Sign in to use this feature.

Years

Between: -

Subjects

remove_circle_outline
remove_circle_outline
remove_circle_outline
remove_circle_outline
remove_circle_outline
remove_circle_outline
remove_circle_outline
remove_circle_outline
remove_circle_outline

Journals

remove_circle_outline
remove_circle_outline
remove_circle_outline
remove_circle_outline
remove_circle_outline
remove_circle_outline
remove_circle_outline
remove_circle_outline
remove_circle_outline
remove_circle_outline

Article Types

Countries / Regions

remove_circle_outline
remove_circle_outline
remove_circle_outline
remove_circle_outline
remove_circle_outline

Search Results (663)

Search Parameters:
Keywords = radiation scheme

Order results
Result details
Results per page
Select all
Export citation of selected articles as:
22 pages, 14743 KB  
Article
Simulation and Reproduction of Direct Solar Radiation Utilizing Grating Anomalous Dispersion
by Junjie Yang, Jian Zhang, Bin Zhao, Lu Wang, Yu Zhang, Songzhou Yang, Da Xu, Taiyang Ren, Jingrui Sun and Guoyu Zhang
Sensors 2025, 25(24), 7474; https://doi.org/10.3390/s25247474 - 9 Dec 2025
Viewed by 267
Abstract
The technical challenge of balancing radiant illuminance and the angular diameter of the simulated sun remains unsolved, preventing the realization of a solar simulator with both a 32′ angular diameter and a solar constant irradiance. This paper proposes a direct solar radiation simulation [...] Read more.
The technical challenge of balancing radiant illuminance and the angular diameter of the simulated sun remains unsolved, preventing the realization of a solar simulator with both a 32′ angular diameter and a solar constant irradiance. This paper proposes a direct solar radiation simulation method using grating anomalous dispersion and a technological implementation scheme. This new architecture consists of a spectrally modulated optical engine, a diffractive combining system, and a multi-aperture imaging reconstruction system. We designed an optical system for simulating direct solar radiation, which achieves a high degree of reproducibility of natural direct solar radiation characteristics. The performance of this system was verified through simulation, with the results indicating that the solar direct radiation simulator achieves an angular diameter of 31.7′ while maintaining radiant illuminance above a solar constant. Additionally, the system spectral match to both the extraterrestrial (AM0G) and terrestrial global (AM1.5G) solar spectra, along with its uniformity, complies with an A+ grade. The studied direct solar radiation simulation is currently the only instrument capable of achieving a solar constant of an angular diameter less than 32′. This research revolutionizes the structure and principle of the traditional solar simulator, makes up for the deficiencies of the existing solar simulation technology, further improves the theoretical system of solar direct radiation simulation, and has far-reaching scientific significance for the development and application of solar simulation technology. Full article
(This article belongs to the Section Optical Sensors)
Show Figures

Figure 1

13 pages, 16473 KB  
Article
Logarithmic Scaling of Loss Functions for Enhanced Self-Supervised Accelerated MRI Reconstruction
by Jaejin Cho
Diagnostics 2025, 15(23), 2993; https://doi.org/10.3390/diagnostics15232993 - 25 Nov 2025
Viewed by 255
Abstract
Background/Objectives: Magnetic resonance imaging (MRI) is a widely used non-invasive imaging modality that provides high-fidelity soft-tissue contrast without ionizing radiation. However, acquiring high-resolution MRI scans is time-consuming, necessitating accelerated acquisition and reconstruction methods. Recently, self-supervised learning approaches have been introduced for reconstructing undersampled [...] Read more.
Background/Objectives: Magnetic resonance imaging (MRI) is a widely used non-invasive imaging modality that provides high-fidelity soft-tissue contrast without ionizing radiation. However, acquiring high-resolution MRI scans is time-consuming, necessitating accelerated acquisition and reconstruction methods. Recently, self-supervised learning approaches have been introduced for reconstructing undersampled MRI data without external fully sampled ground truth. Methods: In this work, we propose a logarithmic scaled scheme for conventional loss functions (e.g., 1, 2) to enhance self-supervised MRI reconstruction. Standard self-supervised methods typically compute loss in the k-space domain, which tends to overemphasize low spatial frequencies while under-representing high-frequency information. Our method introduces a logarithmic scaling to adaptively rescale residuals, emphasizing high-frequency contributions and improving perceptual quality. Results: Experiments on public datasets demonstrate consistent quantitative improvements when the proposed log-scaled loss is applied within a self-supervised MRI reconstruction framework. Conclusions: The proposed approach improves reconstruction fidelity and perceptual quality while remaining lightweight, architecture-agnostic, and readily integrable into existing self-supervised MRI reconstruction pipelines. Full article
(This article belongs to the Special Issue 3rd Edition: AI/ML-Based Medical Image Processing and Analysis)
Show Figures

