Productivity and Forage Quality of Alfalfa Response to Potassium Fertilizer: A Field Study in Inner Mongolian Plateau
Abstract
1. Introduction
2. Materials and Methods
2.1. Field Experimental Site
2.2. Experimental Design and Sampling
2.3. Statistical Analysis
3. Results
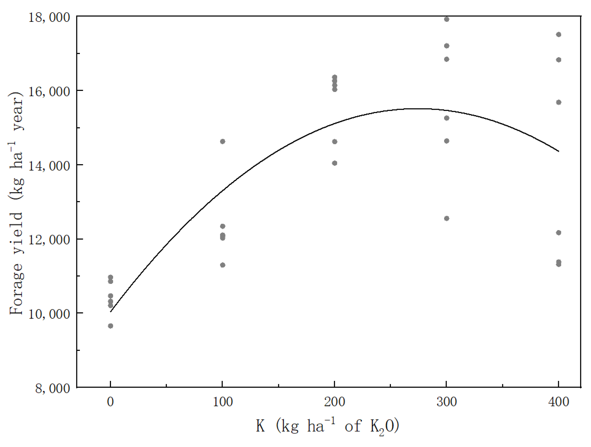
3.1. Effects of K Fertilization on Forage Yield of Alfalfa
3.2. Effects of K Fertilization on Yield Components of Alfalfa
3.2.1. Plant Density
3.2.2. Shoot Density
3.2.3. Mass Shoot−1
3.2.4. Plant Height
3.3. Relationship Between Forage Yield and Yield Components
3.4. Effects of K Fertilization on Forage Quality of Alfalfa
4. Discussion
4.1. Effects of K Fertilizer on Yield of Alfalfa
4.2. Effects of K Fertilizer on Yield Components of Alfalfa
4.3. Effects of K Fertilizer on Forage Quality of Alfalfa
5. Conclusions
Supplementary Materials
Author Contributions
Funding
Data Availability Statement
Conflicts of Interest
References
- Feng, X.; Wang, Y.; Zhang, N.; Wu, Z.; Zeng, Q.; Wu, J.; Wu, X.; Wang, L.; Zhang, J.; Qi, Y. Genome-wide systematic characterization of the HAK/KUP/KT gene family and its expression profile during plant growth and in response to low-K+ stress in Saccharum. BMC Plant Biol. 2020, 20, 20. [Google Scholar] [CrossRef]
- Jungers, J.M.; Kaiser, D.E.; Lamb, J.F.S.; Lamb, J.A.; Noland, R.L.; Samac, D.A.; Wells, M.S.; Sheaffer, C.C. Potassium fertilization affects alfalfa forage yield, nutritive value, root traits, and persistence. Agron. J. 2019, 111, 2843–2852. [Google Scholar] [CrossRef]
- Prabhu, A.S.; Fageria, N.K.; Huber, D.M.; Rodrigues, F.A. Potassium and plant disease. In Mineral Nutrition and Plant Disease; Datnoff, L.E., Elmer, W.H., Huber, D.M., Eds.; American Phytopathological Society Press: Saint Paul, MN, USA, 2007; pp. 57–58. [Google Scholar]
- Wang, M.; Zheng, Q.; Shen, Q.; Guo, S. The critical role of potassium in plant stress response. Int. J. Mol. Sci. 2013, 14, 7370–7390. [Google Scholar] [CrossRef]
- Institute of Soil and Fertilizer, Chinese Academy of Agricultural Science. China Chemical Fertilizer and Regionalization; China Agricultural Science and Technology Press: Beijing, China, 1986. [Google Scholar]
- Luo, X. Wheat Genotypes Tolerance Identification to Low Potassium Stress at Seeding Stage and Genome-Wide Association Analysis of Low Potassium Tolerance Related Traits. Master’s Thesis, Henan Agricultural University, Zhengzhou, China, 2020. [Google Scholar]
- He, F.; Han, D.; Wan, L.; Li, X. The nutrient situations in the major alfalfa producing areas of China. J. Plant Nutr. Fertil. 2014, 20, 503–509. [Google Scholar]
- Lanyon, L.E.; Smith, F.W. Potassium nutrition of alfalfa and other forage legumes: Temperate and tropical. In Potassium in Agriculture; Munson, R.D., Ed.; ASA: Madison, WI, USA, 1985. [Google Scholar]
- Dale, S. Effects of potassium topdressing a low fertility silt loam soil on alfalfa herbage yields and composition and on soil K values. Agron. J. 1975, 67, 60–64. [Google Scholar] [CrossRef]
