Sign in to use this feature.

Years

Between: -

Subjects

remove_circle_outline
remove_circle_outline
remove_circle_outline
remove_circle_outline
remove_circle_outline
remove_circle_outline
remove_circle_outline
remove_circle_outline
remove_circle_outline

Journals

remove_circle_outline
remove_circle_outline
remove_circle_outline
remove_circle_outline
remove_circle_outline
remove_circle_outline
remove_circle_outline
remove_circle_outline
remove_circle_outline
remove_circle_outline
remove_circle_outline
remove_circle_outline
remove_circle_outline

Article Types

Countries / Regions

remove_circle_outline
remove_circle_outline
remove_circle_outline
remove_circle_outline
remove_circle_outline

Search Results (1,921)

Search Parameters:
Keywords = protecting water resources

Order results
Result details
Results per page
Select all
Export citation of selected articles as:
22 pages, 14323 KB  
Article
Study on the Health Assessment of Rivers and Lakes on the Qinghai Plateau Based on an AHP–TOPSIS Model
by Yongxi Zhang, Shaofeng Jia and Runjie Li
Sustainability 2026, 18(1), 79; https://doi.org/10.3390/su18010079 (registering DOI) - 20 Dec 2025
Abstract
Under global environmental change, the health of rivers and lakes on the “Asian Water Tower”—the Qinghai–Tibetan Plateau—is facing mounting pressures. This study examines Qinghai Lake, the Huangshui River, the Golmud River, and the Qinghai reach of the Yangtze River. By integrating the Water [...] Read more.
Under global environmental change, the health of rivers and lakes on the “Asian Water Tower”—the Qinghai–Tibetan Plateau—is facing mounting pressures. This study examines Qinghai Lake, the Huangshui River, the Golmud River, and the Qinghai reach of the Yangtze River. By integrating the Water Quality Index (WQI) with the AHP–TOPSIS framework, we develop a multidimensional assessment system encompassing water resources, water environment, aquatic ecology, and management functions. The WQI results reveal pronounced spatial heterogeneity in water quality, with conditions ranked as Golmud River > Yangtze River > Huangshui River > Qinghai Lake. Dominant controlling factors also shift from dissolved oxygen in riverine systems to total phosphorus in the lake environment. The comprehensive AHP–TOPSIS evaluation further shows a health ranking of Yangtze River (0.736) > Golmud River (0.602) > Qinghai Lake (0.404) > Huangshui River (0.297), leading to the identification of four distinct management pathways: ecological conservation, natural restoration, nutrient control, and pollution remediation. By moving beyond single-parameter diagnostics, this study provides a robust methodological basis for differentiated river–lake management. The proposed “one river (lake), one strategy” framework, coupled with red-line management recommendations grounded in key indicators, offers direct scientific support for systematic protection and precise governance of aquatic ecosystems on the Qinghai–Tibetan Plateau, contributing to national ecological security and high-level environmental stewardship. Full article
Show Figures

