boy with INS with five clinical time points in one year. The FRAS5 analyzer was used to calculate the oxidative stress index (OSI), plasma antioxidant capacity (PAT) and derivatives of reactive oxygen metabolites (d-ROMs) as biomarkers. A 4-tier oxidative state classification scheme based on d-ROM and PAT thresholds was used to interpret the values. The patient had low antioxidant defense, moderate oxidative and increased OSI at relapses, a positive transition to reduced oxidative burden and enhanced defense during remission. The order of events showed a dynamic redox response associated with glucocorticoid (GC) medication and disease activity. The potential value of d-ROM, PAT, and OSI as dynamic biomarkers for tracking disease activity, response to treatment and residual oxidative burden in pediatric INS is supported by this case. To confirm their function in more comprehensive clinical decision-making, more research is required. Full article
(This article belongs to the Special Issue Kidney Disease: Molecular Insights and Emerging Therapies)
Show Figures

Figure 1

38 pages, 1401 KB  
Review
Pre- and Postharvest Determinants, Technological Innovations and By-Product Valorization in Berry Crops: A Comprehensive and Critical Review
by Elsa M. Gonçalves, Rui Ganhão and Joaquina Pinheiro
Horticulturae 2026, 12(1), 19; https://doi.org/10.3390/horticulturae12010019 - 24 Dec 2025
Abstract
Berries—including strawberries, blueberries, raspberries, blackberries, cranberries, and several less commonly cultivated berry species—are highly valued for their sensory quality and rich content of bioactive compounds, yet they are among the most perishable horticultural products. Their soft texture, high respiration rate, and susceptibility to [...] Read more.
Berries—including strawberries, blueberries, raspberries, blackberries, cranberries, and several less commonly cultivated berry species—are highly valued for their sensory quality and rich content of bioactive compounds, yet they are among the most perishable horticultural products. Their soft texture, high respiration rate, and susceptibility to fungal pathogens lead to rapid postharvest deterioration and significant economic losses. This review synthesizes advances in berry postharvest management reported between 2010 and 2025. Conventional strategies such as rapid precooling, cold-chain optimization, controlled and modified atmospheres, and edible coatings are discussed alongside emerging non-thermal technologies, including UV-C light, ozone, cold plasma, ultrasound, biocontrol agents, and intelligent packaging systems. Particular emphasis is placed on the instability of anthocyanins and other phenolic compounds, microbial spoilage dynamics, and the influence of cultivar genetics and preharvest factors on postharvest performance. The review also highlights opportunities for circular-economy applications, as berry pomace, seeds, and skins represent valuable sources of polyphenols, dietary fiber, and seed oils for use in food, nutraceutical, cosmetic, and bio-based packaging sectors. Looking ahead, future research should prioritize integrated, multi-hurdle, low-residue postharvest strategies, the scale-up of non-thermal technologies, and data-driven cold-chain management. Overall, coordinated physiological, technological, and sustainability-oriented approaches are essential to maintain berry quality, reduce postharvest losses, and strengthen the resilience of berry value chains. Full article
(This article belongs to the Special Issue Postharvest Physiology and Quality Improvement of Fruit Crops)
14 pages, 282 KB  
Review
The Role of Organ Sparing Approaches After Total Neoadjuvant Treatment in Rectal Cancer
by Gianluca Rizzo, Vincenzo Tondolo, Luca Emanuele Amodio, Federica Marzi, Camilla Marandola, Donato Paolo Pafundi, Giuseppe De Rito and Claudio Coco
Cancers 2026, 18(1), 55; https://doi.org/10.3390/cancers18010055 - 24 Dec 2025
Abstract
Organ-preserving strategies have gained increasing relevance in the management of rectal cancer, driven by the improved ability of neoadjuvant therapies to induce major and complete tumor regression. The introduction of Total Neoadjuvant Therapy (TNT), delivered through induction and/or consolidation chemotherapy combined with radiotherapy, [...] Read more.