- Collins, M.; Lang, D.J.; Kelling, K.A. Effects of phosphorus, potassium, and sulfur on alfalfa nitrogen-fixation under field conditions. Agron. J. 1986, 78, 959–963. [Google Scholar] [CrossRef]
- Berg, W.K.; Cunningham, S.M.; Brouder, S.M.; Joern, B.C.; Johnson, K.D.; Santini, J.B.; Volenec, J.J. The long-term impact of phosphorus and potassium fertilization on alfalfa yield and yield components. Crop Sci. 2007, 47, 2198–2209. [Google Scholar] [CrossRef]
- Berg, W.K.; Cunningham, S.M.; Brouder, S.M.; Joern, B.C.; Johnson, K.D.; Santini, J.B.; Volenec, J.J. Influence of phosphorus and potassium on alfalfa yield and yield components. Crop Sci. 2005, 45, 297–304. [Google Scholar] [CrossRef]
- Macolino, S.; Lauriault, L.M.; Rimi, F.; Ziliotto, U. Phosphorus and potassium fertilizer effects on alfalfa and soil in a non-limited soil. Agron. J. 2013, 105, 1613–1618. [Google Scholar] [CrossRef]
- Thinguldstad, B.; Tucker1, J.J.; Baxter, L.; Segers, J.R. Impact of potassium application and harvest regime in alfalfa yield, forage quality and stand persistence. J. Anim. Sci. 2019, 97, 15. [Google Scholar] [CrossRef]
- Fan, F.; Xu, S.; Zhang, Q.; He, F.; Hou, M.; Song, X. Study on relativity between alfalfa’s yields and nutrition constituent effect of nitrogen, phosphorus and potassium fertilizer. Chin. Soil Fertil. 2011, 2, 51–56. [Google Scholar]
- Cao, S.; He, Y.; Zhang, L.; Chen, Y.; Yang, W.; Yao, S.; Sun, Q. Spatiotemporal characteristics of drought and its impact on vegetation in the vegetation region of Northwest China. Ecol. Indic. 2021, 133, 108420. [Google Scholar] [CrossRef]
- Wei, Y.; Zhu, L.; Chen, Y.; Cao, X.; Yu, H. Spatiotemporal variations in drought and vegetation response in Inner Mongolia from 1982 to 2019. Remote Sens. 2022, 14, 3803. [Google Scholar] [CrossRef]
- de Holanda, S.F.; Vargas, L.K.; Granada, C.E. Challenges for sustainable production in sandy soils: A review. Environ. Dev. Sustain. 2025, 27, 53–66. [Google Scholar] [CrossRef]
- Musei, S.K.; Kuyah, S.; Nyawira, S.; Ng’ang’a, S.K.; Karugu, W.N.; Smucker, A.; Nkurunziza, L. Sandy soil reclamation technologiesto improve crop productivity and soilhealth: A review. Front. Soil Sci. 2024, 4, 1345895. [Google Scholar] [CrossRef]
- Liu, X.; Lv, X.; Xu, Z.; Yang, X. Effects of mechanical compaction on rhizosphere soil properties andbacterial diversity in maize field headlands. Transactions of the Chinese Society of Agricultural Engineering 2025, GB41, 117–126. [Google Scholar]
- Wang, Y.; Zhang, J.; Yu, L.; Xu, Z.; Samac, D.A. Overwintering and yield responses of two late-summer seeded alfalfa cultivars to phosphate supply. Agronomy 2022, 12, 327. [Google Scholar] [CrossRef]
- Wang, C.; Ma, B.L.; Yan, X.; Han, J.; Guo, Y.; Wang, Y.; Li, P. Yields of alfalfa varieties with different fall-dormancy levels in a temperate environment. Agron. J. 2009, 101, 1146–1152. [Google Scholar] [CrossRef]
- Yang, H.H. Effects of Nitrogen, Phosporus and potassium fertilizers on yield and quality of alfalfa under drip irrigation. Master’s Thesis, Tarim University, Alaer, China, 2017. [Google Scholar]
