Sign in to use this feature.

Years

Between: -

Subjects

remove_circle_outline
remove_circle_outline
remove_circle_outline
remove_circle_outline
remove_circle_outline
remove_circle_outline
remove_circle_outline
remove_circle_outline
remove_circle_outline

Journals

remove_circle_outline
remove_circle_outline
remove_circle_outline
remove_circle_outline
remove_circle_outline
remove_circle_outline
remove_circle_outline
remove_circle_outline
remove_circle_outline
remove_circle_outline
remove_circle_outline
remove_circle_outline
remove_circle_outline
remove_circle_outline
remove_circle_outline

Article Types

Countries / Regions

remove_circle_outline
remove_circle_outline
remove_circle_outline
remove_circle_outline
remove_circle_outline
remove_circle_outline

Search Results (1,741)

Search Parameters:
Keywords = phase calibration

Order results
Result details
Results per page
Select all
Export citation of selected articles as:
34 pages, 2742 KB  
Review
Recent Advances in Digital Fringe Projection Profilometry (2022–2025): Techniques, Applications, and Metrological Challenges—A Review
by Mishraim Sanchez-Torres, Ismael Hernández-Capuchin, Cristina Ramírez-Fernández, Eddie Clemente, José Luis Javier Sánchez-González and Alan López-Martínez
Metrology 2026, 6(1), 3; https://doi.org/10.3390/metrology6010003 - 12 Jan 2026
Abstract
Digital fringe projection profilometry (DFPP) is a widely used technique for full-field, non-contact 3D surface measurement, offering precision from the sub-micrometer-to-millimeter scale depending on system geometry and fringe design. This review provides a consolidated synthesis of advances reported between 2022 and 2025, covering [...] Read more.
Digital fringe projection profilometry (DFPP) is a widely used technique for full-field, non-contact 3D surface measurement, offering precision from the sub-micrometer-to-millimeter scale depending on system geometry and fringe design. This review provides a consolidated synthesis of advances reported between 2022 and 2025, covering projection and imaging architectures, phase formation and unwrapping strategies, calibration approaches, high-speed implementations, and learning-based reconstruction methods. A central contribution of this review is the integration of these developments within a metrological perspective, explicitly relating phase–height transformation, fringe parameters, system geometry, and calibration to dominant uncertainty sources and error propagation. Recent progress highlights trade-offs between sensitivity, robustness, computational complexity, and applicability to non-ideal surfaces, while learning-based and hybrid optical–computational approaches demonstrate substantial improvements in reconstruction reliability under challenging conditions. Remaining challenges include measurements on reflective or transparent surfaces, dynamic scenes, environmental instability, and real-time operation. The review outlines emerging research directions such as physics-informed learning, digital twins, programmable optics, and autonomous calibration, providing guidance for the development of next-generation DFPP systems for precision metrology. Full article
Show Figures

Figure 1

10 pages, 11941 KB  
Article
A Reconfigurable Analog Beamformer for Multi-Frequency, Multiantenna GNSS Applications
by Ivan Klammsteiner, Ernest Ofosu Addo, Veenu Tripathi and Stefano Caizzone
Electronics 2026, 15(2), 289; https://doi.org/10.3390/electronics15020289 - 8 Jan 2026
Viewed by 112
Abstract
A reconfigurable analog beamformer for the use case of multiband Global Navigation Satellite System (GNSS) multiantenna receiver systems is designed and tested. The beamformer board operates in all existing GNSS frequency bands. In this paper, the two commonly used GNSS bands, the E1/L1 [...] Read more.
A reconfigurable analog beamformer for the use case of multiband Global Navigation Satellite System (GNSS) multiantenna receiver systems is designed and tested. The beamformer board operates in all existing GNSS frequency bands. In this paper, the two commonly used GNSS bands, the E1/L1 and E5a/L5 GNSS bands at 1.575 GHz and 1.176 GHz, respectively, are studied. An analog weighting of the complex excitation of up to 14 individual channels is realized using attenuators and phase shifters, digitally controlled by proprietary PC software. We present an analysis of the relative errors between the channels and a simple calibration of constant errors which is applied and validated. The beamformer is then demonstrated in an exemplary test case, to generate an ad hoc pattern from an array of antennas. Full article
Show Figures

