Next Article in Journal
Research on Deviation Correction Control Method of Full-Width Horizontal-Axis Roadheader Based on PSO-BP Neural Network PID
Next Article in Special Issue
A Study on Reducing Loss in PCB Motor Stator Using Multi-Via Structure
Previous Article in Journal
Performance Enhancement of Seismically Protected Buildings Using Viscoelastic Tuned Inerter Damper
Previous Article in Special Issue
Gas–Solid Coupling Dynamic Modeling and Transverse Vibration Suppression for Ultra-High-Speed Elevator
 
 
Font Type:
Arial Georgia Verdana
Font Size:
Aa Aa Aa
Line Spacing:
Column Width:
Background:
Article

NPS6D100—A 6D Nanopositioning System with Sub-10 nm Performance in a Ø100 mm × 10 mm Workspace

IMMS Institut für Mikroelektronik- und Mechatronik-Systeme Gemeinnützige GmbH (IMMS GmbH), Ehrenbergstraße 27, 98693 Ilmenau, Germany
*
Author to whom correspondence should be addressed.
These authors contributed equally to this work.
Actuators 2025, 14(8), 361; https://doi.org/10.3390/act14080361
Submission received: 21 May 2025 / Revised: 4 July 2025 / Accepted: 14 July 2025 / Published: 22 July 2025
(This article belongs to the Special Issue Recent Developments in Precision Actuation Technologies)

Abstract

This paper presents the development of a compact nanopositioning stage with long-range capabilities and six-degree-of-freedom (DOF) closed-loop control. The system, referred to as NPS6D100, provides Ø100 mm planar and 10 mm vertical travel range while maintaining direct force transfer to the moving platform (or slider) in all DOFs. Based on an integrated planar direct drive concept, the system is enhanced by precise vertical actuation and full 6D output feedback control. The mechanical structure, drive architecture, guiding, and measurement subsystems are described in detail, along with experimental results that confirm sub-10 nm servo errors under constant setpoint operation and in synchronized multi-axis motion scenarios. With its scalable and low-disturbance design, the NPS6D100 is well suited as a nanopositioning platform for sub-10 nm applications in nanoscience and precision metrology.

