The Negative Role of Ankyrin-Repeat and SOCS-Box Protein 9 in PAR1 Expression and the MAPK Signaling Pathway in Bovine Granulosa Cells
Simple Summary
Abstract
1. Introduction
2. Materials and Methods
2.1. Cell Culture
2.2. RNA Preparation and RT-qPCR Analyses
2.3. Western Blot Analyses
2.4. Functional Analyses
2.5. Proliferation and Caspase 3/7 Activity Assays
2.6. Statistical Analysis
3. Results
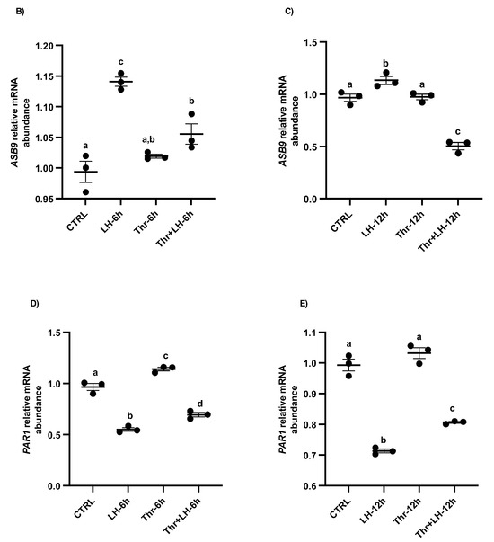
3.1. ASB9 and PAR1 Expression Are Differentially Regulated by Gonadotropins (LH and FSH) and Thrombin
3.2. ASB9’s Effects on Target Binding Partners
3.3. Regulation of PAR1 by Thrombin
3.4. Thrombin Treatment Increased MAPK3/1 (ERK1/2) Phosphorylation in GCs, Possibly Through PAR1
3.5. ASB9 Affects Proliferation, Differentiation, and Apoptosis of GCs In Vitro
4. Discussion
5. Conclusions
Supplementary Materials
Author Contributions
Funding
Institutional Review Board Statement
Informed Consent Statement
Data Availability Statement
Acknowledgments
Conflicts of Interest
Abbreviations
| AREG | Amphiregulin |
| ASB | Ankyrin-repeat SOCS-box |
| ASB9 | Ankyrin-repeat SOCS-box protein 9 |
| BAX | Bcl-2 like protein 4 |
| CCND2 | Cyclin-D 2 |
| CCNE2 | Cyclin-E 2 |
| Cul5-RBX2 | Cullin-RING ligase 5–RING protein RBX2 |
| CYP11A1 | Cytochrome P450 Cholesterol Side-Chain Cleavage, Family 11, Subfamily A, Polypeptide 1 |
| CYP19A1 | Cytochrome P450, Family 19, Subfamily A, Polypeptide 1 |
| E3 | Ubiquitin ligase |
| ERK1/2 | Extracellular-Signal-Regulated Kinase |
| FSH | Follicle-stimulating hormone |
| GC | Granulosa cell |
| hCG | Human Chorionic Gonadotropin |
| LH | Luteinizing hormone |
| MAPK3/1 | Mitogen-activated protein kinase 3/1 |
| PAR1 | Protease-activated receptor 1 |
| RPL19 | Ribosomal Protein L19 |
| StAR | Steroidogenic Acute Regulatory protein |
| SOCS | Suppressor of cytokine signaling |
| TNFAIP6 | Tumor Necrosis Factor-Inducible Gene 6 Protein |
References
- Gérard, N.; Robin, E. Cellular and molecular mechanisms of the preovulatory follicle differenciation and ovulation: What do we know in the mare relative to other species. Theriogenology 2019, 130, 163–176. [Google Scholar] [CrossRef]
- Carvalho, P.D.; Santos, V.G.; Giordano, J.O.; Wiltbank, M.C.; Fricke, P.M. Development of fertility programs to achieve high 21-day pregnancy rates in high-producing dairy cows. Theriogenology 2018, 114, 165–172. [Google Scholar] [CrossRef]
- Fang, L.; Sun, Y.; Cheng, J. The role of amphiregulin in ovarian function and disease. Cell. Mol. Life Sci. 2023, 80, 60. [Google Scholar] [CrossRef]
- Baddela, V.; Michaelis, M.; Sharma, A.; Plinski, C.; Viergutz, T.; Vanselow, J. Estradiol production of granulosa cells is unaffected by the physiological mix of nonesterified fatty acids in follicular fluid. J. Biol. Chem. 2022, 298, 102477. [Google Scholar] [CrossRef]