Figure 1

21 pages, 12311 KB  
Article
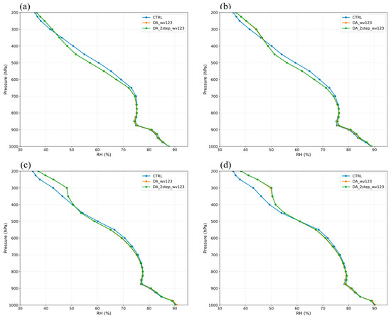
Added Value of Assimilating FY-4B AGRI Water Vapor Radiances on Analyses and Forecasts for “23 · 7” Heavy Rainfall
by Tingting Zhong, Chun Yang, Jinzhong Min, Bingying Shi and Qiongbo Sun
Remote Sens. 2025, 17(23), 3808; https://doi.org/10.3390/rs17233808 - 24 Nov 2025
Viewed by 386
Abstract
The infrared satellite data have become an important source of assimilated data in numerical weather prediction (NWP) models. With the self-constructed assimilated module in the Weather Research and Forecasting model’s Data Assimilation (WRFDA) system, a set of cycling assimilation experiments is conducted to [...] Read more.
The infrared satellite data have become an important source of assimilated data in numerical weather prediction (NWP) models. With the self-constructed assimilated module in the Weather Research and Forecasting model’s Data Assimilation (WRFDA) system, a set of cycling assimilation experiments is conducted to evaluate the added value of assimilating the Fengyun-4B (FY-4B) Advanced Geostationary Radiation Imager (AGRI) water vapor channels clear-sky data on analyses and forecasts for “23 · 7” heavy rainfall. The results show a notable reduction (50~60%) in the root mean square error (RMSE) of observed and simulated brightness temperature after assimilating AGRI and the positive analysis increments in temperature and humidity fields, which are conducive to precipitation formation. Furthermore, changes in humidity analysis caused by AGRI assimilation propagate from the upper to lower levels with assimilation cycling. Compared to the benchmark experiment, the AGRI assimilation experiments produce higher humidity conditions and more pronounced ascending motion, resulting in more realistic rainfall predictions at both location and intensity with higher rainfall scores, especially with the two-step assimilation scheme. Moreover, based on the results from sensitivity experiments, it is proven that the addition of a new channel 11 can further improve humidity and enhance rainfall location and intensity predictions. Overall, the clear-sky assimilation of the FY-4B AGRI water vapor channel data brings notable improvements to “23 · 7” heavy rainfall prediction. Full article
Show Figures

