Next Article in Journal
Audit Quality Indicators Across Jurisdictions: Regulatory Diversity, ESG Integration, and Implications for Public Trust
Previous Article in Journal
Agriculture over the Horizon: A Synthesis for the Mid-21st Century
 
 
Font Type:
Arial Georgia Verdana
Font Size:
Aa Aa Aa
Line Spacing:
Column Width:
Background:
Article

Frost Heave Characteristics of Lined Canals with Sand-Gravel Replacement in Seasonally Frozen Regions

1
School of Civil and Hydraulic Engineering, Lanzhou University of Technology, Lanzhou 730050, China
2
Gansu Provincial Institute of Water Resources Science, Lanzhou 730050, China
3
Gansu Jingtaichuan Electric Power Irrigation Water Resource Utilization Center, Baiyin 730499, China
*
Author to whom correspondence should be addressed.
Sustainability 2025, 17(21), 9432; https://doi.org/10.3390/su17219432
Submission received: 8 September 2025 / Revised: 17 October 2025 / Accepted: 21 October 2025 / Published: 23 October 2025
(This article belongs to the Section Green Building)

Abstract

To address the frost heave damage issue of the trapezoidal lined canals in seasonally frozen regions and further ensure the stable operation of canals while reducing operation and maintenance costs, this study conducted a gradient sand-gravel cushion replacement experiment on the main canal of the Jingdian Irrigation District, China. For the experiment, east–west and north–south-oriented canal sections were selected, with frost heave meters and soil temperature-humidity meters installed. Dynamic changes in canal ground temperature, moisture content, and frost heave were monitored over two full freeze–thaw cycles. The results indicate the following: (1) The variation of ground temperature lags behind air temperature by 2–3 days; the ground temperature change on the canal slope is more pronounced than that at the canal bottom; and for the east–west-oriented canal, the ground temperature on the sunny slope is higher than that on the shady slope, while the ground temperatures on the two slopes of the north–south-oriented canal are similar. (2) The moisture content of the east–west-oriented canal changes drastically during the freezing period, showing a decreasing trend in the early freezing stage and a significant increasing trend in the thawing stage, whereas the moisture content of the north–south-oriented canal fluctuates slightly. (3) Canals with different orientations exhibit spatial differences in frost heave due to variations in solar radiation distribution. (4) The frost heave is negatively correlated with ground temperature, and its variation lags behind ground temperature by 1–2 days. (5) Increasing the replacement thickness of sand-gravel can significantly reduce the frost heave, with a reduction rate exceeding 50%. Under the action of freeze–thaw cycles, canals with gradient sand-gravel exhibit remarkable anti-frost effects. Thus, for trapezoidal lined canals in seasonally frozen regions, a gradient replacement scheme is recommended: For east–west canals, the replacement thickness is 40–100 cm for shady slopes and 30–70 cm for sunny slopes; for north–south canals, the replacement thickness is 30–70 cm for both slopes. In conclusion, gradient sand-gravel replacement is an effective anti-frost heave measure, providing a theoretical basis for the design of sand-gravel replacement for lined canals in seasonally frozen regions.

1. Introduction

In seasonally frozen regions, frost heave is the main cause of structural degradation in engineering projects such as canals, highways, and railways [1,2,3,4]. However, in such regions with extremely scarce water resources, agricultural irrigation faces severe challenges. Canal irrigation has become a key factor in supporting the sustainable development of agriculture [5,6,7]. Concrete-lined canals serve as crucial infrastructure for water distribution and agricultural irrigation [8], a role exemplified by large-scale projects such as China’s South-to-North Water Transfer Project and California’s State Water Project [9,10]. However, in winter, uneven frost heave occurs in the foundation soil due to multiple factors, including soil properties, groundwater level, and extreme temperatures [11], which often damage the canal structure and compromise its anti-seepage function, thus increasing the risk of agricultural drought and threatening both food security and the sustainable management of limited water resources [12,13]. According to statistics, 50–60% of the concrete-lined canals in the alpine irrigation areas of Qinghai Province have suffered structural damage due to frost heaving [14], and a large irrigation district in Heilongjiang Province has seen over 90 of its canals impaired by frost heaving, a proportion that accounts for 83% of the district’s total number of canals [15]. Such damage is mainly manifested as lining plate dislocation, longitudinal cracks, and joint cracks, resulting in an average annual leakage loss of 15–20% of the total water volume. Addressing this issue is critical for advancing regional sustainable development. To address frost heave damage, reduce secondary water loss, and ensure regional sustainable development, systematic research has been conducted on frost heave prevention technologies for water conveyance canals in cold regions. These efforts not only hold practical significance for the sustainable operation of agricultural irrigation systems but also contribute to the advancement of theories related to hydraulic infrastructure in cold regions.
To ensure the stable operation of water conveyance canals in seasonally frozen regions and to reduce water resource loss, numerous scholars have conducted monitoring and analysis of canal temperature changes and frost heave deformation, revealed the frost heave mechanism [16,17,18], and proposed targeted anti-frost heave measures, as well as developed new canal structures based on frost heave characteristics. Li et al. [18,19] combined experiments with numerical simulations and found that the cause of repeated freeze–thaw heave and thaw settlement, as well as tensile and compressive stress in the canal, was severe water migration and redistribution in the seasonal freeze–thaw change layer. They also pointed out that the lower part of the canal slope is a key monitoring area. Ji et al. [20] established an ice crystal frost heave model and proposed that intermittent freezing can significantly alleviate soil frost heave. Shi et al. [21] analyzed the frost heave failure mechanism of channels using a thermo–hydro–mechanical coupling model and found that the temperature gradient of the canal embankment is greater than that of other parts. Gong et al. [22] introduced the generalized Winkler elastic foundation beam theory and constructed an accurate and practical canal frost heave mechanical model. Ge et al. [23] proposed the two-layer composite geomembranes for canal frost damage in arid–cold regions, via field tests and a coupling model, finding that the two-layer geomembrane lining structure mitigates deformation by 38% and prevents frost damage. Teng et al. [24] revealed the characteristics of unidirectional freezing and bidirectional thawing of foundation soil. Field test studies by Guo et al. [25,26] showed that the laying of polystyrene boards can significantly delay the freezing of foundation soil and achieve effective thermal insulation. Mo et al. [27] found through research that the maximum normal displacement of slope and canal top linings is significantly reduced after the use of composite geomembranes. Through in-situ observation and analysis, Tian and Jiang [17] found that the overall heaving of the lining during the freezing period is caused by the combined effect of the vertical deformation of the canal bottom lining and the radial deformation of the slope slab. Li et al. [28,29] confirmed that geotextile bags achieve anti-frost heave effects by reinforcing soil and inhibiting water rise. Zhang et al. [30] proposed modifying channel sediment with low-toxicity and environmentally friendly octadecyltrichlorosilane (OTS) to enhance frost resistance and reduce maintenance costs. Xu et al. [31] studied the heat–water coupled migration of U-shaped canals, the normal deformation caused by frost heave, and the normal force distribution law of the lining structure. Guo et al. [16] found through research that increasing the groundwater level can effectively inhibit water transfer during frost heave by changing the soil water–heat migration path. Zhan et al. [32] found that the higher the groundwater level, the higher the slope moisture content, and the greater the frost heave deformation at the slope top. Studies by Wu and Jiang et al. [33,34] revealed that the fundamental mechanism of the asymmetric distribution of water–heat-deformation originates from the temperature gradient and freezing rate difference caused by solar radiation.
As previously mentioned, numerous anti-frost heave measures have been applied in canal engineering. For instance, the laying of polystyrene boards can effectively delay the freezing of foundation soil, achieving thermal insulation [25,26]; composite geomembranes can reduce lining deformation by mitigating water migration and releasing frost heave forces [27]; while geotextile bags contribute to frost heave resistance through soil reinforcement and suppression of water rise [29]. Each of these measures has its own advantages, but they also present certain limitations. Existing anti-frost heave measures (e.g., polystyrene boards, composite geomembranes) rarely consider both technical effectiveness and long-term sustainability, such as durability, cost-effectiveness, and resource conservation, leaving a gap in sustainable solutions for canal maintenance in seasonally frozen regions. In contrast, the sand-gravel replacement measure, particularly the gradient replacement method studied in this paper, leverages the inherent properties of sand-gravel materials—excellent drainage and negligible frost heave susceptibility—to fundamentally undermine the material (moisture) and spatial (frost-susceptible soil) basis for frost heave by altering the physical composition of the foundation soil. This method offers wide material availability, simple construction, and good durability. From a sustainability perspective, its wide material availability reduces reliance on non-renewable or geographically restricted materials (avoiding long-distance transportation and associated carbon emissions), simple construction minimizes energy consumption and environmental disturbance during project implementation, and good durability extends the service life of canal infrastructure, reducing the frequency of reconstruction, material waste, and lifecycle environmental impact, which aligns with the principles of resource efficiency and long-term sustainability in civil engineering for water conservancy. Although significant progress has been made in understanding the mechanisms of frost heave damage in canals and the development of preventive measures, systematic field experimental studies on the hydro-thermal migration patterns, frost heave characteristics, and anti-frost heave effectiveness of canal foundation soil after gradient sand-gravel cushion replacement remain insufficient.
In this study, field tests on gradient sand-gravel replacement with different thicknesses were conducted on the main canal of the Jingdian Irrigation District. By monitoring the dynamic changes in ground temperature, moisture content, and frost heave amount of the canal during freeze–thaw cycles, the influence laws of gradient sand-gravel replacement on the hydrothermal migration and frost heave characteristics of foundation soil were analyzed. Additionally, the correlation between the thickness of the sand-gravel cushion and the anti-frost heave effect was explored. Finally, a thickness recommendation for the gradient sand-gravel replacement suitable for trapezoidal concrete-lined canals in seasonally frozen regions was proposed, providing theoretical basis and engineering reference for the foundation replacement design of canal projects in seasonally frozen regions and similar studies.

