Sign in to use this feature.

Years

Between: -

Subjects

remove_circle_outline
remove_circle_outline
remove_circle_outline
remove_circle_outline
remove_circle_outline
remove_circle_outline
remove_circle_outline
remove_circle_outline
remove_circle_outline

Journals

remove_circle_outline
remove_circle_outline
remove_circle_outline
remove_circle_outline
remove_circle_outline
remove_circle_outline
remove_circle_outline

Article Types

Countries / Regions

remove_circle_outline
remove_circle_outline
remove_circle_outline
remove_circle_outline
remove_circle_outline
remove_circle_outline

Search Results (336)

Search Parameters:
Keywords = optical reflection loss

Order results
Result details
Results per page
Select all
Export citation of selected articles as:
8 pages, 2265 KB  
Proceeding Paper
Single-Source Facile Synthesis of Phase-Pure Na+- and Sr2+-Modified Bismuth Titanate—Structural, Optical, and Electrical Properties for Energy Storage Application
by Anitha Gnanasekar, Pavithra Gurusamy and Geetha Deivasigamani
Mater. Proc. 2025, 25(1), 18; https://doi.org/10.3390/materproc2025025018 - 7 Jan 2026
Abstract
In this present study, sodium- and strontium-modified bismuth titanate—Bi0.5Na0.5TiO3 (BNT) and Bi0.5Sr0.5TiO3 (BST)—were synthesized using the auto-combustion technique with citric acid (C6H8O7) and glycine (C2H [...] Read more.
In this present study, sodium- and strontium-modified bismuth titanate—Bi0.5Na0.5TiO3 (BNT) and Bi0.5Sr0.5TiO3 (BST)—were synthesized using the auto-combustion technique with citric acid (C6H8O7) and glycine (C2H5NO2) as fuels in an optimized ratio of 1.5:1. The resulting powders were characterized using X-ray diffraction (XRD), energy-dispersive X-ray (EDX) spectroscopy, UV–Visible diffuse reflectance spectroscopy (DRS), and Fourier-transform infrared (FT-IR) spectroscopy. The electrical behavior of the samples was studied using an LCR meter. XRD analysis confirmed the formation of a single-phase perovskite structure with average crystallite sizes of 18.60 nm for BNT and 22.03 nm for BST, attributed to the difference in ionic radii between Na+ and Sr2+. An increase in crystallite size was accompanied by a corresponding increase in lattice parameters and unit-cell volume. The Williamson–Hall analysis further validated the strain-size contributions. EDX (Energy-Dispersive X-ray analysis) results confirmed successful incorporation of Na+ and Sr2+ without detectable impurity phases. Optical studies revealed distinct absorption peaks at 341 nm for BNT and 374 nm for BST, and the optical bandgap (Eg), calculated using Tauc’s relation, was found to be 2.6 eV and 2.0 eV, respectively. FT-IR spectra exhibited characteristic Ti-O vibrational bands in the range of 420–720 cm−1, consistent with the perovskite structure. For electrical characterization, the powders were pelletized under 3-ton pressure and sintered at 1000 °C for 3 h. The dielectric constant (εr), dielectric loss (tan δ), and ac conductivity (σ) of both samples increased with frequency. The combined structural, optical, and electrical results indicate that the optimized compositions of BNT and BST possess properties suitable for use in capacitors and other energy-storage applications. Full article
(This article belongs to the Proceedings of The 5th International Online Conference on Nanomaterials)
Show Figures

Figure 1

19 pages, 3733 KB  
Article
Detecting Low-Orbit Satellites via Adaptive Optics Based on Deep Learning Algorithms
by Ahmed R. El-Sawi, Amir Almslmany, Abdelrhman Adel, Ahmed I. Saleh, Hesham A. Ali and Mohamed M. Abdelsalam
Automation 2026, 7(1), 14; https://doi.org/10.3390/automation7010014 - 6 Jan 2026
Viewed by 124
Abstract
This research proposes the design and implementation of an adaptive optical system (AOS) for monitoring low-orbit satellites (LOSs) to ensure that they do not deviate from their pre-planned path. This is achieved by designing a telescope with an optical system that contains six [...] Read more.
This research proposes the design and implementation of an adaptive optical system (AOS) for monitoring low-orbit satellites (LOSs) to ensure that they do not deviate from their pre-planned path. This is achieved by designing a telescope with an optical system that contains six mirrors in a regular hexagonal shape; the side length of one mirror is 30 cm, and there is also a spectral analyzer system in the middle to separate the spectra emitted by stars from those reflected from low-orbit satellites. A SwinTrack-Tiny (STT) is used, with modifications using temporal information via insertion. The model incorporates a new purpose-built image update template as a third input to the model and combines the attributes of the new image with the attributes of the primary template via an attention block. To maintain the dimensions of the original model and take advantage of its weights, an attention block with four vertices is used. Full article
Show Figures

