Organic Amendments Regulate Soil Bacterial Diversity and Cooperative Network Structure in Reclaimed Coal Gangue Soil
Abstract
1. Introduction
2. Materials and Methods
2.1. Study Site Description
2.2. Experimental Design
2.3. Soil Sampling
2.4. Soil Environment Factor
2.5. DNA Extraction, PCR Amplification, and Sequencing
2.6. Statistical Analyses
3. Results
3.1. Correlations Between Bacterial Community and Environmental Factors
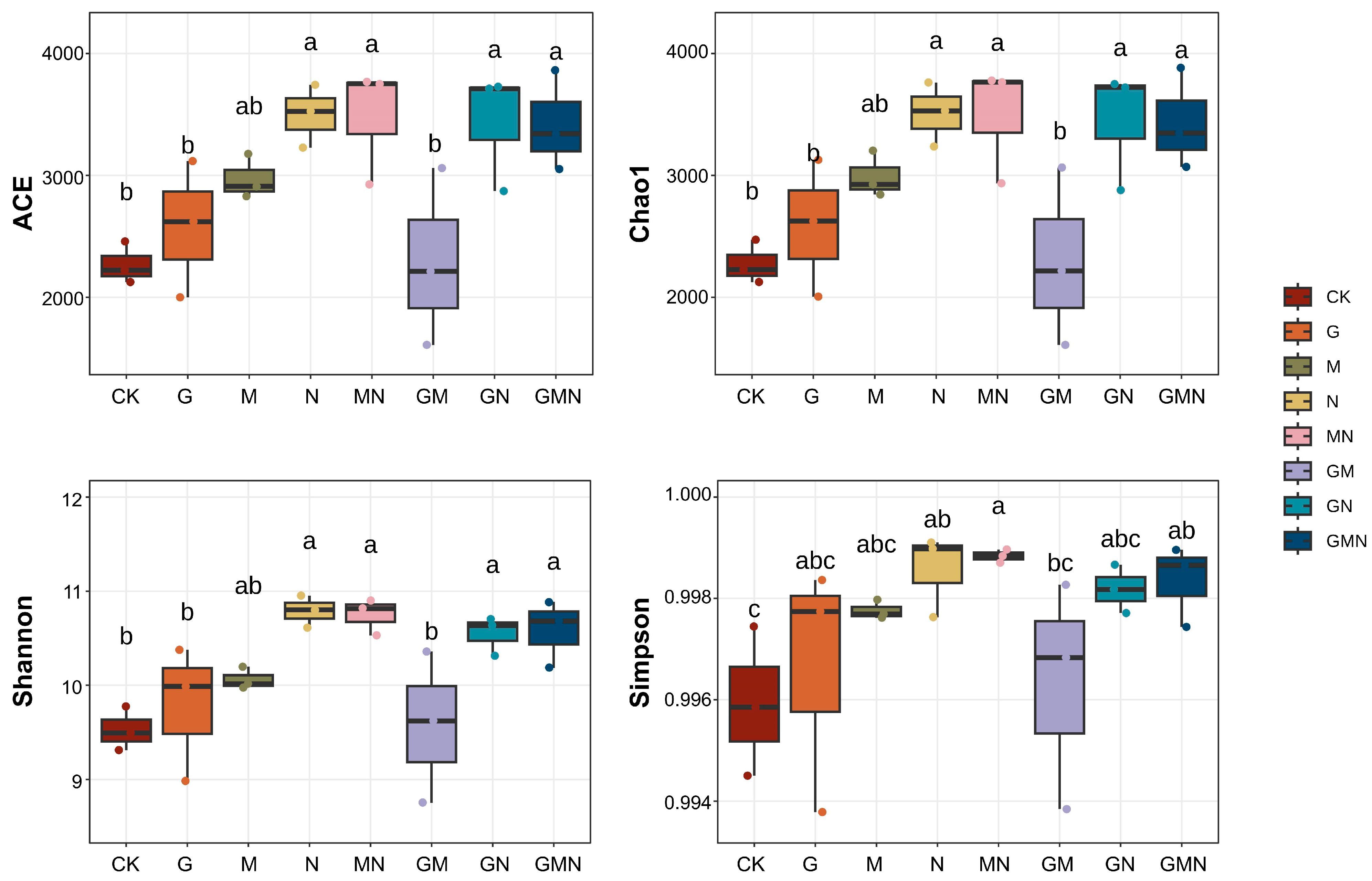
3.2. Soil Bacterial Alpha and Beta Diversities
3.3. Bacterial Community Composition at the Phylum and Class Levels
3.4. Modulation of Microbial Network Structure Under Different Treatments
4. Discussion
4.1. Organic Amendments Regulate Microbial α-Diversity Through Resource Availability and Niche Differentiation
4.2. Resource Quality and Microbial Functional Guilds Drive Shifts in Community Composition
4.3. Microbial Interactions Underpin Changes in Network Complexity and Ecosystem Functioning
5. Conclusions
Author Contributions
Funding
Institutional Review Board Statement
Informed Consent Statement
Data Availability Statement
Acknowledgments
Conflicts of Interest
References
- Ren, Q.; Qiang, F.; Liu, G.; Liu, C.; Ai, N. Response of Soil Quality to Ecosystems after Revegetation in a Coal Mine Reclamation Area. CATENA 2025, 257, 109038. [Google Scholar] [CrossRef]
- Chen, Z.; Yang, Y.; Zhou, L.; Hou, H.; Zhang, Y.; Liang, J.; Zhang, S. Ecological Restoration in Mining Areas in the Context of the Belt and Road Initiative: Capability and Challenges. Environ. Impact Assess. Rev. 2022, 95, 106767. [Google Scholar] [CrossRef]
- Brooker, R.W. Plant–Plant Interactions and Environmental Change. New Phytol. 2006, 171, 271–284. [Google Scholar] [CrossRef] [PubMed]
- Moreira-Grez, B.; Muñoz-Rojas, M.; Kariman, K.; Storer, P.; O’Donnell, A.G.; Kumaresan, D.; Whiteley, A.S. Reconditioning Degraded Mine Site Soils with Exogenous Soil Microbes: Plant Fitness and Soil Microbiome Outcomes. Front. Microbiol. 2019, 10, 1617. [Google Scholar] [CrossRef]
- Gnayem, N.; Magadley, E.; Haj-Yahya, A.; Masalha, S.; Kabha, R.; Abasi, A.; Barhom, H.; Matar, M.; Attrash, M.; Yehia, I. Examining the Effect of Different Photovoltaic Modules on Cucumber Crops in a Greenhouse Agrivoltaic System: A Case Study. Biosyst. Eng. 2024, 241, 83–94. [Google Scholar] [CrossRef]
- Tan, Y.; Liu, J.; Li, W.; Yin, J.; Chen, H.; Peng, Y.; Tan, J.; Wei, M. Agrivoltaics Development Progresses: From the Perspective of Photovoltaic Impact on Crops, Soil Ecology and Climate. Environ. Res. 2025, 266, 120540. [Google Scholar] [CrossRef]
