Design and Characterization of Ceramic Bricks with Industrial Waste and Silica–Carbon-Based Additives
Abstract
1. Introduction
2. Materials and Methods
2.1. Raw Materials
2.2. Preparation of Samples
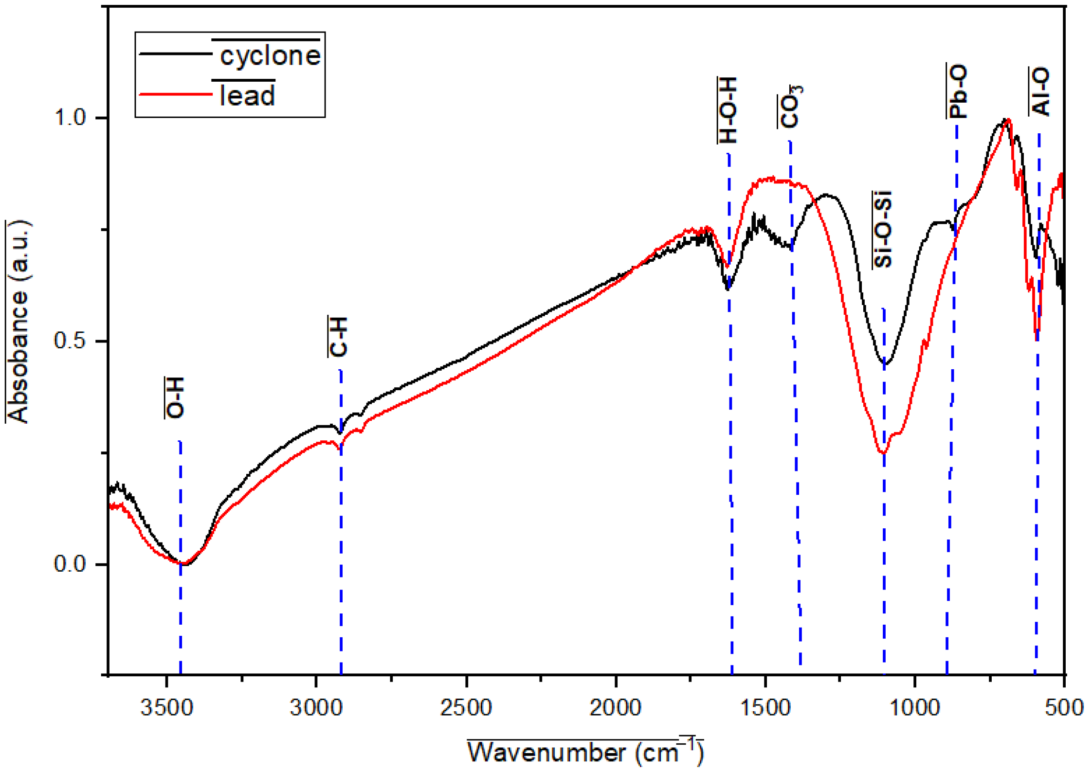
2.3. FTIR Analysis
2.4. Thermogravimetric Analysis (TGA)
2.5. X-Ray Diffraction (XRD)
2.6. SEM Morphology and EDS Composition of Raw Clay
2.7. Mechanical and Durability Testing
2.8. Heavy-Metal Leaching and AAS Analysis
3. Results and Discussion
3.1. Characterization of Raw Materials (Powders)
3.1.1. TGA of Raw Materials
3.1.2. X-Ray Diffraction (XRD) of Raw Materials
3.1.3. SEM Morphology and EDS Composition of Raw Clay
3.2. Characterization of Sintered Ceramics
3.2.1. Thermogravimetric Analysis (TGA) of Fired Samples
3.2.2. X-Ray Diffraction (XRD) of Sintered Ceramics
3.3. Physico-Mechanical and Durability Properties
4. Conclusions
Author Contributions
Funding
Data Availability Statement
Conflicts of Interest
References
- Kengesbekov, A.; Sagdoldina, Z.; Torebek, K.; Baizhan, D.; Kambarov, Y.; Yermolenko, M.; Maulet, M. Synthesis and Formation Mechanism of Metal Oxide Compounds. Coatings 2022, 12, 1511. [Google Scholar] [CrossRef]
- Akhtar, A.; Sarmah, A.K. Construction and Demolition Waste Generation and Properties of Recycled Aggregate Concrete: A Global Perspective. J. Clean. Prod. 2018, 186, 262–281. [Google Scholar] [CrossRef]
- Liu, B.; Zhao, W.; Jiang, Q.; Ao, Z.; An, T. Enhanced Adsorption Mechanism of Carbonyl-Containing Volatile Organic Compounds on Al-Decorated Porous Graphene Monolayer. Sustain. Mater. Technol. 2019, 21, e00103. [Google Scholar] [CrossRef]
- Rakhadilov, B.; Kengesbekov, A.; Kylyshkanov, M.; Bayatanova, L.; Amangeldyevna, A.S.; Bayandinova, M. Environmental Benefits of Fluorogypsum Reuse in the Production of Construction Materials. Buildings 2024, 14, 3618. [Google Scholar] [CrossRef]
- Skakov, M.; Bayandinova, M.; Kozhakhmetov, Y.; Tuyakbaev, B. Microstructure and Corrosion Resistance of Composite Based on Ultra-High-Molecular-Weight Polyethylene in Acidic Media. Coatings 2025, 15, 89. [Google Scholar] [CrossRef]
- Sutcu, M.; Erdogmus, E.; Gencel, O.; Gholampour, A.; Atan, E.; Ozbakkaloglu, T. Recycling of Bottom Ash and Fly Ash Wastes in Eco-Friendly Clay Brick Production. J. Clean. Prod. 2019, 233, 753–764. [Google Scholar] [CrossRef]
- Sabitova, A.; Mukhamediyarov, N.; Mussabayeva, B.; Rakhadilov, B.; Aitkazin, N.; Bayakhmetova, B.; Sharipkhan, Z.; Gaisina, B. The Effect of the Granulometric Composition of Slags on Non-Ferrous Metal Extraction Efficiency. Processes 2025, 13, 2113. [Google Scholar] [CrossRef]