2. Field Test Method

2.1. Test Site

For this study, east–west and north–south-oriented canal sections were selected as the on-site test objects. The test area of the test site is located in the Jingdian Irrigation District of Gansu Province, China (37.509° N, 103.927° E), as illustrated in Figure 1a. Figure 1b presents the satellite image of the canals. This region belongs to a seasonally frozen soil area, with an average annual temperature of only 10 °C, a historical minimum temperature of −27.3 °C, and a maximum freezing depth of 99 cm. The actual total irrigated area of the irrigation district reaches about 93,333 hectares, and the total length of water conveyance canals is approximately 2422 km. These canals serve as critical water conveyance canals for the Jingtai and Minqin areas, and they are of great significance for ensuring the domestic water supply of residents and achieving irrigation goals. The canal’s foundation soil in this region is highly frost-susceptible. Under the seasonal freeze–thaw cycles, the canals often experience significant frost heave deformation and thaw settlement. Problems resulting from this, such as lining collapse, bulging [35,36], and sliding [32,37,38], constitute a typical frost damage pattern, as shown in Figure 2. These issues pose a huge threat to the structural safety of the canals and affect the engineering benefits, making the prevention of canal frost heave an urgent and major engineering problem to be solved. Furthermore, the groundwater level in the experimental area remained relatively stable throughout the monitoring period, with no severe fluctuations caused by large-scale precipitation or irrigation events. Consequently, the impact of groundwater on the foundation soil’s moisture content and frost heave process was relatively minor, which helps to isolate and clarify the anti-frost heave effectiveness of the sand-gravel replacement measure itself.
The map in Figure 1a is based on the standard map, which was downloaded from the standard map service website of the Ministry of Natural Resources, and the review number is GS (2016) No. 1600. No changes were made to the base image.

2.2. Test Method

For this field test, typical trapezoidal canals with east–west and north–south orientations were selected as the research objects. Each test canal section was 10 m in length. After excavating the foundation to the designed elevation, the canal bottom foundation and canal slopes were compacted. Subsequently, sand-gravel (with a fine content not exceeding 5%, a particle size of 25–40 mm accounting for more than 50%, and a relative density of ≥0.65) was used for compaction and backfilling. The canal bottom and slopes were lined with 10-cm-thick C20 precast concrete slabs, a 3-cm-thick M10 cement mortar layer, and a flexible composite geomembrane. The sand-gravel replacement schemes are shown in Table 1.
The monitoring instruments were installed at the same positions in the east–west-oriented canal (with the left slope as the shady slope and the right slope as the sunny slope) and in the north–south-oriented canal. The distribution of monitoring instruments and monitoring points is shown in Figure 3, and the on-site layout of monitoring instruments in trapezoidal concrete-lined canals is shown in Figure 4. Five measuring points (A–E) were set on each canal cross-section, and one DG0100-series frost-heave meter was installed at each measuring point. Specifically, the frost heave meters were placed in the middle of the canal bottom and at every one-third position of the canal slopes, totaling 20 units, with an embedding depth of 2 m. The frost-heave meters on each cross-section were numbered D1–D5. Fifteen DY0100-series soil temperature and humidity meters were arranged on each test cross-section. These meters were embedded at different depths along the direction of the frost-heave meters (the top of the cushion, the bottom of the cushion, and 1.5 m deep from the lining surface), totaling 60 units, and were numbered T1–T15. All instruments were calibrated before monitoring. Data collection and uploading began on November 1st of the year when the instruments were embedded, with the cloud system collecting data every two hours. The data monitoring lasted for two complete freeze–thaw cycles (from November 1st of the first year to March 31st of the third year).

3. Results

The frost heave issue of concrete-lined canals is influenced by multiple factors, and its mechanism is complex, involving factors such as ground temperature, foundation soil moisture content, soil type, and canal orientation. In this study, field test methods were adopted to conduct in-depth research and analysis on three key factors: ground temperature, foundation soil moisture content, and canal orientation.