Figure 1

37 pages, 10980 KB  
Article
Study on the Shielding Effectiveness of Airborne Navigation Equipment Enclosures Under High-Intensity Radiated Fields (HIRFs)
by Xin Li, Hangyu Chen, Chao Zhou, Yifang Tan, Junxiong Wang, Yizhi Shen, Yibing Wang and Juncheng Huang
Processes 2025, 13(12), 3782; https://doi.org/10.3390/pr13123782 - 23 Nov 2025
Viewed by 304
Abstract
High-Intensity Radiated Fields (HIRFs) can cause severe interference to airborne GNSS equipment. This paper builds a CST model based on the real structure and evaluates shielding effectiveness (SE) with respect to frequency, material, polarization, angle of incidence, and aperture; anechoic-chamber tests combined with [...] Read more.
High-Intensity Radiated Fields (HIRFs) can cause severe interference to airborne GNSS equipment. This paper builds a CST model based on the real structure and evaluates shielding effectiveness (SE) with respect to frequency, material, polarization, angle of incidence, and aperture; anechoic-chamber tests combined with the DO-160G compliance method (Section 20, Class G) are then conducted, and this integrated scheme: (1) validates the simulation’s effectiveness and confirms the HIRF coupling risk; (2) reveals the GNSS failure mechanism—C/N0 decrease → DOP increase → loss of lock. Subsequently, an equation-based mechanism framework (cavity modes, slot/aperture coupling, waveguide-below-cutoff, thickness attenuation) is proposed, together with an effective-dimension correction, by which a single-point calibration can predict the remaining resonances. Accordingly, mechanism-aligned design strategies are provided (aperture control and honeycomb windows, geometric detuning and local absorbers, high-permeability inserts, multi-polarization and multi-directional protection), achieving predictable, verifiable, and quantifiable improvements in SE. Full article
Show Figures

Figure 1

12 pages, 5709 KB  
Article
X-Ray Diffraction Study of the X-112° Y-Cut of a LiTaO3 Crystal Modulated by Surface Acoustic Waves
by Dmitry Roshchupkin, Dmitry Irzhak, Kirill Pundikov, Rashid Fakhrtdinov, Sergey Kumanyaev and Alexey Seregin
Materials 2025, 18(22), 5134; https://doi.org/10.3390/ma18225134 - 12 Nov 2025
Viewed by 380
Abstract
The process of X-ray diffraction on the X-112° Y-cut of a LiTaO3 crystal excited by surface acoustic waves (SAW) with a wavelength of Ʌ=4 μm was studied at a synchrotron radiation source in a scheme of a double-crystal X-ray diffractometer. [...] Read more.
The process of X-ray diffraction on the X-112° Y-cut of a LiTaO3 crystal excited by surface acoustic waves (SAW) with a wavelength of Ʌ=4 μm was studied at a synchrotron radiation source in a scheme of a double-crystal X-ray diffractometer. The sinusoidal acoustic modulation of the crystal lattice leads to the appearance of diffraction satellites on the rocking curve; the number and intensity of satellites depend on the amplitude of the SAW. Analysis of X-ray diffraction spectra allowed us to determine the velocity (VSAW=3300 m/s) and amplitudes of the SAW. For the first time experimental investigations have demonstrated the presence of the power flow angle in the X-112° Y-cut of a LiTaO3 crystal, i.e., a situation where the direction of acoustic energy propagation (PFV) does not coincide with the direction of the SAW wave vector KSAW. The measured power flow angle was PFA=0.41°. This PFA value is important for designing acoustoelectronic devices in order to reduce acoustic signal losses. Full article
(This article belongs to the Section Materials Physics)
Show Figures

