Effects of Ridge and Furrow Planting Patterns on Crop Yield and Grain Quality in Dryland Maize–Wheat Double Cropping System
Abstract
1. Introduction
2. Results
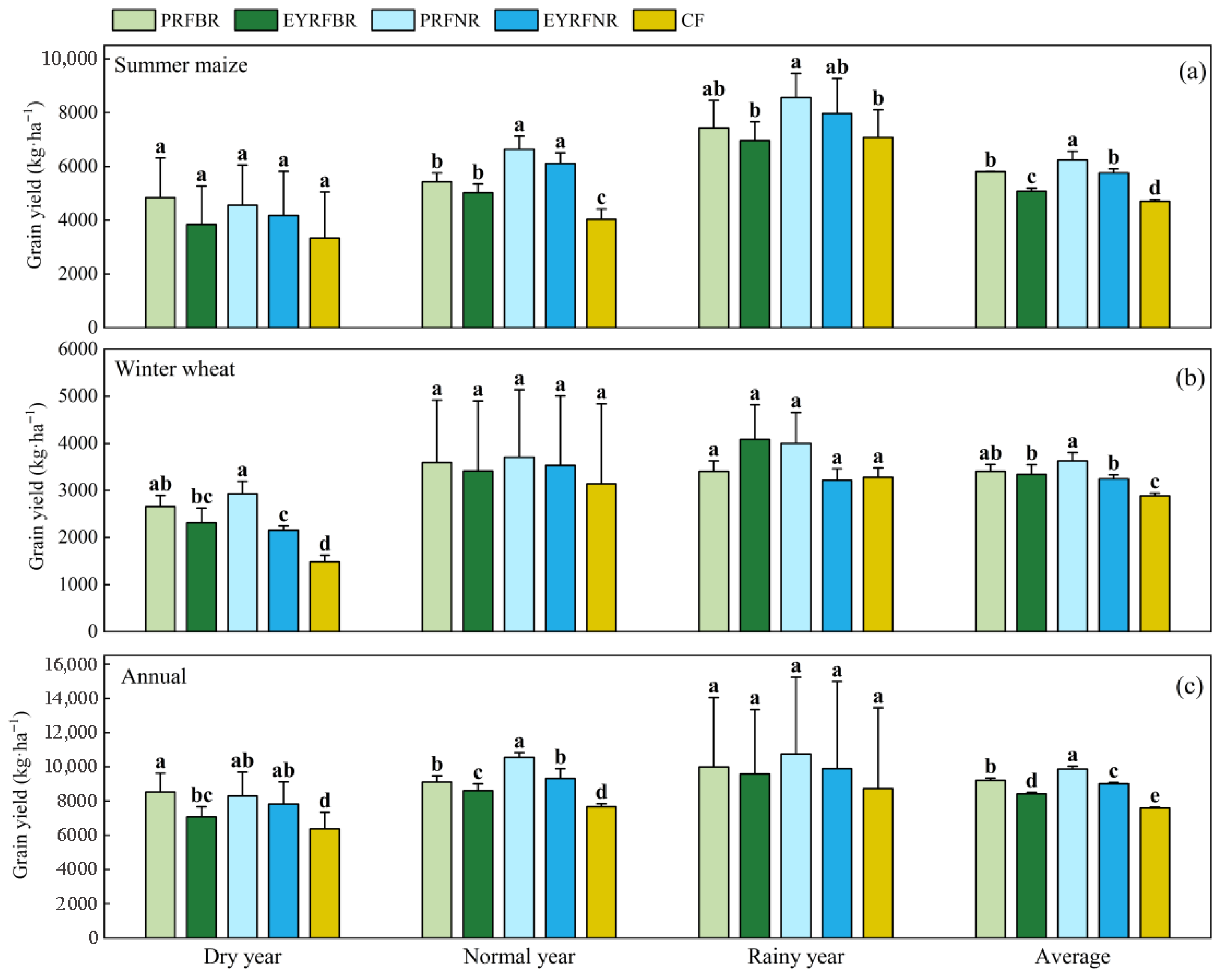
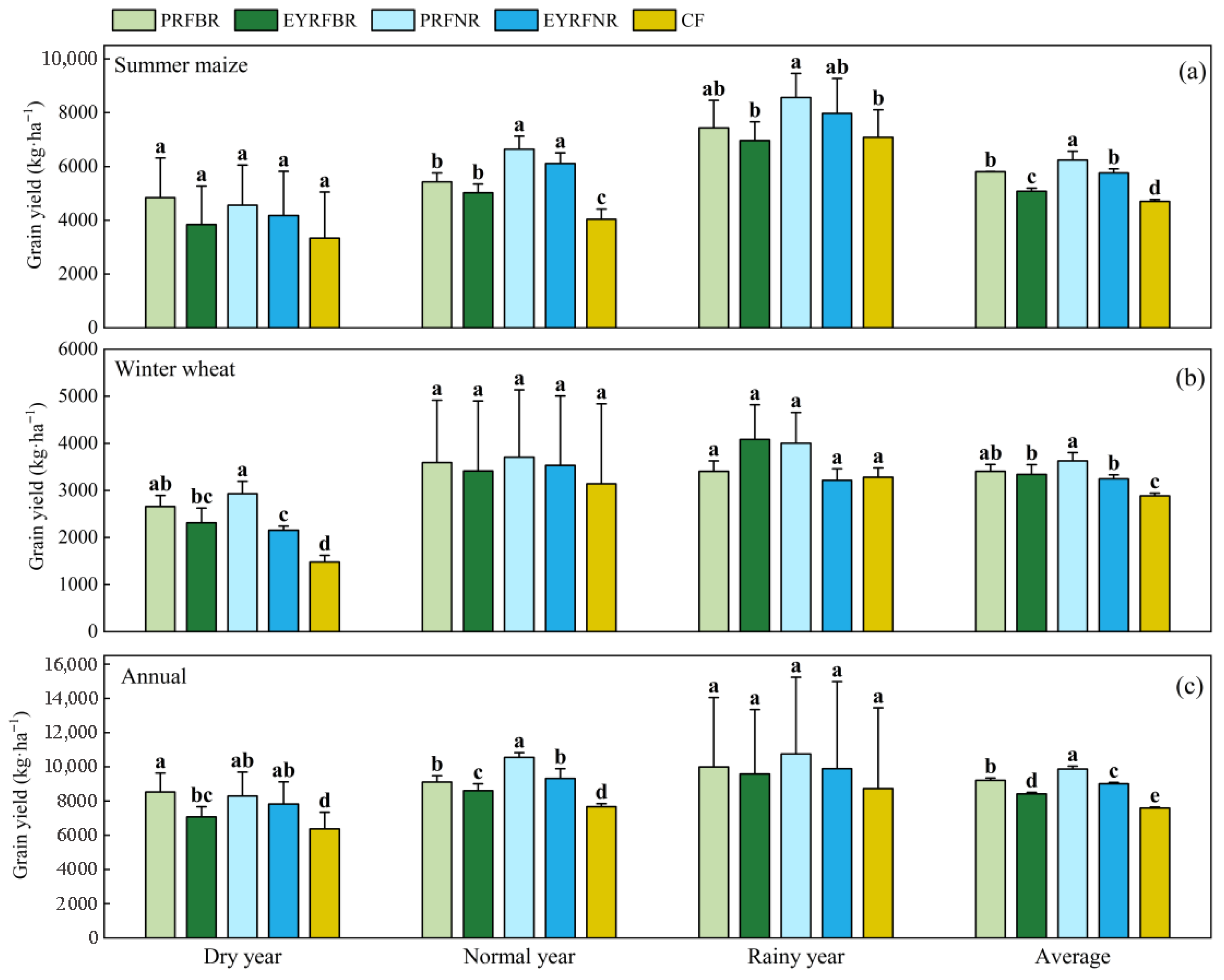
2.1. Grain Yield
2.2. Protein Content and Protein Yield
2.3. P and K Contents in Crop Grains
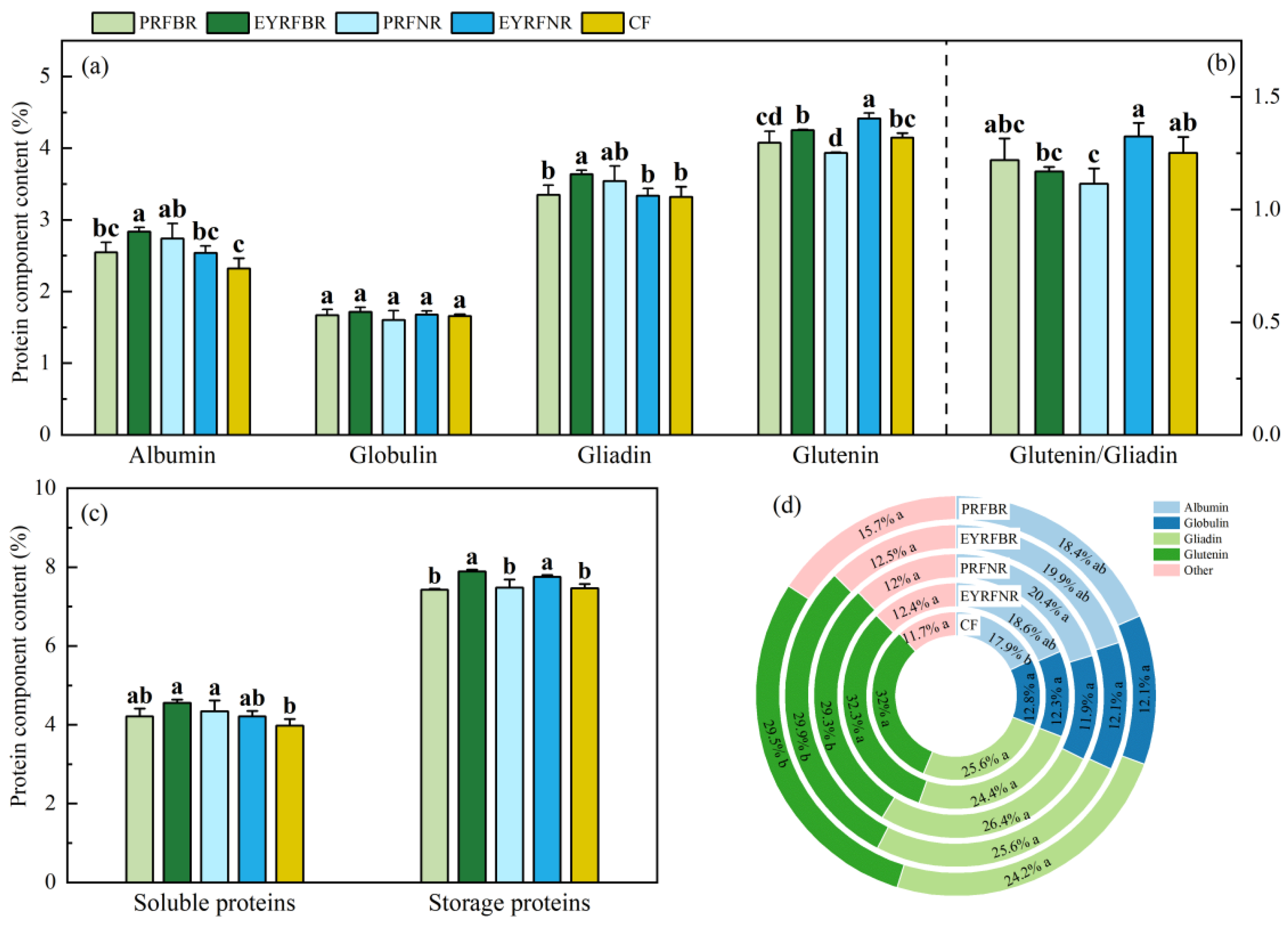
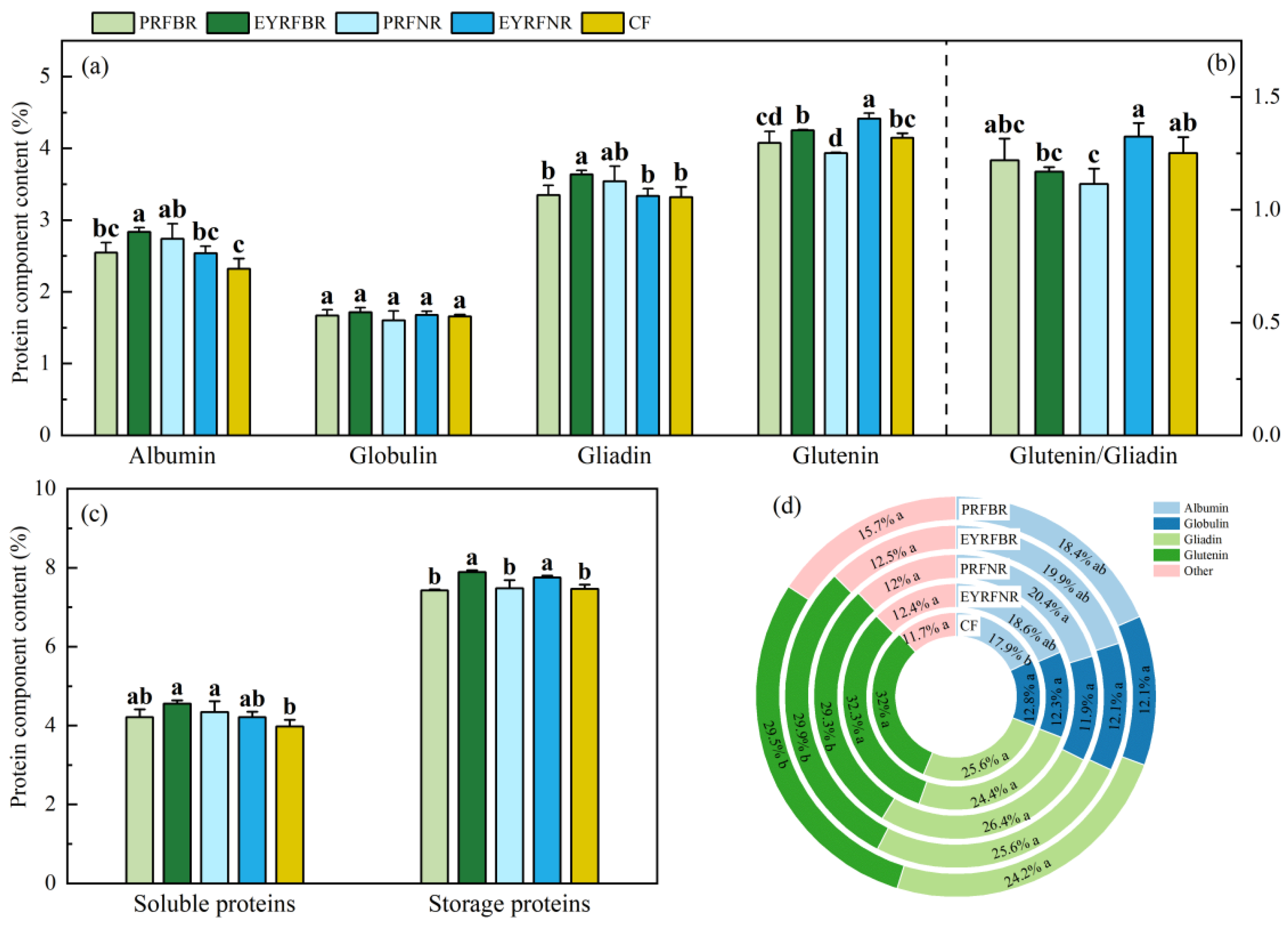
2.4. Contents of Protein Components in Winter Wheat
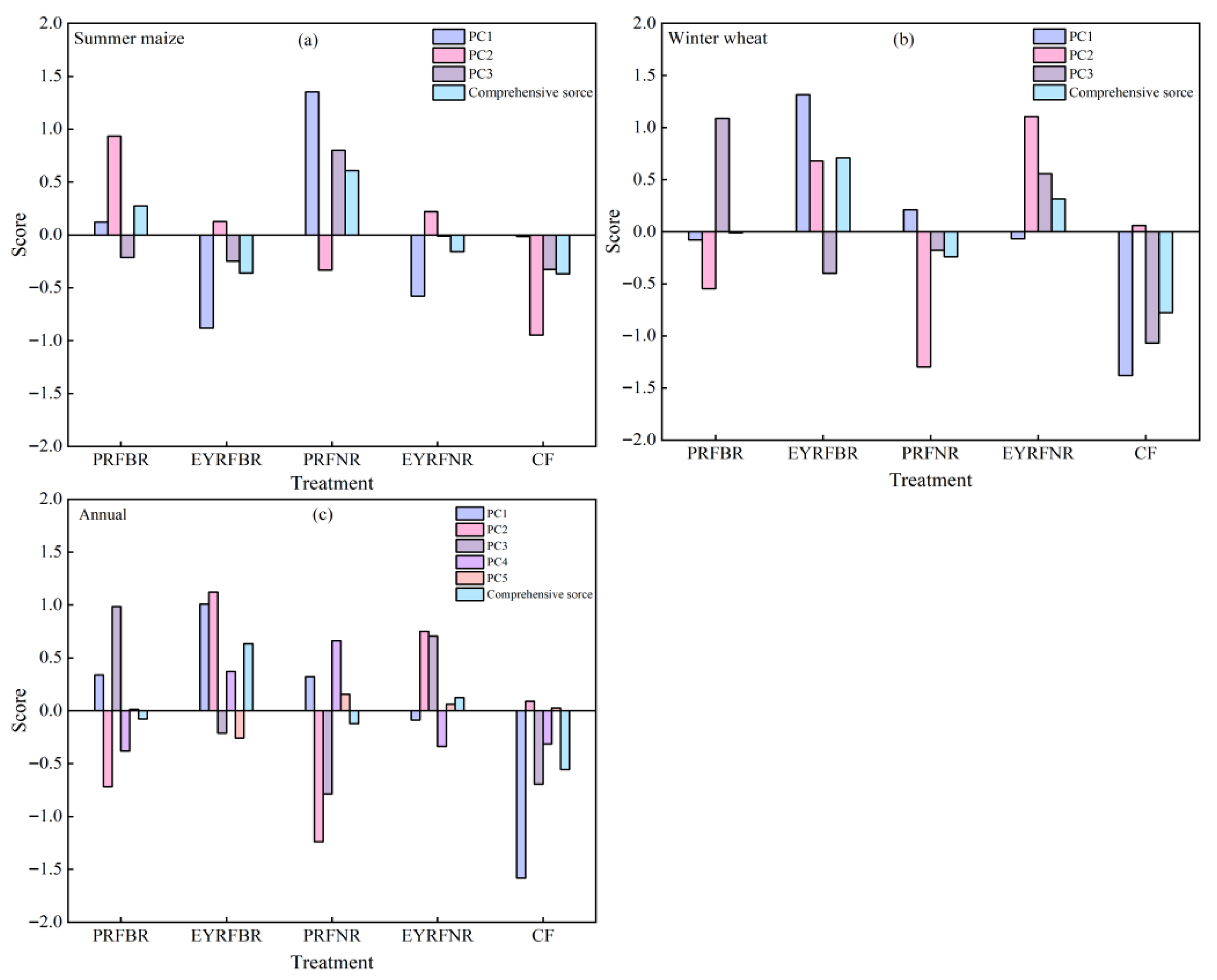
2.5. Comprehensive Evaluation
2.5.1. Principal Component Analysis
2.5.2. TOPSIS Analysis
3. Discussion
3.1. Effect of Ridge and Furrow Planting Patterns on Crop Yield in a Dryland Maize–Wheat Double-Cropping System and Its Response to Precipitation Type
3.2. Effect of Ridge and Furrow Pattern on Crop Yield Quality in Dryland Maize–Wheat Double-Cropping System
3.3. Comprehensive Evaluation of Ridge and Furrow Pattern on Crop Yield and Quality in Dryland Maize–Wheat Double-Cropping System
4. Materials and Methods
4.1. Experimental Site Description
4.2. Experimental Design and Field Management
4.3. Measurements and Methods
4.3.1. Grain Yield
4.3.2. Grain Protein Content and Protein Yield
4.3.3. Grain P and K Content
4.3.4. Grain Protein Components
4.4. Calculation of Comprehensive Evaluation Value
