Sign in to use this feature.

Years

Between: -

Subjects

remove_circle_outline
remove_circle_outline
remove_circle_outline
remove_circle_outline
remove_circle_outline
remove_circle_outline
remove_circle_outline
remove_circle_outline
remove_circle_outline

Journals

remove_circle_outline
remove_circle_outline
remove_circle_outline
remove_circle_outline
remove_circle_outline

Article Types

Countries / Regions

remove_circle_outline
remove_circle_outline
remove_circle_outline
remove_circle_outline

Search Results (855)

Search Parameters:
Keywords = real-time electricity load

Order results
Result details
Results per page
Select all
Export citation of selected articles as:
49 pages, 6643 KB  
Article
Real-Time Energy Management of a Dual-Stack Fuel Cell Hybrid Electric Vehicle Based on a Commercial SUV Platform Using a CompactRIO Controller
by Mircea Raceanu, Nicu Bizon, Mariana Iliescu, Elena Carcadea, Adriana Marinoiu and Mihai Varlam
World Electr. Veh. J. 2026, 17(1), 8; https://doi.org/10.3390/wevj17010008 - 22 Dec 2025
Viewed by 57
Abstract
This study presents the design, real-time implementation, and full-scale experimental validation of a rule-based Energy Management Strategy (EMS) for a dual-stack Fuel Cell Hybrid Electric Vehicle (FCHEV) developed on a Jeep Wrangler platform. Unlike previous studies, predominantly focused on simulation-based analysis or single-stack [...] Read more.
This study presents the design, real-time implementation, and full-scale experimental validation of a rule-based Energy Management Strategy (EMS) for a dual-stack Fuel Cell Hybrid Electric Vehicle (FCHEV) developed on a Jeep Wrangler platform. Unlike previous studies, predominantly focused on simulation-based analysis or single-stack architectures, this work provides comprehensive vehicle-level experimental validation of a deterministic real-time EMS applied to a dual fuel cell system in an SUV-class vehicle. The control algorithm, deployed on a National Instruments CompactRIO embedded controller, ensures deterministic real-time energy distribution and stable hybrid operation under dynamic load conditions. Simulation analysis conducted over eight consecutive WLTC cycles shows that both fuel cell stacks operate predominantly within their optimal efficiency range (25–35 kW), achieving an average DC efficiency of 68% and a hydrogen consumption of 1.35 kg/100 km under idealized conditions. Experimental validation on the Wrangler FCHEV demonstrator yields a hydrogen consumption of 1.67 kg/100 km, corresponding to 1.03 kg/100 km·m2 after aerodynamic normalization (Cd·A = 1.624 m2), reflecting real-world operating constraints. The proposed EMS promotes fuel-cell durability by reducing current cycling amplitude and maintaining operation within high-efficiency regions for the majority of the driving cycle. By combining deterministic real-time embedded control with vehicle-level experimental validation, this work strengthens the link between EMS design and practical deployment and provides a scalable reference framework for future hydrogen powertrain control systems. Full article
Show Figures