- Taha, Y.; Benzaazoua, M.; Hakkou, R.; Mansori, M. Natural Clay Substitution by Calamine Processing Wastes to Manufacture Fired Bricks. J. Clean. Prod. 2016, 135, 847–858. [Google Scholar] [CrossRef]
- Ospanov, K.; Andraka, D.; Kuldeeva, E.; Munussov, I. Utilization of Sewage Sludge in the Sustainable Manufacturing of Ceramic Bricks. Sustainability 2025, 17, 6431. [Google Scholar] [CrossRef]
- Dai, Z.; Wu, Y.; Hu, L.; Zhang, W.; Mao, L. Evaluating Physical-Mechanical Properties and Long-Term Environmental Risks of Fired Clay Bricks with Electroplating Sludge. Constr. Build. Mater. 2019, 227, 116716. [Google Scholar] [CrossRef]
- Chindaprasirt, P.; Srisuwan, A.; Saengthong, C.; Lawanwadeekul, S.; Phonphuak, N. Synergistic Effect of Fly Ash and Glass Cullet on Fire Clay Bricks. J. Build. Eng. 2021, 44, 102942. [Google Scholar] [CrossRef]
- Khitab, A.; Riaz, M.S.; Jalil, A.; Khan, R.B.; Anwar, W.; Khan, R.A.; Arshad, M.T.; Kirgiz, M.S.; Tariq, Z.; Tayyab, S. Manufacturing of Clayey Bricks by Synergistic Use of Waste Brick and Ceramic Powders as Partial Replacement of Clay. Sustainability 2021, 13, 10214. [Google Scholar] [CrossRef]
- Moujoud, Z.; Harrati, A.; Manni, A.; Naim, A.; El Bouari, A.; Tanane, O. Study of Fired Clay Bricks with Coconut Shell Waste as a Renewable Pore-Forming Agent: Technological, Mechanical, and Thermal Properties. J. Build. Eng. 2023, 68, 106107. [Google Scholar] [CrossRef]
- Taha, Y.; Benzaazoua, M.; Edahbi, M.; Mansori, M.; Hakkou, R. Leaching and Geochemical Behavior of Fired Bricks Containing Coal Wastes. J. Environ. Manag. 2018, 209, 227–235. [Google Scholar] [CrossRef]
- Dey, A.; Ghosh, S.; Ghosh, S. Characterization of industrial byproducts using FTIR and XRD. Constr. Build. Mater. 2018, 160, 512–519. [Google Scholar] [CrossRef]
- Ferreira, J.F.; Costa, F.P.d.; Borborema, L.F.D.; Arimateia, R.R.d.; Leite, R.S.; Apolinário, R.C.; Pinto, H.C.; Rodrigues, A.M.; Neves, G.d.A.; Menezes, R.R. Incorporation of Bentonite Mining Waste in Ceramic Formulations for the Manufacturing of Porcelain Stoneware. Sustainability 2022, 14, 15973. [Google Scholar] [CrossRef]
- Hoffmann, B.; Ludwig, N. Infrared spectroscopy of wood ash: Analysis of moisture and phase composition. Biomass Bioenergy 2011, 35, 1208–1216. [Google Scholar] [CrossRef]
- Garcés, G.; Máthis, K.; Pérez, P.; Čapek, J.; Adeva, P. Effect of Reinforcing Shape on Twinning in Extruded Magnesium Matrix Composites. Mater. Sci. Eng. A 2016, 666, 48–53. [Google Scholar] [CrossRef]
- Kairbekov, Z.K.; Maloletnev, A.S.; Dzheldybaeva, I.M.; Sabitova, A.N.; Ermoldina, E.T. Application of modified iron-containing catalysts and preliminary ozonization of coal from the Shubarkol deposit to the hydrogenation of this coal. Solid Fuel Chem. 2017, 51, 365–369. [Google Scholar] [CrossRef]