Figure 1

16 pages, 5163 KB  
Article
CMOS-Compatible Micro Photovoltaic Generator with Post-Processing Enhanced Optical Absorption
by Hung-Wei Chen, Chi-Yuan Lee and Ching-Liang Dai
Micromachines 2026, 17(1), 48; https://doi.org/10.3390/mi17010048 - 30 Dec 2025
Viewed by 154
Abstract
This work reports the design and realization of a silicon-based micro photovoltaic generator (MPG) fabricated using a standard 0.18 μm complementary metal oxide semiconductor (CMOS) technology. The device harvests optical energy and converts it into electrical power through the photovoltaic effect, leveraging a [...] Read more.
This work reports the design and realization of a silicon-based micro photovoltaic generator (MPG) fabricated using a standard 0.18 μm complementary metal oxide semiconductor (CMOS) technology. The device harvests optical energy and converts it into electrical power through the photovoltaic effect, leveraging a network of engineered p–n junctions formed within the semiconductor. A grid-structured architecture is adopted, in which patterned p-type regions are embedded inside an n-well platform. This configuration expands the effective junction area, increases carrier-collection paths, and strengthens the internal electric field, thereby enhancing photocurrent generation. To further improve optical coupling, a specialized post-CMOS treatment is introduced. A wet etching is used to selectively remove the silicon dioxide layer that normally covers the junction regions in CMOS processes. Eliminating this dielectric layer enables direct photon penetration into the depletion region minimizes reflection-related losses, resulting in a significant improvement in device performance. Under an illumination intensity of 1000 W/m2, the fabricated microgenerator delivers an open-circuit voltage of 0.49 V, a short-circuit current of 239 µA, and a maximum output power of 90 µW. The device exhibits an overall energy conversion efficiency of 12.9%, confirming the effectiveness of the grid-like junction design and the post-processing oxide removal. Full article
(This article belongs to the Special Issue MEMS/NEMS Devices and Applications, 3rd Edition)
Show Figures

Figure 1

16 pages, 2000 KB  
Article
The Impact of Ophthalmic Lens Power and Treatments on Eye Tracking Performance
by Marta Lacort-Beltrán, Adrián Alejandre, Sara Guillén, Marina Vilella, Xian Pan, Victoria Pueyo, Marta Ortin and Eduardo Esteban-Ibañez
J. Eye Mov. Res. 2026, 19(1), 4; https://doi.org/10.3390/jemr19010004 - 29 Dec 2025
Viewed by 283
Abstract
Eye tracking (ET) technology is increasingly used in both research and clinical practice, but its accuracy may be compromised by the presence of ophthalmic lenses. This study systematically evaluated the influence of different optical prescriptions and lens treatments on ET performance using DIVE [...] Read more.
Eye tracking (ET) technology is increasingly used in both research and clinical practice, but its accuracy may be compromised by the presence of ophthalmic lenses. This study systematically evaluated the influence of different optical prescriptions and lens treatments on ET performance using DIVE (Device for an Integral Visual Examination). Fourteen healthy participants underwent oculomotor control tests under thirteen optical conditions: six with varying dioptric powers and six with optical filters, compared against a no-lens control. Key parameters analysed included angle error, fixation stability (bivariate contour ellipse area, BCEA), saccadic accuracy, number of data gaps, and proportion of valid frames. High-powered spherical lenses (+6.00 D and −6.00 D) significantly increased gaze angle error, and the negative lens also increased data gaps, while cylindrical lenses had a moderate effect. Among filters, the Natural IR coating caused the greatest deterioration in ET performance, reducing valid samples and increasing the number of gaps with data loss, likely due to interference with the infrared-based detection system. The lens with basic anti-reflective treatment (SV Org 1.5 AR) also showed some deterioration in interaction with the ET. Other filters showed minimal or no significant impact. These findings demonstrate that both high-powered prescriptions and certain lens treatments can compromise ET data quality, highlighting the importance of accounting for optical conditions in experimental design and clinical applications. Full article
Show Figures

