Design and Optimization of an Inductive-Stub-Coupled CSRR for Non-Invasive Glucose Sensing
Abstract
1. Introduction
2. Conventional CSRR Microwave Glucose Biosensor
3. CSRRs Based Microwave Sensor Design
3.1. Proposed Sensor Configuration and Features
3.2. Finger Phantom Modeling and Glucose Concentration Assessment
3.3. Numerical Evaluation
4. Coupling Theory and Sensitivity Enhancement
4.1. Inductive-Stub-Coupled CSRR Microwave Sensor for Non-Invasive Glucose Monitoring
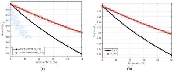
4.2. Sensitivity Analysis of Modified Inductive-Stub-Coupled CSRR Microwave Sensor
5. Conclusions
Author Contributions
Funding
Institutional Review Board Statement
Informed Consent Statement
Data Availability Statement
Conflicts of Interest
References
- Lakhera, P.; Singh, S.; Mehla, R.; Chaudhary, V.; Kumar, P.; Kumar, S. Boronic acid decorated graphene nano flakes for glucose sensing in diabetes: A DFT prediction. IEEE Sens. J. 2022, 22, 7572–7579. [Google Scholar] [CrossRef]
- Ye, Z.; Wang, J.; Hua, H.; Zhou, X.; Li, Q. Precise detection and quantitative prediction of blood glucose level with an electronic nose system. IEEE Sens. J. 2022, 22, 12452–12459. [Google Scholar] [CrossRef]
- Yao, H.; Shum, A.J.; Cowan, M.; Lähdesmäki, I.; Parviz, B.A. A contact lens with embedded sensor for monitoring tear glucose level. Biosens. Bioelectron. 2011, 26, 3290–3296. [Google Scholar] [CrossRef] [PubMed]
- Peng, B.; Lu, J.; Balijepalli, A.S.; Major, T.C.; Cohan, B.E.; Meyerhoff, M.E. Evaluation of enzyme-based tear glucose electrochemical sensors over a wide range of blood glucose concentrations. Biosens. Bioelectron. 2013, 49, 204–209. [Google Scholar] [CrossRef]
- Comer, J.P. Semiquantitative specific test paper for glucose in urine. Anal. Chem. 1956, 28, 1748–1750. [Google Scholar] [CrossRef]
- Paul, B.; Manuel, M.P.; Alex, Z.C. Design and development of non-invasive glucose measurement system. In Proceedings of the 2012 1st International Symposium on Physics and Technology of Sensors (ISPTS-1), Pune, India, 7–10 March 2012. [Google Scholar]
- Kandwal, A.; Liu, L.W.; Igbe, T.; Li, J.; Liu, Y.; Das, R.; Kanaujia, B.K.; Wang, L.; Nie, Z. A novel method of using bifilar spiral resonator for designing thin robust flexible glucose sensors. IEEE Trans. Instrum. Meas. 2021, 70, 1–10. [Google Scholar] [CrossRef]
- Kandwal, A.; Li, J.; Igbe, T.; Liu, Y.; Das, R.; Kanaujia, B.K.; Nie, Z. Young’s double slit method-based higher order mode surface plasmon microwave antenna sensor: Modeling, measurements, and application. IEEE Trans. Instrum. Meas. 2022, 71, 1–11. [Google Scholar] [CrossRef]
- Navaei, M.; Rezaei, P.; Kiani, S. Measurement of low-loss aqueous solutions permittivity with high detection accuracy by a contact and free label resonance microwave sensor. Int. J. Commun. Syst. 2023, 36, e5417. [Google Scholar] [CrossRef]
- Kim, J.; Babajanyan, A.; Hovsepyan, A.; Lee, K.; Friedman, B. Microwave dielectric resonator biosensor for aqueous glucose solution. Rev. Sci. Instrum. 2008, 79, 2–5. [Google Scholar] [CrossRef]
- Dobson, R.; Wu, R.; Callaghan, P. Blood glucose monitoring using microwave cavity perturbation. Electron. Lett. 2012, 48, 905–906. [Google Scholar] [CrossRef]
- Wiwatwithaya, S.; Phasukkit, P.; Tungjitkusolmun, S.; Wongtrairat, W. Real-time monitoring glucose by using microwave antenna applied to biosensor. In Proceedings of the 4th Biomedical Engineering International Conference (BMEiCON), Chiang Mai, Thailand, 29–31 January 2012; pp. 1–4. [Google Scholar]