4.4.1. Principal Component Analysis (PCA)
4.4.2. Calculation of Comprehensive Evaluation Values for Each Scheme Using Technique for Order Preference by Similarity to Ideal Solution (TOPSIS)
4.5. Statistical Analysis
5. Conclusions
Supplementary Materials
Author Contributions
Funding
Data Availability Statement
Acknowledgments
Conflicts of Interest
References
- FAOSTAT. Crops and Livestock Products. 2023. Available online: https://www.fao.org/faostat/en/#data/QCL (accessed on 16 September 2025).
- Ray, D.K.; Ramankutty, N.; Mueller, N.D.; West, P.C. Recent patterns of crop yield growth and stagnation. Nat. Commun. 2012, 3, 1293. [Google Scholar] [CrossRef]
- Luo, N.; Meng, Q.F.; Feng, P.Y.; Qu, Z.R.; Yu, Y.H.; Liu, D.L.; Müller, C.; Wang, P. China can be self-sufficient in maize production by 2030 with optimal crop management. Nat. Commun. 2023, 14, 2637. [Google Scholar] [CrossRef]
- Wang, J.; Barański, M.; Hasanaliyeva, G.; Korkut, R.; Kalee, H.A.; Leifert, A.; Winter, S.; Janovska, D.; Willson, A.; Barkla, B.; et al. Effect of irrigation, fertiliser type and variety on grain yield and nutritional quality of spelt wheat (Triticum spelta) grown under semi-arid conditions. Food Chem. 2021, 358, 129826. [Google Scholar] [CrossRef]
