Sign in to use this feature.

Years

Between: -

Subjects

remove_circle_outline
remove_circle_outline
remove_circle_outline
remove_circle_outline
remove_circle_outline
remove_circle_outline
remove_circle_outline
remove_circle_outline
remove_circle_outline

Journals

Article Types

Countries / Regions

remove_circle_outline
remove_circle_outline
remove_circle_outline

Search Results (220)

Search Parameters:
Keywords = mushroom waste

Order results
Result details
Results per page
Select all
Export citation of selected articles as:
16 pages, 4554 KB  
Article
Evaluation of Reuse of Spent Mushroom Substrate for New Pleurotus ostreatus Crop Cycle
by Wagner Gonçalves Vieira Junior, Lucas da Silva Alves, Jadson Belém de Moura, Adriano Taffarel Camargo de Paula, Marcos Antônio da Silva Freitas, Manuel Álvarez Orti, Francisco José Gea Alegría and Diego Cunha Zied
AgriEngineering 2025, 7(10), 342; https://doi.org/10.3390/agriengineering7100342 (registering DOI) - 10 Oct 2025
Viewed by 106
Abstract
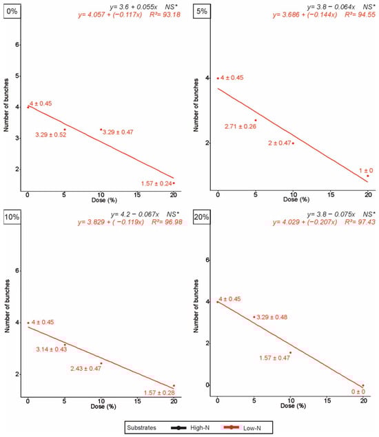
Although considered relatively sustainable, mushroom production generates significant waste at the end of cultivation. This study investigated the reuse of Spent Mushroom Substrate (SMS) to formulate new substrates for Pleurotus ostreatus cultivation. Substrates with high (higher bran content) and low (lower bran content) [...] Read more.
Although considered relatively sustainable, mushroom production generates significant waste at the end of cultivation. This study investigated the reuse of Spent Mushroom Substrate (SMS) to formulate new substrates for Pleurotus ostreatus cultivation. Substrates with high (higher bran content) and low (lower bran content) nitrogen levels were prepared and supplemented with 5%, 10%, or 20% SMS across three successive cycles P. ostreatus crops. Cultivation performance was evaluated based on biological efficiency, number of mushrooms, fresh weight, and number of clusters. Substrates were chemically characterized for total nitrogen, carbon, C/N ratio, electrical conductivity, and pH. The inclusion of SMS, along with reduced bran content, did not improve P. ostreatus yield and led to lower productivity compared to control substrates. No consistent correlations were observed between chemical variables and yield, although high-N substrates generally performed better. SMS reuse, under these conditions, is not viable, but results encourage further research. Full article
(This article belongs to the Section Sustainable Bioresource and Bioprocess Engineering)
Show Figures

Figure 1

27 pages, 1789 KB  
Review
Production of β-Glucans by Pleurotus ostreatus: Cultivation and Genetic Background
by Jakub Drężek and Justyna Możejko-Ciesielska
Int. J. Mol. Sci. 2025, 26(19), 9703; https://doi.org/10.3390/ijms26199703 - 5 Oct 2025
Viewed by 216
Abstract
Pleurotus ostreatus is one of the most frequently cultivated mushroom species. It has attracted considerable attention not only because of its short cultivation time, but also because of the wide range of substrates on which it can be cultivated, such as lignocellulosic materials, [...] Read more.
Pleurotus ostreatus is one of the most frequently cultivated mushroom species. It has attracted considerable attention not only because of its short cultivation time, but also because of the wide range of substrates on which it can be cultivated, such as lignocellulosic materials, synthetic polymers and wastewater. The popularity of the oyster mushroom stems not only from its rapid growth and high adaptability, but also from its functional ingredients, which include laccase, proteoglycan and β-glucan. As understanding the molecular biology of Pleurotus ostreatus is crucial for evaluating its commercial and scientific applications, modern molecular tools have been used to search for the genes and proteins involved in the development of this mushroom and production of valuable metabolites. The rapid development of artificial intelligence may make it possible to automate and optimize the entire cultivation process of Pleurotus ostreatus. This report summarizes the cultivation of Pleurotus ostreatus using waste raw materials, the nutritional and medicinal value for applications, transcriptomic and proteomic analyses and the use of artificial intelligence systems. In addition, future perspectives are discussed to make the cultivation of Pleurotus ostreatus environmentally friendly and to ensure an increase in its productivity and quality. Full article
(This article belongs to the Special Issue New Research on Bioactive Natural Products: 2nd Edition)
Show Figures