- Hofmann, M.; Bloss, M.; Weigel, R.; Fischer, G.; Kissinger, D. Non-invasive glucose monitoring using open electromagnetic waveguides. In Proceedings of the 42nd European Microwave Conference, Amsterdam, The Netherlands, 29 October–1 November 2012; pp. 1–4. [Google Scholar]
- Govind, G.; Akhtar, M.J. Metamaterial-inspired microwave microfluidic sensor for glucose monitoring in aqueous solutions. IEEE Sens. J. 2019, 19, 11900–11907. [Google Scholar] [CrossRef]
- Zhou, Z.; Wei, Z.; Tang, Z.; Yin, Y. Design and analysis of a wideband multiple-microstrip dipole antenna with high isolation. IEEE Antennas Wirel. Propag. Lett. 2019, 18, 722–726. [Google Scholar] [CrossRef]
- Alqadami, A.S.; Sharawi, M.S. Wideband Antenna-Sensor System for Dielectric Characterization of Liquids with Application to Glucose Monitoring. IEEE Sens. J. 2024, 24, 1400–1411. [Google Scholar]
- Kim, S.; Melikyan, H.; Kim, J.; Babajanyan, A.; Lee, J.H.; Enkhtur, L.; Friedman, B.; Lee, K. Noninvasive in vitro measurement of pig-blood D-glucose by using a microwave cavity sensor. Diabetes Res. Clin. Pract. 2012, 96, 379–384. [Google Scholar] [CrossRef]
- Costanzo, S.; Cuccaro, A.; Dell’Aversano, A.; Buonanno, G.; Solimene, R. Microwave biomedical sensors with stable response: Basic idea and preliminary numerical assessments for blood glucose monitoring. IEEE Access 2023, 11, 99058–99069. [Google Scholar] [CrossRef]
- Costanzo, S.; Cioffi, V.; Raffo Costanzo, A. Complex permittivity effect on the performances of non-invasive microwave blood glucose sensing: Enhanced model and preliminary results. In Trends and Advances in Information Systems and Technologies; Springer: Cham, Switzerland, 2018; pp. 1–10. [Google Scholar]
- Gabriel, C.; Gabriel, S.; Corthout, E. The dielectric properties of biological tissues: III. Parametric models for the dielectric spectrum of tissues. Phys. Med. Biol. 1996, 41, 2271–2293. [Google Scholar] [CrossRef]
- Morshidi, W.H.W.; Zaharudin, Z.; Khan, S.; Nordin, A.N.; Shaikh, F.A.; Adam, I. Inter-digital sensor for non-invasive blood glucose monitoring. In Proceedings of the IEEE International Conference on Innovative Research and Development (ICIRD), Bangkok, Thailand, 11–12 May 2018; pp. 1–5. [Google Scholar]
- Marzouk, H.M.; Abd El-Hameed, A.S.; Allam, A.; Pokharel, R.K.; Abdel-Rahman, A.B. Comprehensive System for Noninvasive Glucose Monitoring Utilizing a Rectangular Dielectric Resonator Microwave Sensor. IEEE Trans. Instrum. Meas. 2025, 74, 1–13. [Google Scholar] [CrossRef]
- Solimene, R.; Cuccaro, A.; Dell’Aversano, A.; Maisto, M.A. Resonant modified patch sensor for noninvasive blood glucose monitoring. In Proceedings of the IEEE Conference on Antenna Measurements and Applications (CAMA), Guangzhou, China, 5 January 2023; pp. 1–4. [Google Scholar]
- Elangovan, S.; Raj, R.G.; Vethaprasath, M.; Mahendran, K. Design and analyzing of hexagon-shaped microstrip patch antenna for biomedical applications. In Proceedings of the International Conference on Computer Communication and Informatics (ICCCI), Coimbatore, India, 23–25 January 2023; pp. 1–5. [Google Scholar]
- Yadav, R.K.; Kishor, J.; Yadava, R.L. Design of hexagonal patch antenna for mobile wireless system. Int. J. Sci. Technol. Manag. 2011, 2, 34–38. [Google Scholar]
- Singh, K.; Patil, S.; Naik, A.; Kadam, S. Hexagonal microstrip patch antenna design for UWB application. In Proceedings of the International Conference on Automation, Computing and Communication, Nerul, India, 7–8 April 2022; pp. 1–4. [Google Scholar]