Figure 1

39 pages, 9543 KB  
Article
A Hybrid PCA-TOPSIS and Machine Learning Approach to Basin Prioritization for Sustainable Land and Water Management
by Mustafa Aytekin, Semih Ediş and İbrahim Kaya
Water 2026, 18(1), 5; https://doi.org/10.3390/w18010005 - 19 Dec 2025
Abstract
Population expansion, urban development, climate change, and precipitation patterns are complicating sustainable natural resource management. Subbasin prioritization enhances the efficiency and cost-effectiveness of resource management. Artificial intelligence and data analytics eradicate the constraints of traditional methodologies, facilitating more precise evaluations of soil erosion, [...] Read more.
Population expansion, urban development, climate change, and precipitation patterns are complicating sustainable natural resource management. Subbasin prioritization enhances the efficiency and cost-effectiveness of resource management. Artificial intelligence and data analytics eradicate the constraints of traditional methodologies, facilitating more precise evaluations of soil erosion, water management, and environmental risks. This research has created a comprehensive decision support system for the multidimensional assessment of sub-basins. The Erosion and Flood Risk-Based Soil Protection (EFR), Socio-Economic Integrated Basin Management (SEW), and Prioritization Based on Basin Water Yield (PBW) functions were utilized to prioritize sustainability objectives. EFR addresses erosion and flood risks, PBW evaluates water yield potential, and SEW integrates socio-economic drivers that directly influence water use and management feasibility. Our approach integrates principal component analysis–technique for order preference by similarity to ideal solution (PCA–TOPSIS) with machine learning (ML) and provides a scalable, data-driven alternative to conventional methods. The combination of machine learning algorithms with PCA and TOPSIS not only improves analytical capabilities but also offers a scalable alternative for prioritization under changing data scenarios. Among the models, support vector machine (SVM) achieved the highest performance for PBW (R2 = 0.87) and artificial neural networks (ANNs) performed best for EFR (R2 = 0.71), while random forest (RF) and gradient boosting machine (GBM) models exhibited stable accuracy for SEW (R2 ~ 0.65–0.69). These quantitative results confirm the robustness and consistency of the proposed hybrid framework. The findings show that some sub-basins are prioritized for sustainable land and water resources management; these areas are generally of high priority according to different risk and management criteria. For these basins, it is suggested that comprehensive local-scale studies be carried out, making sure that preventive and remedial measures are given top priority for execution. The SVM model worked best for the PBW function, the ANN model worked best for the EFR function, and the RF and GBM models worked best for the SEW function. This framework not only finds sub-basins that are most important, but it also gives useful information for managing watersheds in a way that is sustainable even when the climate and economy change. Full article
(This article belongs to the Special Issue Application of Machine Learning in Hydrologic Sciences)
Show Figures

Figure 1

19 pages, 2089 KB  
Article
Analysis and Evaluation of Water Resources Status in Dongying Based on Grey Water Footprint Theory
by Xue Meng, Jun Wu, Jian Lu, Wenjun Dou, Jie Chen, Guangyue Su, Jiazhou Lin and Jianhao An
Water 2026, 18(1), 3; https://doi.org/10.3390/w18010003 - 19 Dec 2025
Abstract
As the central city of the Yellow River Delta, Dongying faces challenges of water scarcity and water pollution. Based on the grey water footprint theory, the paper conducted grey water footprint accounting, factor analysis, and evaluation in Dongying from 2011 to 2023, aiming [...] Read more.
As the central city of the Yellow River Delta, Dongying faces challenges of water scarcity and water pollution. Based on the grey water footprint theory, the paper conducted grey water footprint accounting, factor analysis, and evaluation in Dongying from 2011 to 2023, aiming to clarify the water resources situation. Results indicated that the total grey water footprint in Dongying have decreased from 1.19 billion m3 in 2011 to 235 million m3 in 2023, a reduction of 80.21%. The agricultural, industrial, and domestic grey water footprints decreased by 94 million m3, 88 million m3, and 769 million m3, respectively, with the reduction rates reaching 54.19%, 69.98%, and 86.77%, respectively. The domestic grey water footprint has a significant impact on the dynamics of the total regional grey water footprint. The technical factor, as a negative driving factor, significantly affect the total grey water footprint in Dongying. Economic and population factors, as positive driving factors, have little impact. The water pollution level has been below 100% in recent years, with the grey water footprint sustainability remaining well. The grey water footprint intensity has decreased by 58.00 m3/10,000 CNY, a reduction of 90.60%, indicating significant improvements in water resource utilization efficiency and economic benefits. The paper provides a basis for water resource protection and water environment improvement in the Yellow River Delta region. Full article
Show Figures