Graphical abstract

16 pages, 2446 KB  
Article
Surface Property Evolution of Pigmented Chinese Lacquer Coatings During Mercury Lamp-Induced Photoaging
by Yunxi Nie, Yushu Chen and Xinyou Liu
Coatings 2026, 16(1), 31; https://doi.org/10.3390/coatings16010031 - 27 Dec 2025
Viewed by 282
Abstract
This study examines the pigment-dependent photoaging behavior of laboratory-prepared mock-up Chinese lacquer coatings colored with cinnabar, orpiment, and lapis lazuli under high-pressure mercury-lamp irradiation. Colorimetric results showed rapid changes within the first three days, with maximum ΔE values of 14.05 (red), 16.74 (yellow), [...] Read more.
This study examines the pigment-dependent photoaging behavior of laboratory-prepared mock-up Chinese lacquer coatings colored with cinnabar, orpiment, and lapis lazuli under high-pressure mercury-lamp irradiation. Colorimetric results showed rapid changes within the first three days, with maximum ΔE values of 14.05 (red), 16.74 (yellow), and 17.97 (blue) after 30 days. Cinnabar-based films exhibited the highest color stability, whereas orpiment and lapis-lazuli coatings underwent pronounced hue shifts and chroma increases. Gloss loss and surface roughness evolution displayed a strong negative correlation: orpiment coatings experienced the most severe degradation, with gloss decreasing by over 60% and surface roughness increasing by approximately 70%, while cinnabar coatings showed the least decline (≈55% gloss loss; ≈27% roughness increase). SEM analysis further revealed extensive cracking and particle fragmentation in orpiment films, moderate surface disruption in lapis-lazuli films, and minimal microstructural damage in cinnabar films. Non-invasive reflection-mode FTIR spectroscopy confirmed these trends, showing minimal chemical change in cinnabar coatings but significant carbonyl growth, C–O–C band broadening, and aliphatic chain cleavage in orpiment and lapis-lazuli coatings. These results highlight the critical role of pigment chemistry in modulating UV-induced degradation pathways. Integrating optical, morphological, and chemical evidence, this study establishes a clear pigment-dependent degradation mechanism and provides valuable guidance for evaluating the long-term stability of lacquered cultural heritage and optimizing modern lacquer formulations. Full article
(This article belongs to the Section Surface Characterization, Deposition and Modification)
Show Figures