3.1. Air Temperature and Ground Temperature Variation Patterns

After prototype monitoring over two complete freeze–thaw cycles (300 days), the process curves of extreme air temperatures in the test area during the two freeze–thaw cycles are shown in Figure 5. It can be seen from the figure that a low air temperature trough occurred on 7 January during the first freeze–thaw cycle, which was the minimum air temperature at −21 °C. During the second freeze–thaw cycle, two air temperature troughs appeared on 26 December and 7 February, with air temperatures of −17 °C and −16 °C, respectively. The air temperature fluctuated significantly in the first freeze–thaw cycle, while the air temperature fluctuation was relatively gentle in the second freeze–thaw cycle.
Frost heave, resulting from water freezing in the foundation soil, is influenced by ground temperature and other factors, such as groundwater level and soil type. Therefore, the magnitude of canal frost heave is closely related to ground temperature. Figure 6 and Figure 7 illustrate the variation processes of ground temperature at different depths and measuring points in Section II (east–west-oriented) and Section IV (north–south-oriented) during the first and second freeze–thaw cycles, respectively.
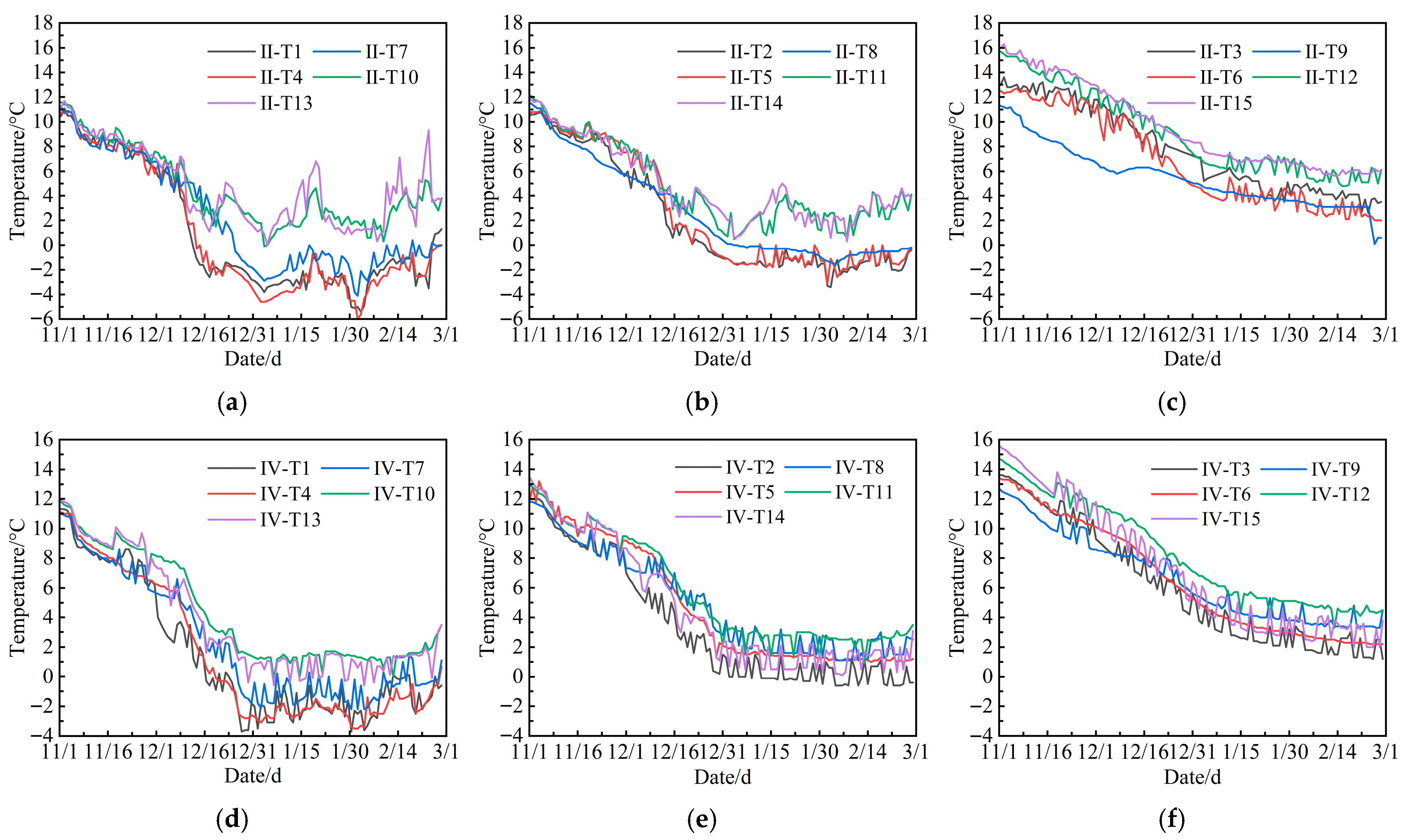
As shown in subgraphs (a), (b), and (c) of Figure 6 and Figure 7, the ground temperature at all depths of measuring points D and E (sunny slope) in the east–west-oriented canal is higher than that at the same depths of the other measuring points. As illustrated in subgraphs (d), (e), and (f) of Figure 6 and Figure 7, the ground temperature at all depths of measuring point C (canal bottom) in the north–south-oriented canal is higher than that at the same depths of the other measuring points; the ground temperatures of the two slopes are roughly equal, showing an overall trend in which the left slope is slightly higher than the right slope. This is due to the different orientations of the canals: the sunny slope of the east–west-oriented canal receives more solar radiation, resulting in a large temperature difference between the two slopes, while the two slopes of the north–south-oriented canal receive roughly the same amount of solar radiation.
The ground temperature variation trends of canals with the two orientations are generally consistent: The temperature change on the canal slopes is more pronounced than that in other parts, with a larger temperature gradient. This difference arises because the central part of the canal bottom has a relatively smaller area for heat exchange with the air and the surrounding environment, resulting in slower heat dissipation. In contrast, the two side slopes of the canal have a larger contact area with the external cold air, and heat is more likely to dissipate through conduction, convection, and other means—thus causing the ground temperature on the slopes to decrease faster than that at the canal bottom. The ground temperature in the deeper layers of the canal foundation soil is generally higher than that in the shallow layers. This is because, as the depth of the foundation soil increases, its response to changes in external air temperature becomes relatively delayed. This delay leads to more pronounced temperature fluctuations in the shallow soil layers, while the deep soil layers exhibit milder temperature fluctuations and maintain a relatively higher temperature.
By comparing Figure 5 and Figure 6, it can be seen that the ground temperature at different depths of each measuring point experienced a single trough on 10 January during the first freeze–thaw cycle. From Figure 5 and Figure 7, it is evident that the ground temperature at different depths of various measuring points experienced two troughs, occurring on 28 December and 9 February during the second freeze–thaw cycle, respectively. This indicates that the ground temperature variations at each measuring point closely followed the trends of the daily minimum air temperature, demonstrating the significant influence of external air temperature on ground temperature. Notably, ground temperature changes lag behind air temperature changes by 2–3 days, primarily due to the time required for heat to conduct through the lining plate into the foundation soil.