- Qureshi, M.E.; Dixon, J.; Wood, M. Public policies for improving food and nutrition security at different scales. Food Secur. 2015, 7, 393–403. [Google Scholar] [CrossRef]
- Dun, Y.; Wu, C.; Zhou, M.; Tian, X.; Wu, G.Q. Wheat straw-and maize straw-derived biochar effects on the soil cadmium fractions and bioaccumulation in the wheat-maize rotation system. Front. Environ. Sci. 2022, 10, 980893. [Google Scholar] [CrossRef]
- Huang, M.; Xiao, H.S.; Zhang, J.; Li, S.; Peng, Y.M.; Guo, J.H.; Jiang, P.P.; Wang, R.R.; Chen, Y.S.; Li, C.X.; et al. Effects of long-term positioning tillage method and straw management on crop yield and nutrient accumulation and utilization in dryland wheat-maize double-cropping system. Agronomy 2025, 15, 363. [Google Scholar] [CrossRef]
- Huang, M.; Wu, J.Z.; Li, Y.J.; Fu, G.Z.; Zhao, K.N.; Zhang, Z.W.; Yang, Z.S.; Hou, Y.Q. Effects of tillage practices and nitrogen fertilizer application rates on grain yield, protein content in winter wheat and soil nitrate residue in dryland. Sci. Agric. Sin. 2021, 54, 5206–5219. [Google Scholar] [CrossRef]
- Wu, J.Z.; Huang, X.L.; Hou, Y.Q.; Tian, W.Z.; Li, J.H.; Zhang, J.; Li, F.; Lv, J.J.; Yao, Y.Q.; Fu, G.Z.; et al. Effects of ridge and furrow planting patterns on crop productivity and soil nitrate-N accumulation in dryland summer maize and winter wheat rotation system. Sci. Agric. Sin. 2023, 56, 2078–2091. [Google Scholar] [CrossRef]