1. Introduction

The progression of nanotechnology continues to drive demand for increasingly precise and scalable positioning systems. In fields such as semiconductor manufacturing, nano-optics, and high-precision metrology, there exists an increasing demand for positioning systems capable to reach the single-digit nanometer precision [1,2]. Within this context, recent advances in nanoscience have enabled the nanotechnology field to operate at the sub-10 nm scale [3,4]. These advances in nanoscience require robust nanopositioning systems that combine ultra-high precision with fully actuated degrees of freedom (DOFs), in addition to offering reconfigurable and scalable operation depending on the task demands.
A significant contribution to nanotechnology is the development of integrated nanopositioning platforms that enable motion in all six DOFs—three translations (x, y, z) and three rotations about the corresponding axes ( φ x , φ y , φ z )—within a unified system architecture. The motion platform originally introduced as the NPPS100-6D [5,6], now referred to as the NPS6D100, represents a compact and scalable solution for 6D multicoordinate nanopositioning. The NPS6D100 constitutes a well-suited nanopositioning platform for sub-10 n m applications in nanoscience and sub-10 n m precision metrology. The system is highly relevant for medical applications that require precision nanopositioning during micro-surgical procedures [7,8]. The nanopositioner architecture integrates a planar direct drive for horizontal motion in x, y, and φ z , upgraded with three lifting and actuating units (LAUs) for vertical displacement in z and angular rotations about φ x and φ y . Each LAU has a parallel arrangement combining a low-dynamic pneumatic actuator for weight force compensation and a high-dynamic voice-coil drive for precision motion; see [9,10]. In addition, the integration of a suitable guiding system provides virtually frictionless planar and vertical motion.
The pursuit of sub-10 nm precision has led to the development of integrated nanopositioning solutions. These approaches permit nanometer positioning across long ranges while maintaining robustness and high-precision performance. While many works target small travel ranges [11,12,13], this paper addresses long-range stages (≥50 mm × 50 mm in the x y plane) that maintain nanometer-level servo errors through careful stage architecture and precision engineering principles [14,15,16]. Various concepts exist in the literature, often using parallel kinematics with Lorentz actuators and roller or air bearings, as seen in the NanoCMM [17], and the high-precision 3D CMM [18]. Integrated direct-drive architectures [6,19], combined with air bearing guidance, show particular promise. At TU Ilmenau, the long-range NPMM-200 [20]—evolved from earlier stacked designs [21,22]—has demonstrated excellent 3D measurement capabilities [23,24]. The NFM-100 system [25,26] offers planar positioning over a Ø 100   m m . A similar platform, the NPP-1 [27], is commercially available from SIOS GmbH. Furthermore, initial investigation on the NPPS100-6D [5] extends the planar direct-drive concepts to include vertical actuation with long travel ranges of Ø 100   m m × 10   m m . The most significant exemplar is the NPS6D200 [28,29] that combines a 3D planar direct drive with vertical actuation featuring a long working range of Ø 200   m m × 25   m m with high-precision 6D closed-loop control and single-digit nanometer precision [30]. A comparative table to supplement the distinction between similar nanopositioners in the literature is shown in Table 1. In summary, we recognize the potential of the direct drive principle on the one hand, and the need to integrate vertical adjustment on the other hand. A combination of both without the necessity for coil lift integration closes the gap between the existing solutions and allows the investigation of the characteristics, the benefits, and the limitations of such motion stage architectures.
The main difference from its larger counterpart—the NPS6D200—is that the NPS6D100 does not include a coil lift system. This results in a simpler and lighter construction with enhanced stiffness in the actuation chain and lower disturbance generation, while still maintaining full 6D actuation. The NPS6D100 features a long-range working volume—Ø 100   m m × 10   m m —with high-precision 6D closed-loop control and sub- 10   n m precision. The absence of the coil lift system, combined with the compact dimensions of the nanopositioner, enables improved positioning fidelity in nanofabrication and nanomeasurement applications. The NPS6D100 presents a metrology setup different from the NPS6D200 [28,29], which consists of three orthogonally arranged laser interferometers (LIFs). This Cartesian metrology configuration is particularly advantageous for tasks requiring direct alignment with the moving axes, ensuring direct positioning measurement, whereas the alignment follows the Abbe comparator principle [16]. In the broader context of nanopositioning systems, the NPS6D100 represents a versatile platform for applications that demand deterministic motion control and multi-axis stability over medium to long travel ranges. Its open architecture allows for easy integration with probing systems, optical sensors, or surface interaction tools, extending its applicability to nano-inspection, nanofabrication, and metrology instrumentation. This paper provides an overview of the NPS6D100, presenting its mechanical architecture, actuation principles, control system, and performance outcomes. The focus is placed on six-dimensional precise positioning within a long-range working volume, suitable for high-precision research and industrial applications.
This paper is organized in five sections. Following the introduction, Section 2 introduces the NPS6D100 and its overall design, covering the planar drive system, vertical actuation, and guiding mechanism. Section 3 presents the motion controller design. Section 4 evaluates the positioning performance achieved across various motion tasks. Section 5 closes this paper with conclusions and the outlook for future work.

2. Description of the Nanopositioning System

The NPS6D100 comprises a 6-DOF nanopositioning system designed to achieve sub- 10   n m performance within a cylindrical workspace of Ø 100   m m × 10   m m . The NPS6D100 builds on its predecessor—the NPPS100 platform [6,19]—by incorporating vertical lifting and tilting motion, extending its functionality toward full 6D actuation. The system architecture combines a planar electromagnetic direct drive with three lifting modules (or LAUs), enabling precise motion in x, y, z, φ x , φ y , and φ z . The following subsections describe the mechanical structure, planar drive system, and vertical actuation.