- Kairbekov, Z.K.; Maloletnev, A.S.; Dzheldybaeva, I.M.; Sabitova, A.N.; Ermoldina, E.T. Application of Mechanochemical Activation and γ-Radiation to Increase the Reactivity of Coal from the Shubarkol Deposit in Hydrogenation. Solid Fuel Chem. 2018, 52, 21–25. [Google Scholar] [CrossRef]
- Sutcu, M.; Alptekin, H.; Erdogmus, E.; Er, Y.; Gencel, O. Characteristics of Fired Clay Bricks with Waste Marble Powder Addition as Building Materials. Constr. Build. Mater. 2015, 82, 1–8. [Google Scholar] [CrossRef]
- Rakhadilov, B.; Sagdoldina, Z.; Kengesbekov, A.; Kussainov, A.; Abdulina, S. Activation of Fluorohydride by Chemical Additives. Iran. J. Chem. Chem. Eng. 2024, 43, 12. [Google Scholar]
- Bayatanova, L.; Rakhadilov, B.; Kengesbekov, A.; Kylyshkanov, M.; Abdulina, S.; Adilkanova, M.; Sagdoldina, Z. Production of Anhydrite Binder from Waste Fluorangydrite. ChemEngineering 2023, 7, 28. [Google Scholar] [CrossRef]
- Zhang, L.; Peng, J.; Li, X.; Xu, Y.; Chen, H. Utilization of industrial solid wastes to enhance the performance of eco-friendly construction materials. J. Environ. Chem. Eng. 2022, 10, 108594. [Google Scholar] [CrossRef]
- Wang, F.; Li, Y.; Liu, J.; Zhang, Q.; Lu, H. Clay-based composites modified with layered minerals: Structure, thermal behavior, and mechanical performance. Appl. Clay Sci. 2022, 226, 106771. [Google Scholar] [CrossRef]
- Al-Shalif, B.; Hadzima, B.; Dobáková, M.; Juhás, J. Development of lightweight bricks with embedded functional additives for improved energy efficiency. Buildings 2023, 15, 4235. [Google Scholar] [CrossRef]
- Yan, H.; Zhou, S.; Luo, D.; Sun, X. Hybrid ceramic–mineral systems with multifunctional properties for sustainable construction. Mater. Lett. 2022, 316, 133257. [Google Scholar] [CrossRef]
- Bayatanova, L.B.; Abdullina, S.; Kylyshkanov, M.K.; Rakhadilov, B.K.; Kengesbekov, A.B.; Bayandinova, M.B.; Dautbayev, M. Method for Producing Anhydrite Binder. Patent of the Republic of Kazakhstan No. 2024/0883.1, 24 October 2024. [Google Scholar]
- ASTM C67-23; Standard Test Methods for Sampling and Testing Brick and Structural Clay Tile. ASTM International: West Conshohocken, PA, USA, 2023.
- ISO 10545-3:2018; Ceramic tiles—Part 3: Determination of water absorption, apparent porosity, apparent relative density and bulk density. International Organization for Standardization: Geneva, Switzerland, 2018.
- EPA Method 1311 (TCLP); Toxicity Characteristic Leaching Procedure. U.S. Environmental Protection Agency: Washington, DC, USA, 1992.