Graphical abstract

21 pages, 2027 KB  
Article
Sensitivity of Soil Moisture Simulations to Noah-MP Parameterization Schemes in a Semi-Arid Inland River Basin, China
by Yuanhong You, Yanyu Lu, Yu Wang, Houfu Zhou, Ying Hao, Weijing Chen and Zuo Wang
Agriculture 2025, 15(21), 2286; https://doi.org/10.3390/agriculture15212286 - 3 Nov 2025
Viewed by 447
Abstract
Soil moisture simulations in semi-arid inland river basins remain highly uncertain due to complex land–atmosphere interactions and multiple parameterization schemes in land surface models. This study evaluated the ability of the Noah-Multiparameterization Land Surface Model (Noah-MP) to simulate soil moisture at meteorological sites [...] Read more.
Soil moisture simulations in semi-arid inland river basins remain highly uncertain due to complex land–atmosphere interactions and multiple parameterization schemes in land surface models. This study evaluated the ability of the Noah-Multiparameterization Land Surface Model (Noah-MP) to simulate soil moisture at meteorological sites representing the upstream, midstream and downstream regions of a semi-arid inland river basin with contrasting climates. A large physics-ensemble experiment (17,280 simulations per site) combining different parameterization schemes for 10 main physical processes was conducted. Natural selection, Tukey’s test and uncertainty contribution analysis were applied to identify sensitive processes and quantify their contributions to simulation uncertainty. Results indicate that Noah-MP captures soil moisture variability across the basin but with notable biases. Three physical processes—frozen soil permeability, supercooled liquid water in frozen soil and ground resistance to sublimation—were sensitive at all sites, whereas radiation transfer and surface albedo were consistently insensitive. At the upstream and midstream sites, supercooled liquid water contributed about half of the ensemble uncertainty, and at the downstream site ground resistance to sublimation contributed roughly 51%. These findings reveal which physical processes most strongly affect Noah-MP soil moisture simulations in semi-arid basins and provide guidance for improving parameterization schemes to reduce uncertainty. Full article
Show Figures

Figure 1

12 pages, 4850 KB  
Article
Oscillating Poiseuille Flow-Induced Diffraction Grating in a Nematic Volume with Microrelief
by Semen S. Kharlamov, Sergey V. Pasechnik, Vladimir G. Chigrinov and Alex V. Zakharov
Crystals 2025, 15(11), 932; https://doi.org/10.3390/cryst15110932 - 30 Oct 2025
Viewed by 375
Abstract
This work is devoted to the study of the effect of the oscillating Poiseuille flow on the diffraction of light passing through a nematic layer bounded by a submicron relief at one of the inner surfaces of the plane capillary. In experimental nematic [...] Read more.
This work is devoted to the study of the effect of the oscillating Poiseuille flow on the diffraction of light passing through a nematic layer bounded by a submicron relief at one of the inner surfaces of the plane capillary. In experimental nematic liquid crystal (NLC) cells with a hybrid planar–homeotropic orientation, a photo-profiled PAZO polymer layer with a sinusoidal relief with a depth of 180 and 360 nm and a period of 2 μm was used as a diffraction grating. The experimentally obtained dependencies of the flow-induced changes in the intensity of polarized light at the main and the first diffraction maxima on the amplitude of the low-frequency oscillating pressure gradient applied to the NLC layer are presented. Processing of the obtained results indicates the possibility of modulating the intensity of diffracted polarized light transmitted through the NLC layer by up to 10% when applying an oscillating pressure difference of up to 700 Pa to the layer of corresponding experimental cells in the absence of an analyzer in the optical scheme. Possible mechanisms responsible for the modulation of optical radiation in the main and first diffraction maxima are discussed. The discussed principles of controlling diffracted electromagnetic radiation can be used to create optofluidic modulators operating in both the visible and THz ranges. Full article
(This article belongs to the Collection Liquid Crystals and Their Applications)
Show Figures