- Godin, P.; Tsoi, M.; Morin, M.; Gévry, N.; Boerboom, D. The granulosa cell response to luteinizing hormone is partly mediated by YAP1-dependent induction of amphiregulin. Cell Commun. Signal. 2022, 20, 72. [Google Scholar] [CrossRef]
- Adams, G.P.; Singh, J. Ovarian Follicular and Luteal Dynamics in Cattle. In Bovine Reproduction; Wiley: Hoboken, NJ, USA, 2021; pp. 292–323. [Google Scholar]
- Duffy, D.M.; Ko, C.; Jo, M.; Brannstrom, M.; Curry, T.E.J. Ovulation: Parallels With Inflammatory Processes. Endocr. Rev. 2018, 40, 369–416. [Google Scholar] [CrossRef]
- Gershon, E.; Dekel, N. Newly Identified Regulators of Ovarian Folliculogenesis and Ovulation. Int. J. Mol. Sci. 2020, 21, 4565. [Google Scholar] [CrossRef]
- Chakravarthi, V.P.; Ratri, A.; Masumi, S.; Borosha, S.; Ghosh, S.; Christenson, L.K.; Roby, K.F.; Wolfe, M.W.; Rumi, M.A.K. Granulosa cell genes that regulate ovarian follicle development beyond the antral stage: The role of estrogen receptor β. Mol. Cell Endocrinol. 2021, 528, 111212. [Google Scholar] [CrossRef]
- Conti, M.; Hsieh, M.; Zamah, A.M.; Oh, J.S. Novel signaling mechanisms in the ovary during oocyte maturation and ovulation. Mol. Cell Endocrinol. 2012, 356, 65–73. [Google Scholar] [CrossRef]
- Ndiaye, K.; Fayad, T.; Silversides, D.W.; Sirois, J.; Lussier, J.G. Identification of downregulated messenger RNAs in bovine granulosa cells of dominant follicles following stimulation with human chorionic gonadotropin. Biol. Reprod. 2005, 73, 324–333. [Google Scholar] [CrossRef][Green Version]
- Gilbert, I.; Robert, C.; Dieleman, S.; Blondin, P.; Sirard, M.A. Transcriptional effect of the LH surge in bovine granulosa cells during the peri-ovulation period. Reproduction 2011, 141, 193–205. [Google Scholar] [CrossRef][Green Version]
- Lussier, J.G.; Diouf, M.N.; Levesque, V.; Sirois, J.; Ndiaye, K. Gene expression profiling of upregulated mRNAs in granulosa cells of bovine ovulatory follicles following stimulation with hCG. Reprod. Biol. Endocrinol. RBE 2017, 15, 88. [Google Scholar] [CrossRef]
- Okada, M.; Lee, L.; Maekawa, R.; Sato, S.; Kajimura, T.; Shinagawa, M.; Tamura, I.; Taketani, T.; Asada, H.; Tamura, H.; et al. Epigenetic Changes of the Cyp11a1 Promoter Region in Granulosa Cells Undergoing Luteinization During Ovulation in Female Rats. Endocrinology 2016, 157, 3344–3354. [Google Scholar] [CrossRef]
- Christenson, L.K.; Gunewardena, S.; Hong, X.; Spitschak, M.; Baufeld, A.; Vanselow, J. Research resource: Preovulatory LH surge effects on follicular theca and granulosa transcriptomes. Mol. Endocrinol. 2013, 27, 1153–1171. [Google Scholar] [CrossRef]
- Perry, G.A.; Ketchum, J.; Quail, L. Importance of preovulatory estradiol on uterine receptivity and luteal function. Anim. Reprod. 2023, 20, e20230061. [Google Scholar] [CrossRef]