3.2. Variation Law of Foundation Soil Moisture Content

During the soil-freezing process, the degree of frost heave is affected by the initial moisture content of the soil layer and the extent of water vapor migration. Figure 8 shows the foundation soil moisture content changes at the cushion bottom for each measuring point in Section I (east–west-oriented) and Section III (north–south-oriented) over the two freeze–thaw cycles, respectively. As illustrated in Figure 8, the foundation soil moisture content at the bottom of the cushion for each measuring point in Section III remained between 35% and 45% during the freeze–thaw cycle, with a small fluctuation range and no obvious peaks or troughs. In contrast, the foundation soil moisture content at the bottom of the cushion for each measuring point in Section I changed more drastically, with a larger fluctuation range. Specifically, it gradually decreased in the early freezing stage, reached the lowest point when fully frozen, and then began to increase, showing a significant upward trend, especially during the soil-thawing stage. It can thus be concluded that the foundation soil moisture content of canals with different orientations exhibits distinctly different variation trends.
A comparative analysis of foundation soil moisture content in the two sections reveals a significant difference between the sunny and shady slopes of the east–west-oriented canal before and after freezing. Before freezing, the soil moisture content on the sunny slope was higher than that on the shady slope; the moisture content in the lower part of the canal slope was higher than that in the upper part, and the moisture content at the canal bottom was the highest. As the ground temperature decreased, the soil moisture at the bottom of the cushion at each measuring point gradually decreased, with a sharp drop in the moisture content on the shady slope.
In the initial freezing stage of east–west canals, the temperature of the shady slope decreases faster than that of the sunny slope, creating a larger temperature gradient on the shady slope. The gradient drives capillary water to migrate toward the shady slope’s frozen area, leading to a rapid drop in the shady slope’s moisture content. This is consistent with the mechanism of ‘temperature gradient and freezing rate difference caused by solar radiation’ revealed by Wu and Jiang et al. [33,34]. This qualitative observation provides strong on-site evidence for the above theory and quantifies the specific amplitude and spatiotemporal dynamics of water redistribution under the condition of the sand-gravel replacement layer. In the early thawing stage, the sunny slope experiences a greater temperature rise and faster ice melting, so its moisture content increases quickly, while the shady slope has a slower temperature rise and a delayed increase in moisture content—forming the pattern of “low moisture content on the shady slope during freezing and high moisture content on the sunny slope during thawing.” For north–south canals, the temperature difference between the two slopes is small, resulting in a weak temperature gradient and unobvious water migration. Thus, the moisture content remains stable at 35–45% without significant fluctuations.
There was a significant difference in soil moisture content at the end of the freeze–thaw period compared with the early freezing stage. This is because during the freezing period, the temperature gradient and the capillary action of ice-crystal growth drove the migration of soil moisture to the low-temperature frozen area, and the foundation soil moisture content was redistributed during the thawing period. For the north–south-oriented canal, changes in ground temperature in the upper part of the canal slope had a greater impact on moisture content, while changes in ground temperature in the lower part of the canal slope and at the canal bottom had a smaller impact on moisture content.

3.3. Law of Canal Frost Heave Deformation

During freeze–thaw cycles, canal structures experience varying degrees of damage, including not only strength failure but also instability and collapse. Figure 9 illustrates the dynamic changes in frost heave at each measuring point of Section II and Section IV during the two freeze–thaw cycles. From the variation trends of the frost heave amount at each measuring point of the two sections in the figures, it can be observed that as the external air temperature decreases, the foundation soil temperature decreases accordingly, and the frost heave amount gradually increases, reaching its maximum value during the freezing period. However, the timing of the maximum frost heave amount differs among the measuring points, and the maximum frost heave amount at each measuring point of Section II persists for a longer duration. As the external air temperature rises and the foundation soil thaws, the frost heave amount at each measuring point of the two sections begins to decrease gradually. By the end of the freeze–thaw cycle, the frost heave amount at the central part of the canal bottom in Section II and the upper part of the right slope in Section IV is lower than that at the early stage of the freeze–thaw cycle, indicating that the canal has experienced thaw settlement. In contrast, the frost heave amount in other parts at the end of the freeze–thaw cycle is higher than that at the early stage, which further confirms that frost heave has occurred in these parts.
The law governing the maximum frost heave amount at each measuring point of Section II is as follows: The frost heave amount at the lower part of the left slope is the largest, followed by that at the canal bottom, and the smallest is at the upper part of the right slope. There are significant differences in the variation of frost heave amount among the measuring points of Section II, which are caused by the uneven duration of solar irradiation on the two slopes of the east–west-oriented canal. Compared with Section II, the frost heave amount among the measuring points of Section IV shows slight differences, and the variation trends of frost heave amount at each measuring point are relatively consistent. This phenomenon is attributed to a slight deviation between the orientation of the canal in the prototype test and the true north–south orientation. In addition, as shown in Figure 9, the maximum frost heave amount of the canal in the second freeze–thaw cycle is significantly lower than that in the first freeze–thaw cycle. This indicates that after one complete freeze–thaw cycle, the frost heave of the canal has been continuously and effectively inhibited. This result fully proves that the sand-gravel replacement method is effective as a prevention and control measure.

3.3.1. Influence of Ground Temperature on Frost Heave

To reveal the law governing the influence of ground temperature on frost heave amount, Section IV (north–south-oriented) was selected as the research object to analyze the relationship between frost heave amount and ground temperature. Figure 10 illustrates the correlation curve of frost heave amount with ground temperature in Section IV during the second freeze–thaw cycle. As shown in Figure 10, there is a negative correlation between frost heave amount and temperature: as the ground temperature gradually decreases, the frost heave amount increases gradually; conversely, when the ground temperature rises, the frost heave amount decreases. This indicates that ground temperature is a key factor governing frost heave deformation. In addition, the variation of frost heave amount does not occur synchronously with the variation of ground temperature. The response of frost heave amount lags behind the change of ground temperature by 1 to 2 days, which reflects the complexity and hysteresis of the soil freeze–thaw process. This is highly consistent with the heat-water-mechanics interaction mechanism proposed by Li et al. [18]. The hysteresis of frost heave changes reflects the time required for water migration and ice lens growth and is an inherent manifestation of the coupling effect of thermal–hydro–mechanical processes.

3.3.2. Influence of Replacement Thickness on Frost Heave

To investigate the influence of sand-gravel replacement thickness on frost heave amount, a comparative analysis was conducted on the maximum frost heave amount and frost heave reduction rate at each measuring point across four test sections. Table 2 presents the maximum frost heave amounts of Section I and Section II (east–west-oriented canals) as well as Section III and Section IV (north–south-oriented canals) during the first freeze–thaw cycle, along with the frost heave reduction rates of Section I and Section III after increasing the replacement thickness. It can be observed from the table that as the sand-gravel replacement thickness increases, the frost heave amount of the canals shows a decreasing trend. The frost heave reduction rates at all measuring points of Section I (east–west-oriented) and Section III (north–south-oriented) both exceed 50%.
To further verify the anti-frost heave effectiveness of the sand-gravel replacement thickness in the canals, a paired-samples t-test was conducted to compare the maximum frost heave between Section III and Section IV of the north–south-oriented canal. Notably, these two sections were confirmed to have identical canal alignment, soil type, and groundwater level—with the only distinction being the sand-gravel replacement thickness. This controlled setup inherently eliminates interfering factors, ensuring that any significant difference in frost heave can be solely attributed to the variation in replacement thickness. The statistical results showed that the average maximum frost heave in Section III (0.88 ± 0.03 cm) was significantly lower than that in Section IV (2.15 ± 0.06 cm), with t (4) = 26.42 and p < 0.0001. The mean difference in maximum frost heave reached 1.27 cm, and the 95% confidence interval ranged from 1.13 to 1.41 cm. These findings demonstrate that increasing the sand-gravel replacement thickness can effectively reduce the frost heave of the canal, exhibiting a remarkable anti-frost heave effect.