- Meng, R.; Meng, Z.; Jia, R.; Li, H.; Cai, J.; Gao, Y. Positive Soil Responses to Different Vegetation Restoration Measures in Desert Photovoltaic Power Stations. Front. Plant Sci. 2025, 16, 1607404. [Google Scholar] [CrossRef]
- Francioli, D.; Schulz, E.; Lentendu, G.; Wubet, T.; Buscot, F.; Reitz, T. Mineral vs. Organic Amendments: Microbial Community Structure, Activity and Abundance of Agriculturally Relevant Microbes Are Driven by Long-Term Fertilization Strategies. Front. Microbiol. 2016, 7, 1446. [Google Scholar] [CrossRef]
- Jiao, S.; Lu, Y.; Wei, G. Soil Multitrophic Network Complexity Enhances the Link between Biodiversity and Multifunctionality in Agricultural Systems. Global Change Biol. 2022, 28, 140–153. [Google Scholar] [CrossRef]
- Ma, T.; He, X.; Chen, S.; Li, Y.; Huang, Q.; Xue, C.; Shen, Q. Long-Term Organic–Inorganic Fertilization Regimes Alter Bacterial and Fungal Communities and Rice Yields in Paddy Soil. Front. Microbiol. 2022, 13, 890712. [Google Scholar] [CrossRef]
- Cheng, H.; Sun, H.; Yang, W.; Gao, M.; Zhao, X.; Xu, H. Harnessing Vitamin C Industrial Byproducts for Sustainable Agriculture: Improved Soil Quality and Maize Production in Degraded Semi-Arid Farmlands. Agronomy 2025, 15, 897. [Google Scholar] [CrossRef]
- Wang, B.; Sun, H.; Yang, W.; Gao, M.; Zhong, X.; Zhang, L.; Chen, Z.; Xu, H. Potential Utilization of Vitamin C Industrial Effluents in Agriculture: Soil Fertility and Bacterial Community Composition. Sci. Total Environ. 2022, 851, 158253. [Google Scholar] [CrossRef] [PubMed]
- Gao, P.; Qi, K.; Han, Y.; Ma, L.; Zhang, B.; Zhang, Y.; Guan, X.; Qi, J. Effect of Trichoderma Viride on Rhizosphere Microbial Communities and Biocontrol of Soybean Root Rot. Front. Microbiol. 2023, 14, 1204688. [Google Scholar] [CrossRef] [PubMed]
- Chen, X.; Lu, Y.; Liu, X.; Gu, Y.; Li, F. Trichoderma: Dual Roles in Biocontrol and Plant Growth Promotion. Microorganisms 2025, 13, 1840. [Google Scholar] [CrossRef]
- Cheng, H.; Gao, M.; Yang, W.; Sun, H.; Kong, T.; Xu, H. Combined Application of Organic Wastes and Trichoderma Longibraciatum to Promote Vegetation Restoration and Soil Quality on Mining Waste Dump Sites. Plant Soil 2025, 508, 567–588. [Google Scholar] [CrossRef]
- Vinale, F.; Sivasithamparam, K.; Ghisalberti, E.L.; Marra, R.; Woo, S.L.; Lorito, M. Trichoderma–Plant–Pathogen Interactions. Soil Biol. Biochem. 2008, 40, 1–10. [Google Scholar] [CrossRef]
- Elias, D.M.O.; Mason, K.E.; Goodall, T.; Taylor, A.; Zhao, P.; Otero-Fariña, A.; Chen, H.; Peacock, C.L.; Ostle, N.J.; Griffiths, R.; et al. Microbial and Mineral Interactions Decouple Litter Quality from Soil Organic Matter Formation. Nat. Commun. 2024, 15, 10063. [Google Scholar] [CrossRef]