Figure 1

31 pages, 13729 KB  
Article
Stage-Wise SOH Prediction Using an Improved Random Forest Regression Algorithm
by Wei Xiao, Jun Jia, Wensheng Gao, Haibo Li, Hong Xu, Weidong Zhong and Ke He
Electronics 2026, 15(2), 287; https://doi.org/10.3390/electronics15020287 - 8 Jan 2026
Viewed by 80
Abstract
In complex energy storage operating scenarios, batteries seldom undergo complete charge–discharge cycles required for periodic capacity calibration. Methods based on accelerated aging experiments can indicate possible aging paths; however, due to uncertainties like changing operating conditions, environmental variations, and manufacturing inconsistencies, the degradation [...] Read more.
In complex energy storage operating scenarios, batteries seldom undergo complete charge–discharge cycles required for periodic capacity calibration. Methods based on accelerated aging experiments can indicate possible aging paths; however, due to uncertainties like changing operating conditions, environmental variations, and manufacturing inconsistencies, the degradation information obtained from such experiments may not be applicable to the entire lifecycle. To address this, we developed a stage-wise state-of-health (SOH) prediction approach that combined offline training with online updating. During the offline training phase, multiple single-cell experiments were conducted under various combinations of depth of discharge (DOD) and C-rate. Multi-dimensional health features (HFs) were extracted, and an accelerated aging probability pAA was defined. Based on the correlation statistics between HFs, kHF, the SOH, and pAA, all cells in the dataset were divided into general early, middle, and late aging stages. For each stage, cells were further classified by their longevity (long, medium, and short), and multiple models were trained offline for each category. The results show that models trained on cells following similar aging paths achieve significantly better performance than a model trained on all data combined. Meanwhile, HF optimization was performed via a three-step process: an initial screening based on expert knowledge, a second screening using Spearman correlation coefficients, and an automatic feature importance ranking using a random forest regression (RFR) model. The proposed method is innovative in the following ways: (1) The stage-wise multi-model strategy significantly improves the SOH prediction accuracy across the entire lifecycle, maintaining the mean absolute percentage error (MAPE) within 1%. (2) The improved model provides uncertainty quantification, issuing a warning signal at least 50 cycles before the onset of accelerated aging. (3) The analysis of feature importance from the model outputs allows the indirect identification of the primary aging mechanisms at different stages. (4) The model is robust against missing or low-quality HFs. If certain features cannot be obtained or are of poor quality, the prediction process does not fail. Full article
Show Figures

Figure 1

43 pages, 10782 KB  
Article
Nested Learning in Higher Education: Integrating Generative AI, Neuroimaging, and Multimodal Deep Learning for a Sustainable and Innovative Ecosystem
by Rubén Juárez, Antonio Hernández-Fernández, Claudia Barros Camargo and David Molero
Sustainability 2026, 18(2), 656; https://doi.org/10.3390/su18020656 - 8 Jan 2026
Viewed by 133
Abstract
Industry 5.0 challenges higher education to adopt human-centred and sustainable uses of artificial intelligence, yet many current deployments still treat generative AI as a stand-alone tool, neurophysiological sensing as largely laboratory-bound, and governance as an external add-on rather than a design constraint. This [...] Read more.
Industry 5.0 challenges higher education to adopt human-centred and sustainable uses of artificial intelligence, yet many current deployments still treat generative AI as a stand-alone tool, neurophysiological sensing as largely laboratory-bound, and governance as an external add-on rather than a design constraint. This article introduces Nested Learning as a neuro-adaptive ecosystem design in which generative-AI agents, IoT infrastructures and multimodal deep learning orchestrate instructional support while preserving student agency and a “pedagogy of hope”. We report an exploratory two-phase mixed-methods study as an initial empirical illustration. First, a neuro-experimental calibration with 18 undergraduate students used mobile EEG while they interacted with ChatGPT in problem-solving tasks structured as challenge–support–reflection micro-cycles. Second, a field implementation at a university in Madrid involved 380 participants (300 students and 80 lecturers), embedding the Nested Learning ecosystem into regular courses. Data sources included EEG (P300) signals, interaction logs, self-report measures of engagement, self-regulated learning and cognitive safety (with strong internal consistency; α/ω0.82), and open-ended responses capturing emotional experience and ethical concerns. In Phase 1, P300 dynamics aligned with key instructional micro-events, providing feasibility evidence that low-cost neuro-adaptive pipelines can be sensitive to pedagogical flow in ecologically relevant tasks. In Phase 2, participants reported high levels of perceived nested support and cognitive safety, and observed associations between perceived Nested Learning, perceived neuro-adaptive adjustments, engagement and self-regulation were moderate to strong (r=0.410.63, p<0.001). Qualitative data converged on themes of clarity, adaptive support and non-punitive error culture, alongside recurring concerns about privacy and cognitive sovereignty. We argue that, under robust ethical, data-protection and sustainability-by-design constraints, Nested Learning can strengthen academic resilience, learner autonomy and human-centred uses of AI in higher education. Full article
Show Figures