- EN 12457-2:2002; Characterization of Waste—Leaching—Compliance Test for Leaching of Granular Waste Materials and Sludges—Part 2: One Stage Batch Test at a Liquid to Solid Ratio of 10 L/kg for Materials with Particle Size Below 4 mm (Without or with Size Reduction). European Committee for Standardization: Brussels, Belgium, 2002.
- Nasui, M.; Mos, R.B.; Petrisor, T.; Gabor, M.S.; Varga, R.A.; Ciontea, L.; Petrisor, T. Synthesis, Crystal Structure and Thermal Decomposition of a New Copper Propionate [Cu(CH3CH2COO)2]·2H2O. J. Anal. Appl. Pyrolysis 2011, 92, 439–444. [Google Scholar] [CrossRef]
- Coates, J. Interpretation of Infrared Spectra, A Practical Approach. In Encyclopedia of Analytical Chemistry; John Wiley and Sons: Hoboken, NJ, USA, 2006; ISBN 978-0-470-02731-8. [Google Scholar]
- Baimoldanova, L.; Rakhadilov, B.; Kengesbekov, A.; Kuanyshbai, R. Influence of Mechanical Activation on the Evolution of TiSiCN Powders for Reactive Plasma Spraying. Crystals 2024, 14, 1005. [Google Scholar] [CrossRef]
- Słomkiewicz, P.M.; Szczepanik, B.; Garnuszek, M. Determination of Adsorption Isotherms of Aniline and 4-Chloroaniline on Halloysite Adsorbent by Inverse Liquid Chromatography. Appl. Clay Sci. 2015, 114, 221–228. [Google Scholar] [CrossRef]
- Yelyubayeva, G.; Shaimardan, T.; Abilov, Z.; Rakhimova, Z. Spectroscopic investigation of coal structure and its functional groups. Fuel 2023, 344, 127264. [Google Scholar]
- Chen, D.; Yin, L.; Wang, H.; He, P.; Shao, L. TG–DTG analysis of coal pyrolysis and oxidation processes. Fuel Process. Technol. 2018, 176, 157–167. [Google Scholar]
- Qi, L. Energy Harvesting Properties of the Functionally Graded Flexoelectric Microbeam Energy Harvesters. Energy 2019, 171, 721–730. [Google Scholar] [CrossRef]
- Emel’yanenko, V.N.; Turovtsev, V.V.; Fedina, Y.A. Thermodynamic Properties of Pyruvic Acid and Its Methyl Ester. Thermochim. Acta 2018, 665, 70–75. [Google Scholar] [CrossRef]
- Riley, R.; Gupta, S.; Andrews, R. Thermal characterization of carbonaceous dust fractions by TGA/DTG. J. Therm. Anal. Calorim. 2017, 127, 987–996. [Google Scholar]
- Cullity, B.D.; Stock, S.R. Elements of X-Ray Diffraction, 3rd ed.; Pearson: London, UK, 2014. [Google Scholar]
- Vassilev, S.V.; Baxter, D.; Andersen, L.K.; Vassileva, C.G. An Overview of the Chemical Composition of Biomass. Fuel 2010, 89, 913–933. [Google Scholar] [CrossRef]
- Klug, H.P.; Alexander, L.E. X-Ray Diffraction Procedures: For Polycrystalline and Amorphous Materials, 2nd ed.; Wiley-Interscience: Hoboken, NJ, USA, 1974. [Google Scholar]
- Querol, X.; Moreno, N.; Umaña, J.C.; Alastuey, A.; Hernández, E.; López-Soler, A.; Plana, F. Synthesis of Zeolites from Coal Fly Ash: An Overview. Int. J. Coal Geol. 2002, 50, 413–423. [Google Scholar] [CrossRef]
- Xu, J.; Wu, Y.; Li, Z.; Li, W. Phase transformation and crystallization of coal fly ash. J. Non-Cryst. Solids 2018, 481, 424–431. [Google Scholar] [CrossRef]
- Smith, B.C. Fundamentals of Fourier Transform Infrared Spectroscopy, 2nd ed.; CRC Press: Boca Raton, FL, USA, 2011. [Google Scholar]
- Farmer, V.C. (Ed.) The infrared spectra of minerals. In Mineralogical Society; Adlard & Son: Surrey, UK, 1974. [Google Scholar]
- Madejová, J.; Komadel, P. Baseline studies of the clay minerals society source clays: Infrared methods. Clays Clay Miner. 2001, 49, 410–432. [Google Scholar] [CrossRef]