Graphical abstract

19 pages, 3280 KB  
Article
Multi-Agent Reinforcement Learning for Sustainable Integration of Heterogeneous Resources in a Double-Sided Auction Market with Power Balance Incentive Mechanism
by Jian Huang, Ming Yang, Li Wang, Mingxing Mei, Jianfang Ye, Kejia Liu and Yaolong Bo
Sustainability 2026, 18(1), 141; https://doi.org/10.3390/su18010141 - 22 Dec 2025
Viewed by 88
Abstract
Traditional electricity market bidding typically focuses on unilateral structures, where independent energy storage units and flexible loads act merely as price takers. This reduces bidding motivation and weakens the balancing capability of regional power systems, thereby limiting the large-scale utilization of renewable energy. [...] Read more.
Traditional electricity market bidding typically focuses on unilateral structures, where independent energy storage units and flexible loads act merely as price takers. This reduces bidding motivation and weakens the balancing capability of regional power systems, thereby limiting the large-scale utilization of renewable energy. To address these challenges and support sustainable power system operation, this paper proposes a double-sided auction market strategy for heterogeneous multi-resource (HMR) participation based on multi-agent reinforcement learning (MARL). The framework explicitly considers the heterogeneous bidding and quantity reporting behaviors of renewable generation, flexible demand, and energy storage. An improved incentive mechanism is introduced to enhance real-time system power balance, thereby enabling higher renewable energy integration and reducing curtailment. To efficiently solve the market-clearing problem, an improved Multi-Agent Twin Delayed Deep Deterministic Policy Gradient (MATD3) algorithm is employed, along with a temporal-difference (TD) error-based prioritized experience replay mechanism to strengthen exploration. Case studies validate the effectiveness of the proposed approach in guiding heterogeneous resources toward cooperative bidding behaviors, improving market efficiency, and reinforcing the sustainable and resilient operation of future power systems. Full article
35 pages, 1707 KB  
Article
Hazard- and Fairness-Aware Evacuation with Grid-Interactive Energy Management: A Digital-Twin Controller for Life Safety and Sustainability
by Mansoor Alghamdi, Ahmad Abadleh, Sami Mnasri, Malek Alrashidi, Ibrahim S. Alkhazi, Abdullah Alghamdi and Saleh Albelwi
Sustainability 2026, 18(1), 133; https://doi.org/10.3390/su18010133 - 22 Dec 2025
Viewed by 89
Abstract
The paper introduces a real-time digital-twin controller that manages evacuation routes while operating GEEM for emergency energy management during building fires. The system consists of three interconnected parts which include (i) a physics-based hazard surrogate for short-term smoke and temperature field prediction from [...] Read more.
The paper introduces a real-time digital-twin controller that manages evacuation routes while operating GEEM for emergency energy management during building fires. The system consists of three interconnected parts which include (i) a physics-based hazard surrogate for short-term smoke and temperature field prediction from sensor data (ii), a router system that manages path updates for individual users and controls exposure and network congestion (iii), and an energy management system that regulates the exchange between PV power and battery storage and diesel fuel and grid electricity to preserve vital life-safety operations while reducing both power usage and environmental carbon output. The system operates through independent modules that function autonomously to preserve operational stability when sensors face delays or communication failures, and it meets Industry 5.0 requirements through its implementation of auditable policy controls for hazard penalties, fairness weight, and battery reserve floor settings. We evaluate the controller in co-simulation across multiple building layouts and feeder constraints. The proposed method achieves superior performance to existing AI/RL baselines because it reduces near-worst-case egress time (\(T_{95}\) and worst-case exposure) and decreases both event energy \(E_{\mathrm{event}}\) and CO2-equivalent \(CO_{\mathrm{2event}}\) while upholding all capacity, exposure cap, and grid import limit constraints. A high-VRE, tight-feeder stress test shows how reserve management, flexible-load shedding, and PV curtailment can achieve trade-offs between unserved critical load \(U_{\mathrm{energy}}\) and emissions. The team delivers implementation details together with reporting templates to assist researchers in reaching reproducibility goals. The research shows that emergency energy systems, which integrate evacuation systems, achieve better safety results and environmental advantages that enable smart-city integration through digital thread operations throughout design, commissioning, and operational stages. Full article
(This article belongs to the Special Issue Smart Grids and Sustainable Energy Networks)
29 pages, 8757 KB  
Article
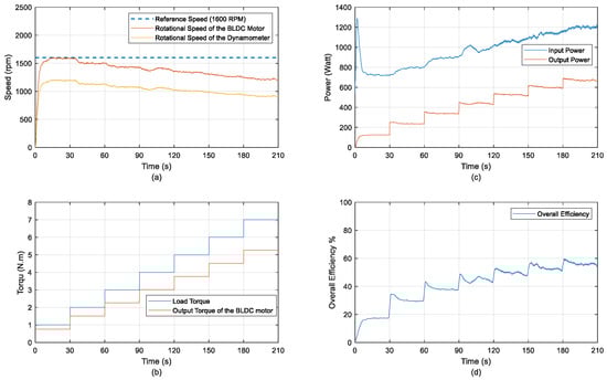
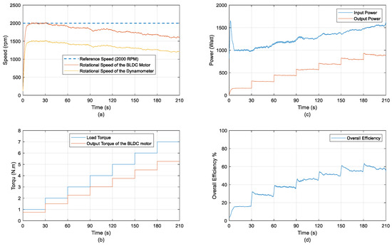
Experimental Investigation of Energy Efficiency, SOC Estimation, and Real-Time Speed Control of a 2.2 kW BLDC Motor with Planetary Gearbox Under Variable Load Conditions
by Ayman Ibrahim Abouseda, Reşat Doruk, Ali Emin and Jose Manuel Lopez-Guede
Energies 2026, 19(1), 36; https://doi.org/10.3390/en19010036 - 21 Dec 2025
Viewed by 93
Abstract
This study presents a comprehensive experimental investigation of a 2.2 kW brushless DC (BLDC) motor integrated with a three-shaft planetary gearbox, focusing on overall energy efficiency, battery state of charge (SOC) estimation, and real-time speed control under variable load conditions. In the first [...] Read more.
This study presents a comprehensive experimental investigation of a 2.2 kW brushless DC (BLDC) motor integrated with a three-shaft planetary gearbox, focusing on overall energy efficiency, battery state of charge (SOC) estimation, and real-time speed control under variable load conditions. In the first stage, the gearbox transmission ratio was experimentally verified to establish the kinematic relationship between the BLDC motor and the eddy current dynamometer shafts. In the second stage, the motor was operated in open loop mode at fixed reference speeds while variable load torques ranging from 1 to 7 N.m were applied using an AVL dynamometer. Electrical voltage, current, and rotational speed were measured in real time through precision transducers and a data acquisition interface, enabling computation of overall efficiency and SOC via the Coulomb counting method. The open loop results demonstrated that maximum efficiency occurred in the intermediate-to-high-speed region (2000 to 2800 rpm) and at higher load torques (5 to 7 N.m) while locking the third gearbox shaft produced negligible parasitic losses. In the third stage, a proportional–integral–derivative (PID) controller was implemented in closed loop configuration to regulate motor speed under the same variable load scenarios. The closed loop operation improved the overall efficiency by approximately 8–20 percentage points within the effective operating range of 1600–2500 rpm, reduced speed droop, and ensured precise tracking with minimal overshoot and steady-state error. The proposed methodology provides an integrated experimental framework for evaluating the dynamic performance, energy efficiency, and battery utilization of BLDC motor planetary gearbox systems, offering valuable insights for electric vehicle and hybrid electric vehicle (HEV) drive applications. Full article
Show Figures