Figure 1

16 pages, 1722 KB  
Article
Prediction of Li2O and Spodumene by FTIR-PLS in Pegmatitic Samples for Process Control
by Beatriz Palhano de Oliveira, Elisiane Lelis and Elenice Schons
Minerals 2026, 16(1), 66; https://doi.org/10.3390/min16010066 - 8 Jan 2026
Viewed by 102
Abstract
Rapid and reliable analytical methods are required to support quality control and decision-making in lithium-bearing mineral processing. In this study, the application of Fourier Transform Infrared (FTIR) spectroscopy combined with Partial Least Squares (PLS) chemometric modeling is evaluated for the simultaneous prediction of [...] Read more.
Rapid and reliable analytical methods are required to support quality control and decision-making in lithium-bearing mineral processing. In this study, the application of Fourier Transform Infrared (FTIR) spectroscopy combined with Partial Least Squares (PLS) chemometric modeling is evaluated for the simultaneous prediction of lithium oxide (Li2O) and spodumene contents in pegmatitic samples. Two independent PLS models were developed using FTIR spectra preprocessed with first derivative and/or Standard Normal Variate (SNV). Spectral regions were selected based on the vibrational response of Al–O, Si–O, and OH groups, which are indirectly influenced by lithium-bearing phases. The spectral datasets were divided into calibration and independent external test sets, and model performance was assessed using statistical metrics and Principal Component Analysis (PCA). The Li2O model achieved an R2 of 0.9934 and an RMSEP of 0.185 in external validation, with a mean absolute error below 0.15%. The spodumene model achieved an R2 of 0.9961, an RMSEP of 1.79, and a mean absolute error of 2.80%. These results demonstrate that the FTIR-PLS approach enables efficient quantitative estimation of lithium-bearing minerals, with reduced analytical time, good predictive accuracy, and suitability for application in process control and mineralogical sorting environments. PCA confirmed the statistical representativeness of the test sets, with no evidence of spectral extrapolation. Full article
(This article belongs to the Section Mineral Processing and Extractive Metallurgy)
Show Figures

Graphical abstract

19 pages, 2318 KB  
Article
Implementation of a Length Gauge Based on Optical Frequency Domain Reflectometry (OFDR)
by Aleksey Shestakov, Dmitriy Kambur, Yuri Konstantinov, Maxim Belokrylov, D. Claude, Igor Shardakov and Artem Turov
Sensors 2026, 26(2), 393; https://doi.org/10.3390/s26020393 - 7 Jan 2026
Viewed by 161
Abstract
Optical frequency domain reflectometry (OFDR) is a widely used method for measuring optical lengths to backscattering points in optical fibers and integrated optical chips. However, its application for measuring absolute distances in other media, including free space, remains insufficiently studied. This work aims [...] Read more.
Optical frequency domain reflectometry (OFDR) is a widely used method for measuring optical lengths to backscattering points in optical fibers and integrated optical chips. However, its application for measuring absolute distances in other media, including free space, remains insufficiently studied. This work aims to solve two main challenges in developing a free-space distance measurement method based on OFDR. The first one is the adaptation of the standard OFDR method to air-based measurements, considering the complex and/or atypical composition of the optical line, including the combination of fiber and air, as well as differing chromatic dispersion. The second task is the calibration of the reflectometer to ensure high measurement accuracy. The article proposes a mathematical framework for eliminating the influence of chromatic dispersion, based on signal transformation and the introduction of an equivalent phase of the reference interferometer. The method was verified experimentally. The experimental setup included an OFDR system, a collimator, and a corner reflector movable along a 2-m rail. An important result is the development and testing of a dispersion compensation method, which eliminated peak broadening in the trace as the distance increased, maintaining its width at a level of tens of microns. Through calibration using an interferometric fringe-counting method, a frequency-to-distance conversion coefficient was determined, ensuring measurement accuracy up to 2 μm. Thus, the study demonstrates the feasibility of adapting OFDR for precise distributed distance measurements in free space and in complex or otherwise non-standard structured environments, significantly expanding the application scope of the technology. Full article
(This article belongs to the Section Optical Sensors)
Show Figures

