Sign in to use this feature.

Years

Between: -

Subjects

remove_circle_outline
remove_circle_outline
remove_circle_outline
remove_circle_outline
remove_circle_outline
remove_circle_outline
remove_circle_outline

Journals

Article Types

Countries / Regions

Search Results (36)

Search Parameters:
Keywords = multi-degree-of-freedom stage

Order results
Result details
Results per page
Select all
Export citation of selected articles as:
30 pages, 1774 KB  
Review
Motion-Induced Errors in Buoy-Based Wind Measurements: Mechanisms, Compensation Methods, and Future Perspectives for Offshore Applications
by Dandan Cao, Sijian Wang and Guansuo Wang
Sensors 2026, 26(3), 920; https://doi.org/10.3390/s26030920 - 31 Jan 2026
Viewed by 136
Abstract
Accurate measurement of sea-surface winds is critical for climate science, physical oceanography, and the rapidly expanding offshore wind energy sector. Buoy-based platforms—moored meteorological buoys, drifters, and floating LiDAR systems (FLS)—provide practical alternatives to fixed offshore structures, especially in deep water where bottom-founded installations [...] Read more.
Accurate measurement of sea-surface winds is critical for climate science, physical oceanography, and the rapidly expanding offshore wind energy sector. Buoy-based platforms—moored meteorological buoys, drifters, and floating LiDAR systems (FLS)—provide practical alternatives to fixed offshore structures, especially in deep water where bottom-founded installations are economically prohibitive. Yet these floating platforms are subject to continuous pitch, roll, heave, and yaw motions forced by wind, waves, and currents. Such six-degree-of-freedom dynamics introduce multiple error pathways into the measured wind signal. This paper synthesizes the current understanding of motion-induced measurement errors and the techniques developed to compensate for them. We identify four principal error mechanisms: (1) geometric biases caused by sensor tilt, which can underestimate horizontal wind speed by 0.4–3.4% depending on inclination angle; (2) contamination of the measured signal by platform translational and rotational velocities; (3) artificial inflation of turbulence intensity by 15–50% due to spectral overlap between wave-frequency buoy motions and atmospheric turbulence; and (4) beam misalignment and range-gate distortion specific to scanning LiDAR systems. Compensation strategies have progressed through four recognizable stages: fundamental coordinate-transformation and velocity-subtraction algorithms developed in the 1990s; Kalman-filter-based multi-sensor fusion emerging in the 2000s; Response Amplitude Operator modeling tailored to FLS platforms in the 2010s; and data-driven machine-learning approaches under active development today. Despite this progress, key challenges persist. Sensor reliability degrades under extreme sea states precisely when accurate data are most needed. The coupling between high-frequency platform vibrations and turbulence remains poorly characterized. No unified validation framework or benchmark dataset yet exists to compare methods across platforms and environments. We conclude by outlining research priorities: end-to-end deep-learning architectures for nonlinear error correction, adaptive algorithms capable of all-sea-state operation, standardized evaluation protocols with open datasets, and tighter integration of intelligent software with next-generation low-power sensors and actively stabilized platforms. Full article
(This article belongs to the Section Industrial Sensors)
Show Figures