Figure 1

26 pages, 7144 KB  
Article
Slight Change, Huge Loss: Spatiotemporal Evolution of Ecosystem Services and Driving Factors in Inner Mongolia, China
by Zherui Yin, Wenhui Kuang, Geer Hong, Yali Hou, Changqing Guo, Wenxuan Bao, Zhishou Wei and Yinyin Dou
Remote Sens. 2025, 17(24), 4040; https://doi.org/10.3390/rs17244040 - 16 Dec 2025
Viewed by 126
Abstract
The spatiotemporal evolution of ecosystem services has a profound influence on the fragile eco-environment in Inner Mongolia and the arid/semi-arid and the ecological barrier regions of Northern China; in particular, the small-scale and high-value land variables may lead to large eco-environment effects through [...] Read more.
The spatiotemporal evolution of ecosystem services has a profound influence on the fragile eco-environment in Inner Mongolia and the arid/semi-arid and the ecological barrier regions of Northern China; in particular, the small-scale and high-value land variables may lead to large eco-environment effects through altering the ecosystem services, which is still unclear in this vulnerable area. The differential driving mechanism of both human activities and natural factors on ecosystem services also needs to be revealed. To solve this scientific issue, the synergistic methodology of spatial analysis technology, the improved ecosystem service assessment method, flow gain/loss model, global/local Moran’s I approach, and the Geographically and Temporally Weighted Regression (GTWR) model were applied. Our main results are as follows: remote sensing monitoring showed that the land changes featured a persistent expansion of cropland and built-up areas, with a decline in grassland and wetland, along the east–west gradient from forests, grasslands, and unused-lands, to become the dominant cover type. According to our improved model, the ecosystem services considering the internal structure of build-up lands were first investigated in this ecologically fragile area of China, and the evaluated ecosystem service value (ESV) reduced from CNY 5515.316 billion to CNY 5425.188 billion, with an average annual decrease of CNY 3.004 billion from 1990 to 2020. Another finding was that the small-scale land variables with large ecological service impacts were quantified; namely, the proportion of grassland, woodland, wetland, and water body decreased from 62.71% to 61.34%, with only a relatively minor fluctuation of −1.37%, but this decline resulted in a large ESV loss of CNY 116.141 billion from 1990 to 2020. From the driving perspective, the temperature, digital elevation model (DEM), and slope exhibited negative effects on ESV changes, whereas a positive association was analyzed in terms of the precipitation and human footprint during the studied period. This study provides important support for optimizing land resource allocation, guiding the development of agriculture and animal husbandry, and protecting the ecological environment in arid/semi-arid and ecological barrier regions. Full article
Show Figures

Figure 1

20 pages, 810 KB  
Article
The Valuation of Assets as a Non-Monetary Contribution to a Water Management Company
by Eva Vítková, Jana Korytárová and Gabriela Kocourková
Sustainability 2025, 17(24), 11171; https://doi.org/10.3390/su172411171 - 12 Dec 2025
Viewed by 270
Abstract
A large number of state-owned companies were privatized in the Czech Republic after the end of the communist regime, mostly through their transformation into joint-stock companies. The water management sector was no exception from this process. The ownership of infrastructure networks was transferred [...] Read more.
A large number of state-owned companies were privatized in the Czech Republic after the end of the communist regime, mostly through their transformation into joint-stock companies. The water management sector was no exception from this process. The ownership of infrastructure networks was transferred to individual municipalities, which are legally obliged to provide their inhabitants with water supply and sewerage disposal. Subsequently, the municipalities joined together in joint-stock companies to enhance their capacity to provide sufficient financial resources for the rehabilitation and development of water infrastructure and also to enable the implementation of sustainable water management strategies, which are key to environmental protection. Assets contributed to joint-stock companies in the form of non-monetary contributions serve as a basis for a proportionate allocation of shares, representing the shareholder’s share of participation in the company’s management. An analysis of the asset performance within these companies indicates the necessity of developing an optimized methodology for determining the number of shares allocated for such non-monetary contributions. This need arises from significant disparities in both profitability and cost-efficiency among municipalities, depending on factors such as population size (revenues) and the length and technical characteristics of the infrastructure networks (costs) contributed to the joint-stock companies. The authors of the article present the research project results, aimed at developing a methodological procedure for determining the price (value) of municipal infrastructure assets contributed as non-monetary capital to a joint-stock company that owns and operates water management networks, from which the secondary objective of determining the fair value of a municipality’s water management infrastructure assets based on the developed methodology is derived. The proposed methodological procedure is primarily based on establishing the ratio between the fixed and variable costs of the municipality. Full article
(This article belongs to the Section Sustainable Water Management)
Show Figures