Figure 1

22 pages, 4530 KB  
Article
Ray Tracing Calibration Based on Local Phase Error Estimates for Rail Transit Wireless Channel Modeling
by Meng Lan, Jianfeng Liu, Meng Mei and Zhongwei Xu
Appl. Sci. 2026, 16(2), 606; https://doi.org/10.3390/app16020606 - 7 Jan 2026
Viewed by 63
Abstract
Ray tracing (RT) has become an important method for train-to-ground (T2G) wireless channel modeling due to its physical interpretability. In rail transit scenarios, RT suffers from modeling errors that arise due to environmental reconstruction and uncertainties in electromagnetic parameters, as well as dynamic [...] Read more.
Ray tracing (RT) has become an important method for train-to-ground (T2G) wireless channel modeling due to its physical interpretability. In rail transit scenarios, RT suffers from modeling errors that arise due to environmental reconstruction and uncertainties in electromagnetic parameters, as well as dynamic phase errors caused by coherent multi-path superposition that is further triggered by such modeling errors. Phase errors significantly affect both the calibration accuracy and prediction precision of RT. Therefore, this paper proposes an intelligent RT calibration method based on local phase errors. The method builds a phase error distribution model and uses constraints from limited measurements to explicitly estimate and correct phase errors in RT-generated channel responses. Firstly, the method applies the Variational Expectation–Maximization (VEM) algorithm to optimize the phase error model, where the expectation step derives an approximate posterior distribution and the maximization step updates parameters conditioned on this posterior. Secondly, experiments are conducted using differentiable RT implemented in the Sionna library, which explicitly provides gradients of environmental and link parameters with respect to channel frequency responses, enabling end-to-end calibration. Finally, experimental results show that in railway scenarios, compared with calibration methods based on phase error-oblivious and uniform phase error, the proposed approach achieves average gains of about 10 dB at SNR = 0 dB and 20 dB at SNR = 30 dB. Full article
Show Figures

Figure 1

27 pages, 8106 KB  
Review
Mapping the Evolution of DSSAT Model Research: Trends, Transitions, and Future Frontiers
by Shikai Gao, Pengcheng He, Yuliang Fu, Yanbin Li, Hongfei Wang, Qian Wang, Aofeng He, Yihao Liu, Wei Zeng, Hao Li, Xiaochuan Chen, Xinru Liu, Tianli Ren, Yaobin Wang and Xuewen Gong
Agronomy 2026, 16(2), 141; https://doi.org/10.3390/agronomy16020141 - 6 Jan 2026
Viewed by 161
Abstract
This study presents a comprehensive bibliometric analysis of the DSSAT crop modeling field from 1990 to 2024, identifying its evolutionary trajectory and emerging frontiers. A comprehensive bibliometric analysis and network visualization were conducted using VOSviewer, CiteSpace, and Bibliometrix. Analyzing 6165 Scopus-indexed publications, we [...] Read more.
This study presents a comprehensive bibliometric analysis of the DSSAT crop modeling field from 1990 to 2024, identifying its evolutionary trajectory and emerging frontiers. A comprehensive bibliometric analysis and network visualization were conducted using VOSviewer, CiteSpace, and Bibliometrix. Analyzing 6165 Scopus-indexed publications, we found the research focus has shifted from foundational yield simulation and calibration toward addressing complex climate-water-food challenges. Three distinct developmental phases were identified: an initial establishment phase, a methodological refinement phase, and a current technology integration phase dominated by machine learning and remote sensing applications. The results reveal that machine learning, model-data fusion, and sustainability assessment represent the most active research frontiers. This analysis provides a systematic map of the field’s intellectual structure and offers evidence-based predictions for its future development, highlighting the transition of DSSAT from a specialized crop model to an interdisciplinary decision-support platform for sustainable agriculture. Full article
Show Figures