- Barbarick, K.A. Potassium fertilization of alfalfa grown on a soil high in potassium. Agron. J. 1985, 77, 442–445. [Google Scholar] [CrossRef]
- Burmester, C.H.; Mullins, G.L.; Ball, D.M. Potassium fertilization effects on yield and longevity of established alfalfa. Commun. Soil Sci. Plant Anal. 2008, 22, 2047–2062. [Google Scholar] [CrossRef]
- Ma, N.; Li, Y.; Su, S.; Ma, P.; Han, Y.; Meng, J.; Fu, W.; Qin, T. Effects of nitrogen, phosphorus and potassium ratio fertilizer on the yield and quality of Medicago sativa cv. Beilin 202. Grassl. Turf 2008, 38, 48–54. [Google Scholar]
- Yang, H.; Cao, M.; Li, C.; Li, F. Effects of superphosphate and potassium chloride fertilization on alfalfa. Pratacultural Sci. 2003, 20, 19–22. [Google Scholar]
- Kang, G.-l. Effect of different potassium fertilizer on the yield and quality of alfalfa. Tianjin Agric. Sci. 2014, 20, 81–82. [Google Scholar]
- Xiao, X.H. Effects of different ratio of nitrogen, phosphorus and potassium fertilizer on yield, quality and root nodule bacteria number of alfalfa (Medicago sativa L.). Master’s thesis, Xinjiang Agriculture University, Urumchi, China, 2016. [Google Scholar]
- Etesami, H.; Beattie, G.A. Mining halophytes for plant growth-promoting halotolerant bacteria to enhance the salinity tolerance of non-halophytic crops. Front. Microbiol. 2018, 9, 317452. [Google Scholar] [CrossRef] [PubMed]
- Oh, D.-H.; Hong, H.; Lee, S.Y.; Yun, D.-J.; Bohnert, H.J.; Dassanayake, M. Genome structures and transcriptomes signify niche adaptation for the multiple-Ion-tolerant extremophyte Schrenkiella parvula. Plant Physiol. 2014, 164, 2123–2138. [Google Scholar] [CrossRef]
- Chen, S.; Tang, Y.; Zhang, B.; Liu, H.; Xiong, F.; Xu, K.; Wei, W.; You, Q.; Lu, M.; Shi, L. Effects of potassium fertilizer rates on biomass, yield and nutrients absorption and utilization of oilseed rape in the middle reaches of the Yangtze River. Chin. J. Oil Crop Sci. 2023, 12, 312–323. [Google Scholar]
- Hong, F. Alfalfa Science; China Agricultural Press: Bejing, China, 2009. [Google Scholar]
- Volenec, J.J.; Cherney, J.H.; Johnson, K.D. Yield components, plant morphology, and forage quality of alfalfa as influenced by plant population. Crop Sci. 1987, 27, 321–326. [Google Scholar] [CrossRef]
- Stout, D.G.; Acharya, S.N.; Huang, H.C.; Hanna, M.R. Alfalfa plant death during the summer versus the winter in interior British Columbia. Can. J. Plant Sci. 1992, 72, 931–936. [Google Scholar] [CrossRef]
- Lemaire, G.; Onillon, B.; Gosse, G.; Chartier, M.; Allirand, J.M. Nitrogen distribution within a lucerne canopy during regrowth: Relation with light distribution. Ann. Bot. 1991, 68, 483–488. [Google Scholar] [CrossRef]
- Simons, R.G.; Grant, C.A. Effect of fertilizer placement on yield of established alfalfa stands. Can. J. Plantence 1995, 75, 883–887. [Google Scholar] [CrossRef]
- Hanson, R.G.; Macgregor, J.M. Soil and alfalfa plant characteristics as affected by a decade of fertilization. Agron. J. 1966, 58, 3–5. [Google Scholar] [CrossRef]