Graphical abstract

20 pages, 3103 KB  
Article
Agro-Industrial Residues as Cost-Effective and Sustainable Substrates for the Cultivation of Epicoccum nigrum, with Insights into Growth Kinetic Characteristics and Biological Activities
by Zlatka Ganeva, Bogdan Goranov, Mariya Brazkova, Denica Blazheva, Radka Baldzhieva, Petya Stefanova, Anton Slavov, Rositsa Denkova-Kostova, Stefan Bozhkov and Galena Angelova
Appl. Sci. 2025, 15(19), 10571; https://doi.org/10.3390/app151910571 - 30 Sep 2025
Viewed by 174
Abstract
A significant quantity of agro-industrial waste is generated globally across various agricultural sectors and food industries. Composed primarily of cellulose, hemicellulose, and lignin—known as lignocellulosic materials—this waste holds significant potential and can be repurposed as a nutrient-rich substrate for mushroom cultivation. Therefore, mushroom [...] Read more.
A significant quantity of agro-industrial waste is generated globally across various agricultural sectors and food industries. Composed primarily of cellulose, hemicellulose, and lignin—known as lignocellulosic materials—this waste holds significant potential and can be repurposed as a nutrient-rich substrate for mushroom cultivation. Therefore, mushroom cultivation can be regarded as a promising biotechnological approach for the reduction and valorization of agro-industrial waste. This investigation is the first to explore the utilization of agro-industrial waste- and by-products for the cultivation of Epicoccum nigrum for the production of extracts with valuable biological activities. The logistic curve and autocatalytic growth models were applied to study the kinetics of the growth process on wheat bran, sunflower cake, wheat straw, pine sawdust, and steam-distilled lavender straw substrates. Through mathematical modeling, the optimal composition of a nutrient medium containing the selected substrates was determined and successfully validated in experimental conditions. Biologically active water extracts were obtained after solid-state cultivation with α-amylase and cellulase activity up to 10.6 ± 0.6 U/mL and 0.52 ± 0.03 U/g, respectively. The extracts exhibited antimicrobial activity against fungal strains from six different species, and the most susceptible was the phytopathogen Sclerotinia sclerotiorum, with a minimum inhibitory concentration of 0.156–0.313 mg/mL. Full article
Show Figures