Figure 1

40 pages, 2940 KB  
Article
Hybrid GNN–LSTM Architecture for Probabilistic IoT Botnet Detection with Calibrated Risk Assessment
by Tetiana Babenko, Kateryna Kolesnikova, Yelena Bakhtiyarova, Damelya Yeskendirova, Kanibek Sansyzbay, Askar Sysoyev and Oleksandr Kruchinin
Computers 2026, 15(1), 26; https://doi.org/10.3390/computers15010026 - 5 Jan 2026
Viewed by 245
Abstract
Detecting botnets in IoT environments is difficult because most intrusion detection systems treat network events as independent observations. In practice, infections spread through device relationships and evolve through distinct temporal phases. A system that ignores either aspect will miss important patterns. This paper [...] Read more.
Detecting botnets in IoT environments is difficult because most intrusion detection systems treat network events as independent observations. In practice, infections spread through device relationships and evolve through distinct temporal phases. A system that ignores either aspect will miss important patterns. This paper explores a hybrid architecture combining Graph Neural Networks with Long Short-Term Memory networks to capture both structural and temporal dynamics. The GNN component models behavioral similarity between traffic flows in feature space, while the LSTM tracks how patterns change as attacks progress. The two components are trained jointly so that relational context is preserved during temporal learning. We evaluated the approach on two datasets with different characteristics. N-BaIoT contains traffic from nine devices infected with Mirai and BASHLITE, while CICIoT2023 covers 105 devices across 33 attack types. On N-BaIoT, the model achieved 99.88% accuracy with F1 of 0.9988 and Brier score of 0.0015. Cross-validation on CICIoT2023 yielded 99.73% accuracy with Brier score of 0.0030. The low Brier scores suggest that probability outputs are reasonably well calibrated for risk-based decision making. Consistent performance across both datasets provides some evidence that the architecture generalizes beyond a single benchmark setting. Full article
(This article belongs to the Section ICT Infrastructures for Cybersecurity)
Show Figures

Figure 1

11 pages, 2599 KB  
Review
Review of the Performance of the CMS Hadron Calorimeter
by Yide Wei and Hui Wang
Particles 2026, 9(1), 1; https://doi.org/10.3390/particles9010001 - 2 Jan 2026
Viewed by 145
Abstract
The hadron calorimeter is a central component of the CMS detector, vital for measuring hadron energies and reconstructing missing transverse momentum. This paper reviews its performance before and after the Phase 1 upgrade (completed in 2019), which upgraded both back-end and front-end electronics, [...] Read more.
The hadron calorimeter is a central component of the CMS detector, vital for measuring hadron energies and reconstructing missing transverse momentum. This paper reviews its performance before and after the Phase 1 upgrade (completed in 2019), which upgraded both back-end and front-end electronics, including photodetectors and charge-integrating ADC with precise-timing TDC, as well as its depth segmentation in the barrel and endcaps. This paper describes energy reconstruction algorithms that suppress out-of-time signals, along with high-precision timing alignment and multi-step energy calibration procedures to mitigate radiation damage and improve energy resolution Performance evaluations using proton–proton collision data demonstrate that the upgraded detector and reconstruction techniques achieve good resolution and robust operation under high-luminosity conditions. Full article
Show Figures