Organ-preserving strategies have gained increasing relevance in the management of rectal cancer, driven by the improved ability of neoadjuvant therapies to induce major and complete tumor regression. The introduction of Total Neoadjuvant Therapy (TNT), delivered through induction and/or consolidation chemotherapy combined with radiotherapy, has substantially increased both pathological and clinical complete response rates. This progress has renewed interest in non-operative management—namely Watch-and-Wait (W&W)—and in local excision (LE) as potential alternatives to total mesorectal excision (TME). However, the W&W strategy raises important oncologic concerns, including a non-negligible rate of local regrowth—consistently reported at approximately 20–30%—which is associated with inferior distant metastasis-free survival and overall survival. These limitations underscore the inherent uncertainty in reliably defining a true clinical complete response. Within this context, LE may serve as a valuable diagnostic and therapeutic modality by confirming the pathological response, improving local control through removal of residual resistant tumor clones, and enabling more accurate stratification of patients suitable for organ preservation versus those requiring completion TME. Overall, while TNT has expanded the therapeutic opportunities for rectal preservation, LE appears to play a critical role in reducing the discordance between clinical and pathological assessment, thereby offering a more oncologically secure pathway toward organ preservation. This narrative review discusses the current role, benefits, and limitations of organ-preserving approaches after TNT in both locally advanced and early rectal cancer. Full article
20 pages, 2560 KB  
Article
Potential Use of Waste Plastic (HDPE) as a Partial Substitute for Adhesive to Produce Sugarcane Bagasse Medium-Density Particleboards: Technical Feasibility and Environmental Impact Mitigation
by Afonso José Felício Peres Duran, Gabriela Pitolli Lyra, Luiz Eduardo Campos Filho, Gabriel Affonso da Costa Held, João Adriano Rossignolo and Juliano Fiorelli
Sustainability 2026, 18(1), 193; https://doi.org/10.3390/su18010193 - 24 Dec 2025
Abstract
Lignocellulosic residues are increasingly explored as alternatives to wood in particleboard production, fostering sustainability within the circular economy. Beyond these, non-lignocellulosic wastes such as plastics are gaining attention for enhancing panel durability and performance. This study evaluates waste high-density polyethylene (HDPE) as a [...] Read more.
Lignocellulosic residues are increasingly explored as alternatives to wood in particleboard production, fostering sustainability within the circular economy. Beyond these, non-lignocellulosic wastes such as plastics are gaining attention for enhancing panel durability and performance. This study evaluates waste high-density polyethylene (HDPE) as a partial substitute for adhesive resin in sugarcane bagasse-based medium-density particleboards. The objective was to valorize agricultural and plastic residues while reducing reliance on petroleum-based resins and associated environmental impacts. Panels (750 kg/m3) were produced with two face layers of sugarcane bagasse and a core layer combining bagasse and HDPE, bonded with castor oil-based polyurethane resin at 8% and 12% contents. Physical and mechanical performance was assessed against national and international standards, complemented by natural and accelerated weathering tests. A comparative life cycle assessment (LCA) was conducted to benchmark hybrid panels against conventional particleboards. Results showed that incorporating HDPE allows for resin reduction without compromising performance, meeting standard requirements for several applications. The LCA indicated lower environmental burdens in 8 of 10 impact categories for hybrid panels relative to conventional ones, underscoring their potential to reduce fossil resource use and emissions. The findings demonstrate that integrating waste plastics into particleboard production not only improves resource efficiency but also delivers tangible environmental benefits. This approach offers a scalable pathway for advancing sustainable materials, closing waste loops, and supporting circular economy practices in the wood-based panel industry. Full article
Show Figures