- Falcone, F.; Lopetegi, T.; Laso, M.A.; Baena, J.D.; Bonache, J.; Beruete, M.; Marqués, R.; Martín, F.; Sorolla, M. Babinet Principle Applied to the Design of Metasurfaces and Metamaterials. Phys. Rev. Lett. 2004, 93, 197401. [Google Scholar] [CrossRef]
- Bonache, J.; Gil, M.; García-García, J.; Martín, F. Novel Microstrip Bandpass Filters Based on Complementary Split-Ring Resonators. IEEE Trans. Microw. Theory Tech. 2006, 54, 265–271. [Google Scholar] [CrossRef]
- Serebryannikov, A.E.; Beruete, M.; Mutlu, M.; Ozbay, E. Multiband One-Way Polarization Conversion in Complementary Split-Ring Resonator-Based Structures by Combining Chirality and Tunneling. Opt. Express 2015, 23, 13517–13529. [Google Scholar] [CrossRef]
- Khan, M.S.; Capobianco, A.-D.; Asif, S.M.; Anagnostou, D.E.; Shubair, R.M.; Braaten, B.D. A Compact CSRR-Enabled UWB Diversity Antenna. IEEE Antennas Wirel. Propag. Lett. 2016, 16, 808–812. [Google Scholar] [CrossRef]
- Gupta, R.; Vaish, A.; Dev, A. Design of hexagonal microstrip patch antenna for bandwidth enhancement and miniaturization. Int. J. Tech. Res. Sci. 2020, 3, 1–8. [Google Scholar] [CrossRef] [PubMed]
- Rathod, K.; Raskar, S.; Gamit, S.; Deshpande, S. Design of hexagonal ring wearable textile antenna using polyester for early bone health detection. Procedia Comput. Sci. 2023, 230, 946–954. [Google Scholar] [CrossRef]
- Ansari, J.A.; Ram, R.B.; Dubey, S.K.; Singh, P. A frequency agile stacked annular ring microstrip antenna using a Gunn diode. Smart Mater. Struct. 2008, 17, 2040. [Google Scholar] [CrossRef]
- Asachi, G. Annular-ring microstrip patch antennas. Bull. Polytech. Inst. Iaşi 2017, 63, 57–70. [Google Scholar]
- Abdolrazzaghi, M.; Katchinskiy, N.; Elezzabi, A.Y.; Light, P.E.; Daneshmand, M. Noninvasive glucose sensing in aqueous solutions using an active split-ring resonator. IEEE Sens. J. 2021, 21, 18742–18755. [Google Scholar] [CrossRef]
- Hasan, M.N.; Tamanna, S.; Singh, P.; Nadeem, M.D.; Rudramuni, M. Cylindrical dielectric resonator antenna sensor for non-invasive glucose sensing application. In Proceedings of the 6th International Conference on Signal Processing and Integrated Networks (SPIN), Noida, India, 7–8 March 2019; pp. 1–5. [Google Scholar]
- Mondal, D.; Tiwari, N.K.; Akhtar, M.J. Microwave assisted non-invasive microfluidic biosensor for monitoring glucose concentration. In Proceedings of the IEEE SENSORS, New Delhi, India, 28–31 October 2018; pp. 1–4. [Google Scholar]
- Kumar, A.; Wang, C.; Meng, F.-Y.; Zhou, Z.-L.; Zhao, M.; Yan, G.-F.; Kim, E.-S.; Kim, N.-Y. High-sensitivity, quantified, linear and mediator-free resonator-based microwave biosensor for glucose detection. Sensors 2020, 20, 4024. [Google Scholar] [CrossRef]
- Cebedio, M.C.; Rabioglio, L.A.; Gelosi, I.E.; Ribas, R.A.; Uriz, A.J.; Moreira, J.C. Analysis and design of a microwave coplanar sensor for non-invasive blood glucose measurements. IEEE Sens. J. 2020, 20, 10572–10581. [Google Scholar] [CrossRef]
- Jang, C.; Park, J.-K.; Lee, H.-J.; Yun, G.-H. Temperature-corrected fluidic glucose sensor based. Sensors 2018, 18, 3850. [Google Scholar] [CrossRef]
- Ebrahimi, A.; Scott, J.; Ghorbani, K. Microwave reflective biosensor for glucose level detection in aqueous solutions. Sens. Actuators A Phys. 2020, 301, 111738. [Google Scholar] [CrossRef]
- Odabashyan, L.; Babajanyan, A.; Baghdasaryan, Z.; Kim, S.; Kim, J.; Friedman, B.; Lee, J.-H.; Lee, K. Real-time noninvasive measurement of glucose concentration using a modified Hilbert shaped microwave sensor. Sensors 2019, 19, 5525. [Google Scholar] [CrossRef]