Figure 1

21 pages, 2038 KB  
Article
Improving the Yield and Quality of Morchella spp. Using Agricultural Waste
by Jiawen Wang, Weiming Cai, Qunli Jin, Lijun Fan, Zier Guo and Weilin Feng
J. Fungi 2025, 11(10), 703; https://doi.org/10.3390/jof11100703 - 28 Sep 2025
Viewed by 360
Abstract
Morchella spp. is a type of valuable and rare edible fungi cultivated in soil. Optimization of the cultivation medium for Morchella spp. is key to obtaining high-efficiency production in an ecologically friendly manner. Recently, the sustainable resource utilization of agricultural waste has gathered [...] Read more.
Morchella spp. is a type of valuable and rare edible fungi cultivated in soil. Optimization of the cultivation medium for Morchella spp. is key to obtaining high-efficiency production in an ecologically friendly manner. Recently, the sustainable resource utilization of agricultural waste has gathered attention. Specifically, reusing tomato substrate, mushroom residues, and coconut shells can lower the production costs and reduce environmental pollution, demonstrating remarkable ecological and economic benefits. To determine the soil microbial communities of Morchella spp. using different culture medias and influencing factors, this study analysed the relative abundance of bacterial and fungal communities in natural soil, soil with 5% tomato substrate, soil with 5% mushroom residues, and soil with 5% coconut shells using Illumina NovaSeq high-throughput sequencing. In addition, intergroup differences, soil physiochemical properties, and product quality were also determined. Results demonstrated that agricultural waste consisting of mushroom residues, waste tomato substrate, and coconut shells can improve the efficiency of Morchella spp. cultivation. When considering yield and quality, mushroom residue achieved the highest yield (soil nutrient enrichment), followed by tomato substrate (water holding + grass carbon nutrient). All three types of agricultural waste promoted early fruiting, significantly increased polysaccharide, crude protein, and potassium content, and lowered crude fat and fibre. In regard to soil improvement, the addition of different materials optimized the soil’s physical structure (reducing volume weight and increasing water holding capacity) and chemical properties (enrichment of nitrogen, phosphorus, and potassium, regulating nitrogen and medium trace elements). For microbial regulation, the added materials significantly increased the abundance of beneficial bacteria (e.g., Actinomycetota, Gemmatimonadota and Devosia) and strengthened nitrogen’s fixation/nitration/decomposition functions. In the mushroom residue group, the abundance of Bacillaceae was positively related to yield. Moreover, it inhibited pathogenic fungi like Mortierella and Trichoderma, and lowered fungal diversity to decrease ecological competition. In summary, mushroom residues have nutrient releasing and microbial regulation advantages, while tomato substrate and coconut shells are new high-efficiency resources. These increase yield through the “physiochemical–microorganism” collaborative path. Future applications may include regulating the function of microorganisms and optimizing waste preprocessing technologies to achieve sustainability. Full article
Show Figures

Figure 1

17 pages, 1639 KB  
Article
Obtaining Nutraceutical Compounds from Agroindustrial Waste by Biotransformation with Pleurotus djamor
by Byanka A. Cruz-Moreno, Benito Parra-Pacheco, Linda Gilary Acosta-Lizárraga, Juan C. Silva-Jarquín, Juan Fernando García-Trejo, Humberto Aguirre-Becerra and Ana A. Feregrino-Pérez
Recycling 2025, 10(5), 185; https://doi.org/10.3390/recycling10050185 - 28 Sep 2025
Viewed by 213
Abstract
This study explores the production of nutritious edible mushrooms from mixtures of agave bagasse, an abundant agroindustrial byproduct, through the biotechnological application of solid-state fermentation using the edible mushroom Pleurotus djamor. The ability of the fungus to biotransform different mixtures of agave [...] Read more.
This study explores the production of nutritious edible mushrooms from mixtures of agave bagasse, an abundant agroindustrial byproduct, through the biotechnological application of solid-state fermentation using the edible mushroom Pleurotus djamor. The ability of the fungus to biotransform different mixtures of agave bagasse and corn stover into secondary metabolites of nutraceutical interest, such as polyphenols, organic acids, and bioactive polysaccharides, was evaluated. Biological efficiency (BE), morphological change, texture, and antioxidant capacity were also assessed, correlating the results with the impact of substrates and fungal developmental stages. The color, size, and margin of P. djamor basidiomas were observed to vary among treatments; BE progressively decreased from T0 (106.5%) to T4 (33.16%). Treatments with higher amounts of agave bagasse (T4) generated firmer fungi, with a fracture toughness of 7.06 ± 3.06 newtons. During fungal development, phenols, flavonoids, and tannins fluctuated. Treatment T0 showed the highest concentration of phenols (5.41 ± 0.92 mg GAE g−1). Treatment T4 stood out for its high antioxidant capacity (DPPH) (61.83 ± 12.16% inhibition). Finally, 17 non-phenolic secondary metabolites were found: L-valine, L-leucine, L-isoleucine, L, D-phenylalanine, L-proline, alanine, L-asparagine, serine, glutamic acid, linoleic acid, palmitic acid, butanoic acid, propanoic acid, pyrimidine, succinic acid, hexanedioic acid, and phosphoric acid. In conclusion, P. djamor can biotransform agroindustrial waste into edible fungi containing nutraceutical compounds. Full article
Show Figures