Figure 1

21 pages, 2778 KB  
Article
Analysis of the Circulating miRNome Expression Profile in Saliva Samples After Neoadjuvant Chemoradiotherapy in a Rectal Cancer Study Population Using Next-Generation Sequencing
by Kristóf Gál, Péter Dávid, Melinda Paholcsek, Márton Barabás, Endre Szilágyi, Krisztina Balogh, Dóra Solymosi, Szidónia Miklós, Johanna Mikáczó, Krisztina Trási, Emese Csiki, Mihály Simon, Péter Fauszt, Szilárd Póliska, Judit Remenyik, Árpád Kovács and Emese Szilágyi-Tolnai
Int. J. Mol. Sci. 2025, 26(21), 10506; https://doi.org/10.3390/ijms262110506 - 29 Oct 2025
Viewed by 838
Abstract
Dysregulated microRNAs (miRNAs) have been implicated in the pathogenesis and progression of rectal adenocarcinoma. In this study, we aimed to identify miRNA alterations associated with the efficacy of neoadjuvant chemoradiotherapy in rectal cancer patients. High-throughput small RNA sequencing was performed to assess salivary [...] Read more.
Dysregulated microRNAs (miRNAs) have been implicated in the pathogenesis and progression of rectal adenocarcinoma. In this study, we aimed to identify miRNA alterations associated with the efficacy of neoadjuvant chemoradiotherapy in rectal cancer patients. High-throughput small RNA sequencing was performed to assess salivary miRNA expression profiles in 31 participants (11 rectal adenocarcinoma patients and 20 healthy volunteers). Paired saliva samples were collected from patients before and after chemoradiation. Tumor regression was classified according to the modified Ryan scheme into responders (tumor regression grade [TRG] 1–2, n = 10) and nonresponders (TRG3, n = 1). Bioinformatic integration of small non-coding RNA data revealed 37 miRNAs with distinct expression differences between patients and healthy controls. Furthermore, seven miRNAs showed significant alterations in response to radiotherapy. Among these, five candidates (hsa-miR-378a-3p, hsa-miR-203a-3p, hsa-miR-200a-5p, hsa-miR-361-5p, and hsa-miR-107) were successfully validated by RT-qPCR, displaying significantly increased salivary expression levels post-radiation compared with the pre-radiation samples (p < 0.05). Notably, hsa-miR-203a-3p, hsa-miR-200a-5p, and hsa-miR-361-5p demonstrated excellent discriminatory power for tumor regression grade (AUC > 0.7). Our findings support the involvement of specific salivary miRNAs in rectal adenocarcinoma tumor regression and highlight their potential as non-invasive biomarkers to evaluate treatment response following neoadjuvant chemoradiotherapy. Full article
Show Figures

Figure 1

14 pages, 3212 KB  
Article
A Radiation-Hardened 4-Bit Flash ADC with Compact Fault-Tolerant Logic for SEU Mitigation
by Naveed and Jeff Dix
Electronics 2025, 14(21), 4176; https://doi.org/10.3390/electronics14214176 - 26 Oct 2025
Viewed by 541
Abstract
This paper presents a radiation-hardened 4-bit flash analog-to-digital converter (ADC) implemented in a 22 nm fully depleted silicon-on-insulator (FD-SOI) process for high-reliability applications in radiation environments. To improve single-event upsets (SEU) tolerance, the design introduces a compact fault-tolerant logic scheme based on Dual [...] Read more.
This paper presents a radiation-hardened 4-bit flash analog-to-digital converter (ADC) implemented in a 22 nm fully depleted silicon-on-insulator (FD-SOI) process for high-reliability applications in radiation environments. To improve single-event upsets (SEU) tolerance, the design introduces a compact fault-tolerant logic scheme based on Dual Modular Redundancy (DMR), offering reliability comparable to Triple Modular Redundancy (TMR) while using two storage nodes instead of three, and a simple XOR-based check in place of a majority voter. A distributed sampling architecture mitigates SEU vulnerabilities in the input path, while thin-oxide devices are used in analog-critical circuits to enhance total ionizing dose (TID) resilience. Post-layout simulations demonstrate SEU detection within 200 ps and correction within ~600 ps. The ADC achieves an active area of 0.089 mm2, power consumption below 30 µW, and provides a scalable solution for radiation-tolerant data acquisition in aerospace and other high-reliability systems. Full article
Show Figures