Figure 1

39 pages, 19666 KB  
Article
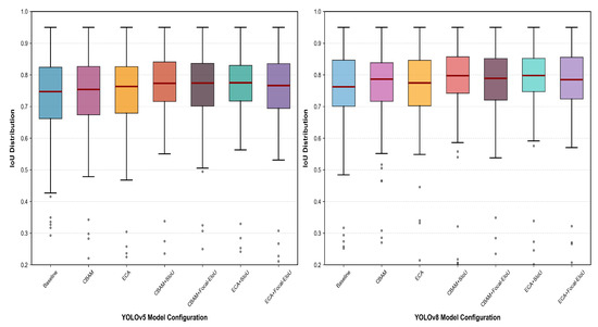
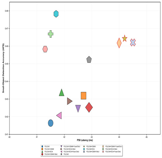
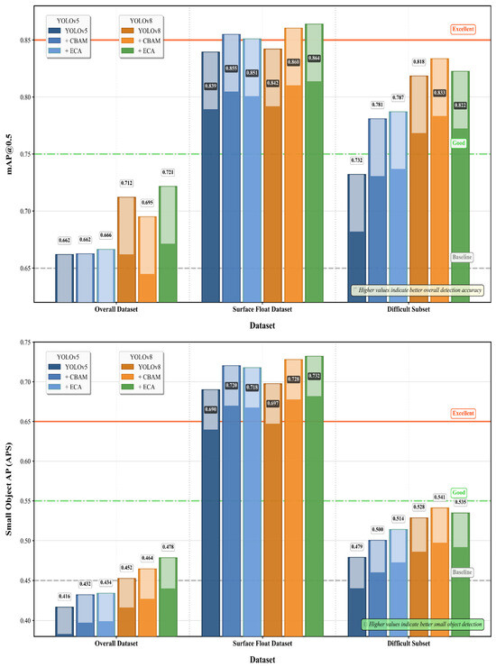
WA-YOLO: Water-Aware Improvements for Maritime Small-Object Detection Under Glare and Low-Light
by Hongxin Sun, Hongguan Zhao, Zhao Liu, Guanyao Jiang and Jiansen Zhao
J. Mar. Sci. Eng. 2026, 14(1), 37; https://doi.org/10.3390/jmse14010037 - 24 Dec 2025
Viewed by 259
Abstract
Maritime vision systems for unmanned surface vehicles confront challenges in small-object detection, specular reflections and low-light conditions. This paper introduces WA-YOLO, a water-aware training framework that incorporates lightweight attention modules (ECA/CBAM) to enhance the model’s discriminative capacity for small objects and critical features, [...] Read more.
Maritime vision systems for unmanned surface vehicles confront challenges in small-object detection, specular reflections and low-light conditions. This paper introduces WA-YOLO, a water-aware training framework that incorporates lightweight attention modules (ECA/CBAM) to enhance the model’s discriminative capacity for small objects and critical features, particularly against cluttered water ripples and glare backgrounds; employs advanced bounding box regression losses (e.g., SIoU) to improve localization stability and convergence efficiency under wave disturbances; systematically explores the efficacy trade-off between high-resolution input and tiled inference strategies to tackle small-object detection, significantly boosting small-object recall (APS) while carefully evaluating the impact on real-time performance on embedded devices; and introduces physically inspired data augmentation techniques for low-light and strong-reflection scenarios, compelling the model to learn more robust feature representations under extreme optical variations. WA-YOLO achieves a compelling +2.1% improvement in mAP@0.5 and a +6.3% gain in APS over YOLOv8 across three test sets. When benchmarked against the advanced RT-DETR model, WA-YOLO not only surpasses its detection accuracy (0.7286 mAP@0.5) but crucially maintains real-time performance at 118 FPS on workstations and 17 FPS on embedded devices, achieving a superior balance between precision and efficiency. Our approach offers a simple, reproducible and readily deployable solution, with full code and pre-trained models publicly released. Full article
(This article belongs to the Section Ocean Engineering)
Show Figures

Figure 1

25 pages, 4823 KB  
Article
Improving Shielding Gas Flow Distribution to Enhance Quality and Consistency in Metal Laser Powder Bed Fusion Processes
by H. Hugo Estrada Medinilla, Christopher J. Elkins, Jorge Mireles, Andres Estrada and Ryan B. Wicker
J. Manuf. Mater. Process. 2026, 10(1), 3; https://doi.org/10.3390/jmmp10010003 - 23 Dec 2025
Viewed by 545
Abstract
Shielding gas flow in metal Laser Powder Bed Fusion (PBF-LB/M) removes ejecta and byproducts from the build plate and the optical path, preventing laser interference and loss of part quality. Previous research conducted on an EOS M290 used Magnetic Resonance Velocimetry (MRV) to [...] Read more.
Shielding gas flow in metal Laser Powder Bed Fusion (PBF-LB/M) removes ejecta and byproducts from the build plate and the optical path, preventing laser interference and loss of part quality. Previous research conducted on an EOS M290 used Magnetic Resonance Velocimetry (MRV) to resolve the three-component, three-dimensional flow field and identified a region of recirculation below the lower vent. The present work demonstrates the correction of this recirculation through practical chamber modifications: raising the build platform and optical assembly, and redesigning the recoater and the lower inlet to reflect the new build plate position. MRV was leveraged to generate flow distribution maps and velocity profiles of the modified configuration, showing a marked change in the overall flow field. Plate scans across the build area characterized the impact of gas flow improvements on process response. Specimens from the original configuration showed progressively shallower melt pools toward the vent, whereas those from the modified configuration exhibited a ~10% higher average melt pool depth in the region most affected by prior recirculation. Qualification artifacts built under both conditions provided preliminary evidence of improved part performance via enhanced gas flow distribution. These results highlight potential benefits of uniform gas flow distribution across the build plate through simple EOS M290 chamber modifications. Full article
(This article belongs to the Special Issue Progress and Perspectives in Metal Laser Additive Manufacturing)
Show Figures