Figure 1

22 pages, 16021 KB  
Article
Optimization of the Process Parameters for Non-Penetration Laser Lap Welding of SUS301L Stainless Steel
by Haiyuan He, Yuhuan Liu, Shiming Huang, Ping Zhu, Peng Zhang, Weiguo Yan, Zhichao Zhang, Zhihui Xu, Yuncheng Jiang, Zhi Cheng, Bin Shi and Junchang Lin
Crystals 2026, 16(1), 9; https://doi.org/10.3390/cryst16010009 (registering DOI) - 23 Dec 2025
Abstract
In this study, with the rapid development of the field of rail vehicles, the laser welding process with high energy and small thermal deformation is selected, which reduces the working hours of post-welding grinding, repainting, and other processes, and ensures the industrial design [...] Read more.
In this study, with the rapid development of the field of rail vehicles, the laser welding process with high energy and small thermal deformation is selected, which reduces the working hours of post-welding grinding, repainting, and other processes, and ensures the industrial design requirements of the beautiful body after welding. The welding process for the non-penetration laser lap welding of SUS301L stainless-steel plates was optimized to address the problem of welding marks on the outer surface of railway vehicle car bodies. The impact of laser power, welding speed, and defocusing amount on weld penetration and tensile shear load was investigated using the response surface methodology. The results showed that the optimal response model for tensile shear load was the linear model, while the optimal response model for weld penetration was the 2FI model. The defocusing amount had the greatest influence on tensile shear load and weld penetration. When the laser power was 1.44 kW, the welding speed was 15 mm/s, and the defocusing amount was −4 mm, the tensile shear load reached its maximum by prediction. The actual tensile shear load of welded joints using these parameters was 4293 N with an error of merely 0.31% relative to the predicted value. The shear strength of laser-welded joints was measured at 429.3 N/mm, meeting the criteria established by the relevant standards. The tensile fracture shows characteristics of brittle fracture. The surface of the welded joints was bright white and well-formed, while the back side of the lower plate exhibited no signs of melting or welding marks. The microstructure of the weld zone (WZ) exhibited irregular columnar austenite and plate-like ferrite, while the heat-affected zone (HAZ) comprised columnar austenite and elongated bars or networks of δ-ferrite. The small-angle grain in welded joints can reduce grain boundary defects and mitigate stress concentration. After welding, angular deformation occurred, resulting in a residual stress distribution that shows tensile stress near the weld and compressive stress at a distance from the weld. Full article
Show Figures

Figure 1

21 pages, 3931 KB  
Article
Sustainable Use of Industrial Wastes for Soil Stabilization
by André Studart, Maria Eugenia Boscov, Victor Cavaleiro and Antonio Albuquerque
Eng 2026, 7(1), 4; https://doi.org/10.3390/eng7010004 - 20 Dec 2025
Viewed by 97
Abstract
Worldwide, large volumes of industrial residues, such as water treatment sludge (WTS), biomass ash (BA), iron slag (IS), and quarry fines (QF), are generated with limited reuse. This study evaluates their potential as additives for two soils, using two types of soils as [...] Read more.
Worldwide, large volumes of industrial residues, such as water treatment sludge (WTS), biomass ash (BA), iron slag (IS), and quarry fines (QF), are generated with limited reuse. This study evaluates their potential as additives for two soils, using two types of soils as matrices. A comprehensive laboratory program (particle size distribution, Proctor compaction, Atterberg limits, falling-head permeability, oedometer consolidation, consolidated undrained triaxial tests, and scanning electron microscopy) was performed on soil–residue mixtures across practical dosages. Optimal mixes balanced strength and transport properties: 15% WTS lowered hydraulic conductivity (k) into the 10−9 m/s range while reducing plasticity; 20% BA rendered the soil non-plastic but increased k into the 10−8–10−7 m/s range; 50% IS increased friction angle while maintaining k ~10−8 m/s; and QF produced modest changes while preserving k ~10−9 m/s. These findings support the sustainable reuse of these industrial wastes for soft soil stabilization, also contributing to the circular economy in the industrial and construction sectors, and are aligned with the United Nations’ sustainable development goals 6, 9, 11, 12, and 15. Full article
Show Figures