Figure 1

15 pages, 2564 KB  
Article
Optimizing Pleurotus ostreatus Mushroom Cultivation on Various Agro-Industrial By-Products—Development of a Process Analytical Technology Tool for Predicting Biological Efficiency
by Georgios Bekiaris, Christos S. Pappas, Athanasios Mastrogiannis, Lefteris Lachouvaris, Petros A. Tarantilis and Georgios I. Zervakis
Fermentation 2025, 11(10), 555; https://doi.org/10.3390/fermentation11100555 - 27 Sep 2025
Viewed by 586
Abstract
Pleurotus ostreatus is among the most widely cultivated mushroom species on a global scale, valued for its relative ease of cultivation, excellent organoleptic qualities, and notable nutraceutical properties. P. ostreatus could use a wide range of by-products as growth substrates by excreting a [...] Read more.
Pleurotus ostreatus is among the most widely cultivated mushroom species on a global scale, valued for its relative ease of cultivation, excellent organoleptic qualities, and notable nutraceutical properties. P. ostreatus could use a wide range of by-products as growth substrates by excreting a potent array of hydrolytic and oxidative enzymes. In this study, a diverse range of agricultural residues and agro-industrial by-products, enriched (or not) with various supplements, was evaluated for the cultivation of five commercial P. ostreatus strains. Key cultivation parameters were assessed, including biological efficiency and productivity. A process analytical technology (PAT) approach, utilizing FTIR spectroscopy in combination with multivariate analysis, was employed to develop a predictive model for biological efficiency based solely on substrate’s spectral profile. Substrates based on wheat and barley straw supplemented with soybean demonstrated superior performance across most strains. The biological efficiency value reached 185% in some cases for a total cultivation period of only 35 days. The resulting model exhibited excellent predictive capability, with a coefficient of determination (R2) of 0.90 and low relative prediction error of just 6%. The developed innovative PAT tool will be beneficial for mushroom growers since it allows the fast and costless evaluation of agro-industrial by-products in respect to their potential exploitation as mushroom substrates. Full article
(This article belongs to the Special Issue Application of Fungi in Bioconversions and Mycoremediation)
Show Figures

Figure 1

16 pages, 1660 KB  
Article
Mechanism of Enzyme Activity Regulation and Strain-Specific Response of Lentinula edodes Cultivation Adaptability Under Peach Wood Substrate
by Ning Jiang, Hao-Ran Dong, Long Tian, Tai-Zeng Xin, Shou-Xian Wang, Yu Li, Mei-Na He and Hai-Long Yu
J. Fungi 2025, 11(9), 684; https://doi.org/10.3390/jof11090684 - 20 Sep 2025
Viewed by 431
Abstract
The resource utilization of peach wood as agricultural waste holds significant importance for the sustainable development of the edible fungi industry, yet its regulatory effects on the physiology and safety of Lentinula edodes (L. edodes) remain unclear. This study selected four [...] Read more.
The resource utilization of peach wood as agricultural waste holds significant importance for the sustainable development of the edible fungi industry, yet its regulatory effects on the physiology and safety of Lentinula edodes (L. edodes) remain unclear. This study selected four L. edodes (F2, 0912, N5, and 215) and systematically analyzed their cultivation adaptability across five peach wood substrate proportions (0%, 20%, 40%, 60%, and 80%). Results indicated that while high peach wood proportions inhibited laccase activity and delayed mycelial growth, high carboxymethyl cellulase and xylanase activity formed a critical compensatory effect, ultimately enhancing total yield. Peach wood improved production through strain-specific mechanisms. F2 increased via single mushroom weight gain, while N5 relied on xylanase-driven primordia differentiation to boost mushroom numbers. Adding peach wood significantly increased crude protein, crude lipid, and total polysaccharide in F2, maintaining normal agronomic traits and increasing secondary mushroom proportion. Safety risks focused on arsenic accumulation, with 80% peach wood causing F2 to exceed control levels, albeit remaining far below the national standards. This study is among the first to elucidate peach wood’s temporal enzyme regulation for the maintenance of L. edodes yield. Future optimization through peach wood pretreatment and low arsenic strain selection could provide technical support for the high value utilization of agricultural waste. Full article
Show Figures