2.1. System Description

The NPS6D100 consists of two main elements, i.e., the slider, which includes all the moving components, and the stator, which comprises all the frame-fixed parts [5]. The slider comprises a triangular monolithic Zerodur platform, providing extremely low thermal expansion and high stiffness in the actuation chain. Two mirrors are orthogonally aligned and bonded on the top of the slider, while a third mirror is placed on its bottom surface. These mirrors interact with LIFs, from SIOS GmbH, arranged in a Cartesian layout to directly measure displacement along the x, y, and z axes. Angular displacements φ x and φ y are measured using a 2D autocollimator directed at the bottom surface of the slider, while φ z is determined using a dual-beam LIF configuration. The slider is supported on three LAUs, each placed at a corner of the slider. This three-point support forms a parallel kinematic structure that ensures a well-defined mechanical constraint while enabling actuation in all six DOF. Given the implementation of these lifting modules, the vertical working range covers up to 10   m m . To achieve control accuracy at the nanometer level, it is vital to reduce the impact of external disturbances. Therefore, the whole system is placed in an 18 t basement equipped with passive pneumatic vibration isolation. The system is also located inside an acoustic enclosure to shield it from air currents and acoustic noise in the laboratory. This enclosure also provides thermal decoupling from the laboratory air temperature, thereby stabilizing the thermal environment of the machine. An overview of the nanopositioning system and its components is shown in Figure 1 and the main mechanical parameters of the NPS6D100 are listed in Table 2.
The Cartesian configuration of the measurement system implies that each motion axis (x, y, z) is measured independently along orthogonal directions. This setup simplifies the transformation of raw sensor data into stage coordinates and provides minimal coupling between degrees of freedom. For φ z specifically, the yaw angle is computed directly from the optical path difference between the two parallel beams of the y-axis LIF, which are laterally offset by 25.4   m m . Note that the motion in y-direction is measured using only a single beam from the dual-beam y-axis LIF. The beam paths of the LIFs—considering only a single beam of the y-axis LIF—intersect at a virtual common point, located near the center of the optical cube formed by the three mirror surfaces, see Figure 1. This intersection ensures compliance with Abbe’s comparator principle [16]. The monolithic construction of the slider guarantees that the geometric relationships remain fixed over time. Since all DOFs are directly measured, no further linear transformation is required to compute the spatial position coordinates and orientation. Table 3 summarizes the resolution of the displacement and angular measurement systems.
A centralized dSPACE control hardware is used for rapid control prototyping and manages signal acquisition and interfacing with the LIFs, 2D autocollimator, linear current amplifiers, pneumatic supply units, and redundant local encoders, among other components, for initialization, shutting down, and fail-safe procedures. All electrical currents and pneumatic pressures are routed from the slider to the stator via structured cables and tube paths to minimize parasitic force disturbances.

2.2. Planar Drive System with Aerostatic Guiding

The planar drive system consists of three Lorentz-force actuators arranged in a 120 ° triangular configuration. Each actuator is composed of a pair of planar coils mounted on the stator and a magnet array fixed to the underside of the slider. The permanent magnet arrays are aligned along the edges of the triangular slider, while the corresponding coil pairs are mounted on the granite stator surface. This is illustrated in Figure 1.
The forces generated by the three electromagnetic actuators are combined to produce arbitrary motion in the x and y directions, as well as a rotation φ z around the z-axis. The coils are energized through a motor commutation, producing horizontal forces. Each actuator contributes a force F i , with i { A , B , C } , which is resolved into Cartesian components and combined to produce planar forces in the x and y directions, as well as a torque around the z-axis. The resulting forces are calculated using the linear transformation
F x F y M φ z = 1 1 2 1 2 0 3 2 3 2 r p r p r p F A F B F C ,
where r p is the distance from the geometric center of the slider to each Lorentz actuator.
As a result of vertical displacement, the air gap between the magnet array and the planar coils increases as the slider is lifted. However, this effect does not compromise the stability of the motion platform. Experimental data and finite element method (FEM) simulations for similar drives have confirmed that for vertical displacements of up to 10   m m , the drive provides adequate propulsion without the implementation of a coil lift system [5,28]. This effect of the force constant reduction was evaluated in an experimental identification of the planar drive’s force constant, which revealed that it decreases from 1.6   N / A at a working height of 1 m m to 0.66   N / A at the maximum working height. In the actual system configuration, the maximum peak coil current is 3 A , which introduces a working height limit of 7 m m , up to which the full acceleration of 250 m m / s 2  is obtainable. Beyond 7 m m , the permissible acceleration steadily decreases to 200 m m / s 2  at the maximum working height.
To guarantee frictionless motion, the slider is supported on three aerostatic bearing pads, one located beneath each LAU (see Section 2.3). These pads provide a pressurized air gap of approximately 5   μ m . The air flows through the surface, generating a stable pressure field. The use of air bearings eliminates mechanical contact, allowing smooth motion and stable dynamic behavior. Therefore, the 3D planar Lorentz-drive together with the aerostatic guidings provide a robust platform for high-precision motion in the x y -plane, with almost no friction and hysteresis nonlinearities. To complement the discussion, the reader may consult [5,6,19] and the references therein.