Graphical abstract

14 pages, 5418 KB  
Article
Organic Amendments Regulate Soil Bacterial Diversity and Cooperative Network Structure in Reclaimed Coal Gangue Soil
by Zeyu Zeng, Tao Kong, Gang Lv, Haotian Cheng, Sinuo Bao and Lin Xiao
Microorganisms 2026, 14(1), 17; https://doi.org/10.3390/microorganisms14010017 - 20 Dec 2025
Viewed by 143
Abstract
Restoring soil microbial functioning in reclaimed coal gangue soils is critical for ecosystem recovery, yet how different organic amendments, particularly industrial by-products, regulate bacterial communities remains unclear. Here, we tested three organic inputs—the residue after evaporation (RAE) from vitamin C production, Trichoderma inoculation, [...] Read more.
Restoring soil microbial functioning in reclaimed coal gangue soils is critical for ecosystem recovery, yet how different organic amendments, particularly industrial by-products, regulate bacterial communities remains unclear. Here, we tested three organic inputs—the residue after evaporation (RAE) from vitamin C production, Trichoderma inoculation, and cattle manure—applied alone and in combination in a photovoltaic agroforestry system on coal gangue spoil. Our results indicate that the treatment based on manure increased bacterial α-diversity and favored taxa associated with organic matter transformation, including Actinobacteria and Acidobacteriota, suggesting expanded niche partitioning in response to heterogeneous substrates and nutrients. RAE alone supported communities closer to non-manure controls but, when co-applied with manure, further enhanced network connectivity and the prevalence of positive associations, indicating strengthened cooperative interactions and functional redundancy. In contrast, RAE combined with Trichoderma in the absence of manure reduced diversity, and simplified the co-occurrence network, suggesting resource monopolization and antagonism. Overall, RAE acted as a key driver of microbial cooperation and potential ecosystem resilience, and RAE-based amendments, particularly when integrated with manure, appear to be effective strategies for improving soil microbial functionality in degraded coal gangue soils. Full article
(This article belongs to the Special Issue Microorganisms Around Coal Mines and Their Application, 2nd Edition)
Show Figures