Figure 1

19 pages, 1280 KB  
Article
Optimization of Nitrogen Fertilizer Operation for Sustainable Production of Japonica Rice with Different Panicle Types in Liaohe Plain: Yield-Quality Synergy Mechanism and Agronomic Physiological Regulation
by Xinyi Lou, Meiling Li, Lin Zhang, Baoyan Jia, Shu Wang, Yan Wang, Yuancai Huang, Chanchan Zhou and Yun Wang
Sustainability 2025, 17(24), 11152; https://doi.org/10.3390/su172411152 - 12 Dec 2025
Viewed by 194
Abstract
Northern japonica rice holds a significant position in China’s food security. However, the traditional nitrogen fertilizer management model (nitrogen application rate > 225 kg/ha, base fertilizer proportion > 50%) has led to serious sustainability problems: the nitrogen utilization rate is only 25–30%, resulting [...] Read more.
Northern japonica rice holds a significant position in China’s food security. However, the traditional nitrogen fertilizer management model (nitrogen application rate > 225 kg/ha, base fertilizer proportion > 50%) has led to serious sustainability problems: the nitrogen utilization rate is only 25–30%, resulting in a large amount of fertilizer waste and economic losses. At the same time, it causes a decline in rice quality, manifested as a 15–20% increase in chalkiness and an 8–12% decrease in palatability value. It has also brought about environmental problems such as soil acidification and eutrophication of water bodies. As an important japonica rice production area, the Liaohe Plain has significant differences in the response of semi-upright and curved panicle varieties to nitrogen fertilizer. However, the agronomic physiological mechanism for the coordinated improvement of yield and quality of japonica rice with different panicle types is still unclear at present, which limits the sustainable development of rice production in this region. For this purpose, in this study, the typical semi-upright spike variety Shendao 47 and the curved spike variety Shendao 11 from the Liaohe Plain were used as materials, and five nitrogen fertilizer treatments were set up: N1, no nitrogen application; N2–N4, conventional nitrogen application rate of 165–225 kg/ha; and N5, and optimized nitrogen application rate of 195 kg/ha allocated in the proportion of 40% base fertilizer, 15% tillering fertilizer, 25% tillering fertilizer, 15% panicle fertilizer, and 5% grain fertilizer. The synergistic regulatory effect of nitrogen fertilizer management on yield and rice quality was systematically explored, and the key agronomic physiological mechanisms were analyzed. The research results show that: (1) The optimized nitrogen fertilizer treatment (N5) achieved a significant increase in yield while reducing the input of nitrogen fertilizer. The yields of Shendao 47 and Shendao 11 reached 10.71–11.82 t/ha and 9.50–10.62 t/ha, respectively, increasing by more than 35% compared with the treatment without nitrogen. (2) The N5 treatment simultaneously improved the processing quality (the whole polished rice rate increased by 4.11%) and the appearance quality (the chalkiness decreased by 63.8% to 77%). (3) The dry matter accumulation during the tillering stage (≥3.2 t/ha) and the net assimilation rate during the scion development stage (≥12 g/m2/d) were identified as key agronomic physiological indicators for regulating the yield-quality synergy. Optimizing nitrogen fertilizer management ensures an adequate supply of photosynthetic products through the high photosynthetic rate of flag-holding leaves and the extended lifespan of functional leaves. The phased nitrogen application strategy of “40% base fertilizer + 25% tillering fertilizer + 15% panicle fertilizer + 5% grain fertilizer” proposed in this study provides a theoretical and practical basis for the sustainable development of japonica rice production in the Liaohe Plain. This plan has achieved the coordinated realization of multiple goals including resource conservation (reducing nitrogen by 13%), environmental protection (lowering the risk of nitrogen loss), food security guarantee (stable increase in yield), and quality improvement (enhancement of rice quality), effectively promoting the development of the northern japonica rice industry towards a green, efficient and sustainable direction. Develop in the right direction. Full article
Show Figures

Figure 1

14 pages, 2849 KB  
Article
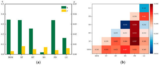
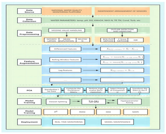
Enhancing Surface Water Quality Parameter Prediction Using Deep Learning and Feature Augmentation Methods
by Xianhe Wang, Ying Li, Qian Qiao, Adriano Tavares, Weidong Huang and Yanchun Liang
Water 2025, 17(24), 3523; https://doi.org/10.3390/w17243523 - 12 Dec 2025
Viewed by 200
Abstract
Water quality monitoring is crucial for public health and environmental protection, but traditional methods lack real-time accuracy. This study addresses this gap by combining feature augmentation methods (e.g., sliding window) with Principal Component Analysis (PCA) and a tailored Two-Layer Regularized Gated Recurrent Unit [...] Read more.
Water quality monitoring is crucial for public health and environmental protection, but traditional methods lack real-time accuracy. This study addresses this gap by combining feature augmentation methods (e.g., sliding window) with Principal Component Analysis (PCA) and a tailored Two-Layer Regularized Gated Recurrent Unit (TLR-GRU) model for efficient water quality prediction. Results demonstrate that the proposed framework significantly improves prediction accuracy, with R2 increased by 7.78%, RMSE decreased by 27.36%, MAE by 36.71%, and MAPE by 45.08%. This approach offers a novel technical pathway for real-time environmental monitoring and water resource management. Full article
Show Figures