Figure 1

27 pages, 3739 KB  
Article
Study on a Dual-Dimensional Compensation Mechanism and Bi-Level Optimization Approach for Real-Time Electric Vehicle Demand Response in Unified Build-and-Operate Communities
by Shuang Hao and Guoqiang Zu
World Electr. Veh. J. 2026, 17(1), 4; https://doi.org/10.3390/wevj17010004 - 19 Dec 2025
Viewed by 148
Abstract
With the rapid growth of residential electric vehicles, synchronized charging during peak periods can induce severe load ramping and exceed distribution network capacity limits. To mitigate these issues, governments have promoted a unified build-and-operate community model that enables centralized coordination of community charging [...] Read more.
With the rapid growth of residential electric vehicles, synchronized charging during peak periods can induce severe load ramping and exceed distribution network capacity limits. To mitigate these issues, governments have promoted a unified build-and-operate community model that enables centralized coordination of community charging and ensures real-time responsiveness to grid dispatch signals. Targeting this emerging operational paradigm, a dual-dimensional compensation mechanism for real-time electric vehicle (EV) demand response is proposed. The mechanism integrates two types of compensation: power regulation compensation, which rewards users for providing controllable power flexibility, and state-of-charge (SoC) loss compensation, which offsets energy deficits resulting from demand response actions. This dual-layer design enhances user willingness and long-term engagement in community-level coordination. Based on the proposed mechanism, a bi-level optimization framework is developed to realize efficient real-time regulation: the upper level maximizes the active response capacity under budget constraints, while the lower level minimizes the aggregator’s total compensation cost subject to user response behavior. Simulation results demonstrate that, compared with conventional fair-share curtailment and single-compensation approaches, the proposed mechanism effectively increases active user participation and reduces incentive expenditures. The study highlights the mechanism’s potential for practical deployment in unified build-and-operate communities and discusses limitations and future research directions. Full article
(This article belongs to the Section Charging Infrastructure and Grid Integration)
Show Figures