- Su, D.; Cheng, Y. Effect of carbon-based materials on ceramic matrix composites: A review. Mater. Sci. Eng. A 2016, 667, 48–53. [Google Scholar]
- Bui, Q.B.; Nguyen, H.T.; Sebaibi, N. Eco-friendly fired bricks using clay and waste coal dust: Thermal insulation and strength performance. Constr. Build. Mater. 2022, 320, 126215. [Google Scholar] [CrossRef]
- Wang, Y.S.; Zhang, H.; Park, K.B.; Eun, H.; Lin, R.; Wang, X.Y. Utilizing CO2-activated wollastonite to develop sustainable ternary composite material: CO2 utilization, performance evaluation, and mechanism analysis. Constr. Build. Mater. 2025, 492, 142973. [Google Scholar] [CrossRef]

















| Component | Range (wt.%) | Function |
|---|---|---|
| Clay loam | 60–65 | Primary binder, aluminosilicate matrix |
| Fly ash | 7–12 | Fine filler, improves microstructure and sintering |
| Pb–Zn dusts (furnace and cyclone) | 20–30 | Source of Fe-, Pb-, and Zn-bearing phases |
| Carbonaceous additive | ~3 | Internal fuel and pore-forming agent |
| Element | C | O | Na | Mg | Al | Si | K | Ca | Fe |
|---|---|---|---|---|---|---|---|---|---|
| wt.% | 14.8 | 46.73 | 1.17 | 1.67 | 6.66 | 19.27 | 1.86 | 4.32 | 3.53 |
| Brick Type | Compressive Strength, MPa | Water Absorption, % | Frost Resistance, Cycles | Pb (mg/L) | Zn (mg/L) |
|---|---|---|---|---|---|
| Lead furnace dust 20% | 3.12 | 32.49 | 15 cycles (higher structural stability) | 0.12 | 0.30 |
| Lead furnace dust 25% | 1.60 | 36.11 | 15 cycles (lower durability due to higher porosity) | 0.20 | 0.45 |
| Cyclone dust 20% | 2.61 | 34.72 | 15 cycles (good stability associated with higher density) | 0.08 | 0.25 |
| Cyclone dust 25% | 1.61 | 34.10 | 15 cycles (limited resistance due to reduced strength) | 0.15 | 0.40 |
Disclaimer/Publisher’s Note: The statements, opinions and data contained in all publications are solely those of the individual author(s) and contributor(s) and not of MDPI and/or the editor(s). MDPI and/or the editor(s) disclaim responsibility for any injury to people or property resulting from any ideas, methods, instructions or products referred to in the content. |
© 2025 by the authors. Licensee MDPI, Basel, Switzerland. This article is an open access article distributed under the terms and conditions of the Creative Commons Attribution (CC BY) license.
Share and Cite
Kengesbekov, A.; Sabitova, A.; Bayandinova, M.; Sharipkhan, Z.; Bexoltanova, D.; Mukhamediarov, N. Design and Characterization of Ceramic Bricks with Industrial Waste and Silica–Carbon-Based Additives. Buildings 2026, 16, 20. https://doi.org/10.3390/buildings16010020
Kengesbekov A, Sabitova A, Bayandinova M, Sharipkhan Z, Bexoltanova D, Mukhamediarov N. Design and Characterization of Ceramic Bricks with Industrial Waste and Silica–Carbon-Based Additives. Buildings. 2026; 16(1):20. https://doi.org/10.3390/buildings16010020
Chicago/Turabian StyleKengesbekov, Aidar, Alfira Sabitova, Moldir Bayandinova, Zhanna Sharipkhan, Diana Bexoltanova, and Nurlan Mukhamediarov. 2026. "Design and Characterization of Ceramic Bricks with Industrial Waste and Silica–Carbon-Based Additives" Buildings 16, no. 1: 20. https://doi.org/10.3390/buildings16010020
APA StyleKengesbekov, A., Sabitova, A., Bayandinova, M., Sharipkhan, Z., Bexoltanova, D., & Mukhamediarov, N. (2026). Design and Characterization of Ceramic Bricks with Industrial Waste and Silica–Carbon-Based Additives. Buildings, 16(1), 20. https://doi.org/10.3390/buildings16010020