Figure 1

23 pages, 1297 KB  
Review
Preclinical PET and SPECT Imaging in Small Animals: Technologies, Challenges and Translational Impact
by Magdalena Bruzgo-Grzybko, Izabela Suwda Kalita, Adam Jan Olichwier, Natalia Bielicka, Ewa Chabielska and Anna Gromotowicz-Poplawska
Cells 2026, 15(1), 73; https://doi.org/10.3390/cells15010073 - 31 Dec 2025
Viewed by 404
Abstract
Molecular imaging in preclinical research using PET and SPECT has become a key component of contemporary biomedicine, enabling noninvasive, quantitative, and longitudinal assessment of biological processes in vivo. Rapid technological progress, including advances in detector design, readout electronics, reconstruction algorithms, and multimodal integration, [...] Read more.
Molecular imaging in preclinical research using PET and SPECT has become a key component of contemporary biomedicine, enabling noninvasive, quantitative, and longitudinal assessment of biological processes in vivo. Rapid technological progress, including advances in detector design, readout electronics, reconstruction algorithms, and multimodal integration, has substantially improved spatial resolution, sensitivity, and quantitative accuracy, thereby enhancing the translational value of animal models. PET and SPECT enable precise characterization of metabolic, molecular, and functional alterations across a wide range of diseases including cancer, cardiovascular disorders, neurodegeneration, and inflammation. Radiopharmaceuticals targeting diverse biological pathways, combined with PET and SPECT systems, allow comprehensive and physiologically relevant evaluation of disease mechanisms and therapeutic responses. Despite these significant advances, important challenges remain, including limitations in quantitative precision, partial-volume effects and inter-laboratory variability in experimental protocols. An additional limitation is the lack of globally standardized quality-control and calibration procedures tailored to preclinical imaging systems. Emerging multimodal imaging platforms and high-fidelity disease models, such as genetically engineered rodents, large animals, and zebrafish, continue to enhance reproducibility, biological relevance, and translational potential. This review summarizes the development, capabilities, and limitations of preclinical PET and SPECT imaging, highlighting their expanding role in advancing molecular diagnostics, radiopharmaceutical development, and translational medicine in both preclinical studies and early-phase clinical research. Full article
Show Figures

Figure 1

37 pages, 11439 KB  
Article
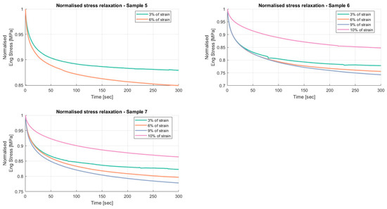
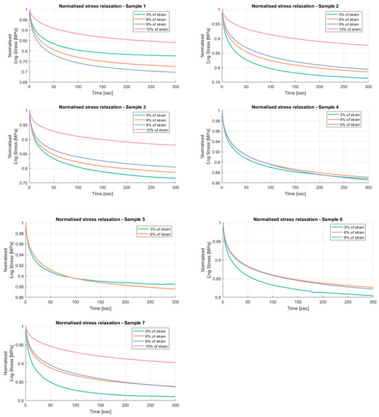
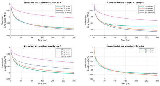
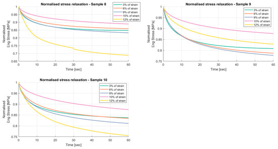
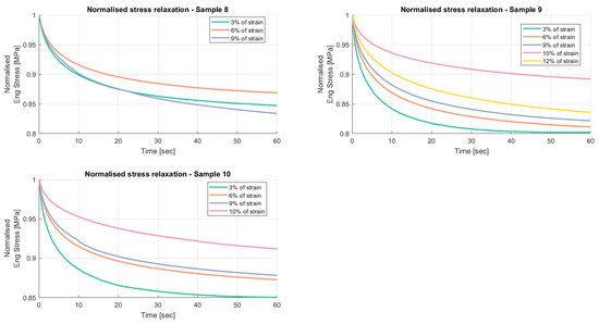
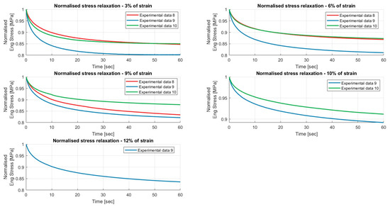
Constitutive Modelling of Tendons as Fibre-Reinforced Soft Tissues with a Single Fibre Family: Stress-Relaxation Tests for Parameter Identification
by Vito Burgio, Martina Di Giacinti, Paola Antonaci and Cecilia Surace
Appl. Sci. 2026, 16(1), 447; https://doi.org/10.3390/app16010447 - 31 Dec 2025
Viewed by 158
Abstract
Background: Nowadays, flexor hand tendon repair represents a clinical need, and new suture patterns or devices are commonly tested on animal surrogates. Considering the literature, the most frequently adopted animal models for testing are the equivalent tendons taken from porcine specimens. The constitutive [...] Read more.
Background: Nowadays, flexor hand tendon repair represents a clinical need, and new suture patterns or devices are commonly tested on animal surrogates. Considering the literature, the most frequently adopted animal models for testing are the equivalent tendons taken from porcine specimens. The constitutive modelling of these tendons could open the way to the numerical testing of new repair techniques and the development of digital twins, reducing the use of animal models. Methods: Uniaxial tensile stress-relaxation tests at different strain levels during the loading and unloading phases on porcine tendons were performed. Constitutive formulations based on the assumptions of incompressible and nearly incompressible materials were evaluated. Results: The experimental data were evaluated considering the relaxation tests at different strain levels during both the loading and unloading phases. The experimental tests were used for the material parameter calibration of both models. Conclusions: The stress-relaxation tests conducted at different strain levels during the loading phase showed good agreement with previous findings reported in the literature. Both constitutive model formulations provided a reliable approximation for numerical simulations. Full article
Show Figures