Figure 1

18 pages, 9127 KB  
Article
Frost Heave Characteristics of Lined Canals with Sand-Gravel Replacement in Seasonally Frozen Regions
by Xinjian Fan, Fei Ye, Li Qin, Yupei Yan, Lirong Wang and Jiafang Wei
Sustainability 2025, 17(21), 9432; https://doi.org/10.3390/su17219432 - 23 Oct 2025
Viewed by 477
Abstract
To address the frost heave damage issue of the trapezoidal lined canals in seasonally frozen regions and further ensure the stable operation of canals while reducing operation and maintenance costs, this study conducted a gradient sand-gravel cushion replacement experiment on the main canal [...] Read more.
To address the frost heave damage issue of the trapezoidal lined canals in seasonally frozen regions and further ensure the stable operation of canals while reducing operation and maintenance costs, this study conducted a gradient sand-gravel cushion replacement experiment on the main canal of the Jingdian Irrigation District, China. For the experiment, east–west and north–south-oriented canal sections were selected, with frost heave meters and soil temperature-humidity meters installed. Dynamic changes in canal ground temperature, moisture content, and frost heave were monitored over two full freeze–thaw cycles. The results indicate the following: (1) The variation of ground temperature lags behind air temperature by 2–3 days; the ground temperature change on the canal slope is more pronounced than that at the canal bottom; and for the east–west-oriented canal, the ground temperature on the sunny slope is higher than that on the shady slope, while the ground temperatures on the two slopes of the north–south-oriented canal are similar. (2) The moisture content of the east–west-oriented canal changes drastically during the freezing period, showing a decreasing trend in the early freezing stage and a significant increasing trend in the thawing stage, whereas the moisture content of the north–south-oriented canal fluctuates slightly. (3) Canals with different orientations exhibit spatial differences in frost heave due to variations in solar radiation distribution. (4) The frost heave is negatively correlated with ground temperature, and its variation lags behind ground temperature by 1–2 days. (5) Increasing the replacement thickness of sand-gravel can significantly reduce the frost heave, with a reduction rate exceeding 50%. Under the action of freeze–thaw cycles, canals with gradient sand-gravel exhibit remarkable anti-frost effects. Thus, for trapezoidal lined canals in seasonally frozen regions, a gradient replacement scheme is recommended: For east–west canals, the replacement thickness is 40–100 cm for shady slopes and 30–70 cm for sunny slopes; for north–south canals, the replacement thickness is 30–70 cm for both slopes. In conclusion, gradient sand-gravel replacement is an effective anti-frost heave measure, providing a theoretical basis for the design of sand-gravel replacement for lined canals in seasonally frozen regions. Full article
(This article belongs to the Section Green Building)
Show Figures

Figure 1

14 pages, 4214 KB  
Article
High-Efficiency Wide-Bandwidth Boost Converter IC with Pulse-Skipped Switching and Gm-Boosted Compensation for Battery-Powered Portable Systems
by Woojin Kim, Haejun Noh, Se-Un Shin and Hyuntak Jeon
Energies 2025, 18(21), 5575; https://doi.org/10.3390/en18215575 - 23 Oct 2025
Viewed by 466
Abstract
High-efficiency power management is essential for silicon photomultiplier (SiPM)-based sensing systems, especially in portable radiation detectors that demand long battery life and stable operation. Conventional fixed-frequency, voltage-mode boost converters face two critical issues: efficiency degradation at light load due to dominant switching losses, [...] Read more.
High-efficiency power management is essential for silicon photomultiplier (SiPM)-based sensing systems, especially in portable radiation detectors that demand long battery life and stable operation. Conventional fixed-frequency, voltage-mode boost converters face two critical issues: efficiency degradation at light load due to dominant switching losses, and narrow loop bandwidth in discontinuous conduction mode (DCM), which limits transient response. This work proposes a boost converter IC that integrates a pulse-skipped switching (PSS) scheme with a Gm-boosted compensator to address these challenges. The PSS method adaptively suppresses unnecessary switching events, significantly improving light-load efficiency, while the Gm-boosted compensator enhances loop gain, expanding the bandwidth and enabling faster recovery under dynamic conditions. Implemented in a 250 nm BCD process, the converter provides up to 30 V output from a 3.3–5 V supply with load currents up to 10 mA. Simulation results show a peak efficiency of 86.3% at 1 mA and a loop bandwidth increase of more than 14 times compared with a conventional fixed-frequency, voltage-mode design. Beyond radiation applications, the proposed converter is broadly applicable to battery-powered IoT, medical monitoring, and portable energy systems requiring efficient high-voltage generation. Full article
(This article belongs to the Section D2: Electrochem: Batteries, Fuel Cells, Capacitors)
Show Figures