- Li, R.; Hou, X.Q.; Jia, Z.K.; Han, Q.F.; Ren, X.L.; Yang, B.P. Effects on soil temperature, moisture, and maize yield of cultivation with ridge and furrow mulching in the rainfed area of the Loess Plateau, China. Agric. Water Manag. 2013, 116, 101–109. [Google Scholar] [CrossRef]
- Li, R.; Hou, X.Q.; Jia, Z.K.; Han, Q.F. Soil environment and maize productivity in semi-humid regions prone to drought of Weibei Highland are improved by ridge-and-furrow tillage with mulching. Soil Tillage Res. 2020, 196, 104476. [Google Scholar] [CrossRef]
- The Gansu Provincial People’s Government. The Province Plans to Promote the Full Double Ridge—Furrow Plastic Mulching Technology Across 15.45 Million Mu; The Gansu Provincial People’s Government: Lanzhou, China, 2025. Available online: https://www.gs.gov.cn/gsszf/c100002/c100006/c100007/202509/174208765.shtml (accessed on 16 September 2025).
- The Henan Academy of Agricultural Sciences. Wheat Ridge—Furrow Cultivation Technique Has Triggered the Second Green Revolution in China’s Agriculture; The Henan Academy of Agricultural Sciences: Zhengzhou, China, 2003; Available online: https://www.hnagri.org.cn/article-1734.html (accessed on 16 September 2025).