Figure 1

23 pages, 2720 KB  
Article
Co-Design of Structural Parameters and Motion Planning in Serial Manipulators via SAC-Based Reinforcement Learning
by Yifan Zhu, Jinfei Liu, Hua Huang, Ming Chen and Jindong Qu
Machines 2026, 14(2), 158; https://doi.org/10.3390/machines14020158 - 30 Jan 2026
Viewed by 125
Abstract
In the context of Industry 4.0 and intelligent manufacturing, conventional serial manipulators face limitations in dynamic task environments due to fixed structural parameters and the traditional decoupling of mechanism design from motion planning. To address this issue, this study proposes SAC-SC (Soft Actor–Critic-based [...] Read more.
In the context of Industry 4.0 and intelligent manufacturing, conventional serial manipulators face limitations in dynamic task environments due to fixed structural parameters and the traditional decoupling of mechanism design from motion planning. To address this issue, this study proposes SAC-SC (Soft Actor–Critic-based Structure–Control Co-Design), a reinforcement learning framework for the co-design of manipulator link lengths and motion planning policies. The approach is implemented on a custom four-degree-of-freedom PRRR manipulator with manually adjustable link lengths, where a hybrid action space integrates configuration selection at the beginning of each episode with subsequent continuous joint-level control, guided by a multi-objective reward function that balances task accuracy, execution efficiency, and obstacle avoidance. Evaluated in both a simplified kinematic simulator and the high-fidelity MuJoCo physics engine, SAC-SC achieves 100% task success rate in obstacle-free scenarios and 85% in cluttered environments, with a planning time of only 0.145 s per task, over 15 times faster than the two-stage baseline. The learned policy also demonstrates zero-shot transfer between simulation environments. These results indicate that integrating structural parameter optimization and motion planning within a unified reinforcement learning framework enables more adaptive and efficient robotic operation in unstructured environments, offering a promising alternative to conventional decoupled design paradigms. Full article
(This article belongs to the Section Machine Design and Theory)
33 pages, 3270 KB  
Article
Design-Orientated Optimization and Motion Planning of a Parallel Platform for Improving Performance of an 8-DOF Hybrid Surgical Robot
by Asna Kalsoom, Muhammad Faizan Shah, Zareena Kausar, Faizan Khan Durrani, Syed Zahid Hussain and Muhammad Umer Farooq
Machines 2025, 13(11), 1038; https://doi.org/10.3390/machines13111038 - 9 Nov 2025
Viewed by 921
Abstract
The emergence of surgical robots has revolutionized complex operations, improving precision, lowering operating risks, and shortening recovery periods. Given the merits, an eight degrees of freedom (DOF) hybrid surgical robot (HSR) has been proposed, which leverages the benefits of both serial and parallel [...] Read more.
The emergence of surgical robots has revolutionized complex operations, improving precision, lowering operating risks, and shortening recovery periods. Given the merits, an eight degrees of freedom (DOF) hybrid surgical robot (HSR) has been proposed, which leverages the benefits of both serial and parallel manipulators. However, its performance is hindered by the constrained range of motion of its parallel platform. To address the issue, this research presents a systematic approach for designing and optimizing the proposed HSR. The first step is the design of the HSR, followed by a multi-stage design analysis of its parallel platform, concentrating on kinematic, geometrical, and singularity analysis. Higher values of the condition number indicate singular configurations in the platform’s workspace, highlighting the need for an optimized design. For optimization of the platform, performance parameters like global condition number (GCN), actuator forces, and stiffness are identified. Initially, the design is optimized by targeting GCN only through a genetic algorithm (GA). This approach compromised the other parameters and raised the need for simultaneous optimization employing a non-dominated sorting genetic algorithm (NSGA II). It offered a better trade-off between performance parameters. To further assess the working of the optimized parallel platform, workspace analysis and motion planning of a predefined trajectory have been performed. Full article
(This article belongs to the Special Issue Mechanical Design of Parallel Manipulators)
Show Figures

Figure 1

14 pages, 752 KB  
Article
High-Precision Multi-Axis Robotic Printing: Optimized Workflow for Complex Tissue Creation
by Erfan Shojaei Barjuei, Joonhwan Shin, Keekyoung Kim and Jihyun Lee
Bioengineering 2025, 12(9), 949; https://doi.org/10.3390/bioengineering12090949 - 31 Aug 2025
Cited by 2 | Viewed by 1478
Abstract
Three-dimensional bioprinting holds great promise for tissue engineering, but struggles with fabricating complex curved geometries such as vascular networks. Though precise, traditional Cartesian bioprinters are constrained by linear layer-by-layer deposition along fixed axes, resulting in limitations such as the stair-step effect. Multi-axis robotic [...] Read more.
Three-dimensional bioprinting holds great promise for tissue engineering, but struggles with fabricating complex curved geometries such as vascular networks. Though precise, traditional Cartesian bioprinters are constrained by linear layer-by-layer deposition along fixed axes, resulting in limitations such as the stair-step effect. Multi-axis robotic bioprinting addresses these challenges by allowing dynamic nozzle orientation and motion along curvilinear paths, enabling conformal printing on anatomically relevant surfaces. Although robotic arms offer lower mechanical precision than CNC stages, accuracy can be enhanced through methods such as vision-based toolpath correction. This study presents a modular multi-axis robotic embedded bioprinting platform that integrates a six-degrees-of-freedom robotic arm, a pneumatic extrusion system, and a viscoplastic support bath. A streamlined workflow combines CAD modeling, CAM slicing, robotic simulation, and automated execution for efficient fabrication. Two case studies validate the system’s ability to print freeform surfaces and vascular-inspired tubular constructs with high fidelity. The results highlight the platform’s versatility and potential for complex tissue fabrication and future in situ bioprinting applications. Full article
Show Figures