Figure 1

15 pages, 808 KB  
Article
Djulis (Chenopodium formosanum) Stems as Sustainable Sawdust Alternative for Pleurotus sajor-caju Cultivation: A Feasibility Study
by Tzu-Huan Hung, Wee-Ann Ong, Wei-Sung Li, Yun-Yang Chao and Pearl Peichun Chang
Agriculture 2025, 15(17), 1878; https://doi.org/10.3390/agriculture15171878 - 3 Sep 2025
Viewed by 528
Abstract
The heavy reliance of the mushroom industry on sawdust substrates is putting increasing pressure on already limited forest resources, forcing researchers to seek alternative materials. This study investigated the feasibility of using post-harvest djulis (Chenopodium formosanum Koidz.) stems, waste from this indigenous [...] Read more.
The heavy reliance of the mushroom industry on sawdust substrates is putting increasing pressure on already limited forest resources, forcing researchers to seek alternative materials. This study investigated the feasibility of using post-harvest djulis (Chenopodium formosanum Koidz.) stems, waste from this indigenous crop in Taiwan, to partially replace sawdust for Pleurotus sajor-caju cultivation. Initial screening with 0–100% djulis replacement revealed growth inhibition above 50% incorporation levels. Refined experiments focusing on 0–30% djulis ratios demonstrated that strain PT exhibited superior adaptation to djulis-containing substrates. Commercial scale grow bag trials showed that among djulis treatments, 25% djulis incorporation achieved the fastest mycelial colonization rate (1.0 cm/day), while 15% incorporation yielded the highest biological efficiency (76.17%), comparable to commercial controls (76.80%). Three-flush harvest cycles confirmed stable productivity across treatments, with total yields ranging from 286 to 320 g/bag. Nutritional analysis showed no major changes in amino acids and antioxidants, with djulis incorporation maintaining protein quality while some enhancement in total free amino acid content and reducing power at 25% incorporation. These findings demonstrate that 15–25% djulis stem substitution sustained commercial production parameters while contributing to sustainable agricultural waste management and reducing forest resource dependence. Full article
(This article belongs to the Special Issue The Role of Edible Mushrooms in Sustainable Food Systems)
Show Figures

Figure 1

26 pages, 8072 KB  
Article
Impacts of Six Methods of Extraction on Physicochemical Properties, Structural Characteristics and Bioactivities of Polysaccharides from Pholiota nameko Residue
by Jingbo Zhang, Yajing Bai, Xiaoxue Zhang, Yiyao Wang, Zongshu Li, Chengguang He and Lili Guan
Foods 2025, 14(17), 3071; https://doi.org/10.3390/foods14173071 - 30 Aug 2025
Viewed by 884
Abstract
By integrating waste valorization with green extraction, in the current study, the impacts of distinct extraction methods on the extraction yield, structural characterization, in vitro antioxidant abilities and in vitro immunomodulatory activity of polysaccharides from Pholiota nameko residue (PNRP) were determined, providing assistance [...] Read more.
By integrating waste valorization with green extraction, in the current study, the impacts of distinct extraction methods on the extraction yield, structural characterization, in vitro antioxidant abilities and in vitro immunomodulatory activity of polysaccharides from Pholiota nameko residue (PNRP) were determined, providing assistance for the resource utilization of Pholiota nameko. Six PNRPs were obtained by hot water extraction, ultrasonic-assisted extraction, acid-assisted extraction, base-assisted extraction, acid–base extraction and hot water–alkaline-assisted extraction, named PNRP-HWE, PNRP-UAE, PNRP-AE, PNRP-BE, PNAP-ABE and PNRP-HAE, respectively. PNRPs were heteropolysaccharides with similar functional groups, abundant branched chains and a triple helix conformation, but varied monosaccharide molar ratios and molecular weights (382.6–601.7 kDa). PNRP-HAE exhibited the highest yield (3.92%) and superior antioxidant activities, including DPPH, ABTS and hydroxyl radical scavenging capacities, attributed to its low molecular weight and high xylose content. Additionally, PNRP-HAE and PNRP-UAE demonstrated potent immunomodulatory effects by enhancing macrophage phagocytosis and cytokine secretion (NO, IL-1β, IL-6, TNF-α). These findings highlight HAE as an optimal method for extracting high-quality PNRPs, offering a sustainable strategy for valorizing mushroom residue in functional foods and nutraceuticals. Full article
(This article belongs to the Section Food Physics and (Bio)Chemistry)
Show Figures