Figure 1

44 pages, 29351 KB  
Article
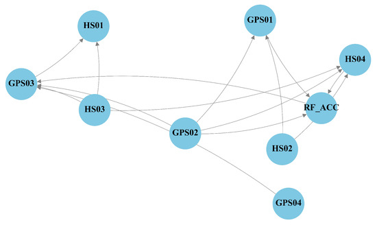
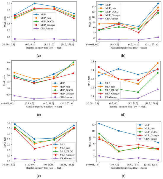
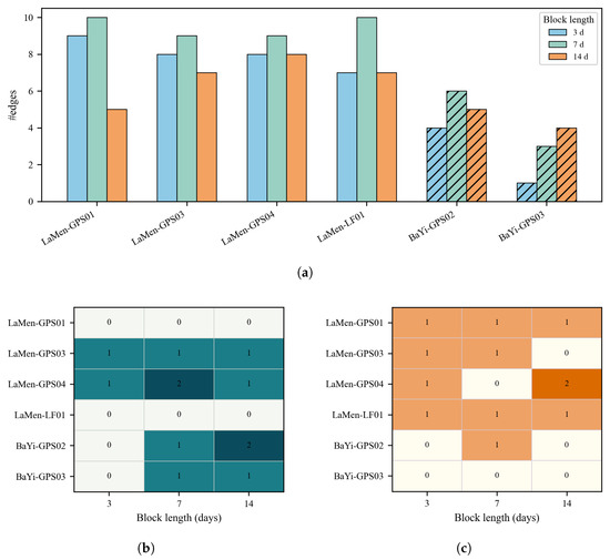
Bayesian-Inspired Dynamic-Lag Causal Graphs and Role-Aware Transformers for Landslide Displacement Forecasting
by Fan Zhang, Yuanfa Ji, Xiaoming Liu, Siyuan Liu, Zhang Lu, Xiyan Sun, Shuai Ren and Xizi Jia
Entropy 2026, 28(1), 7; https://doi.org/10.3390/e28010007 (registering DOI) - 20 Dec 2025
Viewed by 105
Abstract
Increasingly frequent intense rainfall is increasing landslide occurrence and risk. In southern China in particular, steep slopes and thin residual soils produce frequent landslide events with pronounced spatial heterogeneity. Therefore, displacement prediction methods that function across sites and deformation regimes in similar settings [...] Read more.
Increasingly frequent intense rainfall is increasing landslide occurrence and risk. In southern China in particular, steep slopes and thin residual soils produce frequent landslide events with pronounced spatial heterogeneity. Therefore, displacement prediction methods that function across sites and deformation regimes in similar settings are essential for early warning. Most existing approaches adopt a multistage pipeline that decomposes, predicts, and recombines, often leading to complex architectures with weak cross-domain transfer and limited adaptability. To address these limitations, we present CRAFormer, a causal role-aware Transformer guided by a dynamic-lag Bayesian network-style causal graph learned from historical observations. In our system, the discovered directed acyclic graph (DAG) partitions drivers into five causal roles and induces role-specific, non-anticipative masks for lightweight branch encoders, while a context-aware Top-2 gate sparsely fuses the branch outputs, yielding sample-wise attributions. To safely exploit exogenous rainfall forecasts, next-day rainfall is entered exclusively through an ICS tail with a leakage-free block mask, a non-negative readout, and a rainfall monotonicity regularizer. In this study, we curate two long-term GNSS datasets from Guangxi (LaMenTun and BaYiTun) that capture slow creep and step-like motions during extreme rainfall. Under identical inputs and a unified protocol, CRAFormer reduces the MAE and RMSE by 59–79% across stations relative to the strongest baseline, and it lowers magnitude errors near turning points and step events, demonstrating robust performance for two contrasting landslides within a shared regional setting. Ablations confirm the contributions of the DBN-style causal masks, the leakage-free ICS tail, and the monotonicity prior. These results highlight a practical path from causal discovery to forecast-compatible neural predictors for rainfall-induced landslides. Full article
(This article belongs to the Special Issue Bayesian Networks and Causal Discovery)
Show Figures

Figure 1

20 pages, 3421 KB  
Article
Design and Characterization of Ceramic Bricks with Industrial Waste and Silica–Carbon-Based Additives
by Aidar Kengesbekov, Alfira Sabitova, Moldir Bayandinova, Zhanna Sharipkhan, Diana Bexoltanova and Nurlan Mukhamediarov
Buildings 2026, 16(1), 20; https://doi.org/10.3390/buildings16010020 - 19 Dec 2025
Viewed by 189
Abstract
This study investigates ceramic bricks produced by partially replacing clay with Pb–Zn metallurgical residues (lead furnace dust and cyclone dust), fly ash, and carbonaceous additives. The novelty lies in the integrated multi-waste formulation and the combined FTIR–TGA–XRD analytical approach used to elucidate phase-formation [...] Read more.
This study investigates ceramic bricks produced by partially replacing clay with Pb–Zn metallurgical residues (lead furnace dust and cyclone dust), fly ash, and carbonaceous additives. The novelty lies in the integrated multi-waste formulation and the combined FTIR–TGA–XRD analytical approach used to elucidate phase-formation mechanisms. The results show that firing promotes the development of quartz, mullite, iron oxides, and an extensive Fe–Pb–Zn–Si–O amorphous network, while higher residue contents enhance amorphization and suppress mullite crystallization. These microstructural changes correlate with reduced compressive strength (1.6–3.1 MPa) and high water absorption (32–36%), although all samples completed 15 freeze–thaw cycles. Heavy-metal leaching assessed by atomic absorption spectroscopy (AAS) revealed very low Pb (0.08–0.20 mg/L) and Zn (0.25–0.45 mg/L) release, well below international safety limits, demonstrating effective immobilization of hazardous ions within the glassy matrix. Overall, the study provides new insight into multi-waste interactions during sintering and confirms that controlled residue incorporation enables environmentally safe, non-load-bearing ceramic materials with reduced clay consumption. Full article
(This article belongs to the Section Building Materials, and Repair & Renovation)
Show Figures