Figure 1

22 pages, 6786 KB  
Article
Hydrochemical Characteristics and Nitrate Health Risk Assessment in a Shallow Aquifer: Insights from a Typical Low-Mountainous Region
by Xia Li, Jiaxin Song, Junjian Liu, Wenda Liu, Jingtao Shi, Suduan Hu, Jiangyulong Wang and Xueyao Niu
Water 2025, 17(24), 3516; https://doi.org/10.3390/w17243516 - 12 Dec 2025
Viewed by 297
Abstract
Wolong Town, Pingquan City, is located in a typical low-mountainous area of northern China, where groundwater is a crucial drinking water resource, thus, investigating groundwater’s hydrochemical characteristics and assessing nitrate-related health risks are vital for protecting, developing, and utilizing water resources. In this [...] Read more.
Wolong Town, Pingquan City, is located in a typical low-mountainous area of northern China, where groundwater is a crucial drinking water resource, thus, investigating groundwater’s hydrochemical characteristics and assessing nitrate-related health risks are vital for protecting, developing, and utilizing water resources. In this study, 66 groundwater samples were collected and analyzed for physicochemical parameters and major ion concentrations. Results showed that the groundwater in Wolong Town was weakly alkaline (average pH = 7.6), and classified as fresh water with TDS ranging from 90.0 to 900 mg/L. The dominant hydrochemical type was identified as HCO3-Ca2+. Hydrochemical evolution was jointly regulated by natural water-rock interaction, anthropogenic nitrogen input, and environmental redox differentiation. Among these, water-rock interaction was the primary driver, where the hydrochemical composition was mainly shaped by the dissolution of halite, calcite, dolomite, and gypsum, coupled with cation exchange. Nitrate was the primary groundwater pollutant, with concentrations varying from 0.94 to 259 mg/L; elevation, soil type, and population density were key drivers influencing nitrate distribution. Health risk assessment indicated that nitrate posed significantly higher non-carcinogenic risks to infants and children than to adults, and long-term consumption of groundwater with excessive nitrate might induce adverse health effects. This study enhances understanding of shallow groundwater’s hydrochemical evolution and nitrate contamination-related health risks, thereby providing theoretical support for the sustainable development, utilization, and quality protection of groundwater resources in semi-arid low-mountainous areas. Full article
Show Figures