Figure 1

18 pages, 902 KB  
Article
Gastronomic Valorisation of a Sparkling Wine By-Product Through Innovative Vegan Vinaigrettes
by Catarina Flores, Tamara Ribeiro, Inês Santos, Catarina Prista and Goreti Botelho
Processes 2025, 13(9), 2736; https://doi.org/10.3390/pr13092736 - 27 Aug 2025
Viewed by 519
Abstract
Wine and food tourism has increasingly embraced the principles of the circular economy and sustainability. During the bottle-fermented production of sparkling wine, yeast encapsulated in calcium alginate beads gradually loses viability. After the secondary alcoholic fermentation, these beads are usually discarded. This pilot-scale [...] Read more.
Wine and food tourism has increasingly embraced the principles of the circular economy and sustainability. During the bottle-fermented production of sparkling wine, yeast encapsulated in calcium alginate beads gradually loses viability. After the secondary alcoholic fermentation, these beads are usually discarded. This pilot-scale study investigates how the wasted beads can be valorised by incorporating them into vegan vinaigrettes. The vegan vinaigrettes were developed on a laboratory scale with distinct flavour profiles, all containing 3.5% (w/w) calcium alginate beads: mint (V-Air), seaweed (V-Water), spicy (V-Fire) and mushroom (V-Earth). Forty untrained panellists assessed the samples on a nine-point hedonic scale and with Just-About-Right (JAR) scale. Viscosity and colour were also measured in the final samples. Vf-Fire and Vf-Earth vinaigrettes stood out in terms of overall appreciation, particularly colour and consistency, with Vf-Earth receiving the highest average score (7.10 ± 1.58). The presence of alginate beads was well appreciated, with an average score of 6.26 ± 2.14. Across all formulations, the average pH decreased from 3.75 ± 0.01 to 3.37 ± 0.01. This pH reduction benefits food safety. These vegan vinaigrettes offer a sustainable and innovative alternative for reusing sparkling winemaking waste as a by-product, with strong potential for gastronomic appeal among wine or food tourists. Full article
(This article belongs to the Section Food Process Engineering)
Show Figures

Figure 1

19 pages, 1124 KB  
Article
Assessing the Potential Agronomic Value of Spent Mushroom Substrates: Evaluating Their Suitability to Contribute to Soil Carbon Storage
by María R. Yagüe, José A. González-Pérez, Gonzalo Almendros and M. Carmen Lobo
Sustainability 2025, 17(16), 7335; https://doi.org/10.3390/su17167335 - 14 Aug 2025
Viewed by 893
Abstract
The EU’s Circular Economy Action Plan promotes the use of organic waste as fertilizer, thus allowing the recycling of nutrients in the agricultural system. Research on the agronomic reuse of composted substrates previously employed for mushroom cultivation remains limited, despite their rich content [...] Read more.
The EU’s Circular Economy Action Plan promotes the use of organic waste as fertilizer, thus allowing the recycling of nutrients in the agricultural system. Research on the agronomic reuse of composted substrates previously employed for mushroom cultivation remains limited, despite their rich content of plant residues and fungal biomass, which could be repurposed as soil amendments under suitable conditions. This study evaluated the agronomic potential of spent mushroom substrates from Agaricus bisporus and Pleurotus ostreatus, including recomposted A. bisporus residues. A range of analytical procedures was employed to assess their suitability for soil improvement and the formation of humic-like substances, including physical, chemical, microbiological, phytotoxicity, and pyrolysis-gas chromatography/mass spectrometry (Py-GC/MS) analyses. The spent Pleurotus substrate exhibited low nutrient content (1.1% N, negligible P, 0.9% K), but high water retention (820 kg water Mg−1) and 48% organic carbon (OC), indicating its potential as a soil amendment or seedling substrate. In contrast, spent and composted Agaricus substrates showed moderate nutrient content (1.8–2.7% N; 0.8–0.7% P and 1.3–1.8% K), appropriate C/N ratios (10–15), and sufficient OC levels (24–30%), supporting their use as fertilizers. However, elevated salinity levels (18–23 dS m−1) may restrict their application for salt-sensitive crops. No significant phytotoxic effects on seed germination were observed, and microbiological analyses confirmed the absence of Salmonella spp. in the three substrates. Py-GC/MS revealed a humic acid-like fraction comprising altered lignin structures enriched with lipid and nitrogen compounds. Overall, the studied materials demonstrate promising agronomic value and the capacity to contribute to long-term soil carbon storage. Full article
(This article belongs to the Section Resources and Sustainable Utilization)
Show Figures