- Hu, Y.J.; Ma, P.H.; Wu, S.F.; Sun, B.H.; Feng, H.; Pan, X.L.; Zhang, B.B.; Chen, G.J.; Duan, C.X.; Lei, Q.; et al. Spatial-temporal distribution of winter wheat (Triticum aestivum L.) roots and water use efficiency under ridge-furrow dual mulching. Agric. Water Manag. 2020, 240, 106301. [Google Scholar] [CrossRef]
- Li, N.; Zhou, C.; Sun, X.; Jing, J.Y.; Tian, X.X.; Wang, L.Q. Effects of ridge tillage and mulching on water availability, grain yield, and water use efficiency in rain-fed winter wheat under different rainfall and nitrogen conditions. Soil Tillage Res. 2018, 179, 86–95. [Google Scholar] [CrossRef]
- Qiang, S.C.; Zhang, Y.; Fan, J.L.; Zhang, F.C.; Sun, M.; Gao, Z.Q. Combined effects of ridge-furrow ratio and urea type on grain yield and water productivity of rainfed winter wheat on the Loess Plateau of China. Agric. Water Manag. 2022, 261, 107340. [Google Scholar] [CrossRef]
- Zhang, X.F.; Luo, C.L.; Ren, H.X.; Dai, R.Z.; Mburu, D.; Kavagi, L.; Wesly, K.; Nyende, A.B.; Batool, A.; Xiong, Y.C. Fully biodegradable film to boost rainfed maize (Zea mays L.) production in semiarid Kenya: An environmentally friendly perspective. Eur. J Agron. 2020, 119, 126124. [Google Scholar] [CrossRef]
- Luo, C.L.; Zhang, X.F.; Duan, H.X.; Zhou, R.; Mo, F.; Mburu, D.M.; Wang, B.Z.; Wang, W.; Kavagi, L.; Xiong, Y.C. Responses of rainfed wheat productivity to varying ridge-furrow size and ratio in semiarid eastern African Plateau. Agric. Water Manag. 2021, 249, 106813. [Google Scholar] [CrossRef]
- Liu, X.L.; Wang, Y.D.; Yan, X.Q.; Hou, H.Z.; Liu, P.; Cai, T.; Zhang, P.; Jia, Z.K.; Ren, X.L.; Chen, X.L. Appropriate ridge-furrow ratio can enhance crop production and resource use efficiency by improving soil moisture and thermal condition in a semi-arid region. Agric. Water Manag. 2020, 240, 106289. [Google Scholar] [CrossRef]
- Zhang, F.; Zhang, W.J.; Qi, J.G.; Li, F.M. A regional evaluation of plastic film mulching for improving crop yields on the Loess Plateau of China. Agric. For. Meteorol. 2018, 248, 458–468. [Google Scholar] [CrossRef]
- Wang, T.C.; Wei, L.; Wang, H.Z.; Ma, S.C.; Ma, B.L. Responses of rainwater conservation, precipitation-use efficiency and grain yield of summer maize to a furrow-planting and straw-mulching system in northern China. Field Crops Res. 2011, 124, 223–230. [Google Scholar] [CrossRef]
- Yang, F.K.; He, B.L.; Dong, B.; Wang, L.M. Effects of black film mulched ridge-furrow tillage on soil water-fertilizer environment and potato yield and benefit under different rainfall year in semiarid region. Sci. Agric. Sin. 2021, 54, 4312–4325. [Google Scholar] [CrossRef]
- Hu, Y.J.; Ma, P.H.; Zhang, B.B.; Hill, R.L.; Wu, S.F.; Dong, Q.G.; Chen, G.J. Exploring optimal soil mulching for the wheat-maize cropping system in sub-humid drought-prone regions in China. Agric. Water Manag. 2019, 219, 59–71. [Google Scholar] [CrossRef]
- Wang, F.H.; Wang, X.Q.; Ken, S. Comparison of conventional, flood irrigated, flat planting with furrow irrigated, raised bed planting for winter wheat in China. Field Crops Res. 2004, 87, 35–42. [Google Scholar] [CrossRef]
- Li, Y.Z.; Song, D.P.; Dang, P.S.; Li, Y.Z.; Song, D.P.; Dang, P.F.; Wei, L.N.; Qin, X.L.; Siddique, K.H.M. Combined ditch buried straw return technology in a ridge-furrow plastic film mulch system: Implications for crop yield and soil organic matter dynamics. Soil Tillage Res. 2020, 199, 104596. [Google Scholar] [CrossRef]
- Wang, T.C.; Wei, L.; Tian, Y.; Du, Y.Y.; Ma, C.; Wang, Y.; Tan, Y. Influence on yield and quality on the farmland scale of winter wheat-summer maize double cropping system. J. Maize Sci. 2009, 17, 108–112. [Google Scholar] [CrossRef]
- Sun, X.H.; Shao, Y.H.; Ren, Z.X.; Zheng, F. Effects of bed-planting on physiological characters and grain protein content in different genotypes of winter wheat. Acta Agric. Boreali-Sin. 2005, 20, 70–73. [Google Scholar] [CrossRef]
- Wang, X.Q.; Wang, F.H.; Li, D.S.; Yu, Z.W.; Li, Z.J. Effect of bed-planting on grain yield and quality of wheat. Shandong Agric. Sci. 2003, 35, 15–17. [Google Scholar] [CrossRef]
- Boulal, H.; Gómez-Macpherson, H.; Villalobos, F.J. Permanent bed planting in irrigated Mediterranean conditions: Short-term effects on soil quality, crop yield and water use efficiency. Field Crops Res. 2012, 130, 120–127. [Google Scholar] [CrossRef]
- Xie, J.H.; Wang, L.L.; Li, L.L.; Coulter, J.A.; Chai, Q.; Zhang, R.Z.; Luo, Z.Z.; Carberry, P.; Rao, K.P.C. Subsoiling increases grain yield, water use efficiency, and economic return of maize under a fully mulched ridge-furrow system in a semiarid environment in China. Soil Tillage Res. 2020, 199, 104584. [Google Scholar] [CrossRef]
- Zhang, M.M.; Dang, P.F.; Li, Y.Z.; Qin, X.L.; Siddique, K.H.M. Better tillage selection before ridge-furrow film mulch can facilitate root proliferation, and increase nitrogen accumulation, translocation and grain yield of maize in a semiarid area. J. Integr. Agric. 2023, 22, 1658–1670. [Google Scholar] [CrossRef]