2.3. Vertical Drive System with Aerostatic Guiding and Weight Force Compensation

The vertical displacement (in the z-axis) and angular rotation ( φ x , φ x around the x, y-axis) of the NPS6D100 are realized through the propulsion of three identical LAUs [9,10]. Each lifting module integrates two parallel actuators—a voice coil and a pneumatic piston—with a high-stiffness aerostatic guiding and an auxiliary encoder for local displacement measurement. Each lifting module operates within a travel range of 10   m m and generates a force F j , with j { 1 , 2 , 3 } , which is combined to produce a vertical force in the z-axis and torques around the x and y axes. These forces are computed through the linear transformation
F z M φ x M φ y = 1 1 1 r v 1 2 r v 1 2 r v 0 3 2 r v 3 2 r v F 1 F 2 F 3 ,
where r v is the distance from the geometric center of the slider to each lifting module.
The precise positioning force is generated by a Lorentz-force drive. The voice coil is embedded concentrically within the LAU and generates force via Lorentz interaction between the coil and the radial magnetic field generated by the permanent magnet. The electromagnetic drive is designed to generate dynamic forces and operates at zero average current during stationary conditions. This almost zero current is produced due to the application of a suitable control allocation strategy [31,32] and results in minimal heat emission in the measuring space. To reduce nonlinearities, the ferromagnetic material in the lifting module is minimized, resulting in a linear and thermally stable behavior.
The low-dynamic pneumatic actuator counteracts the static vertical load, which includes the weight of the slider and any mounted payload. This integrated subsystem consists of a pneumatic piston with an air pressure chamber featuring contactless sealing to minimize friction and wear. An equilibrium pressure of approximately 1   bar compensates one-third of the total slider weight per LAU, ensuring that the electromagnetic actuator does not bear big offset forces. To extend the functionality of the NPS6D100, the pneumatic actuator has a working pressure range of up to 2   bar .
Each LAU features an aerostatic bushing which provides almost frictionless vertical motion and an aerostatic bearing pad mounted on the bottom of the LAU for almost frictionless planar motion. The lifting module additionally includes a dedicated linear optical encoder. This sensor is used for internal measurement during initialization and fail-safe scenarios, where the LIF’s feedback may be temporarily unavailable. The encoder provides vertical measurement with micrometer resolution. The control commands are distributed among the integrated electromagnetic and pneumatic actuators using a control allocation approach that separates the frequency ranges [32,33,34]. In this context, the pneumatic piston manages the low-frequency components, while the Lorentz-force actuator handles the high-frequency dynamics. A cross-sectional view of the LAU is shown in Figure 2.