Figure 1

19 pages, 1066 KB  
Review
Structure-Forming Properties of Pleurotus ostreatus: A Promising Resource for Edible 3D Printing Applications
by Alona Tiupova and Joanna Harasym
Molecules 2025, 30(16), 3350; https://doi.org/10.3390/molecules30163350 - 12 Aug 2025
Viewed by 1113
Abstract
Approximately 20–30% of cultivated oyster mushrooms (Pleurotus ostreatus) are classified as low grade due to morphological and visual imperfections or mechanical damage, representing significant waste in mushroom production systems. This review examines the structural and biochemical properties of P. ostreatus, [...] Read more.
Approximately 20–30% of cultivated oyster mushrooms (Pleurotus ostreatus) are classified as low grade due to morphological and visual imperfections or mechanical damage, representing significant waste in mushroom production systems. This review examines the structural and biochemical properties of P. ostreatus, particularly focusing on cell wall components including chitin, β-glucans, and mannogalactans, which provide crucial rheological characteristics for 3D printing. The literature results demonstrate that these natural polysaccharides contribute essential viscosity, water-binding capacity, and mechanical stability required for printable edible inks. Notably, the mushroom stipe contains significantly higher concentrations of glucans compared to the cap, with 57% more α-glucans and 33% more β-glucans. The unique combination of rigidity from chitin, elasticity from β-glucans, and water retention capabilities creates printable structures that maintain shape fidelity while delivering nutritional benefits. This approach addresses dual challenges in sustainable food systems by reducing agricultural waste streams while advancing eco-friendly food innovation. The integration of mushroom-derived biomaterials into 3D printing technologies offers a promising pathway toward developing nutrient-rich, functional foods within a regenerative production model. Full article
Show Figures

Figure 1

12 pages, 806 KB  
Proceeding Paper
Enterococcus faecalis Biofilm: A Clinical and Environmental Hazard
by Bindu Sadanandan and Kavyasree Marabanahalli Yogendraiah
Med. Sci. Forum 2025, 35(1), 5; https://doi.org/10.3390/msf2025035005 - 5 Aug 2025
Viewed by 1769
Abstract
This review explores the biofilm architecture and drug resistance of Enterococcus faecalis in clinical and environmental settings. The biofilm in E. faecalis is a heterogeneous, three-dimensional, mushroom-like or multilayered structure, characteristically forming diplococci or short chains interspersed with water channels for nutrient exchange [...] Read more.
This review explores the biofilm architecture and drug resistance of Enterococcus faecalis in clinical and environmental settings. The biofilm in E. faecalis is a heterogeneous, three-dimensional, mushroom-like or multilayered structure, characteristically forming diplococci or short chains interspersed with water channels for nutrient exchange and waste removal. Exopolysaccharides, proteins, lipids, and extracellular DNA create a protective matrix. Persister cells within the biofilm contribute to antibiotic resistance and survival. The heterogeneous architecture of the E. faecalis biofilm contains both dense clusters and loosely packed regions that vary in thickness, ranging from 10 to 100 µm, depending on the environmental conditions. The pathogenicity of the E. faecalis biofilm is mediated through complex interactions between genes and virulence factors such as DNA release, cytolysin, pili, secreted antigen A, and microbial surface components that recognize adhesive matrix molecules, often involving a key protein called enterococcal surface protein (Esp). Clinically, it is implicated in a range of nosocomial infections, including urinary tract infections, endocarditis, and surgical wound infections. The biofilm serves as a nidus for bacterial dissemination and as a reservoir for antimicrobial resistance. The effectiveness of first-line antibiotics (ampicillin, vancomycin, and aminoglycosides) is diminished due to reduced penetration, altered metabolism, increased tolerance, and intrinsic and acquired resistance. Alternative strategies for biofilm disruption, such as combination therapy (ampicillin with aminoglycosides), as well as newer approaches, including antimicrobial peptides, quorum-sensing inhibitors, and biofilm-disrupting agents (DNase or dispersin B), are also being explored to improve treatment outcomes. Environmentally, E. faecalis biofilms contribute to contamination in water systems, food production facilities, and healthcare environments. They persist in harsh conditions, facilitating the spread of multidrug-resistant strains and increasing the risk of transmission to humans and animals. Therefore, understanding the biofilm architecture and drug resistance is essential for developing effective strategies to mitigate their clinical and environmental impact. Full article
(This article belongs to the Proceedings of The 4th International Electronic Conference on Antibiotics)
Show Figures