Graphical abstract

12 pages, 1274 KB  
Article
An Experimentally Benchmarked Optical Study on Absorption Enhancement in Nanostructured a-Si/PbS Quantum Dot Tandem Solar Cells
by Qinqian Jiang and Zeyu Li
Nanomaterials 2026, 16(1), 12; https://doi.org/10.3390/nano16010012 - 21 Dec 2025
Viewed by 359
Abstract
Tandem solar cells offer a promising route to surpass single-junction efficiency limits. The amorphous silicon (a-Si)/lead sulfide quantum dot (PbS QD) configuration is a strong candidate for broadband solar spectrum utilization. Planar devices with this material combination suffer from significant optical losses, making [...] Read more.
Tandem solar cells offer a promising route to surpass single-junction efficiency limits. The amorphous silicon (a-Si)/lead sulfide quantum dot (PbS QD) configuration is a strong candidate for broadband solar spectrum utilization. Planar devices with this material combination suffer from significant optical losses, making advanced light management essential. To address this, we propose a novel experimentally guided nanostructure design. Our proposed method utilizes nanostructures to increase the optical path length by diffracting light to off-normal directions and employs graded-index material stacks to suppress surface reflectance. This work establishes a clear design pathway and provides valuable insights into alternative light management strategies for the future commercialization of these tandem solar cells. Full article
Show Figures

Figure 1

11 pages, 1933 KB  
Article
Switchable Thermal Emission Control Enabled by In3SbTe2 Phase Transition
by Yuanfang Lin, Jimin Wan, Weiyi Zha, Jiabao Sun, Zhenfang Yu, Huzheng Zhu, Pintu Ghosh and Qiang Li
Photonics 2025, 12(12), 1224; https://doi.org/10.3390/photonics12121224 - 11 Dec 2025
Viewed by 361
Abstract
Two types of devices capable of switchable infrared spectral control are demonstrated by utilizing the phase-change characteristics of In3SbTe2 (Indium–Antimony–Tellurium, IST), which transitions from a low-loss dielectric amorphous phase to a high-loss metallic crystalline state. Through comprehensive structural design, theoretical [...] Read more.
Two types of devices capable of switchable infrared spectral control are demonstrated by utilizing the phase-change characteristics of In3SbTe2 (Indium–Antimony–Tellurium, IST), which transitions from a low-loss dielectric amorphous phase to a high-loss metallic crystalline state. Through comprehensive structural design, theoretical calculation, simulation analysis, experimental measurement, and application demonstration, we realize distinct switching effects and functions of these two devices. In the first design, IST mono-layer thin films integrated with infrared-transparent substrates (KBr and ZnSe) enable switching between amorphous high transmittance and crystalline high reflectance states over the 2.5–15 μm range, suitable for infrared optical switches and stealth applications. In the second design, introducing a Si metasurface disk array atop the IST mono-layer thin film enables switching between broadband infrared transparency and narrowband high emissivity. This configuration allows independent spectral control of the infrared spectra within the non-atmospheric (5–8 μm) and atmospheric (8–14 μm) windows, providing a versatile platform for tunable thermal radiation management and adaptive infrared camouflage. Full article
(This article belongs to the Special Issue Optical Metasurfaces: Applications and Trends)
Show Figures