- Du, X.B.; Wei, Z.; Kong, L.C.; Zhang, L.G. Optimal bed width for wheat following rice production with raised-bed planting in the Yangtze River Plain of China. Agric. Water Manag. 2022, 269, 107676. [Google Scholar] [CrossRef]
- Ren, X.L.; Jia, Z.K.; Han, Q.F.; Han, J. Effect of ridge and furrow rainfall harvesting planting system on production of summer corn(Zea mays L.) under simulated rainfall conditions in semi-arid areas. Trans. Chin. Soc. Agric. Eng. 2007, 23, 45–50. [Google Scholar] [CrossRef]
- Ren, X.L.; Jia, Z.K.; Chen, X.L.; Han, Q.F.; Han, J. Effect of Corn (Zea mays L.) Water and temperature of ridge and furrow planting of rainfall harvesting under simulated rainfall conditions. Sci. Agric. Sin. 2008, 41, 70–77. [Google Scholar] [CrossRef]
- Zhao, Y.; Cheng, Q.; Xu, T.J.; Liu, Z.; Liu, Z.; Wang, R.H.; Zhao, J.R.; Lu, D.L.; Li, C.F. Effects of plant type improvement on root-canopy characteristics and grain yield of spring maize under high density condition. Sci. Agric. Sin. 2025, 58, 1296–1310. [Google Scholar] [CrossRef]
- Ding, X.P.; Bai, J.; Zang, C.Y.; Zang, J.W.; Liu, P.; Ren, B.Z.; Zhao, B. Effects of Line-Spacing Expansion and Row-Spacing Shrinkage on Population Structure and Yield of Summer Maize. Sci. Agric. Sin. 2020, 53, 3915–3927. [Google Scholar] [CrossRef]
- Shi, D.Y.; Li, Y.H.; Wang, F.F.; Xia, D.J.; Jiao, Y.L.; Sun, N.N.; Zhao, J. Regulation effects of line-spacing expansion and row-spacing shrinkage on dry matter and nutrient accumulation and transport of summer maize under high plant density. Sci. Agric. Sin. 2024, 57, 4658–4672. [Google Scholar] [CrossRef]
- Ali, S.; Xu, Y.Y.; Jia, Q.M.; Ahmad, I.; Wei, T.; Ren, X.L.; Zhang, P.; Din, R.X.; Cai, T.; Jia, Z.K. Cultivation techniques combined with deficit irrigation improves winter wheat photosynthetic characteristics, dry matter translocation and water use efficiency under simulated rainfall conditions. Agric. Water Manag. 2018, 201, 207–218. [Google Scholar] [CrossRef]
- Ali, S.; Xu, Y.Y.; Ahmad, I.; Jia, Q.M.; Huang, F.Y.; Daur, I.; Wei, T.; Cai, T.; Ren, X.L.; Zhang, P.; et al. The ridge furrow cropping technique indirectly improves seed filling endogenous hormonal changes and winter wheat production under simulated rainfall conditions. Agric. Water Manag. 2018, 204, 138–148. [Google Scholar] [CrossRef]
- Ali, S.; Xu, Y.Y.; Ma, X.C.; Ahmad, I.; Kamran, M.; Dong, Z.Y.; Cai, T.; Jia, Q.M.; Ren, X.L.; Zhang, P.; et al. Planting patterns and deficit irrigation strategies to improve wheat production and water use efficiency under simulated rainfall conditions. Front. Plant Sci. 2017, 8, 1408. [Google Scholar] [CrossRef] [PubMed]
- He, J.; Li, H.W.; Rasaily, R.G.; Wang, Q.J.; Cai, G.H.; Su, Y.B.; Qiao, X.D.; Liu, L.J. Soil properties and crop yields after 11 years of no tillage farming in wheat-maize cropping system in North China Plain. Soil Tillage Res. 2011, 113, 48–54. [Google Scholar] [CrossRef]
- Madejón, E.; Murillo, J.M.; Moreno, F.; López, M.V.; Arrue, J.L.; Alvaro-Fuentes, J.; Cantero, C. Effect of long-term conservation tillage on soil biochemical properties in Mediterranean Spanish areas. Soil Tillage Res. 2009, 105, 55–62. [Google Scholar] [CrossRef]
- Mhawej, M.; Gao, X.; Reilly, J.M.; Abunnasr, Y. Corn, soybeans and winter wheat water requirements over the contiguous United States between 2013 and 2021: The application of the SEBALIGEE v2 global model. J. Hydrol. 2024, 630, 130782. [Google Scholar] [CrossRef]
- Mbava, N.; Mutema, M.; Zengeni, R.; Shimelis, H.; Chaplot, V. Factors affecting crop water use efficiency: A worldwide meta-analysis. Agric. Water Manag. 2020, 228, 105878. [Google Scholar] [CrossRef]
- Zhao, B.; Niu, X.L.; Ata-Ul-Karim, S.T.; Wang, L.G.; Duan, A.W.; Liu, Z.D.; Lemaire, G. Determination of the post-anthesis nitrogen status using ear critical nitrogen dilution curve and its implications for nitrogen management in maize and wheat. Eur. J Agron. 2020, 113, 125967. [Google Scholar] [CrossRef]
- Houx, J.H.; Wiebold, W.J.; Fritschi, F.B. Long term tillage treatment effects on corn grain nutrient composition and yield. Field Crops Res. 2016, 191, 33–40. [Google Scholar] [CrossRef]
- Ma, L.; Li, C.H.; Zhao, Z.J.; Zhang, X.L. Nutrients utilization of integrative ridge planting system of winter wheat and summer maize. Plant Nutr. Fert. Sci. 2011, 17, 108–112. [Google Scholar] [CrossRef]
- Gan, Y.T.; Siddique, K.H.M.; Turner, N.C.; Li, X.G.; Niu, J.Y.; Yang, C.; Liu, L.P.; Chai, Q. Ridge-furrow mulching systems—An innovative technique for boosting crop productivity in semiarid rain-fed environments. Adv. Agron. 2013, 118, 429–476. [Google Scholar] [CrossRef]