3.3.3. Influence of Canal Orientation on Frost Heave

To investigate the influence of canal orientation on frost heave, this study compared the maximum frost heave values at identical monitoring points in Section II (east–west-oriented canal) and Section IV (north–south-oriented canal). Figure 11 illustrates a comparison of the maximum frost heave at the same measuring points in both sections during two freeze–thaw cycles. As illustrated in Figure 11, the frost heave on the shady slope is greater than that on the sunny slope, with the shady slope also exhibiting more pronounced variation in frost heave magnitude. This phenomenon is mainly due to the obvious difference in solar radiation received by the shady and sunny slopes of the east–west-oriented canal under sunlight conditions: The shady slope receives less solar radiation, resulting in a relatively lower ground temperature, which makes it more prone to freezing and generates a larger frost heave amount.
In addition, limited by the test conditions, there is a certain angle between the north–south-oriented canal and the true north–south direction, leading to a slight asymmetric distribution of its frost heave amount. Specifically, the frost heave amount on the right bank is slightly smaller than that on the left bank. Overall, the north–south-oriented canal is relatively less affected by solar radiation, and the impact of this asymmetric distribution on the overall frost heave amount is negligible. In contrast, the east–west-oriented canal is significantly affected by solar radiation, resulting in a significantly larger frost heave amount on the shady slope compared to the sunny slope.

4. Discussion

4.1. Validation with Existing Thermo-Hydro-Mechanical Models

The field observations from this study align well with established thermo–hydro–mechanical coupling theories. The recorded time lags, where ground temperature changes followed air temperature by 2–3 days and frost heave lagged a further 1–2 days behind ground temperature, are characteristic of soil freezing dynamics. These delays represent the time needed for heat to transfer through the structure and for unfrozen water to migrate and form ice lenses, a key process in thermo–hydro–mechanical models [18,24].
The different behaviors of east–west and north–south canals further validate these models. The sharp moisture decrease on the shady slope of the east–west canal during early freezing and its subsequent increase on the sunny slope during thawing clearly demonstrate temperature-gradient-driven moisture migration [33,34]. Our data quantifies this process under realistic field conditions with a sand-gravel layer. In contrast, the stable moisture in north–south canals confirms that minimal temperature gradients result in negligible water movement. The over-50% frost heave reduction can be mechanistically explained within the thermo–hydro–mechanical framework. The sand-gravel replacement simultaneously disrupts key couplings in the frost heave process: Its high permeability decouples the thermal and hydraulic processes by impeding water migration towards the freezing front, while its non-frost-susceptible nature decouples the hydraulic and mechanical processes by preventing ice lens growth and soil deformation.

4.2. Engineering Design Implications

The findings of this study provide guidance for the anti-frost heave design of trapezoidal lined canals in seasonally frozen regions. A paramount consideration in practice is the canal orientation. For east–west-oriented canals, the significant differential in solar radiation between the sunny and shady slopes leads to asymmetric thermal-moisture conditions, resulting in notably greater frost heave on the shady slope. Therefore, designers must allocate a greater thickness of sand-gravel to the shady slope (40–100 cm) than to the sunny slope (30–70 cm) to counterbalance this inherent imbalance. In contrast, for north–south-oriented canals, where both slopes receive comparable solar radiation and exhibit similar frost heave behavior, a symmetric and uniform replacement thickness (30–70 cm for both slopes) is sufficient and more efficient. This orientation-specific approach, validated to reduce frost heave by over 50% and control deformation within 2 cm, ensures optimal anti-frost heave performance while maximizing material economy, saving approximately 20–30% of materials compared to a uniform-thickness scheme.

4.3. Sustainability Implications

This study contributes to sustainability in three interrelated dimensions: environmental, economic, and social. For environmental sustainability, the gradient sand-gravel replacement reduces water leakage by over 50% compared to unmodified canals, which lowers the demand for freshwater extraction and mitigates the ecological impact of water scarcity; additionally, the use of locally available sand-gravel (instead of synthetic materials like polystyrene) reduces carbon emissions associated with material production and transportation. In terms of economic sustainability, the scheme saves 20–30% of sand-gravel usage and reduces long-term maintenance costs by 40–50% via less frequent repairs for frost heave damage, which supports the economic viability of agricultural systems in large irrigation districts like Jingdian District, China (with a total canal length of approximately 2422 km). Regarding social sustainability, by ensuring stable water delivery for 93,333 hectares of farmland, the measure safeguards food production and rural livelihoods, directly contributing to poverty alleviation and social stability in the region. This practice is consistent with the United Nations’ 2030 Agenda for Sustainable Development. Specifically, it contributes to Goal 2 (Zero Hunger) and Goal 6 (Clean Water and Sanitation) by guaranteeing the stability of agricultural irrigation systems.

4.4. Limitations and Future Work

The research results provide practical theoretical support and practical guidance for the anti-frost design of trapezoidal concrete-lined canals with sand-gravel replacement in seasonally frozen regions. However, this study has minor limitations: The test scope is regional, lacking data from other seasonally frozen regions. Furthermore, while groundwater was stable during monitoring, its potential fluctuation in other contexts could influence results. Additionally, key material properties of the sand-gravel layer, such as its permeability coefficient and unfrozen water content, were not systematically measured. This omission limits a deeper mechanistic understanding of its performance.
Future research should expand to diverse seasonally frozen regions to test the generalizability of the proposed design. Extending monitoring beyond two freeze–thaw cycles is crucial to assess the long-term performance of the replacement measure. Future work will also prioritize the laboratory determination of these key material parameters. Finally, integrating this field data into a calibrated thermo–hydro–mechanical numerical model would be a significant step forward. Such a model could predict frost heave under various conditions and help develop optimized, practical design guidelines for engineers.

5. Conclusions

Based on the field test monitoring data of two complete freeze–thaw cycles, this study analyzed the variation laws of ground temperature and foundation soil moisture content, and explored the influences of sand-gravel replacement thickness and canal orientation on frost heave. The main conclusions are as follows:
The variation of canal ground temperature lags behind that of air temperature by 2–3 days, and the ground temperature variation on canal slopes is more pronounced than that at the canal bottom. Canal orientation significantly affects ground temperature distribution: for east–west-oriented canals, the ground temperature of the sunny slope is higher than that of the shady slope; for north–south-oriented canals, the ground temperature at the canal bottom is slightly higher than that of the two slopes, and the ground temperatures of the two slopes are basically similar.
The variation characteristics of foundation soil moisture content differ significantly among canals with different orientations. For east–west-oriented canals, the moisture content changes drastically during the freezing period—it decreases in the early freezing stage and increases significantly in the thawing stage, which is obviously affected by the freezing process and hydrothermal migration. For north–south-oriented canals, the moisture content fluctuates slightly and remains relatively stable during the freeze–thaw cycle.
Canals with different orientations exhibit uneven spatial distribution of frost heave amount due to the influence of solar radiation. For east–west-oriented canals, the shady slope receives less solar radiation than the sunny slope, resulting in lower ground temperature and significantly larger frost heave amount (with a more pronounced variation range) than the sunny slope. For north–south-oriented canals, the difference in frost heave amount between the two slopes is relatively small.
There is a significant negative correlation between frost heave amount and ground temperature. The frost heave amount increases as the ground temperature decreases and decreases as the ground temperature rises. Meanwhile, the variation of frost heave amount lags behind that of ground temperature by approximately 1–2 days.
Increasing the sand-gravel replacement thickness can effectively inhibit canal frost heave. After increasing the replacement thickness, the frost heave amount at each measuring point decreases significantly, and the frost heave reduction rate generally exceeds 50%. Meanwhile, compared with the uniform-thickness replacement method, this gradient replacement approach saves 20–30% of sand-gravel usage. This material-saving advantage not only reduces the consumption of non-renewable construction resources but also lowers project investment and subsequent material replenishment costs, addressing the dual needs of technical effectiveness and long-term sustainability in canal engineering.
For seasonally frozen regions with a maximum freezing depth of 90–100 cm, it is recommended to adopt a gradient sand-gravel replacement scheme for trapezoidal lined canals in the area: The replacement thickness for the shady slope of east–west canals is 40–100 cm, and for the sunny slope is 30–70 cm; the replacement thickness for north–south canals is 30–70 cm. This scheme can stabilize the canal frost heave within 2 cm, fully meeting the control requirements of relevant engineering specifications for frost heave deformation.