Figure 1

17 pages, 8082 KB  
Article
NPS6D100—A 6D Nanopositioning System with Sub-10 nm Performance in a Ø100 mm × 10 mm Workspace
by Steffen Hesse, Alex Huaman, Michael Katzschmann and Ludwig Herzog
Actuators 2025, 14(8), 361; https://doi.org/10.3390/act14080361 - 22 Jul 2025
Viewed by 725
Abstract
This paper presents the development of a compact nanopositioning stage with long-range capabilities and six-degree-of-freedom (DOF) closed-loop control. The system, referred to as NPS6D100, provides Ø100 mm planar and 10 mm vertical travel range while maintaining direct force transfer to the moving platform [...] Read more.
This paper presents the development of a compact nanopositioning stage with long-range capabilities and six-degree-of-freedom (DOF) closed-loop control. The system, referred to as NPS6D100, provides Ø100 mm planar and 10 mm vertical travel range while maintaining direct force transfer to the moving platform (or slider) in all DOFs. Based on an integrated planar direct drive concept, the system is enhanced by precise vertical actuation and full 6D output feedback control. The mechanical structure, drive architecture, guiding, and measurement subsystems are described in detail, along with experimental results that confirm sub-10 nm servo errors under constant setpoint operation and in synchronized multi-axis motion scenarios. With its scalable and low-disturbance design, the NPS6D100 is well suited as a nanopositioning platform for sub-10 nm applications in nanoscience and precision metrology. Full article
(This article belongs to the Special Issue Recent Developments in Precision Actuation Technologies)
Show Figures

Figure 1

19 pages, 5285 KB  
Article
Enhancing Positional Accuracy of Mechanically Modified Industrial Robots Using Laser Trackers
by Mojtaba A. Khanesar, Aslihan Karaca, Minrui Yan, Mohammed Isa, Samanta Piano and David Branson
Robotics 2025, 14(4), 42; https://doi.org/10.3390/robotics14040042 - 31 Mar 2025
Cited by 2 | Viewed by 2682
Abstract
Highly accurate positioning of industrial robots is crucial to performing industrial operations with high quality. This paper presents a mechanical modification to an industrial robot aiming at enhancing the system actuation resolution, thereby enhancing its positional accuracy. The industrial robot under consideration is [...] Read more.
Highly accurate positioning of industrial robots is crucial to performing industrial operations with high quality. This paper presents a mechanical modification to an industrial robot aiming at enhancing the system actuation resolution, thereby enhancing its positional accuracy. The industrial robot under consideration is a six-degrees of freedom (DoF) robot with revolute joints. By integrating a linear stage, a prismatic joint is introduced to the robot’s end effector, reconfiguring it into a 7 DoF system with more precise step size capabilities. To improve the positional accuracy of the overall system, a closed-loop control structure is chosen. Positional feedback is provided using an industrial laser tracker. Initially, a multi-layer perceptron neural network (MLPNN) is used to identify the forward kinematics (FK) of the overall 6RP robotic system. The FK of the industrial robot using the pretrained MLPNN is then used online to compute the real-time sensitivity of positional error to changes in the joint angle values of the industrial robot and displacements of the prismatic joint. Different trajectories are used to test the accuracy of the proposed positioning algorithm. From the implementation results obtained using the proposed control structure, it is observed that the accuracy of the industrial robot improves significantly. Statistical results for five different points selected from the ISO 9283 trajectory over 30 times of measurements show an 82% improvement for the measurements using the proposed approach as compared to the original industrial robot controller. Full article
(This article belongs to the Section Industrial Robots and Automation)
Show Figures