- Selvaraju, S.; Binsila, B.K.; Krishnappa, B.; Arangasamy, A. Essential Roles of Metabolic Hormones on Gonadal Functions and Fertility of Livestock; Springer Nature: Singapore, 2022; pp. 69–82. [Google Scholar]
- Thatcher, W. A 100-Year Review: Historical development of female reproductive physiology in dairy cattle. J. Dairy Sci. 2017, 100, 10272–10291. [Google Scholar] [CrossRef]
- Benoit, G.; Warma, A.; Lussier, J.; Ndiaye, K. Gonadotropin regulation of ankyrin-repeat and SOCS-box protein 9 (ASB9) in ovarian follicles and identification of binding partners. PLoS ONE 2019, 14, e0212571. [Google Scholar] [CrossRef]
- Nosratpour, S.; Ndiaye, K. Ankyrin-repeat and SOCS box-containing protein 9 (ASB9) regulates ovarian granulosa cells function and MAPK signaling. Mol. Reprod. Dev. 2021, 88, 830–843. [Google Scholar] [CrossRef]
- Kohroki, J.; Nishiyama, T.; Nakamura, T.; Masuho, Y. ASB proteins interact with Cullin5 and Rbx2 to form E3 ubiquitin ligase complexes. FEBS Lett. 2005, 579, 6796–6802. [Google Scholar] [CrossRef]
- Kostrhon, S.; Prabu, J.R.; Baek, K.; Horn-Ghetko, D.; Von Gronau, S.; Klügel, M.; Basquin, J.; Alpi, A.F.; Schulman, B.A. CUL5-ARIH2 E3-E3 ubiquitin ligase structure reveals cullin-specific NEDD8 activation. Nat. Chem. Biol. 2021, 17, 1075–1083. [Google Scholar] [CrossRef]
- Bano, I.; Soomro, A.S.; Abbas, S.Q.; Ahmadi, A.; Hassan, S.S.U.; Behl, T.; Bungau, S. A Comprehensive Review of Biological Roles and Interactions of Cullin-5 Protein. ACS Omega 2022, 7, 5615–5624. [Google Scholar] [CrossRef]
- Anasa, V.; Ravanan, P.; Talwar, P. Multifaceted roles of ASB proteins and its pathological significance. Front. Biol. 2018, 13, 376–388. [Google Scholar] [CrossRef]
- Huang, L.; Yuan, H.; Shi, S.; Song, X.; Zhang, L.; Zhou, X.; Gao, L.; Pang, W.; Yang, G.; Chu, G. CLOCK inhibits the proliferation of porcine ovarian granulosa cells by targeting ASB9. J. Anim. Sci. Biotechnol. 2023, 14, 82. [Google Scholar] [CrossRef]
- Russo, A.; Soh, U.J.K.; Paing, M.M.; Arora, P.; Trejo, J. Caveolae are required for protease-selective signaling by protease-activated receptor–1. Proc. Natl. Acad. Sci. USA 2009, 106, 6393–6397. [Google Scholar] [CrossRef]
- Heuberger, D.; Schuepbach, R. Protease-activated receptors (PARs): Mechanisms of action and potential therapeutic modulators in PAR-driven inflammatory diseases. Thromb. J. 2019, 17, 4. [Google Scholar] [CrossRef]
- Vu, T.K.; Hung, D.T.; Wheaton, V.I.; Coughlin, S.R. Molecular cloning of a functional thrombin receptor reveals a novel proteolytic mechanism of receptor activation. Cell 1991, 64, 1057–1068. [Google Scholar] [CrossRef]
- Wang, Q.; Liu, Q.; Wang, T.; Yang, H.; Han, Z.; Zhang, P. Endothelial cell protein C receptor promotes MGC803 gastric cancer cells proliferation and migration by activating ERK1/2. Med. Oncol. 2015, 32, 162. [Google Scholar] [CrossRef]