Figure 1

33 pages, 4350 KB  
Review
Laser Processing Methods in Precision Silicon Carbide Wafer Exfoliation: A Review
by Tuğrul Özel and Faik Derya Ince
J. Manuf. Mater. Process. 2026, 10(1), 2; https://doi.org/10.3390/jmmp10010002 - 19 Dec 2025
Viewed by 226
Abstract
The rapid advancement of high-performance electronics has intensified the demand for wide-bandgap semiconductor materials capable of operating under high-power and high-temperature conditions. Among these, silicon carbide (SiC) has emerged as a leading candidate due to its superior thermal conductivity, chemical stability, and mechanical [...] Read more.
The rapid advancement of high-performance electronics has intensified the demand for wide-bandgap semiconductor materials capable of operating under high-power and high-temperature conditions. Among these, silicon carbide (SiC) has emerged as a leading candidate due to its superior thermal conductivity, chemical stability, and mechanical strength. However, the high cost and complexity of SiC wafer fabrication, particularly in slicing and exfoliation, remain significant barriers to its widespread adoption. Conventional methods such as wire sawing suffer from considerable kerf loss, surface damage, and residual stress, reducing material yield and compromising wafer quality. Additionally, techniques like smart-cut ion implantation, though capable of enabling thin-layer transfer, are limited by long thermal annealing durations and implantation-induced defects. To overcome these limitations, ultrafast laser-based processing methods, including laser slicing and stealth dicing (SD), have gained prominence as non-contact, high-precision alternatives for SiC wafer exfoliation. This review presents the current state of the art and recent advances in laser-based precision SiC wafer exfoliation processes. Laser slicing involves focusing femtosecond or picosecond pulses at a controlled depth parallel to the beam path, creating internal damage layers that facilitate kerf-free wafer separation. In contrast, stealth dicing employs laser-induced damage tracks perpendicular to the laser propagation direction for chip separation. These techniques significantly reduce material waste and enable precise control over wafer thickness. The review also reports that recent studies have further elucidated the mechanisms of laser–SiC interaction, revealing that femtosecond pulses offer high machining accuracy due to localized energy deposition, while picosecond lasers provide greater processing efficiency through multipoint refocusing but at the cost of increased amorphous defect formation. The review identifies multiphoton ionization, internal phase explosion, and thermal diffusion key phenomena that play critical roles in microcrack formation and structural modification during precision SiC wafer laser processing. Typical ultrafast-laser operating ranges include pulse durations from 120–450 fs (and up to 10 ps), pulse energies spanning 5–50 µJ, focal depths of 100–350 µm below the surface, scan speeds ranging from 0.05–10 mm/s, and track pitches commonly between 5–20 µm. In addition, the review provides quantitative anchors including representative wafer thicknesses (250–350 µm), typical laser-induced crack or modified-layer depths (10–40 µm and extending up to 400–488 µm for deep subsurface focusing), and slicing efficiencies derived from multi-layer scanning. The review concludes that these advancements, combined with ongoing progress in ultrafast laser technology, represent research opportunities and challenges in transformative shifts in SiC wafer fabrication, offering pathways to high-throughput, low-damage, and cost-effective production. This review highlights the comparative advantages of laser-based methods, identifies the research gaps, and outlines the challenges and opportunities for future research in laser processing for semiconductor applications. Full article
Show Figures