Figure 1

40 pages, 8054 KB  
Review
Solid State Transformers: A Review—Part I: Stages of Conversion and Topologies
by Dragoș-Mihail Predescu and Ștefan-George Roșu
Technologies 2025, 13(2), 74; https://doi.org/10.3390/technologies13020074 - 10 Feb 2025
Cited by 4 | Viewed by 9421
Abstract
Solid State Transformers (SSTs) represent an emerging technology that seeks to improve upon traditional Low-Frequency Transformers (LFTs) with Medium-Frequency Transformers (MFTs) of reduced core size while incorporating modular converter structures as their input and output stages. In addition to magnetic circuit reduction, SSTs [...] Read more.
Solid State Transformers (SSTs) represent an emerging technology that seeks to improve upon traditional Low-Frequency Transformers (LFTs) with Medium-Frequency Transformers (MFTs) of reduced core size while incorporating modular converter structures as their input and output stages. In addition to magnetic circuit reduction, SSTs provide enhanced functionalities such as power factor correction, voltage regulation, and the capability to interface with various sources and loads. However, owing to the novelty of SSTs and the various proposed implementations, a general review would difficult to follow and might not be able to adequately analyze each aspect of SST structures. This complexity underscores the need for a new division of information and classification based on the number of conversion stages, which is the main contribution of this study. Converter functionalities are derived based on the number of stages. Utilizing these functionalities along with existing and proposed implementations, converter topologies are identified and then detailed in terms of their respective functionalities, advantages, disadvantages, and control schemes. The subsequent chapters provide a comparative analysis of the different topologies and present existing SST implementations. For this analysis, metrics such as the number of SST stages, power flow, voltage control, power quality, and component count are used. Based on the resulting analysis, single-stage SSTs are a promising solution that emphasize economy and high power density, while multi-stage SSTs are also a viable solution thanks to their ease of control and flexible design. This paper constitutes the first part of a two-part review. The second part will focus on the degrees of design freedom (such as multilevel structures/cells) and provide a generalized approach to modularity within SST systems. Full article
(This article belongs to the Special Issue Next-Generation Distribution System Planning, Operation, and Control)
Show Figures

Figure 1

14 pages, 10068 KB  
Article
Design and Testing of an Integrated Lycium barbarum L. Harvester
by Yutan Wang, Chan Yang, Yaoyao Gao, Yuqing Lei, Liefei Ma and Aili Qu
Agriculture 2024, 14(8), 1370; https://doi.org/10.3390/agriculture14081370 - 15 Aug 2024
Cited by 4 | Viewed by 1472
Abstract
In the mechanized harvesting of Lycium barbarum L. (L. barbarum), there are prominent problems such as low harvesting efficiency, high damage rate, incomplete separation of leaves and delayed transportation. Therefore, an integrated L. barbarum harvester was designed and developed in this [...] Read more.
In the mechanized harvesting of Lycium barbarum L. (L. barbarum), there are prominent problems such as low harvesting efficiency, high damage rate, incomplete separation of leaves and delayed transportation. Therefore, an integrated L. barbarum harvester was designed and developed in this study, which has the functions of picking, undertaking, transportation, winnowing and collection. The design requirements and constraints were identified by cultivation agronomy. Through simulation and physical tests, the tarpaulin was determined as the undertaking material. This machine achieved efficient picking with a vibrating picker with a multi-degree-of-freedom picking arm. The two-stage conveyor belts and the intermediate receiving plate were designed for low loss transportation of fruit. The axial flow fan and secondary buffer device were used to realize winnowing and reduce the damage rate. Through the three-factor and three-level orthogonal test, an optimal working parameter combination was determined: the vibration frequency of the picker was 20 Hz, the conveyor speed was 4 m/min, the airflow speed of the fan was 7 m/s. A field test was conducted under these parameters, and the results showed that the harvesting efficiency was about five times that of manual harvesting. The integrated L. barbarum harvester basically met the harvesting requirements and provided a new scheme for mechanized harvesting. Full article
(This article belongs to the Section Agricultural Technology)
Show Figures