Author Contributions

All authors contributed to this work. Conceptualization, X.F. and F.Y.; methodology, X.F.; software, F.Y.; validation, L.W., L.Q. and Y.Y.; formal analysis, F.Y.; investigation, F.Y.; resources, X.F.; data curation, L.W. and F.Y.; writing-original draft preparation, F.Y.; writing-review and editing, X.F., J.W. and F.Y.; visualization, X.F. and F.Y.; supervision, X.F. and J.W.; project administration, X.F. and Y.Y.; funding acquisition, X.F., L.Q. and J.W. All authors have read and agreed to the published version of the manuscript.

Funding

This research was funded by the National Natural Science Foundation of China (No. 513798128), the Gansu Province Major Science and Technology Special Project (No. 22ZD6WA043), the Gansu Province Water Conservancy Science Experimental Research and Technology Promotion Project (25GSLK053, 25GSLK059, and 25GSLK070), the Lanzhou Science and Technology Plan Project (Science and Technology Support Special) (No. 2024-3-84), and the Young Faculty Interdisciplinary Research Cultivation Program of Lanzhou University of Technology (No. 062516).

Institutional Review Board Statement

Not applicable.

Informed Consent Statement

Not applicable.

Data Availability Statement

Some or all data, models, or code that support the findings of this study are available from the corresponding author upon reasonable request.

Conflicts of Interest

The authors declare no conflicts of interest.