Figure 1

28 pages, 99906 KB  
Article
Design and Implementation of an Automated Thermal Imaging Device for Lower Limb Prosthetic Applications
by Daniel Pizarro, Joel C. Huegel, Elias Diaz, Beatriz Alemon, Hugh Herr and Luis C. Felix-Herran
Machines 2026, 14(1), 1; https://doi.org/10.3390/machines14010001 - 19 Dec 2025
Viewed by 218
Abstract
Since elevated temperature and humidity may occur at the prosthetic socket–skin interface, it is essential to collect thermal data from the residual limb, as this information serves as an indicator of adverse effects such as irritation, postural problems, and significant damage to health. [...] Read more.
Since elevated temperature and humidity may occur at the prosthetic socket–skin interface, it is essential to collect thermal data from the residual limb, as this information serves as an indicator of adverse effects such as irritation, postural problems, and significant damage to health. These data are obtained non-invasively through the execution of a thermal imaging (TI) procedure. However, the precision and repeatability of a TI procedure rely significantly on its execution technique. This work presents the design and implementation of a mechatronic device that automates a thermal imaging technique. The application of the device is in lower-limb prosthetics evaluation. The proposed system improves data acquisition consistency by reducing execution time and minimizing human error, thereby enhancing the reproducibility and reliability of thermal measurements. The introduced device, Thermal Imaging Booth, proposes an automated solution for TI standardization in clinical and research settings. By minimizing inconsistencies, this system improves the diagnostic potential of thermography, facilitating its adoption in biomedical applications. Full article
(This article belongs to the Special Issue Advances in Medical and Rehabilitation Robots)
Show Figures

Figure 1

24 pages, 4145 KB  
Article
An Intelligent SPH Framework Based on Machine-Learned Residual Correction for Elliptic PDEs
by Ammar Qarariyah, Tianhui Yang and Fang Deng
Algorithms 2025, 18(12), 803; https://doi.org/10.3390/a18120803 - 18 Dec 2025
Viewed by 202
Abstract
We present an intelligent, non-intrusive framework to enhance the performance of Symmetric Smoothed Particle Hydrodynamics (SSPH) for elliptic partial differential equations, focusing on the linear and nonlinear Poisson equations. Classical Smoothed Particle Hydrodynamics methods, while meshfree, suffer from discretization errors due to kernel [...] Read more.
We present an intelligent, non-intrusive framework to enhance the performance of Symmetric Smoothed Particle Hydrodynamics (SSPH) for elliptic partial differential equations, focusing on the linear and nonlinear Poisson equations. Classical Smoothed Particle Hydrodynamics methods, while meshfree, suffer from discretization errors due to kernel truncation and irregular particle distributions. To address this, we employ a machine-learning-based residual correction, where a neural network learns the difference between the SSPH solution and a reference solution. The predicted residuals are added to the SSPH solution, yielding a corrected approximation with significantly reduced errors. The method preserves numerical stability and consistency while systematically reducing errors. Numerical results demonstrate that the proposed approach outperforms standard SSPH. Full article
Show Figures