- Cheng, Y.; Kawamura, K.; Deguchi, M.; Takae, S.; Mulders, S.M.; Hsueh, A.J. Intraovarian thrombin and activated protein C signaling system regulates steroidogenesis during the periovulatory period. Mol. Endocrinol. 2012, 26, 331–340. [Google Scholar] [CrossRef]
- Grisaru-Granovsky, S.; Maoz, M.; Barzilay, O.; Yin, Y.J.; Prus, D.; Bar-Shavit, R. Protease activated receptor-1, PAR1, promotes placenta trophoblast invasion and beta-catenin stabilization. J. Cell Physiol. 2009, 218, 512–521. [Google Scholar] [CrossRef]
- Agarwal, A.; Covic, L.; Sevigny, L.M.; Kaneider, N.C.; Lazarides, K.; Azabdaftari, G.; Sharifi, S.; Kuliopulos, A. Targeting a metalloprotease-PAR1 signaling system with cell-penetrating pepducins inhibits angiogenesis, ascites, and progression of ovarian cancer. Mol. Cancer Ther. 2008, 7, 2746–2757. [Google Scholar] [CrossRef]
- Livak, K.; Schmittgen, T. Analysis of Relative Gene Expression Data Using Real-Time Quantitative PCR and the 2−ΔΔCT Method. Methods 2001, 25, 402–408. [Google Scholar] [CrossRef]
- Crookenden, M.A.; Walker, C.G.; Kuhn-Sherlock, B.; Murray, A.; Dukkipati, V.S.R.; Heiser, A.; Roche, J.R. Technical note: Evaluation of endogenous control gene expression in bovine neutrophils by reverse-transcription quantitative PCR using microfluidics gene expression arrays. J. Dairy Sci. 2017, 100, 6763–6771. [Google Scholar] [CrossRef] [PubMed]
- Sweett, H.; Fonseca, P.A.S.; Suárez-Vega, A.; Livernois, A.; Miglior, F.; Cánovas, A. Genome-wide association study to identify genomic regions and positional candidate genes associated with male fertility in beef cattle. Sci. Rep. 2020, 10, 20102. [Google Scholar] [CrossRef] [PubMed]
- Siddappa, D.; Beaulieu, É.; Gévry, N.; Roux, P.P.; Bordignon, V.; Duggavathi, R. Effect of the transient pharmacological inhibition of Mapk3/1 pathway on ovulation in mice. PLoS ONE 2015, 10, e0119387. [Google Scholar] [CrossRef] [PubMed]
- Han, Y.; Xia, G.; Tsang, B.K. Regulation of cyclin D2 expression and degradation by follicle-stimulating hormone during rat granulosa cell proliferation in vitro. Biol. Reprod. 2013, 88, 57. [Google Scholar] [CrossRef]
- Suryadinata, R.; Sadowski, M.; Sarcevic, B. Control of cell cycle progression by phosphorylation of cyclin-dependent kinase (CDK) substrates. Biosci. Rep. 2010, 30, 243–255. [Google Scholar] [CrossRef]
- Li, N.; Zhou, Q.; Yi, Z.; Zhang, H.; Zhou, D. Ubiquitin protein E3 ligase ASB9 suppresses proliferation and promotes apoptosis in human spermatogonial stem cell line by inducing HIF1AN degradation. Biol. Res. 2023, 56, 4. [Google Scholar] [CrossRef]
- Ludeman, M.J.; Kataoka, H.; Srinivasan, Y.; Esmon, N.L.; Esmon, C.T.; Coughlin, S.R. PAR1 cleavage and signaling in response to activated protein C and thrombin. J. Biol. Chem. 2005, 280, 13122–13128. [Google Scholar] [CrossRef]