- Delgado-Baquerizo, M.; Maestre, F.T.; Reich, P.B.; Jeffries, T.C.; Gaitan, J.J.; Encinar, D.; Berdugo, M.; Campbell, C.D.; Singh, B.K. Microbial Diversity Drives Multifunctionality in Terrestrial Ecosystems. Nat. Commun. 2016, 7, 10541. [Google Scholar] [CrossRef]
- Fierer, N. Embracing the Unknown: Disentangling the Complexities of the Soil Microbiome. Nat. Rev. Microbiol. 2017, 15, 579–590. [Google Scholar] [CrossRef]
- Trivedi, P.; Delgado-Baquerizo, M.; Trivedi, C.; Hu, H.; Anderson, I.C.; Jeffries, T.C.; Zhou, J.; Singh, B.K. Microbial Regulation of the Soil Carbon Cycle: Evidence from Gene–Enzyme Relationships. ISME J. 2016, 10, 2593–2604. [Google Scholar] [CrossRef]
- Li, J.; Wei, Z.; Tao, L.; Zhong, J.; Liu, X.; Ji, J.; Lan, X.; Hou, H.; Feng, Z.; Xiao, J.; et al. Impact of Organic Fertilization Strategies on Soil Bacterial Community and Honey Pomelo (Citrus Maxima) Properties. Agronomy 2024, 14, 2244. [Google Scholar] [CrossRef]
- Sinsabaugh, R.L.; Lauber, C.L.; Weintraub, M.N.; Ahmed, B.; Allison, S.D.; Crenshaw, C.; Contosta, A.R.; Cusack, D.; Frey, S.; Gallo, M.E.; et al. Stoichiometry of Soil Enzyme Activity at Global Scale. Ecol. Lett. 2008, 11, 1252–1264. [Google Scholar] [CrossRef] [PubMed]
- Sun, L.; Zhang, J.; Zhao, J.; Lu, X.; Xiao, C.; Xiao, Z.; Zhang, T.; Gu, Y.; Sun, H.; Liu, H.; et al. Effects of Cinnamomum Camphora Coppice Planting on Soil Fertility, Microbial Community Structure and Enzyme Activity in Subtropical China. Front. Microbiol. 2023, 14, 1104077. [Google Scholar] [CrossRef] [PubMed]
- Guan, S.Y.; Zhang, D.; Zhang, Z. Soil Enzyme and Its Research Methods; Chinese Agricultural Press: Beijing, China, 1986; pp. 274–297. [Google Scholar]
- Cui, J.; Yang, B.; Zhang, M.; Song, D.; Xu, X.; Ai, C.; Liang, G.; Zhou, W. Investigating the Effects of Organic Amendments on Soil Microbial Composition and Its Linkage to Soil Organic Carbon: A Global Meta-Analysis. Sci. Total Environ. 2023, 894, 164899. [Google Scholar] [CrossRef]
- Guo, Z.; Lv, L.; Liu, D.; He, X.; Wang, W.; Feng, Y.; Islam, M.d.S.; Wang, Q.; Chen, W.; Liu, Z.; et al. A Global Meta-Analysis of Animal Manure Application and Soil Microbial Ecology Based on Random Control Treatments. PLoS ONE 2022, 17, e0262139. [Google Scholar] [CrossRef]
- Yang, X.; Zhang, S.; Wu, D.; Huang, Y.; Zhang, L.; Liu, K.; Wu, H.; Guo, S.; Zhang, W. Recalcitrant Components Accumulation in Dissolved Organic Matter Decreases Microbial Metabolic Quotient of Red Soil under Long-Term Manuring. Sci. Total Environ. 2024, 934, 173287. [Google Scholar] [CrossRef]