Figure 1

40 pages, 5487 KB  
Communication
Physics-Informed Temperature Prediction of Lithium-Ion Batteries Using Decomposition-Enhanced LSTM and BiLSTM Models
by Seyed Saeed Madani, Yasmin Shabeer, Michael Fowler, Satyam Panchal, Carlos Ziebert, Hicham Chaoui and François Allard
World Electr. Veh. J. 2026, 17(1), 2; https://doi.org/10.3390/wevj17010002 - 19 Dec 2025
Viewed by 231
Abstract
Accurately forecasting the operating temperature of lithium-ion batteries (LIBs) is essential for preventing thermal runaway, extending service life, and ensuring the safe operation of electric vehicles and stationary energy-storage systems. This work introduces a unified, physics-informed, and data-driven temperature-prediction framework that integrates mathematically [...] Read more.
Accurately forecasting the operating temperature of lithium-ion batteries (LIBs) is essential for preventing thermal runaway, extending service life, and ensuring the safe operation of electric vehicles and stationary energy-storage systems. This work introduces a unified, physics-informed, and data-driven temperature-prediction framework that integrates mathematically governed preprocessing, electrothermal decomposition, and sequential deep learning architectures. The methodology systematically applies the governing relations to convert raw temperature measurements into trend, seasonal, and residual components, thereby isolating long-term thermal accumulation, reversible entropy-driven oscillations, and irreversible resistive heating. These physically interpretable signatures serve as structured inputs to machine learning and deep learning models trained on temporally segmented temperature sequences. Among all evaluated predictors, the Bidirectional Long Short-Term Memory (BiLSTM) network achieved the highest prediction fidelity, yielding an RMSE of 0.018 °C, a 35.7% improvement over the conventional Long Short-Term Memory (LSTM) (RMSE = 0.028 °C) due to its ability to simultaneously encode forward and backward temporal dependencies inherent in cyclic electrochemical operation. While CatBoost exhibited the strongest performance among classical regressors (RMSE = 0.022 °C), outperforming Random Forest, Gradient Boosting, Support Vector Regression, XGBoost, and LightGBM, it remained inferior to BiLSTM because it lacks the capacity to represent bidirectional electrothermal dynamics. This performance hierarchy confirms that LIB thermal evolution is not dictated solely by historical load sequences; it also depends on forthcoming cycling patterns and entropic interactions, which unidirectional and memoryless models cannot capture. The resulting hybrid physics-data-driven framework provides a reliable surrogate for real-time LIB thermal estimation and can be directly embedded within BMS to enable proactive intervention strategies such as predictive cooling activation, current derating, and early detection of hazardous thermal conditions. By coupling physics-based decomposition with deep sequential learning, this study establishes a validated foundation for next-generation LIB thermal-management platforms and identifies a clear trajectory for future work extending the methodology to module- and pack-level systems suitable for industrial deployment. Full article
(This article belongs to the Section Vehicle Management)
Show Figures

Figure 1

31 pages, 1771 KB  
Article
Forecasting Energy Demand in Quicklime Manufacturing: A Data-Driven Approach
by Jersson X. Leon-Medina, John Erick Fonseca Gonzalez, Nataly Yohana Callejas Rodriguez, Mario Eduardo González Niño, Saúl Andrés Hernández Moreno, Wilman Alonso Pineda-Munoz, Claudia Patricia Siachoque Celys, Bernardo Umbarila Suarez and Francesc Pozo
Sensors 2025, 25(24), 7632; https://doi.org/10.3390/s25247632 - 16 Dec 2025
Viewed by 287
Abstract
This study presents a deep learning-based framework for forecasting energy demand in a quicklime production company, aiming to enhance operational efficiency and enable data-driven decision-making for industrial scalability. Using one year of real electricity consumption data, the methodology integrates temporal and operational variables—such [...] Read more.
This study presents a deep learning-based framework for forecasting energy demand in a quicklime production company, aiming to enhance operational efficiency and enable data-driven decision-making for industrial scalability. Using one year of real electricity consumption data, the methodology integrates temporal and operational variables—such as load profile, active power, shift indicators, and production-related proxies—to capture the dynamics of energy usage throughout the manufacturing process. Several neural network architectures, including Long Short-Term Memory (LSTM), Gated Recurrent Unit (GRU), and Conv1D models, were trained and compared to predict short-term power demand with 10-min resolution. Among these, the GRU model achieved the highest predictive accuracy, with a best performance of RMSE = 2.18 kW, MAE = 0.49 kW, and SMAPE = 3.64% on the test set. The resulting forecasts support cost-efficient scheduling under time-of-use tariffs and provide valuable insights for infrastructure planning, capacity management, and sustainability optimization in energy-intensive industries. Full article
(This article belongs to the Section Fault Diagnosis & Sensors)
Show Figures