Figure 1

22 pages, 2640 KB  
Article
Orthogonal Experiment on the Mechanical Properties of Tuff Mechanism Sand Concrete
by Haitao Zhang, Zhiguo Liu, Zhaoen Wang, Caiqian Yang, Zhentian Zhang, Diwei Lang, Peng Hou, Junjie Luo and Yuanhang Zhang
Buildings 2025, 15(24), 4465; https://doi.org/10.3390/buildings15244465 - 10 Dec 2025
Viewed by 125
Abstract
Against the backdrop of global natural sand scarcity and stringent ecological protection policies, tuff mechanism sand has emerged as a promising alternative fine aggregate for concrete, especially in coastal infrastructure hubs like Ningbo, where abundant tuff resources coexist with acute natural sand shortages. [...] Read more.
Against the backdrop of global natural sand scarcity and stringent ecological protection policies, tuff mechanism sand has emerged as a promising alternative fine aggregate for concrete, especially in coastal infrastructure hubs like Ningbo, where abundant tuff resources coexist with acute natural sand shortages. However, existing research on TMS concrete lacks systematic multi-factor optimization, while the performance regulation mechanism of TMS remains unclear, hindering its application in large-scale engineering. To address this gap, this study employed a L16(45) orthogonal experimental design to systematically investigate the effects of five key factors, including fineness modulus, sand ratio, fly ash-to-ground granulated blast-furnace slag ratio, stone powder content, and water–binder ratio, on the 3 d, 7 d, and 28 d compressive, splitting tensile, and flexural strengths of TMS concrete from Ningbo. The results indicate that all three strengths exhibit rapid growth from 3 d to 7 d and stable growth from 7 d to 28 d, with the 3 d compressive strength accounting for 72.5% of the 28 d value, while flexural strength shows the lowest 3 d proportion (63.1%) and highest late-stage growth rate. Range analysis reveals that water–binder ratio is the dominant factor controlling compressive strength and splitting tensile strength, whereas fineness modulus dominates flexural strength. The optimal fineness modulus values for compressive, splitting tensile, and flexural strengths are 2.60, 2.90, and 2.30, respectively; a stone powder content of 0% optimizes compressive and flexural strengths, while 6% is optimal for splitting tensile strength. Notably, the interaction between fineness modulus and water–binder ratio exerts a statistically significant effect on compressive strength (p = 0.008), while the other interactions are negligible. This study fills the gap in research on multi-factor synergistic optimization of TMS concrete and provides targeted mix proportion designs for different engineering requirements. The findings not only enrich the theoretical system of manufactured-sand concrete but also offer practical technical support for the resource utilization of TMS in medium-to-high-strength concrete engineering, aligning with the sustainable development goals of the construction industry. Full article
(This article belongs to the Section Building Materials, and Repair & Renovation)
Show Figures

Figure 1

19 pages, 6617 KB  
Article
Domain-Adaptive Segment Anything Model for Cross-Domain Water Body Segmentation in Satellite Imagery
by Lihong Yang, Pengfei Liu, Guilong Zhang, Huaici Zhao and Chunyang Zhao
J. Imaging 2025, 11(12), 437; https://doi.org/10.3390/jimaging11120437 - 9 Dec 2025
Viewed by 163
Abstract
Monitoring surface water bodies is crucial for environmental protection and resource management. Existing segmentation methods often struggle with limited generalization across different satellite domains. We propose DASAM, a domain-adaptive Segment Anything Model for cross-domain water body segmentation in satellite imagery. The core innovation [...] Read more.
Monitoring surface water bodies is crucial for environmental protection and resource management. Existing segmentation methods often struggle with limited generalization across different satellite domains. We propose DASAM, a domain-adaptive Segment Anything Model for cross-domain water body segmentation in satellite imagery. The core innovation of DASAM is a contrastive learning module that aligns features between source and style-augmented images, enabling robust domain generalization without requiring annotations from the target domain. Additionally, DASAM integrates a prompt-enhanced module and an encoder adapter to capture fine-grained spatial details and global context, further improving segmentation accuracy. Experiments on the China GF-2 dataset demonstrate superior performance over existing methods, while cross-domain evaluations on GLH-water and Sentinel-2 water body image datasets verify its strong generalization and robustness. These results highlight DASAM’s potential for large-scale, diverse satellite water body monitoring and accurate environmental analysis. Full article
(This article belongs to the Section Computer Vision and Pattern Recognition)
Show Figures