3. Control System

The control hardware used in the NPS6D100 is based on a dSPACE platform, which supports real-time control development and data acquisition. As shown in Figure 3, the closed-loop system runs using a 10   k Hz sampling rate. During each cycle, 6-DOF feedback data ( q p , q v ) are acquired via the analog and digital inputs. These signals are subsequently processed to compute the setpoints ( i p * , p v * , i v * ) for the actuators. The target values for the planar actuators ( i p * ) and the vertical actuators ( p v * , i v * ) are transferred to hardware interfaces consisting of linear current amplifiers and high-precision pressure regulators. These components convert the control signals ( i p * , p v * , i v * ) into real quantities ( i p , p v , i v ).
Individual feedback loops, one per axis, are implemented to achieve motion control across all six DOF. Figure 4 depicts the closed-loop block diagram for an individual axis. Each control loop follows a conventional PID structure, which is widely used for nanopositioning systems because of its outstanding balance between implementation simplicity and performance effectiveness [35,36]. To further improve the precision and minimize oscillations caused by mechanical resonances in the high-frequency range, additional filters have been integrated into each control loop. Among the wide variety of available filters, low-pass filters and band-stop filters (also referred to as notch filters) were implemented.
The core of the motion controller is the PID-type structure that includes a filtered derivative term. In the time domain, the controller is described by
υ d ( t ) = ω d 0 t υ d ( τ ) d τ + ω d e ( t ) , u ( t ) = K P e ( t ) + K I 0 t e ( τ ) d τ + K D υ d ( t ) .
Equivalently, in the Laplace domain, the controller (3) is expressed as
G c ( s ) = u ( s ) e ( s ) = K P 1 + K I s + K D ω d s s + ω d ,
where K P , K I , and K D are the proportional, integral, and derivative gains, respectively, while ω d determines how aggressively the derivative term is filtered. Each axis is tuned independently to ensure reliable performance, with sufficient robust stability margins in terms of gain margin, phase margin, and bandwidth. The control parameters are listed in Table 4. Note that the PID parameters for all translational axes ( x , y , z ) share the same values, which is a mere coincidence. As introduced in Section 2.3, the overactuated nature of the z-axis is handled by means of a well-suited control allocation method, where the overactuated problem of the z-axis is reduced into a SISO formulation similar to the x and y axes. The reader is referred to [30,31,32] to complement the discussion on the control allocation criteria.
Figure 5 depicts the Bode plot showing the measured frequency response of the translational motion axes ( x , y , z ). The mechanical designs of the planar (Section 2.2) and vertical (Section 2.3) drive subsystems resemble the dynamics of a rigid body with mass and damping. Direct inspection reveals a decay of 40 dB per decade, reflecting the double integrator nature of the motion axes and the high stiffness in the actuation chain; see Figure 5. Additional resonance modes in the high frequency band confirm the presence of structural flexibilities in the motion platform which must be attenuated through the controller. For completeness, the measured frequency response of the tilting angles ( φ x , φ y , φ z ) are shown in Figure A1 (Appendix A).
Figure 6 presents the open-loop response with clearly visible robust stability characterized by sufficient gain margins and phase margins. To reach these outstanding robust stability margins, the tuning procedure was performed offline based on the measured frequency response of the motion axes. Despite only the translational motion axes ( x , y , z ) being shown, the same tuning procedure was applied to the other rotational ( φ x , φ y , φ z ) DOFs. A summary of the control loop performance for all six motion axes is gathered in Table 5. For completeness, the computed open-loop response of the tilting angles ( φ x , φ y , φ z ) are shown in Figure A2 (Appendix A).
Despite the overall robustness of the PID controller (4), high-frequency resonances in the motion axes may still disturb the precision performance of the NPS6D100. Therefore, the control design integrates a series connection of notch filters and low-pass filters, specifically tuned to attenuate targeted resonances and preserve precise positioning. These filters reduce oscillations by attenuating undesired high-frequency components in the control signal. The low-pass filter suppresses high-frequency noise (usually above 1   k Hz ), while the notch filter eliminates specific resonance frequencies that may produce vibration.
Even though the PID-based controller (4) performs well, especially in steady-state and low-frequency motion tasks (as shown in Section 4), it is not ideal for dealing with rapidly changing external disturbances or variations in system parameters. Such disturbing scenarios may require advanced control techniques. Several studies have explored advanced methods for handling periodic input disturbances and parametric uncertainty, as referenced in [32,33,34,37]. Furthermore, the interested reader may consult [30], which describes the design and real-time validation of an advanced control concept in a large-scale motion system with nanometer precision, also referred to as NPS6D200.