- Zhang, R.P.; Yu, H.Y.; Zhang, W.B.; Li, W.; Su, H.; Wu, S.X.; Xu, Q.; Li, Y.Y.; Yao, H.Y. Straw return enhances grain yield and quality of three main crops: Evidence from a meta-analysis. Front. Plant Sci. 2024, 15, 1433220. [Google Scholar] [CrossRef]
- Liu, T.N.; Chen, J.Z.; Wang, Z.Y.; Wu, X.R.; Wu, X.C.; Ding, R.X.; Han, Q.F.; Cai, T.; Jia, Z.K. Ridge and furrow planting pattern optimizes canopy structure of summer maize and obtains higher grain yield. Field Crops Res. 2018, 219, 242–249. [Google Scholar] [CrossRef]
- Yang, N.; Wang, Z.H.; Gao, Y.J.; Zhao, H.B.; Li, K.Y.; Li, F.C.; Malhi, S.S. Effects of planting soybean in summer fallow on wheat grain yield, total N and Zn in grain and available N and Zn in soil on the Loess Plateau of China. Eur. J Agron. 2014, 58, 63–72. [Google Scholar] [CrossRef]
- Zhao, B.; Qin, A.Z.; Feng, W.; Qiu, X.Q.; Wang, P.Y.; Qin, H.X.; Gao, Y.; Wang, G.J.; Liu, Z.D.; Ata-Ul-Karim, S.T. Water deficit affects the nitrogen nutrition index of winter wheat under controlled water conditions. J. Integr. Agric. 2025, 24, 724–738. [Google Scholar] [CrossRef]
- Ren, X.L.; Cai, T.; Chen, X.L.; Zhang, P.; Jia, Z.K. Effect of rainfall concentration with different ridge widths on winter wheat production under semiarid climate. Eur. J Agron. 2016, 77, 20–27. [Google Scholar] [CrossRef]
- Luo, L.C.; Hui, X.L.; Wang, Z.H.; Zhang, X.; Xie, Y.H.; Gao, Z.Q.; Chai, S.X.; Lu, Q.L.; Li, T.L.; Sun, M.; et al. Multi-site evaluation of plastic film mulch and nitrogen fertilization for wheat grain yield, protein content and its components in semiarid areas of China. Field Crops Res. 2019, 240, 86–94. [Google Scholar] [CrossRef]
- Shewry, P.R. Improving the protein content and composition of cereal grain. J. Cereal Sci. 2007, 46, 239–250. [Google Scholar] [CrossRef]
- Rozbicki, J.; Ceglinska, A.; Gozdowski, D.; Jakubczak, M.; Cacak-Pietrzak, G.; Madry, W.; Golba, J.; Piechocinski, M.; Sobczynski, G.; Studnicki, M.; et al. Influence of the cultivar, environment and management on the grain yield and bread-making quality in winter wheat. J. Cereal Sci. 2015, 61, 126–132. [Google Scholar] [CrossRef]
- Godfrey, D.; Hawkesford, M.J.; Powers, S.J.; Millar, S.; Shewry, P.R. Effects of crop nutrition on wheat grain composition and end use quality. J. Agric. Food Chem. 2010, 58, 3012–3021. [Google Scholar] [CrossRef]
- Wu, J.Z.; Wang, R.R.; Zhao, W.X.; Zhao, K.N.; Wu, S.W.; Zhang, J.; Wang, H.Z.; Fu, G.Z.; Huang, M.; Li, Y.J. Combined subsoiling and ridge-furrow rainfall harvesting during the summer fallow season improves wheat yield, water and nutrient use efficiency, and quality and reduces soil nitrate-N residue in the dryland summer fallow-winter wheat rotation. Front. Plant Sci. 2024, 15, 1401287. [Google Scholar] [CrossRef]
- Martre, P.; Porter, J.R.; Jamieson, P.D.; Triboi, E. Modeling grain nitrogen accumulation and protein composition to understand the sink/source regulations of nitrogen remobilization for wheat. Plant Physiol. 2003, 133, 1959–1967. [Google Scholar] [CrossRef]
- Sun, H.D.; Cao, H.X.; Liu, L.T.; Du, G.T. Effects of organic fertilizer combined with reduced chemical fertilizer on spring maize yield, quality, and water-nitrogen utilization in the Hexi oasis irrigation area. Agric. Res. Arid Areas 2025, 43, 158–169. [Google Scholar] [CrossRef]
- Hamani, A.K.M.; Abubakar, S.A.; Si, Z.Y.; Kama, R.; Gao, Y.; Duan, A.W. Responses of grain yield and water-nitrogen dynamic of drip-irrigated winter wheat (Triticum aestivum L.) to different nitrogen fertigation and water regimes in the North China Plain. Agric. Water Manag. 2023, 288, 108494. [Google Scholar] [CrossRef]
- Guo, S.L.; Zhu, H.H.; Dang, T.H.; Wu, J.S.; Liu, W.Z.; Hao, M.D.; Li, Y.; Syers, J.K. Winter wheat grain yield associated with precipitation distribution under long-term nitrogen fertilization in the semi-arid Loess Plateau in China. Geoderma 2012, 189, 442–450. [Google Scholar] [CrossRef]
- Cao, H.B.; Wang, Z.H.; He, G.; Dai, J.; Huang, M.; Wang, S.; Luo, L.C.; Sadras, V.O.; Hoogmoedc, M.; Malhi, S.S. Tailoring NPK fertilizer application to precipitation for dryland winter wheat in the Loess Plateau. Field Crops Res. 2017, 209, 88–95. [Google Scholar] [CrossRef]
- Liu, S.R.; Cui, S.; Ying, F.Y.; Nasar, J.; Wang, Y.; Gao, Q. Simultaneous improvement of protein concentration and amino acid balance in maize grains by coordination application of nitrogen and sulfur. J. Cereal Sci. 2021, 99, 103189. [Google Scholar] [CrossRef]
- Zhang, X.M.; Guo, Z.K.; Xu, J.F.; Huang, C.; Dang, H.Y.; Mu, W.Y.; Zhang, L.L.; Hou, S.B.; Huang, N.; Li, C.; et al. Nutrient requirements determined by grain yield and protein content to optimize N, P, and K fertilizer management in China. Sci. Total Environ. 2024, 946, 174187. [Google Scholar] [CrossRef] [PubMed]
- Peng, Y.C.; Zhao, Y.; Yu, Z.T.; Zeng, J.B.; Xu, D.G.; Dong, J.; Ma, W.J. Wheat quality formation and its regulatory mechanism. Front. Plant Sci. 2022, 13, 834654. [Google Scholar] [CrossRef] [PubMed]