Figure 1

17 pages, 8006 KB  
Article
Research on Characteristics and Control Methods of Roof Water Inflow in Syncline Structure Mining Area Under High-Confined Aquifer
by Tao Luo, Gangwei Fan, Shizhong Zhang, Zihan Kong, Shaodong Li, Lei Zhang and Zhenxiang Wei
Sustainability 2025, 17(24), 10961; https://doi.org/10.3390/su172410961 - 8 Dec 2025
Viewed by 104
Abstract
Investigating the evolution mechanism of overlying strata fractures during mining and identifying the key factors that influence the development height of water-conducting fracture zones (WCFZs) are essential for preventing roof water inrush disasters, protecting mine water resources, and ensuring safe and sustainable mine [...] Read more.
Investigating the evolution mechanism of overlying strata fractures during mining and identifying the key factors that influence the development height of water-conducting fracture zones (WCFZs) are essential for preventing roof water inrush disasters, protecting mine water resources, and ensuring safe and sustainable mine development. To investigate the height of WCFZs and the evolution law of roof water inflow in a syncline structure working face under high-confined aquifer conditions, the 203 working face of Gaojiapu Coal Mine in Binchang Coalfield is selected as the engineering case. This paper analyzes the characteristics and control mechanisms of roof water inflow in a syncline structure mining area using UDEC 7.0 and COMSOL Multiphysics 6.0 multiphysics numerical simulation software. The results indicate that under different mining heights and advancing speeds, the height of the WCFZ in the overlying strata of a syncline structure working face continuously increases during the downward mining stage and in areas below the axis, and decreases thereafter, eventually stabilizing after reaching its maximum value at the initial stage of upward mining. When the WCFZ communicates with the strong aquifer of the Cretaceous Luohe Formation during the mining process, roof water inflow into the working face increases abruptly. The effectiveness of controlling water inflow by adjusting mining height is superior to that of controlling mining speed. Based on the response relationship between mining height, mining speed, and roof WCFZ, an on-site drainage prevention strategy was implemented involving reduced mining height and increased mining speed. Consequently, the roof water inflow at the working face has decreased from an initial rate of 950 m3/h to 360 m3/h. This study is of great significance for the safe and efficient extraction of coal seams under high-confined aquifers in the Binchang Coalfield, supporting the efficient development of coal resources while safeguarding regional water resources, thereby offering considerable engineering and practical value in promoting green mining and sustainable mining practices in large-scale coal production bases with similar geological conditions. Full article
Show Figures

Figure 1

34 pages, 9895 KB  
Article
Assessment of Drinking Water Quality from the Dobromierz Reservoir During the Treatment Process: Collection, Distribution and Future Challenges
by Magdalena Szewczyk, Paweł Tomczyk and Mirosław Wiatkowski
Water 2025, 17(24), 3467; https://doi.org/10.3390/w17243467 - 6 Dec 2025
Viewed by 334
Abstract
Drinking water contamination during the treatment process remains a major problem for decision-makers responsible for the collection and supply of water to recipients. This article presents measurements of 33 parameters of drinking water quality in the years 2009–2023, taken from the Dobromierz reservoir [...] Read more.
Drinking water contamination during the treatment process remains a major problem for decision-makers responsible for the collection and supply of water to recipients. This article presents measurements of 33 parameters of drinking water quality in the years 2009–2023, taken from the Dobromierz reservoir in Poland, with particular emphasis on the stages of raw water, water undergoing treatment, and utility water. The results showed that the raw water tested is contaminated microbiologically (presence of coliform bacteria), organoleptically (worse turbidity, odor, color), and chemically (increased PAHs, nitrites, benzo(α)pyrene). This indicates improper maintenance of the areas around the reservoir, i.e., agricultural areas (the existing nutrient runoff), residential areas (the lack of stringent records of cesspools and septic tanks), and roadside (improper maintenance of ditch slopes). In most cases, water at the treatment stage and at the end recipients was effectively purified (in most cases, the analyzed parameters achieved a degree of compliance with drinking water standards of at least 95%). Only for the turbidity in the network, the standards did not reach the adopted minimum level. This suggests the need to conduct systematic investment activities in order to reduce failures in the network (average system failure rate of 34%). Moreover, the statistical analysis of the results showed significant changes in the parameters between raw water and water in the water supply network and at end recipients (p < 0.05). Therefore, it is necessary to focus on protecting the quality of raw water resources for more effective treatment and ensuring human health safety. Full article
Show Figures