Figure 1

20 pages, 3043 KB  
Article
Fibrous Mesoporous Silica KCC-1 Functionalized with 3,5-Di-tert-butylsalicylaldehyde as an Efficient Dispersive Solid-Phase Extraction Sorbent for Pb(II) and Co(II) from Water
by Sultan K. Alharbi, Yassin T. H. Mehdar, Manal A. Almalki, Khaled A. Thumayri, Khaled M. AlMohaimadi, Bandar R. Alsehli, Awadh O. AlSuhaimi and Belal H. M. Hussein
Nanomaterials 2026, 16(1), 58; https://doi.org/10.3390/nano16010058 - 31 Dec 2025
Viewed by 350
Abstract
The accurate determination of trace metals in aqueous matrices necessitates robust sample preparation techniques that enable selective preconcentration of analytes while ensuring compatibility with subsequent instrumental analysis. Dispersive solid-phase extraction (d-SPE), a suspension-based variant of conventional solid-phase extraction (SPE), facilitates rapid sorbent–analyte interactions [...] Read more.
The accurate determination of trace metals in aqueous matrices necessitates robust sample preparation techniques that enable selective preconcentration of analytes while ensuring compatibility with subsequent instrumental analysis. Dispersive solid-phase extraction (d-SPE), a suspension-based variant of conventional solid-phase extraction (SPE), facilitates rapid sorbent–analyte interactions and enhances mass transfer efficiency through direct dispersion of the sorbent in the sample solution. This approach offers significant advantages over traditional column-based SPE, including faster extraction kinetics and greater operational simplicity. When supported by appropriately engineered sorbents, d-SPE exhibits considerable potential for the selective enrichment of trace metal analytes from complex aqueous matrices. In this work, a fibrous silica-based chelating material, DSA-KCC-1, was synthesized by grafting 3,5-Di-tert-butylsalicylaldehyde (DSA) onto aminopropyl-modified KCC-1. The dendritic KCC-1 scaffold enables fast dispersion and short diffusion pathways, while the immobilized phenolate–imine ligand introduces defined binding sites for transition-metal uptake. Characterization by FTIR, TGA, BET, FESEM/TEM, XRD, and elemental analysis confirmed the successfulness of functionalization and preservation of the fibrous mesostructured. Adsorption studies demonstrated chemisorption-driven interactions for Pb(II) and Co(II) from water, with Langmuir-type monolayer uptake and pseudo-second-order kinetic behavior. The nano-adsorbent exhibited a markedly higher affinity for Pb(II) than for Co(II), with maximum adsorption capacities of 99.73 and 66.26 mg g−1, respectively. Integration of the DSA-KCC-1 nanosorbent into a d-SPE–ICP-OES workflow enabled the reliable determination of trace levels of the target ions, delivering low limits of detection, wide linear calibration ranges, and stable performance over repeated extraction cycles. Analysis of NIST CRM 1643d yielded results in good agreement with the certified values, while the method demonstrated high tolerance toward common coexisting ions. The combined structural features of the KCC-1 support and the Schiff-base ligand indicate the suitability of DSA-KCC-1 for d-SPE workflows and demonstrate the potential of this SPE format for selective preconcentration of trace metal ions in aqueous matrices. Full article
(This article belongs to the Section Environmental Nanoscience and Nanotechnology)
Show Figures