References

  1. Jiang, H.Y.; Gong, J.W.; Wang, Z.Z.; Li, L.X.; Liu, Q.H.; Wang, Y. Analytical solution for the response of lined trapezoidal canals under soil frost action. Appl. Math. Model. 2022, 107, 815–833. [Google Scholar] [CrossRef]
  2. Zhang, S.; Sheng, D.C.; Zhao, G.T.; Niu, F.J.; He, Z.Y. A Potential New Frost Heave Mechanism in High-Speed Railway Embankments. Geotechnique 2015, 53, 520–529. [Google Scholar] [CrossRef]
  3. Zhang, S.Z.; Niu, F.J.; Wang, J.C.; Dong, T.C. Evaluation of damage probability of railway embankments in permafrost regions in Qinghai–Tibet Plateau. Eng. Geol. 2021, 284, 106027. [Google Scholar] [CrossRef]
  4. Yu, H.W.; Hao, F.F.; Yi, P.P.; Zhang, Q.; Ma, T.T. Experimental Investigation on the Effect of Salt Solution on the Soil Freezing Characteristic Curve for Expansive Soils. Sustainability 2024, 16, 363. [Google Scholar] [CrossRef]
  5. Ge, J.R.; Wang, Z.Z.; Niu, Y.H.; Wang, Y.; Xiao, M.; Liu, Q.H.; Jiang, H.Y. Elastic Foundation Beam Unified Model for Ice and Frost Damage Concrete Canal of Water Delivery under Ice Cover. Trans. Chin. Soc. Agric. Eng. 2020, 36, 90–98. [Google Scholar] [CrossRef]
  6. Ge, J.R.; Zhang, Y.X.; Wang, Z.Z.; Jiang, H.Y.; Niu, Y.H.; Xiao, M. Mechanical Modeling for Precast Trapezoidal Canal under the Influence of Bi-Directional Frost Heave and Field Experimental Verification. Cold Reg. Sci. Technol. 2025, 232, 104434. [Google Scholar] [CrossRef]
  7. Xiao, M.; Wang, Z.Z.; Wu, L.; Cui, H.; Yang, X.S.; Ge, J.R. Elastic frozen soil foundation beam model for trapezoidal canal lined with concrete precast slabs in cold regions. J. Hydraul. Eng. 2023, 54, 244–253. [Google Scholar] [CrossRef]
  8. Cai, Z.Y.; Zhang, C.; Zhu, X.; Huang, Y.H.; Wang, Y. Improvement of capacity and safety protection technology for long-distance water delivery projects in cold regions. Chin. J. Geotech. Eng. 2022, 44, 1239–1254. [Google Scholar] [CrossRef]
  9. Grigg, N.S. Large-scale Water Development in the United States: TVA and the California State Water Project. Int. J. Water Resour. Dev. 2021, 39, 70–88. [Google Scholar] [CrossRef]
  10. Kong, L.Z.; Quan, J.; Yang, Q.; Song, P.B.; Zhu, J. Automatic Control of the Middle Route Project for South-to-North Water Transfer Based on Linear Model Predictive Control Algorithm. Water 2019, 11, 1873. [Google Scholar] [CrossRef]
  11. Wang, Z.Z.; Liu, S.J.; Wang, Y.; Liu, Q.H.; Ge, J.R. Size effect on frost heave damage for lining trapezoidal canal with arc-bottom in cold regions. J. Hydraul. Eng. 2018, 49, 803–813. [Google Scholar] [CrossRef]
  12. Arzanfudi, M.M.; Al-Khoury, R.; Sluys, L.J.; Schreppers, G.M.A. A thermo-hydro-mechanical model for energy piles under cyclic thermal loading. Comput. Geotech. 2020, 125, 103560. [Google Scholar] [CrossRef]
  13. Wang, T.F.; Qu, S.J.; Liu, J.K.; Luo, Q.; Hu, T.F. Frost jacking of piles in seasonally and perennially frozen ground. Cold Reg. Sci. Technol. 2022, 203, 103662. [Google Scholar] [CrossRef]
  14. Li, S.Y.; Lai, Y.M.; Zhang, M.Y.; Pei, W.S.; Zhang, C.; Yu, F. Centrifuge and Numerical Modeling of the Frost Heave Mechanism of a Cold-Region Canal. Acta Geotech. 2018, 14, 1113–1128. [Google Scholar] [CrossRef]
  15. Li, S.Y.; Zhang, M.Y.; Tian, Y.B.; Pei, W.S.; Zhong, H. Experimental and Numerical Investigations on Frost Damage Mechanism of A Canal in Cold Regions. Cold Reg. Sci. Technol. 2015, 116, 1–11. [Google Scholar] [CrossRef]
  16. Guo, F.Q.; Li, G.T.; Cheng, M.C. An analysis of the influences of groundwater level changes on the frost heave and mechanical properties of trapezoidal channels. Water Policy 2020, 22, 1163–1181. [Google Scholar] [CrossRef]
  17. Tian, Y.; Jiang, H.B. Test for frost heaving damage mechanism of rigid-soften composite trapezoidal canal in seasonally frozen ground region. Trans. Chin. Soc. Agric. Eng. 2015, 31, 145–151. [Google Scholar] [CrossRef]
  18. Li, S.Y.; Zhang, M.Y.; Pei, W.S.; Lai, Y.M. Experimental and numerical simulations on heat-water-mechanics interaction mechanism in a freezing soil. Appl. Therm. Eng. 2018, 132, 209–220. [Google Scholar] [CrossRef]
  19. Li, S.Y.; Lai, Y.M.; Pei, W.S.; Zhang, S.J.; Zhong, H. Moisture-temperature changes of freeze-thaw hazards on a canal in seasonally frozen regions. Nat. Hazard. 2014, 72, 287–308. [Google Scholar] [CrossRef]
  20. Ji, Y.K.; Zhou, G.Q.; Vandeginste, V.; Zhou, Y. Thermal-hydraulic-mechanical coupling behavior and frost heave mitigation in freezing soil. Bull. Eng. Geol. Environ. 2021, 80, 2701–2713. [Google Scholar] [CrossRef]
  21. Shi, L.H.; Li, S.Y.; Wang, C.; Yang, J.L.; Zhao, Y.C. Heat-moisture-deformation coupled processes of a canal with a berm in seasonally frozen regions. Cold Reg. Sci. Technol. 2023, 207, 103773. [Google Scholar] [CrossRef]
  22. Gong, J.W.; Wang, Z.Z.; Jiang, H.Y.; Liang, S.; Zheng, A.L.; Liu, L.G. Mechanical model of frost heaving force in trapezoidal canal based on generalized Winkler elastic foundation beam theory. J. Glaciol. Geocryol. 2022, 44, 1593–1605. [Google Scholar] [CrossRef]
  23. Ge, J.R.; Yuan, Y.C.; Jiang, H.Y.; Wang, Z.Z.; Wang, Y.; Xiao, M. Mitigating frost damage in cold region canals: Performance evaluation of a two-layer geomembrane lining structure. Geotext. Geomembr. 2025, 53, 1458–1472. [Google Scholar] [CrossRef]
  24. Teng, R.J.; Gu, X.; Xia, X.Z.; Zhang, Q. Numerical Simulation of Frost Heave Deformation of Concrete-Lined Canal Considering Thermal-Hydro-Mechanical Coupling Effect. Water 2023, 15, 1412. [Google Scholar] [CrossRef]
  25. Guo, F.Q.; Shi, H.B.; Cheng, M.J.; Gao, W.H.; Yang, H.Z.; Miao, Q.F. A Study of the Insulation Mechanism and Anti-Frost Heave Effects of Polystyrene Boards in Seasonal Frozen Soil. Water 2018, 10, 979. [Google Scholar] [CrossRef]
  26. Guo, F.Q.; Li, G.T.; Cheng, M.J. A study of the insulating and anti-frost heave effects of polystyrene boards under molded bag concrete conditions. Water Policy 2021, 23, 1030–1043. [Google Scholar] [CrossRef]
  27. Mo, T.F.; Lou, Z.K. Numerical Simulation of Frost Heave of Concrete Lining Trapezoidal Channel Under an Open System. Water 2020, 12, 335. [Google Scholar] [CrossRef]
  28. Li, Z.; Liu, S.; Wang, L.J.; Zhang, C.C. Experimental study on the effect of frost heave prevention using soilbags. Cold Reg. Sci. Technol. 2013, 85, 109–116. [Google Scholar] [CrossRef]
  29. Li, Z.; He, Y.; Sheng, J.; Li, Y. A model-based experiment on the prevention of frost heave in canals using soil-bags. J. Mater. Sci. Eng. 2015, 4, 189. [Google Scholar] [CrossRef]
  30. Zhang, T.Z.; Wang, H.L.; Han, Y.H. Enhancing Frost Heave Resistance of Channel Sediment Hetao Irrigation District via Octadecyltrichlorosilane Modification and a Hydro-Thermo-Mechanical Coupled Model. Sustainability 2025, 17, 8083. [Google Scholar] [CrossRef]
  31. Xu, J.; Wang, Q.Z.; Ding, J.L.; Li, Y.F.; Wang, S.H.; Yang, Y.G. Frost Heave of Irrigation Canals in Seasonal Frozen Regions. Adv. Civ. Eng. 2019, 2019, 2367635. [Google Scholar] [CrossRef]
  32. Zhan, Y.X.; Zhao, M.Y.; Lu, Z.; Liu, G.; Yao, H.L. Study on Water-heat Coupling Migration Law and Frost Heave Effect of Soil Slope in Seasonal Frozen Regions During Groundwater Recharge. Environ. Earth Sci. 2023, 82, 401. [Google Scholar] [CrossRef]
  33. Wu, D.; Ma, D.H.; Wang, C.M.; Liu, H.L.; Liu, X.Y. Frost heave deformation and mechanism of canal with high groundwater table in seasonally frozen region. Environ. Earth Sci. 2023, 82, 583. [Google Scholar] [CrossRef]
  34. Jiang, H.Y.; Liu, Q.H.; Wang, Z.Z.; Gong, J.W.; Li, L.X. Frost Heave Modelling of the Sunny-Shady Slope Effect with Moisture-Heat-mechanical Coupling Considering Solar Radiation. Sol. Energy 2022, 233, 292–308. [Google Scholar] [CrossRef]
  35. Fu, H.; Song, E.X.; Tong, R. Numerical Simulation of Frost Heave of Saturated Soil Considering Thermo-hydro-mechanical Coupling. Int. J. Numer. Anal. Meth. Geomech. 2024, 48, 3–27. [Google Scholar] [CrossRef]
  36. Wu, Y.J.; Zhai, E.C.; Zhang, X.D.; Wang, G.; Lu, Y.T. A study on frost heave and thaw settlement of soil subjected to cyclic freeze-thaw conditions based on hydro-thermal-mechanical coupling analysis. Cold Reg. Sci. Technol. 2021, 188, 103296. [Google Scholar] [CrossRef]
  37. Chen, J.X.; Hu, T.T.; Hu, X.; Jia, K. Study on the Influence of Crack Depth on the Safety of Tunnel Lining Structure. Tunn. Undergr. Space Technol. 2024, 143, 105470. [Google Scholar] [CrossRef]
  38. Liu, B.; Sun, Y.D.; Han, Y.H.; Liu, N.; Li, T. Laboratory investigation on mechanical and hydraulic properties of sandstone under freeze–thaw cycle. Environ. Earth Sci. 2022, 81, 146. [Google Scholar] [CrossRef]
Figure 1. Location of the research area. (a) Test site location; (b) canal satellite image. Maps were drawn by the authors using ArcGIS 10.8 (Environmental Systems Research Institute, Inc., Eedlands City, CA, USA. https://www.esri.com/ (accessed on 1 March 2024)).
Figure 1. Location of the research area. (a) Test site location; (b) canal satellite image. Maps were drawn by the authors using ArcGIS 10.8 (Environmental Systems Research Institute, Inc., Eedlands City, CA, USA. https://www.esri.com/ (accessed on 1 March 2024)).
Sustainability 17 09432 g001
Figure 2. Typical frost-heave damage of concrete-lined canals. (a) Frost-heave damage; (b) collapse, overhead, and staggered joints.
Figure 2. Typical frost-heave damage of concrete-lined canals. (a) Frost-heave damage; (b) collapse, overhead, and staggered joints.
Sustainability 17 09432 g002
Figure 3. Schematic of the monitoring-instrument layout and canal replacement (e.g., Section III).
Figure 3. Schematic of the monitoring-instrument layout and canal replacement (e.g., Section III).
Sustainability 17 09432 g003
Figure 4. On-site installation of monitoring instruments. (a) Installation of monitoring instruments on canal slopes; (b) remote, automated data collection system.
Figure 4. On-site installation of monitoring instruments. (a) Installation of monitoring instruments on canal slopes; (b) remote, automated data collection system.
Sustainability 17 09432 g004
Figure 5. Daily maximum and minimum air temperature changes during two freeze–thaw cycles in the test area: (a) the first freeze–thaw cycle; (b) the second freeze–thaw cycle.
Figure 5. Daily maximum and minimum air temperature changes during two freeze–thaw cycles in the test area: (a) the first freeze–thaw cycle; (b) the second freeze–thaw cycle.
Sustainability 17 09432 g005
Figure 6. Ground temperature changes at different measuring points and depths in Section II and Section IV during the first freeze–thaw cycle: (a) top of cushion layer, (b) bottom of cushion layer, and (c) at a depth of 1.5 m; (d) top of cushion layer, (e) bottom of cushion layer, and (f) at a depth of 1.5 m.
Figure 6. Ground temperature changes at different measuring points and depths in Section II and Section IV during the first freeze–thaw cycle: (a) top of cushion layer, (b) bottom of cushion layer, and (c) at a depth of 1.5 m; (d) top of cushion layer, (e) bottom of cushion layer, and (f) at a depth of 1.5 m.
Sustainability 17 09432 g006
Figure 7. Ground temperature changes at different measuring points and depths in Section II and Section IV during the second freeze–thaw cycle: (a) top of cushion layer, (b) bottom of cushion layer, and (c) at a depth of 1.5 m; (d) top of cushion layer, (e) bottom of cushion layer, and (f) at a depth of 1.5 m.
Figure 7. Ground temperature changes at different measuring points and depths in Section II and Section IV during the second freeze–thaw cycle: (a) top of cushion layer, (b) bottom of cushion layer, and (c) at a depth of 1.5 m; (d) top of cushion layer, (e) bottom of cushion layer, and (f) at a depth of 1.5 m.
Sustainability 17 09432 g007
Figure 8. Changes in foundation soil moisture content at the cushion bottom of Sections I and III during two freeze–thaw cycles: (a,b) the first freeze–thaw cycle, (c,d) the second freeze–thaw cycle.
Figure 8. Changes in foundation soil moisture content at the cushion bottom of Sections I and III during two freeze–thaw cycles: (a,b) the first freeze–thaw cycle, (c,d) the second freeze–thaw cycle.
Sustainability 17 09432 g008
Figure 9. Changes in frost heave at each measuring point of sections II and IV during two freeze–thaw cycles: (a,b) the first freeze–thaw cycle, (c,d) the second freeze–thaw cycle.
Figure 9. Changes in frost heave at each measuring point of sections II and IV during two freeze–thaw cycles: (a,b) the first freeze–thaw cycle, (c,d) the second freeze–thaw cycle.
Sustainability 17 09432 g009
Figure 10. Correlation curve between frost heave and ground temperature at each measuring point of Section IV during the second freeze–thaw cycle.
Figure 10. Correlation curve between frost heave and ground temperature at each measuring point of Section IV during the second freeze–thaw cycle.
Sustainability 17 09432 g010
Figure 11. Comparison of maximum frost heave at the same measuring points between Section II and Section IV during two freeze–thaw cycles.
Figure 11. Comparison of maximum frost heave at the same measuring points between Section II and Section IV during two freeze–thaw cycles.
Sustainability 17 09432 g011
Table 1. Test scheme for sand-gravel replacement.
Table 1. Test scheme for sand-gravel replacement.
Canal OrientationTest SectionReplacement LocationReplacement Thickness (cm)
East–west directionIshady slope of canal40 (top) to 100 (bottom)
sunny slope of canal30 (top) to 70 (bottom)
bottom of canal70
IIshady slope of canal20 (top) to 50 (bottom)
sunny slope of canal15 (top) to 35 (bottom)
bottom of canal35
North–south directionIIIslope of canal30 (top) to 70 (bottom)
bottom of canal70
IVslope of canal15 (top) to 35 (bottom)
bottom of canal35
Table 2. Test section frost heave reduction rate.
Table 2. Test section frost heave reduction rate.
(a) East–West Orientation
Measuring PointsMaximum Frost Heave (cm)Frost Heave Reduction Rate
Section ISection II
A0.872.350.63
B0.742.580.71
C0.982.170.55
D0.722.370.70
E0.551.930.72
(b) North–South Orientation
Measuring PointsMaximum Frost Heave (cm)Frost Heave Reduction Rate
Section IIISection IV
A0.762.060.63
B0.962.330.59
C0.92.190.59
D0.922.210.58
E0.881.970.55
Disclaimer/Publisher’s Note: The statements, opinions and data contained in all publications are solely those of the individual author(s) and contributor(s) and not of MDPI and/or the editor(s). MDPI and/or the editor(s) disclaim responsibility for any injury to people or property resulting from any ideas, methods, instructions or products referred to in the content.