Figure 1

21 pages, 13679 KB  
Article
Real-Time Testing Optimal Power Flow in Smart-Transformer-Based Meshed Hybrid Microgrids: Design and Validation
by Rafael A. Núñez-Rodríguez, Clodomiro Unsihuay-Vila, Johnny Posada, Omar Pinzón-Ardila, Alexandre Rasi Aoki and Rodrigo Bueno-Otto
Energies 2024, 17(8), 1950; https://doi.org/10.3390/en17081950 - 19 Apr 2024
Cited by 3 | Viewed by 1933
Abstract
The smart transformer (ST) is a multiport and multi-stage converter that allows for the formation of meshed hybrid microgrids (MHMs) by enabling AC-DC ports in medium and low voltage. This type of microgrid has advantages over the performance of conventional hybrid AC-DC microgrids [...] Read more.
The smart transformer (ST) is a multiport and multi-stage converter that allows for the formation of meshed hybrid microgrids (MHMs) by enabling AC-DC ports in medium and low voltage. This type of microgrid has advantages over the performance of conventional hybrid AC-DC microgrids (HMGs); however, the number of degrees of freedom of the ST increases the complexity of the energy management systems (EMSs), which require adequate and accurate modeling of the power flow of the converters and the MG to find the feasible solution of optimal power flow (OPF) problems in the MHM. An ST’s equivalent power flow model is proposed for formulating the MHM OPF problem and developing low-frequency equivalent models integrated with a decoupled hierarchical control architecture under a real-time simulation approach to the ST-based MHM. A simulation model of the MHM in the Simulink® environment of Matlab® 9.12 is developed and implemented under a digital real-time simulation (DRTS) approach on the OPAL-RT® platform. This model allows for determining the accuracy of the developed equivalent models, both low-frequency and power flow, and determining the MHM performance based on optimal day-ahead scheduling. Simulation test results demonstrated the ST equivalent model’s accuracy and the MHM’s accuracy for OPF problems with an optimal day-ahead scheduling horizon based on the model-in-the-loop (MIL) and DRTS approach. Full article
(This article belongs to the Special Issue New Insights into Microgrids and Renewable Energy Systems)
Show Figures

Figure 1

13 pages, 5008 KB  
Communication
High-Precision Positioning Stage Control Based on a Modified Disturbance Observer
by Hui Wang, Qiang Li, Feng Zhou and Jingxu Zhang
Sensors 2024, 24(2), 591; https://doi.org/10.3390/s24020591 - 17 Jan 2024
Cited by 3 | Viewed by 2428
Abstract
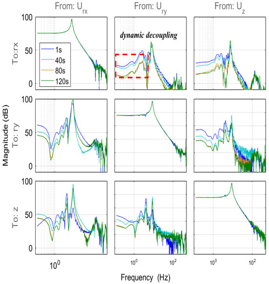
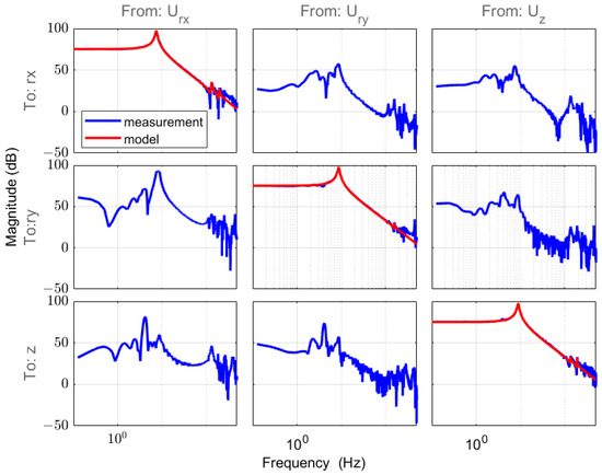
High-precision positioning systems play a crucial role in various industrial applications. This study focuses on improving the performance of a high-precision multi-degrees-of-freedom (DOF) stage. In terms of the controller design, the following two key challenges must be addressed: the cross-decoupling of different DOFs [...] Read more.
High-precision positioning systems play a crucial role in various industrial applications. This study focuses on improving the performance of a high-precision multi-degrees-of-freedom (DOF) stage. In terms of the controller design, the following two key challenges must be addressed: the cross-decoupling of different DOFs and the impact of external disturbances. To address these problems, a self-tuning approach is proposed for simultaneous decoupling and disturbance suppression. Initially, the stage undergoes static decoupling using a data-based approach, facilitating feedback control for each DOF through single-input, single-output controllers. Addressing dynamic coupling and external disturbance challenges, we introduced a comprehensive evaluation index and a self-tuning multi-input, multi-output disturbance observer. This approach enabled the evaluation and optimization of the disturbance compensation for all DOFs, ensuring optimal positioning accuracy. Finally, we tested the proposed method using a high-precision multi-DOF stage with a real-time control platform. The results demonstrated a significant reduction in the standard deviations of positioning errors in the rx, ry, and z directions by 46%, 58%, and 6%, respectively. The approach used in this study opens avenues for advancements in the design and control of complex multi-DOF systems. Full article
(This article belongs to the Section Navigation and Positioning)
Show Figures