Figure 1

13 pages, 434 KB  
Review
Home Monitoring for the Management of Age-Related Macular Degeneration: A Review of the Development and Implementation of Digital Health Solutions over a 25-Year Scientific Journey
by Miguel A. Busquets, Richard A. Garfinkel, Deepak Sambhara, Nishant Mohan, Kester Nahen, Gidi Benyamini and Anat Loewenstein
Medicina 2025, 61(12), 2193; https://doi.org/10.3390/medicina61122193 - 11 Dec 2025
Viewed by 841
Abstract
The management of age-related macular degeneration (AMD) presents a significant challenge attributable to high disease heterogeneity. Patient realization of symptoms is poor and it is urgent to treat before permanent anatomic damage results in vision loss. This is true for the initial conversion [...] Read more.
The management of age-related macular degeneration (AMD) presents a significant challenge attributable to high disease heterogeneity. Patient realization of symptoms is poor and it is urgent to treat before permanent anatomic damage results in vision loss. This is true for the initial conversion from non-exudative intermediate AMD (iAMD) to exudative AMD (nAMD), and for the recurrence of nAMD undergoing treatment. Starting from the essential requirements that any practical solution needs to fulfill, we will reflect on how persistent navigation towards innovative solutions during a 25-year journey yielded significant advances towards improvements in personalized care. An early insight was that the acute nature of AMD progression requires frequent monitoring and therefore diagnostic testing should be performed at the patient’s home. Four key requirements were identified: (1) A tele-connected home device with acceptable diagnostic performance and a supportive patient user interface, both hardware and software. (2) Automated analytics capabilities that can process large volumes of data. (3) Efficient remote patient engagement and support through a digital healthcare provider. (4) A low-cost medical system that enables digital healthcare delivery through appropriate compensation for both the monitoring provider and the prescribing physician services. We reviewed the published literature accompanying first the development of Preferential Hyperacuity Perimetry (PHP) for monitoring iAMD, followed by Spectral Domain Optical Coherence Tomography (SD-OCT) for monitoring nAMD. Emphasis was given to the review of the validation of the core technologies, the regulatory process, and real-world studies, and how they led to the release of commercial services that are covered by Medicare in the USA. We concluded that while during the first quarter of the 21st century, the two main pillars of management of AMD were anti-VEGF intravitreal injections and in-office OCT, the addition of home-monitoring-based digital health services can become the third pillar. Full article
(This article belongs to the Special Issue Modern Diagnostics and Therapy for Vitreoretinal Diseases)
Show Figures

Figure 1

17 pages, 10396 KB  
Article
Laser Powder Bed-Fused Scalmalloy®: Effect of Long Thermal Aging on Hardness and Electrical Conductivity
by Emanuele Ghio, Lorenzo Curti, Daniele Carosi, Alessandro Morri and Emanuela Cerri
Metals 2025, 15(12), 1364; https://doi.org/10.3390/met15121364 - 11 Dec 2025
Viewed by 413
Abstract
This study investigates the microstructural evolution, porosity characteristics, and mechanical behavior of LPBF-manufactured Scalmalloy®, which were investigated in the as-built conditions and after long-term exposure to direct aging of 275, 325, and 400 °C. Optical microscopy, and electron backscatter diffraction (EBSD) [...] Read more.
This study investigates the microstructural evolution, porosity characteristics, and mechanical behavior of LPBF-manufactured Scalmalloy®, which were investigated in the as-built conditions and after long-term exposure to direct aging of 275, 325, and 400 °C. Optical microscopy, and electron backscatter diffraction (EBSD) analyses were employed to examine the grain morphology, pore distribution, and defect characteristics. In the as-built state, the microstructure displayed the typical fish-scale melt pool morphology with columnar grains in the melt pool centers and fine equiaxed grains along their boundaries, combined with a small number of gas pores and lack-of-fusion defects. After direct aging, coarsening of grains was revealed, accompanied by partial spheroidization of pores, though the global density remained above 99.7%, ensuring structural integrity. Grain orientation analyses revealed a reduction in crystallographic texture and local misorientation after direct aging, suggesting stress relaxation and a more homogeneous microstructure. The hardness distribution reflected this transition: in the as-built state, higher hardness values were found at melt pool edges, while coarser central grains exhibited lower hardness. After direct aging, the hardness differences between these regions decreased, and the average hardness increased from (104 ± 7) HV0.025 to (170 ± 10) HV0.025 due to precipitation of Al3(Sc,Zr) phases. Long-term aging studies confirmed the stability of mechanical performance at 325 °C, whereas aging at 400 °C induced overaging and hardness loss due to precipitate coarsening. Electrical conductivities increased monotonically at all tested temperatures from ~11.7 MS/m, highlighting the interplay between solute depletion and precipitate evolution. Full article
(This article belongs to the Special Issue Recent Advances in Powder-Based Additive Manufacturing of Metals)
Show Figures