Share and Cite

MDPI and ACS Style

Fan, X.; Ye, F.; Qin, L.; Yan, Y.; Wang, L.; Wei, J. Frost Heave Characteristics of Lined Canals with Sand-Gravel Replacement in Seasonally Frozen Regions. Sustainability 2025, 17, 9432. https://doi.org/10.3390/su17219432

AMA Style

Fan X, Ye F, Qin L, Yan Y, Wang L, Wei J. Frost Heave Characteristics of Lined Canals with Sand-Gravel Replacement in Seasonally Frozen Regions. Sustainability. 2025; 17(21):9432. https://doi.org/10.3390/su17219432

Chicago/Turabian Style

Fan, Xinjian, Fei Ye, Li Qin, Yupei Yan, Lirong Wang, and Jiafang Wei. 2025. "Frost Heave Characteristics of Lined Canals with Sand-Gravel Replacement in Seasonally Frozen Regions" Sustainability 17, no. 21: 9432. https://doi.org/10.3390/su17219432

APA Style

Fan, X., Ye, F., Qin, L., Yan, Y., Wang, L., & Wei, J. (2025). Frost Heave Characteristics of Lined Canals with Sand-Gravel Replacement in Seasonally Frozen Regions. Sustainability, 17(21), 9432. https://doi.org/10.3390/su17219432

Note that from the first issue of 2016, this journal uses article numbers instead of page numbers. See further details here.

Article Metrics

Back to TopTop