Figure 1

20 pages, 8446 KB  
Article
The Effect of Spanwise Folding on the Aerodynamic Performance of a Passively Deformed Flapping Wing
by Ming Qi, Menglong Ding, Wenguo Zhu and Shu Li
Biomimetics 2024, 9(1), 42; https://doi.org/10.3390/biomimetics9010042 - 10 Jan 2024
Cited by 2 | Viewed by 3486
Abstract
The wings of birds exhibit multi-degree-of-freedom motions during flight. Among them, the flapping folding motion and chordwise passive deformation of the wings are prominent features of large birds in flight, contributing to their exceptional flight capabilities. This article presents a method for the [...] Read more.
The wings of birds exhibit multi-degree-of-freedom motions during flight. Among them, the flapping folding motion and chordwise passive deformation of the wings are prominent features of large birds in flight, contributing to their exceptional flight capabilities. This article presents a method for the fast and accurate calculation of folding passive torsional flapping wings in the early design stage. The method utilizes the unsteady three-dimensional panel method to solve the aerodynamic force and the linear beam element model to analyze the fluid–structure coupling problem. Performance comparisons of folding flapping wings with different kinematics are conducted, and the effects of various kinematic parameters on folding flapping wings are analyzed. The results indicate that kinematic parameters significantly influence the lift coefficient, thrust coefficient, and propulsion efficiency. Selecting the appropriate kinematic and geometric parameters is crucial for enhancing the efficiency of the folding flapping wing. Full article
Show Figures

Figure 1

19 pages, 4943 KB  
Article
Multi-Phase Vertical Take-Off and Landing Trajectory Optimization with Feasible Initial Guesses
by Zhidong Lu, Haichao Hong and Florian Holzapfel
Aerospace 2024, 11(1), 39; https://doi.org/10.3390/aerospace11010039 - 29 Dec 2023
Cited by 10 | Viewed by 5020
Abstract
The advancement of electric vertical take-off and landing (eVTOL) aircraft has expanded the horizon of urban air mobility. However, the challenge of generating precise vertical take-off and landing (VTOL) trajectories that comply with airworthiness requirements remains. This paper presents an approach for optimizing [...] Read more.
The advancement of electric vertical take-off and landing (eVTOL) aircraft has expanded the horizon of urban air mobility. However, the challenge of generating precise vertical take-off and landing (VTOL) trajectories that comply with airworthiness requirements remains. This paper presents an approach for optimizing VTOL trajectories considering six degrees of freedom (6DOF) dynamics and operational constraints. Multi-phase optimal control problems are formulated to address specific constraints in various flight stages. The incremental nonlinear dynamic inversion (INDI) controller is employed to execute the flight mission in each phase. Controlled flight simulations yield dynamically feasible trajectories that serve as initial guesses for generating sub-optimal trajectories within individual phases. A feasible and sub-optimal initial guess for the holistic multi-phase problem is established by concatenating these single-phase trajectories. Focusing on a tilt-wing eVTOL aircraft, this paper computes VTOL trajectories leveraging the proposed initial guess generation procedure. These trajectories account for complex flight dynamics, align with various operation constraints, and minimize electric energy consumption. Full article
Show Figures

Figure 1

14 pages, 831 KB  
Article
Semiclassical Theory of Multistage Nonequilibrium Electron Transfer in Macromolecular Compounds in Polar Media with Several Relaxation Timescales
by Serguei V. Feskov
Int. J. Mol. Sci. 2022, 23(24), 15793; https://doi.org/10.3390/ijms232415793 - 13 Dec 2022
Cited by 2 | Viewed by 1878
Abstract
Many specific features of ultrafast electron transfer (ET) reactions in macromolecular compounds can be attributed to nonequilibrium configurations of intramolecular vibrational degrees of freedom and the environment. In photoinduced ET, nonequilibrium nuclear configurations are often produced at the stage of optical excitation, but [...] Read more.
Many specific features of ultrafast electron transfer (ET) reactions in macromolecular compounds can be attributed to nonequilibrium configurations of intramolecular vibrational degrees of freedom and the environment. In photoinduced ET, nonequilibrium nuclear configurations are often produced at the stage of optical excitation, but they can also be the result of electron tunneling itself, i.e., fast redistribution of charges within the macromolecule. A consistent theoretical description of ultrafast ET requires an explicit consideration of the nuclear subsystem, including its evolution between electron jumps. In this paper, the effect of the multi-timescale nuclear reorganization on ET transitions in macromolecular compounds is studied, and a general theory of ultrafast ET in non-Debye polar environments with a multi-component relaxation function is developed. Particular attention is paid to designing the multidimensional space of nonequilibrium nuclear configurations, as well as constructing the diabatic free energy surfaces for the ET states. The reorganization energies of individual ET transitions, the equilibrium energies of ET states, and the relaxation properties of the environment are used as input data for the theory. The effect of the system-environment interaction on the ET kinetics is discussed, and mechanisms for enhancing the efficiency of charge separation in macromolecular compounds are analyzed. Full article
(This article belongs to the Collection State-of-the-Art Macromolecules in Russia)
Show Figures