- Saha, S.; Cano-Garcia, H.; Sotiriou, I.; Lipscombe, O.; Gouzouasis, I.; Koutsoupidou, M.; Palikaras, G.; Mackenzie, R.; Reeve, T.; Kosmas, P.; et al. A glucose sensing system based on transmission measurements at millimetre waves using microstrip patch antennas. Sci. Rep. 2017, 7, 6855. [Google Scholar] [CrossRef]





















| Cell Parameter | Ls | Ws | R1 | R2 | h | w | |
|---|---|---|---|---|---|---|---|
| Dimension (mm) | 30 | 20 | 5.34 | 4.47 | 7 | 1.6 | 0.76 |
| Lumped Elements Value | LL (nH) | CL (pF) | Lr (nH) | Cr (pF) |
|---|---|---|---|---|
| Dimension (mm) | 2.9095 | 1.125 | 1.752 | 1.95 |
| Parameter | Ls | Ws | R1 | w | h | g | D | t | |
|---|---|---|---|---|---|---|---|---|---|
| Dimension (mm) | 70 | 20 | 5.34 | 0.76 | 7 | 1.6 | 0.16 | 17 | 0.035 |
| Phantom Layer | εr | σ (s/m) | Thickness (mm) |
|---|---|---|---|
| Skin | 38–43 | 1.5–1.75 | 1.5 |
| Fat | 5.13–5.45 | 0.1–0.32 | 1 |
| Blood | 58–61 | 1.9–2.1 | 1 |
| Muscle | 48–52 | 1.6–1.7 | 2.5 |
| Bone | 9–10.8 | 1.65–1.75 | 3 |
| Stub Gap Dimension | D = 1.5 mm | D = 2 mm | ||
|---|---|---|---|---|
| Frequency Band | 1st f = 2.3 GHz | 2nd 2.7 GHz | 1st f = 2.3 GHz | 2nd 2.75 GHz |
| Sensitive Parameter | ||||
| Sensitivity | 0.036 MHz/mg/dL | 0.086 MHz/mg/dL | ||
| Reference | Technology | Operating Frequency (GHz) | Sensitivity |
|---|---|---|---|
| [37] | Active Split-Ring Resonator | 1.1315 | 0.24 kHz/mMol/L ≈ 0.0043 MHz/mg/dL |
| [38] | Dielectric Resonator | 4.7 | 0.002 MHz/mg/dL |
| [39] | Double split ring resonator | 1.4 | 3.287 kHz per mmol/L ≈ 0.0655 MHz/mg/dL |
| [40] | Linear and Mediator-Free Resonator | 1.5 | 0.0049 dB/mg/dL |
| [41] | CSRR resonator | 2.95 | 0.0003 dB/mg/mL |
| [42] | Open-ended microstrip Transmission line loaded with CSRR | 2.5 | 0.005 dB/mg/mL |
| [43] | Millimeter Waves using Microstrip Patch Antennas | 60 | 0.65 × 10−3 dB/mg/dL |
| This work | Modified Inductive-Stub-Coupled CSRR | 2.3 | 0.086 MHz/mg/dL 0.02 dB/mg/dL |
Disclaimer/Publisher’s Note: The statements, opinions and data contained in all publications are solely those of the individual author(s) and contributor(s) and not of MDPI and/or the editor(s). MDPI and/or the editor(s) disclaim responsibility for any injury to people or property resulting from any ideas, methods, instructions or products referred to in the content. |
© 2025 by the authors. Licensee MDPI, Basel, Switzerland. This article is an open access article distributed under the terms and conditions of the Creative Commons Attribution (CC BY) license (https://creativecommons.org/licenses/by/4.0/).
Share and Cite
Hassain, Z.A.A.; Farhan, M.J.; Elwi, T.A.; Mocanu, I.A. Design and Optimization of an Inductive-Stub-Coupled CSRR for Non-Invasive Glucose Sensing. Sensors 2025, 25, 7592. https://doi.org/10.3390/s25247592
Hassain ZAA, Farhan MJ, Elwi TA, Mocanu IA. Design and Optimization of an Inductive-Stub-Coupled CSRR for Non-Invasive Glucose Sensing. Sensors. 2025; 25(24):7592. https://doi.org/10.3390/s25247592
Chicago/Turabian StyleHassain, Zaid A. Abdul, Malik J. Farhan, Taha A. Elwi, and Iulia Andreea Mocanu. 2025. "Design and Optimization of an Inductive-Stub-Coupled CSRR for Non-Invasive Glucose Sensing" Sensors 25, no. 24: 7592. https://doi.org/10.3390/s25247592
APA StyleHassain, Z. A. A., Farhan, M. J., Elwi, T. A., & Mocanu, I. A. (2025). Design and Optimization of an Inductive-Stub-Coupled CSRR for Non-Invasive Glucose Sensing. Sensors, 25(24), 7592. https://doi.org/10.3390/s25247592