- Prosser, J.I.; Martiny, J.B.H. Conceptual Challenges in Microbial Community Ecology. Philos. Trans. R. Soc. B Biol. Sci. 2020, 375, 20190241. [Google Scholar] [CrossRef]
- Sood, M.; Kapoor, D.; Kumar, V.; Sheteiwy, M.S.; Ramakrishnan, M.; Landi, M.; Araniti, F.; Sharma, A. Trichoderma: The “Secrets” of a Multitalented Biocontrol Agent. Plants 2020, 9, 762. [Google Scholar] [CrossRef]
- Zhang, Y.-Q.; Zhang, S.; Sun, M.-L.; Su, H.-N.; Li, H.-Y.; Liu, K.; Zhang, Y.-Z.; Chen, X.-L.; Cao, H.-Y.; Song, X.-Y. Antibacterial Activity of Peptaibols from Trichoderma Longibrachiatum SMF2 against Gram-Negative Xanthomonas Oryzae Pv. Oryzae, the Causal Agent of Bacterial Leaf Blight on Rice. Front. Microbiol. 2022, 13, 1034779. [Google Scholar] [CrossRef]
- Shu, X.; Liu, W.; Huang, H.; Ye, Q.; Zhu, S.; Peng, Z.; Li, Y.; Deng, L.; Yang, Z.; Chen, H.; et al. Meta-Analysis of Organic Fertilization Effects on Soil Bacterial Diversity and Community Composition in Agroecosystems. Plants 2023, 12, 3801. [Google Scholar] [CrossRef]
- Whalen, E.D.; Grandy, A.S.; Geyer, K.M.; Morrison, E.W.; Frey, S.D. Microbial Trait Multifunctionality Drives Soil Organic Matter Formation Potential. Nat. Commun. 2024, 15, 10209. [Google Scholar] [CrossRef] [PubMed]
- Jiao, S.; Peng, Z.; Qi, J.; Gao, J.; Wei, G. Linking Bacterial-Fungal Relationships to Microbial Diversity and Soil Nutrient Cycling. mSystems 2021, 6, e01052-20. [Google Scholar] [CrossRef] [PubMed]
- Li, F.; Chen, L.; Zhang, J.; Yin, J.; Huang, S. Bacterial Community Structure after Long-Term Organic and Inorganic Fertilization Reveals Important Associations between Soil Nutrients and Specific Taxa Involved in Nutrient Transformations. Front. Microbiol. 2017, 8, 187. [Google Scholar] [CrossRef] [PubMed]
- Salam, L.B. Metagenomic Insights into the Microbial Community Structure and Resistomes of a Tropical Agricultural Soil Persistently Inundated with Pesticide and Animal Manure Use. Folia Microbiol. 2022, 67, 707–719. [Google Scholar] [CrossRef]
- Zhang, F.; Xu, X.; Huo, Y.; Xiao, Y. Trichoderma-Inoculation and Mowing Synergistically Altered Soil Available Nutrients, Rhizosphere Chemical Compounds and Soil Microbial Community, Potentially Driving Alfalfa Growth. Front. Microbiol. 2019, 9, 3241. [Google Scholar] [CrossRef]
- DeBruyn, J.M.; Nixon, L.T.; Fawaz, M.N.; Johnson, A.M.; Radosevich, M. Global Biogeography and Quantitative Seasonal Dynamics of Gemmatimonadetes in Soil. Appl. Environ. Microbiol. 2011, 77, 6295–6300. [Google Scholar] [CrossRef]