Figure 1

22 pages, 2666 KB  
Article
Comparative Proteomic Analysis of Flammulina filiformis Reveals Substrate-Specific Enzymatic Strategies for Lignocellulose Degradation
by Weihang Li, Jiandong Han, Hongyan Xie, Yi Sun, Feng Li, Zhiyuan Gong and Yajie Zou
Horticulturae 2025, 11(8), 912; https://doi.org/10.3390/horticulturae11080912 - 4 Aug 2025
Viewed by 500
Abstract
Flammulina filiformis, one of the most delicious and commercially important mushrooms, demonstrates remarkable adaptability to diverse agricultural wastes. However, it is unclear how different substrates affect the degradation of lignocellulosic biomass and the production of lignocellulolytic enzymes in F. filiformis. In [...] Read more.
Flammulina filiformis, one of the most delicious and commercially important mushrooms, demonstrates remarkable adaptability to diverse agricultural wastes. However, it is unclear how different substrates affect the degradation of lignocellulosic biomass and the production of lignocellulolytic enzymes in F. filiformis. In this study, label-free comparative proteomic analysis of F. filiformis cultivated on sugarcane bagasse, cotton seed shells, corn cobs, and glucose substrates was conducted to identify degradation mechanism across various substrates. Label-free quantitative proteomics identified 1104 proteins. Gene Ontology and Kyoto Encyclopedia of Genes and Genomes pathway analysis of protein expression differences were predominantly enriched in energy metabolism and carbohydrate metabolic pathways. Detailed characterization of carbohydrate-active enzymes among the identified proteins revealed glucanase (GH7, A0A067NSK0) as the key enzyme. F. filiformis secreted higher levels of cellulases and hemicellulases on sugarcane bagasse substrate. In the cotton seed shells substrate, multiple cellulases functioned collaboratively, while in the corn cobs substrate, glucanase predominated among the cellulases. These findings reveal the enzymatic strategies and metabolic flexibility of F. filiformis in lignocellulose utilization, providing novel insights for metabolic engineering applications in biotechnology. The study establishes a theoretical foundation for optimizing biomass conversion and developing innovative substrates using targeted enzyme systems. Full article
(This article belongs to the Special Issue Advances in Propagation and Cultivation of Mushroom)
Show Figures

Figure 1

12 pages, 1936 KB  
Article
Transcriptomic and Metabolomic Profiling of Pleurotus eryngii Cultivated on Olive Mill Solid Waste-Enriched Substrates
by Nirit Ezov, Adir Amiram, Soliman Khatib, Ofer Danay, Dan Levanon and Idan Pereman
Agronomy 2025, 15(8), 1811; https://doi.org/10.3390/agronomy15081811 - 26 Jul 2025
Viewed by 618
Abstract
Olive Mill Solid Waste (OMSW) presents an environmental challenge due to its toxicity and difficulties in its recycling. Prior studies suggest its potential as a substrate ingredient for cultivating edible mushrooms. Here, we investigate how varying OMSW concentrations in the substrate affect the [...] Read more.
Olive Mill Solid Waste (OMSW) presents an environmental challenge due to its toxicity and difficulties in its recycling. Prior studies suggest its potential as a substrate ingredient for cultivating edible mushrooms. Here, we investigate how varying OMSW concentrations in the substrate affect the synthesis pathways of α-glucan and β-glucan polysaccharides, alongside transcriptional and metabolic changes in Pleurotus eryngii. We also assessed the mushroom’s protein and nitrogen content. Our results highlight the critical role of substrate composition, demonstrating that the OMSW concentration significantly influences mushroom growth, yield, protein content, gene expression, and metabolite profiles. These findings establish OMSW not only as a viable recycling resource but also as a modulator of health-promoting compound synthesis in P. eryngii. Full article
Show Figures

Figure 1

Back to TopTop