Figure 1

21 pages, 7683 KB  
Article
Design and Optimization of an Inductive-Stub-Coupled CSRR for Non-Invasive Glucose Sensing
by Zaid A. Abdul Hassain, Malik J. Farhan, Taha A. Elwi and Iulia Andreea Mocanu
Sensors 2025, 25(24), 7592; https://doi.org/10.3390/s25247592 - 14 Dec 2025
Viewed by 240
Abstract
This paper presents a high-sensitivity microwave sensor based on a modified Complementary Split Ring Resonator (CSRR) architecture, integrated with inductive stubs, for non-invasive blood glucose monitoring. The proposed sensor is designed to enhance the electric field localization and coupling efficiency by introducing inductive [...] Read more.
This paper presents a high-sensitivity microwave sensor based on a modified Complementary Split Ring Resonator (CSRR) architecture, integrated with inductive stubs, for non-invasive blood glucose monitoring. The proposed sensor is designed to enhance the electric field localization and coupling efficiency by introducing inductive elements that strengthen the perturbation effect caused by glucose concentration changes in the blood. Numerical simulations were conducted using a multilayer finger model to evaluate the sensor’s performance under various glucose levels ranging from 0 to 500 mg/dL. The modified sensor exhibits dual-resonance characteristics and outperforms the conventional CSRR in both frequency and amplitude sensitivity. At an optimized stub gap of 2 mm, which effectively minimizes the capacitive coupling effect of the transmission line and thereby improves the quality factor, the sensor achieves a frequency shift sensitivity of 0.086 MHz/mg/dL and an amplitude sensitivity of 0.02 dB/mg/dL, compared to 0.032 MHz/mg/dL and 0.0116 dB/mg/dL observed in the standard CSRR structure. This confirms a significant enhancement in sensing performance and field confinement due to the optimized inductive loading. These results represent significant enhancements of approximately 168% and 72%, respectively. With its compact design, increased sensitivity, and potential for wearable implementation, the proposed sensor offers a promising platform for continuous, real-time, and non-invasive glucose monitoring in biomedical applications. Full article
(This article belongs to the Section Biosensors)
Show Figures

Figure 1

31 pages, 6164 KB  
Article
Sustainable Optimization of Residential Electricity Consumption Using Predictive Modeling and Non-Intrusive Load Monitoring
by Nashitah Alwaz, Muhammad Mehran Bashir, Attique Ur Rehman, Israr Ullah and Micheal Galea
Sustainability 2025, 17(24), 11193; https://doi.org/10.3390/su172411193 - 14 Dec 2025
Viewed by 314
Abstract
To ensure reliable, efficient and sustainable operation of modern power networks, accurate load forecasting is an important task in system planning and control. It is also a crucial task for the efficient operation of smart grids to maintain a balance between load shifting, [...] Read more.
To ensure reliable, efficient and sustainable operation of modern power networks, accurate load forecasting is an important task in system planning and control. It is also a crucial task for the efficient operation of smart grids to maintain a balance between load shifting, load management and power dispatch. In this regard, this research study aims to investigate the efficiency of various machine learning models for whole-house energy consumption prediction and appliance-level load disaggregation using Non-Intrusive Load Monitoring (NILM). The primary objective is to determine which model offers the most accurate forecasts for both individual appliance consumption patterns and the total amount of energy used by the household. The empirical study presents comparative performance analysis of machine learning models, i.e., Random Forest, Decision Tree, K-Nearest Neighbors (KNN), Extreme Gradient Boosting (XGBoost), Gradient Boosting and Support Vector Regressor (SVR) for load forecasting and load disaggregation. This research is conducted on PRECON: Pakistan Residential Electricity Dataset consisting of 42 Pakistani households. The dataset was recorded originally as one minute per sample, but the proposed study aggregated it to hourly samples to evaluate models’ alignment with the typical sampling rate of smart meters in Pakistan. It enables the models to more accurately depict implementation scenarios in real-world settings. The statistical measures MAE, MSE, RMSE and R2 have been employed for performance evaluation. The proposed Random Forest algorithm out-performs all other employed models, with the lowest error values (MAE: 0.1316, MSE: 0.0367, RMSE: 0.1916) and the highest R2 score of 0.9865. Furthermore, for detecting appliance events from aggregate power data, ensemble models such as Random Forest performed better than other models for ON/OFF prediction. To evaluate the suitability of machine learning models for real-time, appliance-level energy forecasting using Non-Intrusive Load Monitoring (NILM), this study presents a novel evaluation framework that combines learning speed and edge adaptability with conventional performance metrics (e.g., R2, MAE). This paper introduces a NILM-based approach for load forecasting and appliance-level ON/OFF prediction, representing its capacity to improve residential energy efficiency and encourage sustainable energy consumption, while emphasizing operational metrics for implementation in embedded smart grid systems—an area mainly neglected in prior NILM-based research articles. The results provide useful information for improving demand-side energy management, facilitating more effective load disaggregation, and maximizing the energy efficiency and responsiveness of smart grids. Full article
(This article belongs to the Section Energy Sustainability)
Show Figures