- Roach, L.E.; Petrik, J.; Plante, L.; LaMarre, J.; Gentry, P. Thrombin Generation and Presence of Thrombin Receptor in Ovarian Follicles1. Biol. Reprod. 2002, 66, 1350–1358. [Google Scholar] [CrossRef]
- Liu, P.; Verhaar, A.P.; Peppelenbosch, M.P. Signaling Size: Ankyrin and SOCS Box-Containing ASB E3 Ligases in Action. Trends Biochem. Sci. 2019, 44, 64–74. [Google Scholar] [CrossRef]
- Schuermann, Y.; Rovani, M.T.; Gasperin, B.; Ferreira, R.; Ferst, J.; Madogwe, E.; Goncalves, P.B.; Bordignon, V.; Duggavathi, R. ERK1/2-dependent gene expression in the bovine ovulating follicle. Sci. Rep. 2018, 8, 16170. [Google Scholar] [CrossRef]
- Panigone, S.; Hsieh, M.; Fu, M.; Persani, L.; Conti, M. Luteinizing hormone signaling in preovulatory follicles involves early activation of the epidermal growth factor receptor pathway. Mol. Endocrinol. 2008, 22, 924–936. [Google Scholar] [CrossRef]
- Chalmers, C.J.; Balmanno, K.; Hadfield, K.; Ley, R.; Cook, S.J. Thrombin inhibits Bim (Bcl-2-interacting mediator of cell death) expression and prevents serum-withdrawal-induced apoptosis via protease-activated receptor 1. Biochem. J. 2003, 375 Pt 1, 99–109. [Google Scholar] [CrossRef] [PubMed][Green Version]
- Donovan, F.M.; Pike, C.J.; Cotman, C.W.; Cunningham, D.D. Thrombin induces apoptosis in cultured neurons and astrocytes via a pathway requiring tyrosine kinase and RhoA activities. J. Neurosci. 1997, 17, 5316–5326. [Google Scholar] [CrossRef]
- Hirota, Y.; Osuga, Y.; Yoshino, O.; Koga, K.; Yano, T.; Hirata, T.; Nose, E.; Ayabe, T.; Namba, A.; Tsutsumi, O.; et al. Possible roles of thrombin-induced activation of protease-activated receptor 1 in human luteinized granulosa cells. J. Clin. Endocrinol. Metab. 2003, 88, 3952–3957. [Google Scholar] [CrossRef] [PubMed]
- Zain, J.; Huang, Y.Q.; Feng, X.; Nierodzik, M.L.; Li, J.J.; Karpatkin, S. Concentration-dependent dual effect of thrombin on impaired growth/apoptosis or mitogenesis in tumor cells. Blood 2000, 95, 3133–3138. [Google Scholar] [CrossRef]
- Flynn, A.N.; Buret, A.G. Proteinase-activated receptor 1 (PAR-1) and cell apoptosis. Apoptosis 2004, 9, 729–737. [Google Scholar] [CrossRef]
- Tokuoka, M.; Miyoshi, N.; Hitora, T.; Mimori, K.; Tanaka, F.; Shibata, K.; Ishii, H.; Sekimoto, M.; Doki, Y.; Mori, M. Clinical significance of ASB9 in human colorectal cancer. Int. J. Oncol. 2010, 37, 1105–1111. [Google Scholar] [CrossRef][Green Version]
- Uranbileg, B.; Enooku, K.; Soroida, Y.; Ohkawa, R.; Kudo, Y.; Nakagawa, H.; Tateishi, R.; Yoshida, H.; Shinzawa, S.; Moriya, K.; et al. High ubiquitous mitochondrial creatine kinase expression in hepatocellular carcinoma denotes a poor prognosis with highly malignant potential. Int. J. Cancer 2014, 134, 2189–2198. [Google Scholar] [CrossRef]