Graphical abstract

16 pages, 4609 KB  
Article
Comprehensive Failure Mechanisms of Industrial Mo–W Hot-Work Steel Dies in Hot Stamping: Microstructural Degradation, Reaction-Layer Evolution, and Synergistic Wear Behavior
by Hubiao Wang, Xun Liu, Jiashuai Du, Hongyu Wang and Xuechang Zhang
Metals 2026, 16(1), 47; https://doi.org/10.3390/met16010047 - 30 Dec 2025
Viewed by 213
Abstract
Hot stamping dies fabricated from Mo–W hot-work steels are exposed to severe thermo-mechanical fatigue (TMF), high-temperature oxidation, and complex tribological loading, which collectively accelerate die degradation and reduce production stability. Although individual failure modes have been reported, an integrated understanding linking microstructural evolution, [...] Read more.
Hot stamping dies fabricated from Mo–W hot-work steels are exposed to severe thermo-mechanical fatigue (TMF), high-temperature oxidation, and complex tribological loading, which collectively accelerate die degradation and reduce production stability. Although individual failure modes have been reported, an integrated understanding linking microstructural evolution, interfacial reactions, and wear mechanisms remains limited. A failed Mo–W hot-work steel die removed from an industrial B-pillar hot stamping line was examined using Rockwell hardness mapping, optical microscopy, scanning electron microscopy (SEM), energy-dispersive X-ray spectroscopy (EDS), and X-ray diffraction (XRD) with Williamson–Hall (W–H) microstrain analysis. Surface (0–2 mm) and subsurface (~8 mm) regions of 10 × 10 × 10 mm samples were compared. Pits, cracks, reaction layers, and debris were quantified from calibrated SEM images. A 17% hardness reduction from surface (46.2 HRC) to subsurface (37.6 HRC) revealed pronounced TMF-induced softening. W–H analysis indicated microstrain of ~0.0021 and crystallite sizes of 50–80 nm in the surface region, reflecting high dislocation density. SEM/EDS showed pit diameters of 150–600 μm, reaction-layer thicknesses of 15–40 μm, and crack lengths of 40–150 μm. Fe–O oxides, Fe–Al intermetallics, and FeSiAl4 reaction phases were identified as major constituents of brittle surface layers and debris. Wear morphology confirmed a mixed mode of adhesive galling and oxide-assisted abrasive plowing. Full article
(This article belongs to the Special Issue Advances in the Fatigue and Fracture Behaviour of Metallic Materials)
Show Figures

Figure 1

20 pages, 14815 KB  
Article
CFD-DEM Simulation of Erosion in Glass Fiber-Reinforced Epoxy Resin Elbow
by Lei Xu, Yujie Shen, Xingchen Chen, Shiyi Bao, Xiaoteng Zheng, Xiyong Du and Yongzhi Zhao
Processes 2026, 14(1), 94; https://doi.org/10.3390/pr14010094 - 26 Dec 2025
Viewed by 202
Abstract
Erosion wear represents a significant issue in piping systems across energy and chemical industries, particularly in elbows. This study develops a prediction model for erosion wear based on tangential and normal impact energy for elbow tubes fabricated from zinc oxide-modified bidirectional E-glass fiber-reinforced [...] Read more.
Erosion wear represents a significant issue in piping systems across energy and chemical industries, particularly in elbows. This study develops a prediction model for erosion wear based on tangential and normal impact energy for elbow tubes fabricated from zinc oxide-modified bidirectional E-glass fiber-reinforced epoxy resin composites (ZnO-BE-GFRP). Using a combined CFD-DEM approach, the wear characteristics under gas–solid two-phase flow conditions were systematically investigated. The model quantifies the contributions of tangential and normal impact energy to material removal through the specific energy for cutting wear (et) and the specific energy for deformation wear (en), with key parameters calibrated against experimental data from ZnO-BE-GFRP. This study shows that the increase in gas velocity significantly intensifies wear, and the wear area extends towards the middle of the elbow as the gas velocity increases. The 40–45° area of the elbow is a high-risk wear zone due to the concentration of particle kinetic energy and high-frequency collisions. The particle size distribution has a significant impact on wear: as the degree of particle dispersion increases, the wear on the elbow extrados decreases. Full article
(This article belongs to the Special Issue Discrete Element Method (DEM) and Its Engineering Applications)
Show Figures

Figure 1

Back to TopTop