Figure 1

19 pages, 2424 KB  
Article
A Multi-Time Scale Optimal Dispatch Strategy for Green Ammonia Production Using Wind–Solar Hydrogen Under Renewable Energy Fluctuations
by Yong Zheng, Shaofei Zhu, Dexue Yang, Jianpeng Li, Fengwei Rong, Xu Ji and Ge He
Energies 2025, 18(24), 6518; https://doi.org/10.3390/en18246518 - 12 Dec 2025
Viewed by 315
Abstract
This paper develops an optimal dispatch model for an integrated wind–solar hydrogen-to-ammonia system to address the mismatch between renewable-energy fluctuations and chemical production loads. The model incorporates renewable variability, electrolyzer dynamics, hydrogen-storage regulation, and ammonia-synthesis load constraints, and is solved using a multi-time-scale [...] Read more.
This paper develops an optimal dispatch model for an integrated wind–solar hydrogen-to-ammonia system to address the mismatch between renewable-energy fluctuations and chemical production loads. The model incorporates renewable variability, electrolyzer dynamics, hydrogen-storage regulation, and ammonia-synthesis load constraints, and is solved using a multi-time-scale MILP framework. An efficiency-priority power allocation strategy is further introduced to account for performance differences among electrolyzers. Using real wind–solar output data, a 72-h case study compares three operational schemes: the Balanced Scheme, the Steady-State Scheme, and the Following Scheme. The proposed Balanced Scheme reduces renewable curtailment to 2.4%, lowers ammonia load fluctuations relative to the Following Scheme, and decreases electricity consumption per ton of ammonia by 19.4% compared with the Steady-State Scheme. These results demonstrate that the integrated dispatch model and electrolyzer-cluster control strategy enhance system flexibility, energy efficiency, and overall economic performance in renewable-powered ammonia production. Full article
(This article belongs to the Special Issue Advances in Green Hydrogen Production Technologies)
Show Figures

Figure 1

28 pages, 3992 KB  
Article
Stochastic Optimization of Real-Time Dynamic Pricing for Microgrids with Renewable Energy and Demand Response
by Edwin García, Milton Ruiz and Alexander Aguila
Energies 2025, 18(24), 6484; https://doi.org/10.3390/en18246484 - 11 Dec 2025
Viewed by 313
Abstract
This paper presents a comprehensive framework for real-time energy management in microgrids integrating distributed renewable energy sources and demand response (DR) programs. To address the inherent uncertainties in key operational variables—such as load demand, wind speed, solar irradiance, and electricity market prices—this study [...] Read more.
This paper presents a comprehensive framework for real-time energy management in microgrids integrating distributed renewable energy sources and demand response (DR) programs. To address the inherent uncertainties in key operational variables—such as load demand, wind speed, solar irradiance, and electricity market prices—this study employs a probabilistic modeling approach. A two-stage stochastic optimization method, combining mixed-integer linear programming and optimal power flow (OPF), is developed to minimize operational costs while ensuring efficient system operation. Real-time dynamic pricing mechanisms are incorporated to incentivize consumer load shifting and promote energy-efficient consumption patterns. Three microgrid scenarios are analyzed using one year of real historical data: (i) a grid-connected microgrid without DR, (ii) a grid-connected microgrid with 10% and 20% DR-based load shifting, and (iii) an islanded microgrid operating under incentive-based DR contracts. Results demonstrate that incorporating DR strategies significantly reduces both operating costs and reliance on grid imports, especially during peak demand periods. The islanded scenario, while autonomous, incurs higher costs and highlights the challenges of self-sufficiency under uncertainty. Overall, the proposed model illustrates how the integration of real-time pricing with stochastic optimization enhances the flexibility, resilience, and cost-effectiveness of smart microgrid operations, offering actionable insights for the development of future grid-interactive energy systems. Full article
Show Figures