- Wang, H.; Ubl, J.; Stricker, R.; Reiser, G. Thrombin (PAR-1)-induced proliferation in astrocytes via MAPK involves multiple signaling pathways. Am. J. Physiol.-Cell Physiol. 2002, 283, C1351–C1364. [Google Scholar] [CrossRef]








| Gene Name | Primer Sequences (5′– 3′) a | Accession # | AS (bp) |
|---|---|---|---|
| ASB9 | Fwd: TCACTGCAGATCGTGTGTCTC; Rv: TCTTAGCAGCTTCGTGGATGG | AY438595 | 165 |
| PAR1 | Fwd: GCCTGGCTGACTGTCTTTATC; Rv: AGCACACACACGAAGAGTACG | NM_001103097 | 170 |
| AREG | Fwd: CTTTCGTCTCTGCCATGACCTT; Rv: CGTTCTTCAGCGACACCTTCA | NM_001099092.1 | 192 |
| CYP19A1 | Fwd: ATCTGTGCTGATTCCATCACCAAG; Rv: GAAGGAGAGCTTGCCATGCATC | NM_176644.2 | 167 |
| CYP11A1 | Fwd: GTGCAAGTGGCCATCTATGCC; Rv: GTGTCCACGTCACCGATATGC | NM_174305.1 | 161 |
| TNFAIP6 | Fwd: CTCCAGGCTTCCCAAATGAGT; Rv: GCTGGGTCATCTTCAAGGTCA | NM_001007813 | 118 |
| StAR | Fwd: GGAAAAGACACGGTCATCACT; Rv: AGTTTGGTCCTTGAGGGACTT | NM_174189.3 | 177 |
| CCND2 | Fwd: GGGCAAGTTGAAATGGAACCT; Rv: TGGCAAACTTGAAGTCAGTGG | NM_001076372 | 155 |
| BAX | Fwd: TGTCGCCCTTTTCTACTTTGC; Rv: CAAAGATGGTCACTGTCTGCC | NM_173894 | 200 |
| RPL19 | Fwd: GACCAATGAAATCGCCAATGC; Rv: ACCTATACCCATATGCCTGCC | NM_001040516 | 154 |
Disclaimer/Publisher’s Note: The statements, opinions and data contained in all publications are solely those of the individual author(s) and contributor(s) and not of MDPI and/or the editor(s). MDPI and/or the editor(s) disclaim responsibility for any injury to people or property resulting from any ideas, methods, instructions or products referred to in the content. |
© 2025 by the authors. Licensee MDPI, Basel, Switzerland. This article is an open access article distributed under the terms and conditions of the Creative Commons Attribution (CC BY) license (https://creativecommons.org/licenses/by/4.0/).
Share and Cite
Naranjo Gonzalez, D.; Ndiaye, K. The Negative Role of Ankyrin-Repeat and SOCS-Box Protein 9 in PAR1 Expression and the MAPK Signaling Pathway in Bovine Granulosa Cells. Biology 2025, 14, 1344. https://doi.org/10.3390/biology14101344
Naranjo Gonzalez D, Ndiaye K. The Negative Role of Ankyrin-Repeat and SOCS-Box Protein 9 in PAR1 Expression and the MAPK Signaling Pathway in Bovine Granulosa Cells. Biology. 2025; 14(10):1344. https://doi.org/10.3390/biology14101344
Chicago/Turabian StyleNaranjo Gonzalez, Daniela, and Kalidou Ndiaye. 2025. "The Negative Role of Ankyrin-Repeat and SOCS-Box Protein 9 in PAR1 Expression and the MAPK Signaling Pathway in Bovine Granulosa Cells" Biology 14, no. 10: 1344. https://doi.org/10.3390/biology14101344
APA StyleNaranjo Gonzalez, D., & Ndiaye, K. (2025). The Negative Role of Ankyrin-Repeat and SOCS-Box Protein 9 in PAR1 Expression and the MAPK Signaling Pathway in Bovine Granulosa Cells. Biology, 14(10), 1344. https://doi.org/10.3390/biology14101344