Figure 1

10 pages, 2134 KB  
Article
Evaluation of Plasma Dynamic Parameters of a Multi-Layer MIF Target Under Exposure to External Broadband Radiation
by Victor V. Kuzenov, Sergei V. Ryzhkov and Artem G. Polyanskiy
Appl. Sci. 2025, 15(20), 11155; https://doi.org/10.3390/app152011155 - 17 Oct 2025
Viewed by 299
Abstract
This work presents a numerical investigation into broadband radiation effects (with energy flux densities q < 1014 W/cm2) on a magneto–inertial fusion (MIF) target. The calculation results demonstrate the impact of intense energy fluxes on a multi-layer cylindrical target that [...] Read more.
This work presents a numerical investigation into broadband radiation effects (with energy flux densities q < 1014 W/cm2) on a magneto–inertial fusion (MIF) target. The calculation results demonstrate the impact of intense energy fluxes on a multi-layer cylindrical target that provides more uniform and homogeneous compression. All principal dynamic parameters (plasma dynamics and radiative) of the compressed target plasma have been determined. The work performed allows us to draw the following initial conclusion: it is advisable to create compact neutron generators based on the MIF scheme on a multi-layer version of the target (made of “heavy” chemical elements). Full article
(This article belongs to the Special Issue Advances in Fusion Engineering and Design Volume II)
Show Figures

Figure 1

13 pages, 3359 KB  
Article
In-Situ Validation and Performance Analysis of Polymer-Dispersed Liquid Crystal Films for Dynamic Natural Light Control in Smart Greenhouses
by Chiara Vetter, Peyton I. Mann and Alexander H. Pesch
Actuators 2025, 14(10), 500; https://doi.org/10.3390/act14100500 - 15 Oct 2025
Viewed by 382
Abstract
Polymer-Dispersed Liquid Crystal (PDLC) films offer a promising actuation method for dynamically controlling natural light, particularly in applications like smart greenhouses that require optimized Photosynthetically Active Radiation (PAR). Building upon previous work that established a control-oriented model and validated it under laboratory conditions, [...] Read more.
Polymer-Dispersed Liquid Crystal (PDLC) films offer a promising actuation method for dynamically controlling natural light, particularly in applications like smart greenhouses that require optimized Photosynthetically Active Radiation (PAR). Building upon previous work that established a control-oriented model and validated it under laboratory conditions, this study presents significant extensions. Key novel contributions include (1) the design and implementation of a Mini Greenhouse (MGH) test rig featuring PDLC films angled at 45° to accommodate typical sun angles; (2) extensive in situ validation of the previously developed Proportional–Integral (PI) control scheme under real-world environmental conditions, including varying natural sunlight, cloud cover, rain, and snow over several weeks; (3) analysis of system performance at different PAR setpoints (4 PAR and 10.5 PAR) under these conditions; (4) characterization of the system’s controllable PAR range and transmittance under natural light; (5) calculation of a light reduction ratio attributable to the MGH structure for accurate disturbance modeling; and (6) validation of an extended simulation model using the collected in situ data. The results demonstrate the system’s capability to effectively track setpoints and reject disturbances under dynamic natural light, confirming the robustness of the PDLC control approach. The validated simulation provides a reliable tool for predicting performance and optimizing control strategies for energy-efficient smart greenhouse applications. This work significantly advances the practical assessment of PDLC actuators for agricultural light management beyond laboratory settings. Full article
(This article belongs to the Section Control Systems)
Show Figures