Figure 1

18 pages, 2272 KB  
Article
Energy Consumption Modeling and Elastic Space Computation of Data Centers Considering Spatiotemporal Transfer Flexibility
by Shuting Chen, Sen Xu, Yajie Li, Gang Liang, Mengnan Ma, Junhan Jiang and Wei Lin
Energies 2025, 18(24), 6449; https://doi.org/10.3390/en18246449 - 9 Dec 2025
Viewed by 219
Abstract
With the rapid expansion of data centers and the growing demand for cloud computing, their share in total electricity consumption has surged, making them a major high-power load in power systems. Consequently, accurately modeling their energy consumption and quantifying the feasible region have [...] Read more.
With the rapid expansion of data centers and the growing demand for cloud computing, their share in total electricity consumption has surged, making them a major high-power load in power systems. Consequently, accurately modeling their energy consumption and quantifying the feasible region have become critical research challenge. Existing studies have focused on energy consumption models for single data centers and single time periods, while limited attention has been given to multi-data centers energy optimization that considers spatiotemporal workload migration. This paper presents an energy consumption model for multi-data centers that accounts for the spatiotemporal transfer flexibility of delay-tolerant workloads. By enabling task migration across data centers (spatial dimension) and workload deferral within each center (temporal dimension), the model dynamically adjusts the operational states of IT equipment to minimize overall system operating costs while satisfying computational demands. To address the computational challenges caused by the large number of integer variables, the sliding window method and equipment aggregation method are employed to ensure the model can be efficiently solved. To further capture the flexibility of data center energy consumption, a method for computing the energy consumption elasticity space is proposed based on multi-parametric programming. This elasticity space characterizes the feasible range of energy consumption under operational constraints and provides boundary conditions for power system dispatch optimization. Simulation studies using real operational data from a large-scale Internet enterprise show that the proposed model reduces the total operational cost by approximately 3.4% compared to the baseline model without flexibility, decreases the frequency of IT equipment state transitions, and enhances the flexibility of data centers in supporting power system supply-demand balance and renewable energy integration. Full article
Show Figures

Figure 1

21 pages, 3248 KB  
Article
A Convolutional Sparse Periodic Transformer Network for Electric Vehicle Charging Demand Forecasting
by Lingxia Shi, Xu Lei and Ruinian Gao
Appl. Sci. 2025, 15(24), 12982; https://doi.org/10.3390/app152412982 - 9 Dec 2025
Viewed by 150
Abstract
Electric vehicle (EV) charging behavior exhibits strong spatio-temporal randomness, often leading to transient peak loads and an elevated risk of distribution network overloads. In addition, existing prediction models still face challenges in achieving high accuracy, computational efficiency, and effective modeling of multi-level periodic [...] Read more.
Electric vehicle (EV) charging behavior exhibits strong spatio-temporal randomness, often leading to transient peak loads and an elevated risk of distribution network overloads. In addition, existing prediction models still face challenges in achieving high accuracy, computational efficiency, and effective modeling of multi-level periodic patterns. To address these issues, this study proposes a novel architecture termed the Convolutional Sparse Periodic Transformer Network (CSPT-Net). At the front end of the architecture, the model incorporates a one-dimensional convolutional neural network (1D-CNN) to efficiently capture local temporal features. To improve computational efficiency, the traditional global attention mechanism is replaced with a sparse attention module. Furthermore, a customized periodic time-encoding module is designed to explicitly represent multi-scale temporal regularities such as daily, weekly, and holiday cycles. Extensive experiments on a large-scale dataset containing more than 70,000 real-world charging records demonstrate that CSPT-Net achieves state-of-the-art performance across all evaluation metrics. Specifically, CSPT-Net reduces the Mean Absolute Error (MAE) to 12.21 min and enhances training efficiency by over 58% compared with the standard Transformer baseline. These results confirm that CSPT-Net effectively balances predictive accuracy and computational efficiency while demonstrating superior robustness and generalization in complex real-world environments. Consequently, the proposed framework offers a reliable and high-performance data-driven foundation for power grid load management and charging infrastructure planning. Full article
Show Figures