- White, J.; Harper, J.L. Correlated changes in plant size and number in plant populations. J. Ecol. 1970, 58, 467–485. [Google Scholar] [CrossRef]
- Suzuki, M. Effects of stand age on agronomic, morphological and chemical characteristics of alfalfa. Can. J. Plant Sci. 1991, 71, 445–452. [Google Scholar] [CrossRef]
- Frakes, R.V.; Davis, R.L.; Patterson, F.L. The breeding behavior of yield and related variables in alfalfa: II. Associations between characters. Crop Sci. 1961, 1, 207–209. [Google Scholar] [CrossRef]
- Cooper, R.B.; Blaser, R.E.; Brown, R.H. Potassium nutrition effects on net photosynthesis and morphology of alfalfa. Soil Sci. Soc. Am. J. 1967, 31, 231. [Google Scholar] [CrossRef]
- Ventroni, L.M.; Volenec, J.J.; Cangiano, C.A. Fall dormancy and cutting frequency impact on alfalfa yield and yield components. Field Crops Res. 2010, 119, 252–259. [Google Scholar] [CrossRef]
- Li, R.; Volenec, J.J.; Joern, B.C.; Cunningham, S.M. Potassium and nitrogen effects on carbohydrate and protein metabolism in alfalfa roots. J. Plant Nutr. 1997, 20, 511–529. [Google Scholar] [CrossRef]
- Liu, J.; Lu, F.; Zhu, Y.; Wu, H.; Ahmad, I.; Dong, G.; Zhou, G.; Wu, Y. The Effects of planting density and nitrogen application on the growth quality of alfalfa forage in saline soils. Agriculture 2024, 14, 302. [Google Scholar] [CrossRef]
- Kamran, M.; Yan, Z.A.; Jia, Q.M.; Chang, S.H.; Ahmad, I.; Ghani, M.U.; Hou, F.J. Irrigation and nitrogen fertilization influence on alfalfa yield, nutritive value, and resource use efficiency in an arid environment. Field Crops Res. 2022, 284, 108587. [Google Scholar] [CrossRef]
- Wan, W.; Li, Y.; Li, H. Yield and quality of alfalfa (Medicago sativa L.) in response to fertilizer application in China: A meta-analysis. Front. Plant Sci. 2022, 13, 1051725. [Google Scholar] [CrossRef]
- Öborn, I.; Andrist-Rangel, Y.; Askekaard, M.; Grant, C.A.; Watson, C.A.; Edwards, A.C. Critical aspects of potassium management in agricultural systems. Soil Use Manag. 2005, 21, 102–112. [Google Scholar] [CrossRef]
- Romheld, V.; Kirkby, E. Research on potassium in agriculture: Needs and prospects. Plant Soil 2010, 335, 155–180. [Google Scholar] [CrossRef]






| Month | 2022 | 2023 | 2024 | |||
|---|---|---|---|---|---|---|
| Temp. (°C) | Precip. (mm) | Temp. (°C) | Precip. (mm) | Temp. (°C) | Precip. (mm) | |
| January | −10.5 | 4.4 | −12.5 | 0.1 | −14.0 | 1.2 |
| February | −12.0 | 4.5 | −7.5 | 3.8 | −12.5 | 5.4 |
| March | 0.0 | 24.4 | 0.5 | 1.0 | 0.0 | 2.1 |
| April | 7.0 | 10.3 | 4.5 | 36.2 | 9.5 | 52.7 |
| May | 13.0 | 11.7 | 12.5 | 16.9 | 15.0 | 12.2 |
| June | 20.0 | 38.9 | 18.5 | 28.4 | 18.0 | 36.5 |
| July | 22.0 | 59.0 | 20.5 | 127.4 | 21.0 | 6.9 |
| August | 19.0 | 40.3 | 19.5 | 0.8 | 19.0 | 29.2 |
| September | 14.5 | 8.2 | 15.0 | 41.5 | 13.0 | 86.3 |
| October | 4.5 | 17.9 | 7.5 | 10.4 | 6.5 | 34.8 |
| November | −3.0 | 17.5 | −6.5 | 0.8 | −1.0 | 2.4 |
| December | −13.5 | 1.1 | −12.5 | 1.1 | −14.0 | 1.3 |
| Applied K (kg ha−1 of K2O) | 2023 | 2024 | ||||||
|---|---|---|---|---|---|---|---|---|