Figure 1

26 pages, 6776 KB  
Article
An Improved Adaptive Robust Extended Kalman Filter for Arctic Shipborne Tightly Coupled GNSS/INS Navigation
by Wei Liu, Tengfei Qi, Yuan Hu, Shanshan Fu, Bing Han, Tsung-Hsuan Hsieh and Shengzheng Wang
J. Mar. Sci. Eng. 2025, 13(12), 2395; https://doi.org/10.3390/jmse13122395 - 17 Dec 2025
Viewed by 215
Abstract
In the Arctic region, the navigation and positioning accuracy of shipborne and autonomous underwater vehicle (AUV) integrated Global Navigation Satellite System (GNSS) and Inertial Navigation System (INS) solutions is severely degraded due to poor satellite geometry, frequent ionospheric disturbances, non-Gaussian measurement noise, and [...] Read more.
In the Arctic region, the navigation and positioning accuracy of shipborne and autonomous underwater vehicle (AUV) integrated Global Navigation Satellite System (GNSS) and Inertial Navigation System (INS) solutions is severely degraded due to poor satellite geometry, frequent ionospheric disturbances, non-Gaussian measurement noise, and strong multipath effects, as well as long-term INS-based dead-reckoning for AUVs when GNSS is unavailable underwater. In addition, the sparse ground-based augmentation infrastructure and the lack of reliable reference trajectories and dedicated test ranges in polar waters hinder the validation and performance assessment of existing marine navigation systems, further complicating the achievement of accurate and reliable navigation in this region. To improve the positioning accuracy of the GNSS/INS shipborne navigation system, this paper adopts a tightly coupled GNSS/INS navigation approach. To further enhance the accuracy and robustness of tightly coupled GNSS/INS positioning, this paper proposes an improved Adaptive Robust Extended Kalman Filter (IAREKF) algorithm to effectively suppress the effects of gross errors and non-Gaussian noise, thereby significantly enhancing the system’s robustness and positioning accuracy. First, the residuals and Mahalanobis distance are calculated using the Adaptive Robust Extended Kalman Filter (AREKF), and the chi-square test is used to assess the anomalies of the observations. Subsequently, the observation noise covariance matrix is dynamically adjusted to improve the filter’s anti-interference capability in the complex Arctic environment. However, the state estimation accuracy of AREKF is still affected by GNSS signal degradation, leading to a decrease in navigation and positioning accuracy. To further improve the robustness and positioning accuracy of the filter, this paper introduces a sliding window mechanism, which dynamically adjusts the observation noise covariance matrix using historical residual information, thereby effectively improving the system’s stability in harsh environments. Field experiments conducted on an Arctic survey vessel demonstrate that the proposed improved adaptive robust extended Kalman filter significantly enhances the robustness and accuracy of Arctic integrated navigation. In the Arctic voyages at latitudes 80.3° and 85.7°, compared to the Loosely coupled EKF, the proposed method reduced the horizontal root mean square error by 61.78% and 21.7%, respectively. Full article
(This article belongs to the Section Ocean Engineering)
Show Figures

Figure 1

12 pages, 4028 KB  
Article
Induction of Apoptotic Cell Death in Non-Small-Cell Lung Cancer Cells by MP28 Peptide Derived from Bryopsis plumosa
by Heabin Kim, Seung-Hyun Jung, Seonmi Jo, Jong Won Han and Jei Ha Lee
Mar. Drugs 2025, 23(12), 481; https://doi.org/10.3390/md23120481 - 17 Dec 2025
Viewed by 252
Abstract
Marine algae are a prolific bioactive peptide source with a broad pharmacological potential. We characterized MP28, a cationic peptide isolated from the green alga Bryopsis plumosa. Structural modeling indicated a predominantly amphipathic α-helix (residues 3–16) flanked by flexible termini and stabilized by [...] Read more.
Marine algae are a prolific bioactive peptide source with a broad pharmacological potential. We characterized MP28, a cationic peptide isolated from the green alga Bryopsis plumosa. Structural modeling indicated a predominantly amphipathic α-helix (residues 3–16) flanked by flexible termini and stabilized by intramolecular disulfide bonds, a motif typical of membrane-active anticancer peptides. Functionally, MP28 demonstrated potent activity against non-small-cell lung cancer cell lines (A549, H460, H1299) without affecting non-tumorigenic lung fibroblasts (MRC-5). In vitro, MP28 decreased cell viability and clonogenic growth and suppressed migration and invasion in a dose-dependent manner. Flow cytometry revealed increased early/late apoptotic fractions, accompanied by caspase-9 activation, consistent with engagement of the intrinsic apoptotic pathway. In a mouse xenograft model, MP28 treatment significantly reduced tumor size compared with that of controls. Collectively, MP28 may be a potent anticancer peptide that exhibits selective cytotoxicity and low toxicity toward normal cells. Full article
Show Figures

Figure 1

Back to TopTop