Figure 1

24 pages, 5659 KB  
Article
Design and Demonstration of Compact and Lightweight Imaging Spectrometer Based on Schwarzschild Reflector Systems Using Commercial Off-the-Shelf Optics
by Shuai Yuan, Min Huang, Xuehui Zhao, Fengkun Luo, Han Gao, Zixuan Zhang, Wenhao Zhao, Guangming Wang, Zhanchao Wang, Peng Jiang, Wei Han, Lulu Qian and Guifeng Zhang
Sensors 2025, 25(24), 7497; https://doi.org/10.3390/s25247497 - 10 Dec 2025
Viewed by 449
Abstract
Hyperspectral imaging systems are widely used in precision agriculture, environmental monitoring, and mineral exploration. However, current systems often suffer from high cost, large size and weight, and considerable system complexity, which hinder their widespread deployment. To overcome these limitations and achieve a better [...] Read more.
Hyperspectral imaging systems are widely used in precision agriculture, environmental monitoring, and mineral exploration. However, current systems often suffer from high cost, large size and weight, and considerable system complexity, which hinder their widespread deployment. To overcome these limitations and achieve a better balance between performance, cost, and portability, this work aims to develop a compact, cost-effective visible-to-near-infrared (VNIR, 400–1000 nm) hyperspectral camera based on Schwarzschild configuration and commercial off-the-shelf (COTS) components. The development followed a comprehensive methodology encompassing theoretical design, simulation, prototype assembly, and performance testing. The all-reflective optical system effectively eliminates chromatic aberration and minimizes energy loss, achieving an integration time as short as several milliseconds and a push-broom frame rate of 200 fps. The optical design leveraged optical path length theory and the unobscured Schwarzschild structure to optimize off-axis mirrors and a plane grating. Optical performance was optimized and verified using simulations, which confirmed that spot sizes at all field positions were highly concentrated and that critical distortions such as smile and keystone were controlled within several pixels. A prototype was assembled on a precision optical bench using multi-axis adjustable mounts and then integrated into a precisely machined housing, achieving a total weight less than 2 kg. Calibration verified a spectral coverage of 400–1000 nm and a resolution of 5 nm. Imaging experiments demonstrated the system’s ability to resolve subtle spectral features, successfully distinguishing different vegetations and artificial materials based on their spectral signatures—particularly the strong NIR (780–1000 nm) reflectance of vegetation versus synthetic green materials. The camera offers a high-performance, low-cost solution suitable for applications including precision agriculture, environmental monitoring, mineral exploration, and others. Full article
(This article belongs to the Section Sensing and Imaging)
Show Figures

Figure 1

15 pages, 2540 KB  
Article
Reduction of Pesticide Clothianidin, Thiamethoxam, and Propoxur Residues via Plasma-Activated Water Generated by a Pin-Hole Air Plasma Jet
by Suchintana Limkoey, Jitkunya Yuenyong, Chonlada Bennett, Dheerawan Boonyawan, Phumon Sookwong and Sugunya Mahatheeranont
Agriculture 2025, 15(23), 2521; https://doi.org/10.3390/agriculture15232521 - 4 Dec 2025
Viewed by 388
Abstract
This study explores the efficacy of plasma-activated water (PAW), produced using a laboratory-made pin-hole air plasma jet, in the reduction of pesticide residues, including clothianidin, thiamethoxam, and propoxur. The physicochemical analysis indicated that PAW’s pH decreased significantly with longer discharge times, while oxidation–reduction [...] Read more.
This study explores the efficacy of plasma-activated water (PAW), produced using a laboratory-made pin-hole air plasma jet, in the reduction of pesticide residues, including clothianidin, thiamethoxam, and propoxur. The physicochemical analysis indicated that PAW’s pH decreased significantly with longer discharge times, while oxidation–reduction potential (ORP) and electrical conductivity (EC) increased. Nitrogen and oxygen species in the plasma state were confirmed using optical emission spectroscopy. These results reflected the formation of rich reactive oxygen and nitrogen species (ROS and RNS), including hydroxyl radicals, hydrogen peroxide, and nitrate, contributing to its strong oxidative properties. The optimal PAW parameters for pesticide degradation were determined, and pesticide reduction was assessed using high-performance liquid chromatography (HPLC) and liquid chromatography–mass spectrometry (LC-MS). After 25 min of treatment, maximum reduction rates of 65%, 93%, and 88% were achieved for clothianidin, thiamethoxam, and propoxur, respectively. Only clothianidin yielded a single degradation product which is suggested to be formed by cyclic rearrangement following the loss of Cl and NO2, while those of thiamethoxam and propoxur were not detected. PAW produced by atmospheric pin-hole air plasma jet demonstrated superior degradation efficiency with minimal toxic by-product formation. The findings contribute valuable insights into sustainable practices for environmental detoxification. Full article
(This article belongs to the Section Agricultural Product Quality and Safety)
Show Figures