Figure 1

22 pages, 924 KB  
Review
Innate Immune Signaling in Gliomas: Regulatory Mechanisms and Targeting Potential in Tumor Progression
by Edmund Jung, Sara Al Jadidi and Christina Piperi
Life 2025, 15(10), 1582; https://doi.org/10.3390/life15101582 - 10 Oct 2025
Cited by 1 | Viewed by 1044
Abstract
Gliomas present as highly heterogeneous and aggressive central nervous system (CNS) tumors with challenging diagnosis and management. Traditional and current therapies are lacking efficacy in overcoming the complex and dynamic behavior of gliomas and the local tumor microenvironment. Emerging research highlights the significant [...] Read more.
Gliomas present as highly heterogeneous and aggressive central nervous system (CNS) tumors with challenging diagnosis and management. Traditional and current therapies are lacking efficacy in overcoming the complex and dynamic behavior of gliomas and the local tumor microenvironment. Emerging research highlights the significant role of innate immune receptors including Toll-like, NOD-like and RIG-like receptors, as well as cGAS-STING receptors, scavenger and C-type lectin receptors in glioma development and progression. These receptors can both impact immune modulation as well as facilitate tumor growth through interactions with tumor-associated macrophages, myeloid-derived suppressor cells and cytokine networks, contributing to immune evasion in the tumor microenvironment. Herein, we discuss the main signaling pathways induced through innate immune receptors in gliomas along with their functional properties in glioma pathology while exploring current applications to treatment. Utilizing innate immune receptors as therapeutic targets holds great promise, especially when used along with traditional chemotherapy and radiation schemes, strengthening immune responses. Future studies focusing on the deeper understanding of innate immune receptors signaling and complexity are highly required to enable novel immunoregulatory treatment schemes for gliomas. Full article
(This article belongs to the Section Medical Research)
Show Figures

Figure 1

18 pages, 4782 KB  
Article
Solar Resource Mapping of the Tigray Region, Ethiopia, Based on Satellite and Meteorological Data
by Asfafaw Haileselassie Tesfay, Amaha Kidanu Atsbeha and Mesele Hayelom Hailu
Energies 2025, 18(19), 5264; https://doi.org/10.3390/en18195264 - 3 Oct 2025
Viewed by 1127
Abstract
The availability of properly analyzed energy resource potential data is a prerequisite in energy planning and development. However, this was sparsely applied in Ethiopia’s renewable energy turnkey project development strategies. This study focuses on developing a solar energy resource map of Tigray to [...] Read more.
The availability of properly analyzed energy resource potential data is a prerequisite in energy planning and development. However, this was sparsely applied in Ethiopia’s renewable energy turnkey project development strategies. This study focuses on developing a solar energy resource map of Tigray to accelerate the expansion of solar energy to improve electricity access through on-grid and off-grid development schemes. This study uses monthly sunshine hour data from sixteen meteorological stations, measured at a 2 m height, and average yearly solar radiation data from twenty-two satellite stations, validated by solar radiation data and measured at three sites at 10 and 30 m heights. The solar energy potential was analyzed by taking relevant atmospheric and meteorological factors to produce solar radiation components. Accordingly, the average annual solar radiation of Tigray was found to be 6.1 kWh/m2/day and 5.3 kWh/m2/day based on meteorological and satellite data, respectively. The meteorological result gave a closer estimate to Ethiopia’s ESMAP Global Solar result of 5.83 kWh/m2/day. Finally, monthly and annual average solar radiation maps of the region were developed using ArcGIS10.5. The study’s results could contribute to assisting various solar energy developers in preparing better solar energy development plans to alleviate the chronic energy poverty of the region. Full article
Show Figures

Figure 1

Back to TopTop