Figure 1

22 pages, 11678 KB  
Article
Design and Performance of a Spatial 6-RRRR Compliant Parallel Nanopositioning Stage
by Ruizhou Wang and Heng Wu
Micromachines 2022, 13(11), 1889; https://doi.org/10.3390/mi13111889 - 1 Nov 2022
Cited by 11 | Viewed by 2451
Abstract
Piezoelectric actuators (PEAs) and compliant parallel mechanisms (CPMs) are advantageous for designing nanopositioning stages (NPSs) with multiple degrees of freedom (multi-DOFs). This paper proposes a new NPS that uses PEAs and CPMs with multiple spatial DOFs. First, the design of the mechanism is [...] Read more.
Piezoelectric actuators (PEAs) and compliant parallel mechanisms (CPMs) are advantageous for designing nanopositioning stages (NPSs) with multiple degrees of freedom (multi-DOFs). This paper proposes a new NPS that uses PEAs and CPMs with multiple spatial DOFs. First, the design of the mechanism is introduced. Six parallel kinematics revolute-revolute-revolute-revolute (RRRR) branched chains were used to create a 6-RRRR CPM for superior mechanical performance. Three in-plane and three out-of-plane chains were combined using a two-in-one structure to ensure fabrication feasibility. A two-in-one 6-RRRR CPM was employed to build the proposed NPS. Second, the mechanical performance was analyzed. High-efficiency finite-element modeling approaches were derived using the compliance-based matrix method (CMM) and a pseudo-rigid body model (PRBM). The model included both 6-RRRR CPM and NPS. The simulation results validated the static and dynamic performance, and the experimental results verified the kinematics. Based on the newly designed mechanism and verified mechanical performance, the proposed 6-RRRR NPS contributes to the development of spatial multi-DOF NPSs using PEAs and CPMs. Full article
Show Figures

Figure 1

16 pages, 4417 KB  
Article
Graph Convolutional Network for 3D Object Pose Estimation in a Point Cloud
by Tae-Won Jung, Chi-Seo Jeong, In-Seon Kim, Min-Su Yu, Soon-Chul Kwon and Kye-Dong Jung
Sensors 2022, 22(21), 8166; https://doi.org/10.3390/s22218166 - 25 Oct 2022
Cited by 8 | Viewed by 5350
Abstract
Graph Neural Networks (GNNs) are neural networks that learn the representation of nodes and associated edges that connect it to every other node while maintaining graph representation. Graph Convolutional Neural Networks (GCNs), as a representative method in GNNs, in the context of computer [...] Read more.
Graph Neural Networks (GNNs) are neural networks that learn the representation of nodes and associated edges that connect it to every other node while maintaining graph representation. Graph Convolutional Neural Networks (GCNs), as a representative method in GNNs, in the context of computer vision, utilize conventional Convolutional Neural Networks (CNNs) to process data supported by graphs. This paper proposes a one-stage GCN approach for 3D object detection and poses estimation by structuring non-linearly distributed points of a graph. Our network provides the required details to analyze, generate and estimate bounding boxes by spatially structuring the input data into graphs. Our method proposes a keypoint attention mechanism that aggregates the relative features between each point to estimate the category and pose of the object to which the vertices of the graph belong, and also designs nine degrees of freedom of multi-object pose estimation. In addition, to avoid gimbal lock in 3D space, we use quaternion rotation, instead of Euler angle. Experimental results showed that memory usage and efficiency could be improved by aggregating point features from the point cloud and their neighbors in a graph structure. Overall, the system achieved comparable performance against state-of-the-art systems. Full article
(This article belongs to the Section Intelligent Sensors)
Show Figures

Figure 1

Back to TopTop