Graphical abstract

17 pages, 3203 KB  
Article
Development of a Light Duct Using Relay Lenses and Diffusers
by Sowon Han, Mingoo Lee, Taegon Han, Janghoo Seo and Heangwoo Lee
Buildings 2025, 15(23), 4340; https://doi.org/10.3390/buildings15234340 - 28 Nov 2025
Viewed by 288
Abstract
Due to the recent increase in building energy consumption, daylighting technologies such as light ducts are becoming increasingly important. However, conventional light ducts have limitations, such as light loss, uneven illumination, and spectral distortion as the transmission distance increases, restricting the development of [...] Read more.
Due to the recent increase in building energy consumption, daylighting technologies such as light ducts are becoming increasingly important. However, conventional light ducts have limitations, such as light loss, uneven illumination, and spectral distortion as the transmission distance increases, restricting the development of a comfortable lighting environment. This study developed technical alternatives for transmission and diffusion parts to overcome these limitations and improve the daylighting performance of light ducts. The performance of these alternatives was verified through testbed experiments. The proposed light duct design minimized light loss through the arrangement of multiple relay lenses in series in the transmission part and improved indoor illuminance uniformity in the diffusion part using a double-reflection structure with upper and lower reflectors. Consequently, for a transmission distance of 20 m, the average illuminance increased by ~27.3% and the uniformity improved by an average of 47.8% compared to a conventional plastic optical fiber (POF)-based light duct. Even under intense summer sunlight conditions, a transmission distance of 30 m showed a high useful daylighting illuminance (UDI) ratio and considerbly reduced glare risk, indicating characteristics favorable for maintaining a comfortable visual environment. Furthermore, the proposed light duct exhibited a spectral distribution similar to that of outdoor sunlight, demonstrating the potential to ensure the continuous spectral characteristics of natural light transmitted indoors. Finally, it also exhibited the potential to maintain its higher daylighting performance even at a transmission distance of 30 m compared to conventional technology. Full article
(This article belongs to the Special Issue Optimal Design of Lighting/Daylighting in Buildings)
Show Figures

Figure 1

14 pages, 2444 KB  
Article
Optical Path Testing for Fiber Optic Current Transformers Using Optical Frequency Domain Reflectometry
by Yongqiang Wen, Guangtian Ma, Peng Xiang and Li Xia
Photonics 2025, 12(12), 1159; https://doi.org/10.3390/photonics12121159 - 25 Nov 2025
Viewed by 345
Abstract
The long-term operational stability of a fiber optic current transformer (FOCT) is critically dependent on the integrity of its internal fiber optic loop. Conventional testing methods often fall short in providing high-precision, spatially resolved diagnosis of FOCT internal fiber links. To overcome this [...] Read more.
The long-term operational stability of a fiber optic current transformer (FOCT) is critically dependent on the integrity of its internal fiber optic loop. Conventional testing methods often fall short in providing high-precision, spatially resolved diagnosis of FOCT internal fiber links. To overcome this limitation, this paper proposes a distributed sensing and testing scheme based on Optical Frequency Domain Reflectometry (OFDR). The implemented OFDR system offers a measurement range of up to several hundred meters, with a spatial resolution of 10 μm and a localization accuracy of 1 mm. Capitalizing on these capabilities, the proposed approach enables a comprehensive inspection of the FOCT sensing coil and lead fibers. At the same time, the OFDR response of various devices in the FOCT system is analyzed, while providing precise measurements of both optical loss and reflectance. In addition, the temperature stress variation of the sensing coil is measured by using the sensing characteristics of OFDR. This work provides a powerful and indispensable tool for FOCT factory testing, field fault diagnosis, and condition monitoring, contributing significantly to the safety and stability of smart grid systems. Full article
Show Figures

Figure 1

Back to TopTop