- Bao, X.Y.; Hou, X.Y.; Duan, W.W.; Yin, B.Z.; Ren, J.H.; Wang, Y.D.; Liu, X.J.; Gu, L.M.; Zhen, W.C. Screening and evaluation of drought resistance traits of winter wheat in the North China Plain. Front. Plant Sci. 2023, 14, 1194759. [Google Scholar] [CrossRef] [PubMed]








| Precipitation Type | Summer Maize | Winter Wheat | Annual |
|---|---|---|---|
| Dry year | 4151.1 c | 2307.6 b | 7621.3 b |
| Normal year | 5446.7 b | 3478.4 a | 9054.4 a |
| Rainy year | 7605.4 a | 3597.4 a | 9789.1 a |
| ANOVA | |||
| Precipitation types (P) | 65.1 ** | 5.4 ** | 5.2 ** |
| Treatment (T) | 4.3 ** | 0.9 ns | 1.9 ns |
| P × T | 0.6 ns | 0.2 ns | 0.1 ns |
| Year | Summer Maize | Winter Wheat | Annual | ||||||
|---|---|---|---|---|---|---|---|---|---|
| Precipitation (mm) | DI | Precipitation Type | Precipitation (mm) | DI | Precipitation Type | Precipitation (mm) | DI | Precipitation Type | |
| 2015 (2015–2016) | 211.3 | −1.10 | Dry | 217.6 | 0.31 | Normal | 428.9 | −0.72 | Dry |
| 2016 (2016–2017) | 327.0 | −0.16 | Normal | 218.5 | 0.32 | Normal | 545.5 | 0.02 | Normal |
| 2017 (2017–2018) | 295.3 | −0.42 | Dry | 322.7 | 1.98 | Rainy | 618.0 | 0.48 | Rainy |
| 2018 (2018–2019) | 410.8 | 0.52 | Rainy | 93.7 | −1.67 | Dry | 504.5 | −0.24 | Normal |
| 2019 (2019–2020) | 437.7 | 0.74 | Rainy | 212.0 | 0.21 | Normal | 649.7 | 0.68 | Rainy |
| 2020 (2020–2021) | 228.1 | −0.96 | Dry | 180.0 | −0.3 | Normal | 408.1 | −0.85 | Dry |
| Treatment | Field Management Description |
|---|---|
| PRFBR | Manually ridged and furrowed only in 2004 when the experiment began. The ridge is 95 ± 5 cm wide and 20 cm high. A furrow with a width of 40 ± 5 cm was formed where two ridges met. After the first year, the ridge height was manually restored each year before wheat sowing but never re-ridged. In the summer maize growing season, 1 row of maize was plated in the furrow with 133 cm row space, and previous wheat straw with 0–40 cm height was mulched on the ridge. In the winter wheat growing season, 6 rows of wheat were planted on the ridge with 15 cm space, and 50% of previous maize straw (whole stalk) was mulched in the furrow. |
| EYRFBR | Manually ridged and furrowed each year, after plowing (20–30 cm) but before wheat sowing. The size of the ridge and furrow and other parameters were same as for PRFBR. |
| PRFNR | The ridge is 60 ± 5 cm wide and 20 cm high. The furrow is 40 ± 5 cm wide. One row of maize was planted in the furrow with 100 cm row space, and four rows of wheat were planted on the ridge with 15 cm space. The ridging method and other parameters were the same as for PRFBR. |
| EYRFNR | Manually ridged and furrowed each year, after plowing (20–30 cm) but before wheat sowing. The size of ridge and furrow and other parameters are the same as for PRFNR. |
| CF | Plowed 25–30 cm before crop sowing in each growth season. Both maize and wheat were planted in a conventional flat cropping pattern and no straw mulching, with row spacing of 80 cm for maize and row spacing of 20 cm for wheat, respectively. |
Disclaimer/Publisher’s Note: The statements, opinions and data contained in all publications are solely those of the individual author(s) and contributor(s) and not of MDPI and/or the editor(s). MDPI and/or the editor(s) disclaim responsibility for any injury to people or property resulting from any ideas, methods, instructions or products referred to in the content. |
© 2025 by the authors. Licensee MDPI, Basel, Switzerland. This article is an open access article distributed under the terms and conditions of the Creative Commons Attribution (CC BY) license (https://creativecommons.org/licenses/by/4.0/).
Share and Cite
Zhou, Q.; Huang, M.; Hu, C.; Liu, A.; Dong, S.; Ren, K.; Tian, W.; Li, J.; Li, F.; Fu, G.; et al. Effects of Ridge and Furrow Planting Patterns on Crop Yield and Grain Quality in Dryland Maize–Wheat Double Cropping System. Plants 2025, 14, 3030. https://doi.org/10.3390/plants14193030
Zhou Q, Huang M, Hu C, Liu A, Dong S, Ren K, Tian W, Li J, Li F, Fu G, et al. Effects of Ridge and Furrow Planting Patterns on Crop Yield and Grain Quality in Dryland Maize–Wheat Double Cropping System. Plants. 2025; 14(19):3030. https://doi.org/10.3390/plants14193030
Chicago/Turabian StyleZhou, Qihui, Ming Huang, Chuan Hu, Aohan Liu, Shiyan Dong, Kaiming Ren, Wenzhong Tian, Junhong Li, Fang Li, Guozhan Fu, and et al. 2025. "Effects of Ridge and Furrow Planting Patterns on Crop Yield and Grain Quality in Dryland Maize–Wheat Double Cropping System" Plants 14, no. 19: 3030. https://doi.org/10.3390/plants14193030
APA StyleZhou, Q., Huang, M., Hu, C., Liu, A., Dong, S., Ren, K., Tian, W., Li, J., Li, F., Fu, G., Wu, J., & Li, Y. (2025). Effects of Ridge and Furrow Planting Patterns on Crop Yield and Grain Quality in Dryland Maize–Wheat Double Cropping System. Plants, 14(19), 3030. https://doi.org/10.3390/plants14193030