| H1 | H2 | H3 | Total | H1 | H2 | H3 | Total | |
| 0 | 4728.4 c | 3971.2 b | 1364.4 d | 10,063.7 c | 4474.2 d | 3624.6 d | 2668.5 b | 10,767.3 c |
| 100 | 5469.8 bc | 4742.1 b | 1705.4 cd | 11,917.4 b | 5699.7 c | 4206.4 cd | 3005.4 b | 12,911.6 b |
| 200 | 7098.4 a | 5840.4 a | 1962.7 bc | 14,901.3 a | 7524.5 ab | 5105.7 bc | 3626.1 a | 16,256.4 a |
| 300 | 5828.0 b | 5933.0 a | 2393.6 b | 14,155.7 a | 8245.5 a | 5490.4 ab | 3590.9 a | 17,326.8 a |
| 400 | 4759.9 c | 3899.2 b | 2966.3 a | 11,625.3 bc | 6993.5 b | 6216.2 a | 3467.1 a | 16,676.8 a |
| Mean | 5576.9 | 4877.2 | 2078.5 | 12,532.7 | 6587.5 | 4928.7 | 3271.6 | 14,787.8 |
| Applied K (kg ha−1 of K2O) | 2023 | 2024 | ||||||||
|---|---|---|---|---|---|---|---|---|---|---|
| CP (%) | ADF (%) | NDF (%) | TDN (%) | RFV | CP (%) | ADF (%) | NDF (%) | TDN (%) | RFV | |
| 0 | 19.63 a | 30.00 a | 38.44 a | 59.93 a | 159.00 a | 20.23 c | 31.90 a | 39.03 a | 57.67 b | 152.67 c |
| 100 | 21.07 a | 30.10 a | 37.45 a | 60.03 a | 162.67 a | 20.97 bc | 30.93 b | 36.97 b | 64.15 a | 163.07 b |
| 200 | 21.30 a | 28.03 a | 35.85 a | 62.04 a | 174.00 a | 22.13 a | 30.60 b | 34.86 c | 61.01 ab | 173.63 a |
| 300 | 21.07 a | 28.27 a | 35.66 a | 63.00 a | 174.33 a | 21.77 ab | 30.13 bc | 34.89 c | 61.75 ab | 174.43 a |
| 400 | 21.13 a | 28.83 a | 36.49 a | 63.21 a | 169.67 a | 21.30 b | 29.40 c | 35.15 c | 62.45 ab | 174.70 a |
Disclaimer/Publisher’s Note: The statements, opinions and data contained in all publications are solely those of the individual author(s) and contributor(s) and not of MDPI and/or the editor(s). MDPI and/or the editor(s) disclaim responsibility for any injury to people or property resulting from any ideas, methods, instructions or products referred to in the content. |
© 2025 by the authors. Licensee MDPI, Basel, Switzerland. This article is an open access article distributed under the terms and conditions of the Creative Commons Attribution (CC BY) license (https://creativecommons.org/licenses/by/4.0/).
Share and Cite
Wang, Y.; Cui, L.; Liu, S.; Li, W.; Li, Z.; Ye, W.; Yu, L. Productivity and Forage Quality of Alfalfa Response to Potassium Fertilizer: A Field Study in Inner Mongolian Plateau. Agronomy 2025, 15, 2328. https://doi.org/10.3390/agronomy15102328
Wang Y, Cui L, Liu S, Li W, Li Z, Ye W, Yu L. Productivity and Forage Quality of Alfalfa Response to Potassium Fertilizer: A Field Study in Inner Mongolian Plateau. Agronomy. 2025; 15(10):2328. https://doi.org/10.3390/agronomy15102328
Chicago/Turabian StyleWang, Yuntao, Lele Cui, Shenghao Liu, Wenxuan Li, Zhenyi Li, Wenxing Ye, and Linqing Yu. 2025. "Productivity and Forage Quality of Alfalfa Response to Potassium Fertilizer: A Field Study in Inner Mongolian Plateau" Agronomy 15, no. 10: 2328. https://doi.org/10.3390/agronomy15102328
APA StyleWang, Y., Cui, L., Liu, S., Li, W., Li, Z., Ye, W., & Yu, L. (2025). Productivity and Forage Quality of Alfalfa Response to Potassium Fertilizer: A Field Study in Inner Mongolian Plateau. Agronomy, 15(10), 2328. https://doi.org/10.3390/agronomy15102328