- Nielsen, K.; Roß, C.-L.; Hoffmann, M.; Muskolus, A.; Ellmer, F.; Kautz, T. The Chemical Composition of Biogas Digestates Determines Their Effect on Soil Microbial Activity. Agriculture 2020, 10, 244. [Google Scholar] [CrossRef]
- Park, J.; Cho, K.H.; Ligaray, M.; Choi, M.-J. Organic Matter Composition of Manure and Its Potential Impact on Plant Growth. Sustainability 2019, 11, 2346. [Google Scholar] [CrossRef]
- Guzmán-Guzmán, P.; Etesami, H.; Santoyo, G. Trichoderma: A Multifunctional Agent in Plant Health and Microbiome Interactions. BMC Microbiol. 2025, 25, 434. [Google Scholar] [CrossRef]
- Khan, R.A.A.; Najeeb, S.; Hussain, S.; Xie, B.; Li, Y. Bioactive Secondary Metabolites from Trichoderma Spp. against Phytopathogenic Fungi. Microorganisms 2020, 8, 817. [Google Scholar] [CrossRef]
- Wu, X.; Hu, H.; Li, S.; Zhao, J.; Li, J.; Zhang, G.; Li, G.; Xiu, W. Chemical Fertilizer Reduction with Organic Material Amendments Alters Co-Occurrence Network Patterns of Bacterium-Fungus-Nematode Communities under the Wheat–Maize Rotation Regime. Plant Soil 2022, 473, 605–623. [Google Scholar] [CrossRef]
- Ren, L.; Lv, J.; Zhang, F.; Dou, B.; Li, L.; Wang, Y.; Zhang, Y. Integrated Fertilization with Organic Manure and Trichoderma Enhances Wheat Productivity and Soil Nutrient Availability. Front. Plant Sci. 2025, 16, 1687216. [Google Scholar] [CrossRef]
- Gong, X.; Jarvie, S.; Wen, J.; Su, N.; Yan, Y.; Liu, Q.; Zhang, Q. Compared with Soil Fungal Diversity and Microbial Network Complexity, Soil Bacterial Diversity Drives Soil Multifunctionality during the Restoration Process. J. Environ. Manag. 2024, 354, 120379. [Google Scholar] [CrossRef] [PubMed]
- Chen, X.; Zhang, J.; Xia, W.; Shao, Y.; Liu, Z.; Guo, J.; Qin, W.; Wan, L.; Liu, J.; Liu, Y.; et al. Influence of Cover Crop Root Functional Traits on Sweet Potato Yield and Soil Microbial Communities. Microorganisms 2025, 13, 471. [Google Scholar] [CrossRef] [PubMed]
- Wagg, C.; Schlaeppi, K.; Banerjee, S.; Kuramae, E.E.; Van Der Heijden, M.G.A. Fungal-Bacterial Diversity and Microbiome Complexity Predict Ecosystem Functioning. Nat. Commun. 2019, 10, 4841. [Google Scholar] [CrossRef]
- Butler, S.; O’Dwyer, J.P. Stability Criteria for Complex Microbial Communities. Nat. Commun. 2018, 9, 2970. [Google Scholar] [CrossRef]
- Hoek, T.A.; Axelrod, K.; Biancalani, T.; Yurtsev, E.A.; Liu, J.; Gore, J. Resource Availability Modulates the Cooperative and Competitive Nature of a Microbial Cross-Feeding Mutualism. PLoS Biol. 2016, 14, e1002540, Erratum in PLoS Biol. 2017, 15, e1002606. [Google Scholar] [CrossRef]