Figure 1

31 pages, 6117 KB  
Article
Research on Time–Frequency Domain Characteristics Analysis of Fault Arc Under Different Connection Methods
by Siyuan Zeng, Lei Lei, Gang Tian, Yimin Li and Jianhua Wang
Electronics 2025, 14(24), 4840; https://doi.org/10.3390/electronics14244840 - 8 Dec 2025
Viewed by 227
Abstract
Arc fault detection is a key technology for preventing electrical fires. However, existing research has primarily focused on series connections, with insufficient attention paid to parallel load conditions, which are prevalent in real-world residential electricity usage. In accordance with the UL 1699 and [...] Read more.
Arc fault detection is a key technology for preventing electrical fires. However, existing research has primarily focused on series connections, with insufficient attention paid to parallel load conditions, which are prevalent in real-world residential electricity usage. In accordance with the UL 1699 and IEC 62606 standards, this study established an experimental platform for arc faults, incorporating seven single loads (categorized into four types) and nine multi-load combinations. A systematic analysis of the differences in time–frequency characteristics under different connection modes was conducted. Time-domain and frequency-domain analyses revealed that under parallel connection the dispersion of arc fault time-domain characteristics decreases by more than 50% and the fundamental frequency component increases significantly. For parallel multi-load scenarios, the fundamental component of resistive combinations can reach 90%, while the frequency variance of inductive combinations can be as high as 400,000. By elucidating the time–frequency domain characteristics of parallel arc faults, this study proposes an optimized feature parameter analysis scheme for electrical fire monitoring systems. Based on this, this paper proposes an arc fault detection method using the Dual-Channel Convolutional Neural Network (DCNN). The method achieves 97.09% recognition accuracy for arc faults with different connection modes. Comparative experiments with other models and ablation studies show that the model attains 98.52% detection accuracy, verifying the effectiveness of the proposed method. This approach can significantly improve the accuracy of arc fault detection in multi-load environments, thereby enabling early warning of electrical circuit faults and potential fire hazards. Full article
Show Figures

Figure 1

25 pages, 3692 KB  
Article
Design and Simulation of Suspension Leveling System for Small Agricultural Machinery in Hilly and Mountainous Areas
by Peng Huang, Qiang Luo, Quan Liu, Yao Peng, Shijie Zheng and Jiukun Liu
Sensors 2025, 25(24), 7447; https://doi.org/10.3390/s25247447 - 7 Dec 2025
Viewed by 316
Abstract
To address issues such as chassis attitude deviation, reduced operational efficiency, and diminished precision when agricultural machinery operates in complex terrains—including steep slopes and fragmented plots in hilly and mountainous regions—a servo electric cylinder-based active suspension levelling system has been designed. Real-time dynamic [...] Read more.
To address issues such as chassis attitude deviation, reduced operational efficiency, and diminished precision when agricultural machinery operates in complex terrains—including steep slopes and fragmented plots in hilly and mountainous regions—a servo electric cylinder-based active suspension levelling system has been designed. Real-time dynamic control is achieved through a fuzzy PID algorithm. Firstly, the suspension’s mechanical structure and key parameters were determined, employing a ‘servo electric cylinder-spring-shock absorber series’ configuration to achieve load support and passive vibration damping. Secondly, a kinematic and dynamic model of the quarter-link suspension was established. Finally, Simulink simulations were conducted to model the agricultural machinery traversing mountainous, uneven terrain at segmented stable operating speeds, thereby validating the suspension’s control performance. Simulation results demonstrate that the system maintains chassis height error within ±0.05 m, chassis height change rate within ±0.2 m/s, and response time ≤ 0.8 s. It rapidly and effectively counteracts terrain disturbances, achieving precise chassis height control. This provides theoretical support for designing whole-vehicle levelling systems for small agricultural machinery in hilly and mountainous terrains. Full article
(This article belongs to the Section Smart Agriculture)
Show Figures

Figure 1

Back to TopTop