Figure 1

16 pages, 2381 KB  
Article
Effects of Forest Thinning on Water Yield and Runoff Components in Headwater Catchments of Japanese Cypress Plantation
by Ibtisam Mohd Ghaus, Nobuaki Tanaka, Takanori Sato, Moein Farahnak, Yuya Otani, Anand Nainar, Mie Gomyo and Koichiro Kuraji
Water 2025, 17(24), 3461; https://doi.org/10.3390/w17243461 - 5 Dec 2025
Viewed by 398
Abstract
Forests play a key role in sustaining global water cycles by regulating precipitation partitioning, which in turn influences both water yield and ecosystem stability. Thinning is a silvicultural tool used to improve forest plantation productivity, but it is increasingly recognized as a means [...] Read more.
Forests play a key role in sustaining global water cycles by regulating precipitation partitioning, which in turn influences both water yield and ecosystem stability. Thinning is a silvicultural tool used to improve forest plantation productivity, but it is increasingly recognized as a means for water resource management. This study investigated hydrological changes following 40% thinning of tree density with contour-aligned log placement in paired headwater catchments of a Japanese cypress forest. Annual runoff in the treated catchment was 108.7 mm above the pre-thinning baseline in the thinning year (2020), followed by smaller increases of 99.7 mm, 43.7 mm, and 0.4 mm in 2021 to 2023, after which annual yields effectively returned to pre-thinning levels. Despite these temporary increases, peak discharge and storm quickflow metrics remained within the pre-thinning range. Flow duration curve analysis revealed a sustained enhancement of low-flow discharge and baseflow throughout the post-thinning period, indicating improved low-flow resilience without increased stormflow risk. These findings demonstrate that moderate thinning combined with contour felled logs can enhance water availability in plantation forests while maintaining flood protection. They also highlight the need for long-term, multi-site studies to test the persistence and generality of these low-flow benefits under varying forest and climate conditions. Full article
(This article belongs to the Section Hydrology)
Show Figures

Figure 1

33 pages, 5826 KB  
Article
Comparing Sustainability Priorities of Academicians and Managers: An AHP-Based SDG Analysis
by Fethiye Sağkan and Aykan Uncu
Sustainability 2025, 17(24), 10914; https://doi.org/10.3390/su172410914 - 5 Dec 2025
Viewed by 306
Abstract
This study compares how academics and company managers prioritize environmental sustainability criteria using the Analytic Hierarchy Process (AHP). Three main criteria were evaluated: resource and waste management, energy management, and product sustainability. The study examines these priorities by identifying key sustainability criteria, comparing [...] Read more.
This study compares how academics and company managers prioritize environmental sustainability criteria using the Analytic Hierarchy Process (AHP). Three main criteria were evaluated: resource and waste management, energy management, and product sustainability. The study examines these priorities by identifying key sustainability criteria, comparing stakeholder assessments, and interpreting their implications for SDG-focused decision-making processes. The findings, based on the hypothesis that managers prefer market-sensitive strategies while academics prioritize ecological management, show that these different perspectives are complementary and can contribute to more inclusive sustainability policies together. The results show that company managers place greater importance on product-related practices such as the use of recycled materials, supply chain control, and product certification, reflecting market-oriented sustainability expectations. On the other hand, academics place greater emphasis on resource and waste management, including water resource protection (SDG 6), solid waste management (SDG 15), and the use of recycled materials (SDG 12). Both groups emphasize renewable energy (SDG 7) and greenhouse gas reduction (SDG 13) in the energy dimension. Full article
Show Figures

Figure 1

25 pages, 772 KB  
Article
Has the Water Rights Trading Policy Improved Water Resource Utilization Efficiency?
by Pei Du, Juntao Du and Qingqing Liu
Water 2025, 17(24), 3459; https://doi.org/10.3390/w17243459 - 5 Dec 2025
Viewed by 345
Abstract
Implementing natural resource protection systems and improving regional water resource utilization efficiency are effective ways to resolve the contradiction between economic development and water resource poverty. To this end, this paper establishes a Difference-in-Difference (DID) model to analyze the impact of water rights [...] Read more.
Implementing natural resource protection systems and improving regional water resource utilization efficiency are effective ways to resolve the contradiction between economic development and water resource poverty. To this end, this paper establishes a Difference-in-Difference (DID) model to analyze the impact of water rights trading pilot policies (WET) in 271 prefecture-level cities in China from 2006 to 2023 on water resource utilization efficiency (WEE). The research results indicate that (1) WET significantly improved WEE, while confirming the robustness of this effect; (2) WET exhibit significant heterogeneity in their policy effects on WEE, reflecting pronounced differences between northern and southern cities in terms of geographical location and water resource endowment. In cities with abundant water resources, this promotional effect is even more pronounced; (3) market vitality and water conservation benefits can positively promote the impact of WET through regulatory mechanisms. Based on this, expanding the pilot cities for water rights trading policies and enhancing market vitality can effectively improve WEE and alleviate the current situation of water resource poverty in the region. Full article
(This article belongs to the Section Urban Water Management)
Show Figures

Figure 1

Back to TopTop