- Heikkinen, J.; Ketoja, E.; Seppänen, L.; Luostarinen, S.; Fritze, H.; Pennanen, T.; Peltoniemi, K.; Velmala, S.; Hanajik, P.; Regina, K. Chemical Composition Controls the Decomposition of Organic Amendments and Influences the Microbial Community Structure in Agricultural Soils. Carbon Manag. 2021, 12, 359–376. [Google Scholar] [CrossRef]
- Fierer, N.; Bradford, M.A.; Jackson, R.B. Toward an Ecological Classification of Soil Bacteria. Ecology 2007, 88, 1354–1364. [Google Scholar] [CrossRef]
- Harman, G.E.; Howell, C.R.; Viterbo, A.; Chet, I.; Lorito, M. Trichoderma Species—Opportunistic, Avirulent Plant Symbionts. Nat. Rev. Microbiol. 2004, 2, 43–56. [Google Scholar] [CrossRef]
- Wagg, C.; Bender, S.F.; Widmer, F.; Van Der Heijden, M.G.A. Soil Biodiversity and Soil Community Composition Determine Ecosystem Multifunctionality. Proc. Natl. Acad. Sci. USA 2014, 111, 5266–5270. [Google Scholar] [CrossRef]






Disclaimer/Publisher’s Note: The statements, opinions and data contained in all publications are solely those of the individual author(s) and contributor(s) and not of MDPI and/or the editor(s). MDPI and/or the editor(s) disclaim responsibility for any injury to people or property resulting from any ideas, methods, instructions or products referred to in the content. |
© 2025 by the authors. Licensee MDPI, Basel, Switzerland. This article is an open access article distributed under the terms and conditions of the Creative Commons Attribution (CC BY) license.
Share and Cite
Zeng, Z.; Kong, T.; Lv, G.; Cheng, H.; Bao, S.; Xiao, L. Organic Amendments Regulate Soil Bacterial Diversity and Cooperative Network Structure in Reclaimed Coal Gangue Soil. Microorganisms 2026, 14, 17. https://doi.org/10.3390/microorganisms14010017
Zeng Z, Kong T, Lv G, Cheng H, Bao S, Xiao L. Organic Amendments Regulate Soil Bacterial Diversity and Cooperative Network Structure in Reclaimed Coal Gangue Soil. Microorganisms. 2026; 14(1):17. https://doi.org/10.3390/microorganisms14010017
Chicago/Turabian StyleZeng, Zeyu, Tao Kong, Gang Lv, Haotian Cheng, Sinuo Bao, and Lin Xiao. 2026. "Organic Amendments Regulate Soil Bacterial Diversity and Cooperative Network Structure in Reclaimed Coal Gangue Soil" Microorganisms 14, no. 1: 17. https://doi.org/10.3390/microorganisms14010017
APA StyleZeng, Z., Kong, T., Lv, G., Cheng, H., Bao, S., & Xiao, L. (2026). Organic Amendments Regulate Soil Bacterial Diversity and Cooperative Network Structure in Reclaimed Coal Gangue Soil. Microorganisms, 14(1), 17. https://doi.org/10.3390/microorganisms14010017