4. Positioning Performance in 6D Closed Loop Control

This section presents the performance evaluation of the NPS6D100 nanopositioning system. Stationary and tracking exercises were performed to demonstrate that the motion system consistently achieves nanometer-level precision across the entire travel range.
Initial experiments in closed loop operation evaluate the capability of the NPS6D100 to maintain a fixed position. Figure 7 displays the time-domain responses of all six DOFs with the motion platform held at a fixed position in the center of the workspace. In this exercise, the position root mean square (RMS) errors are very low, 0.54   n m in x, 0.59   n m in y, and 0.47   n m in z, and the angular RMS errors are also small, with 13.65   m in φ x , 17.97   m in φ y , and 3.01   m in φ z . These results validate that the system meets the performance expectations during steady-state operation, achieving sub-10 nm precision under controlled laboratory conditions. It is worth noting that the RMS level observed in Figure 7 reflects the influence of the control action but also contains the actual measurement signal noise. With a measurement resolution of 20   p m , the noise level of the measurement signal at the NPS6D100 is expected to be in the range of 0.2   n m standard deviation. In earlier investigations for a similar setup, the standard deviation of the fixed environment noise (with the controller switched off) was measured at σ x = 0.41   n m , σ y = 0.33   n m , and σ z = 0.36   n m ; see [6] for further discussion.
The subsequent analysis focuses on evaluating the positioning performance across the entire travel range. The measurement process was carried out by forming a grid with 1   m m spacing. At each point on the grid, the set of sensors measured the time series for one second and the RMS error was subsequently calculated and stored. As shown in Figure 8, the planar ( x , y ) RMS error remained below 1   n m across the full Ø 100   m m planar workspace. The vertical positioning achieves comparable RMS error levels, that is, below 1   n m .
Figure 9 presents the servo errors along the 10   m m vertical range. The positioning errors in x, y, and z remain in the nanometer-level and stable, even as the air gap between the planar coils and the permanent magnet arrays increases as height increases. These experiments show that the design without a coil lift system works effectively and, consequently, the direct force transfer behavior in the planar electromagnetic drivers remains stable over the whole vertical operating range.
Then, step-wise motion experiments were carried out, which are fundamental in the field of precision engineering. Towards this end, the nanopositioning system NPS6D100 was commanded to perform nanometer-scale steps along the x, y, and z axes, whereas the tilting angles ( φ x , φ y , φ z ) were regulated to zero. Figure 10 illustrates the measured time series over a time span of 11   s . The steps are clearly visible, featuring minimum noise amplification and no visible significant overshoots. The raw signal (in blue lines) and the filtered signal (in red lines) both confirm that the NPS6D100 can reliably execute nanometer-level steps in all three spatial position coordinates.
The capability to precisely follow complex 3D trajectories was assessed through helix motions of different dimensions ranging from the nanometer-level to the millimeter-level. Figure 11 depicts a helix of dimensions Ø 40   n m × 9   n m traced with a velocity of 14.5   n m / s . The trajectory-tracking exercise was executed with sub- 10   n m RMS servo errors. Furthermore, Table 6 summarizes these results for three helix sizes, including RMS errors and RMS currents. The nanopositioning system achieves RMS servo errors less than 3   n m across the macroscopic travel range, spanning from the nanometer to the millimeter scale. The low currents observed confirm the high efficiency of the drive units (planar and vertical) and the effectiveness of the low-dynamic weight force compensation mechanism integrated into the lifting modules.

5. Conclusions and Outlook

The NPS6D100 represents a solution where the coil lift system is not required and thus completes the range of positioning solutions that combine an integrated planar direct drive with direct vertical actuation. In direct comparison to the NPS6D200 [28,29], the working range and the coil lift system are the main differences, resulting in disturbance reduction and improved positioning performance.
The NPS6D100 is a high-precision nanopositioning system that enables 6-DOF motion within a Ø 100   m m × 10   m m workspace. The motion system was designed for sub- 10   n m applications; it combines a 3D planar Lorentz-based direct drive, aerostatic guidings, and vertical actuation to achieve precise and reproducible motion across all axes.
A key feature of the NPS6D100 is the integration of three custom-developed LAUs, each combining a voice coil (electromagnetic) direct drive, a low-dynamic pneumatic weight force compensation, and an aerostatic bushing into a compact lifting module. This design ensures precise vertical positioning with minimum heat dissipation, making it suitable for long-term precision tasks without disturbing the measurement space. Each LAU also includes an internal vertical encoder for standalone initialization and control.
The measurement system uses a Cartesian mirror arrangement with three LIFs and a 2D autocollimator to provide high-resolution feedback in all six DOFs. This setup supports precise, closed-loop control and eliminates first-order Abbe errors. The system demonstrates sub-nanometer RMS servo errors under stationary setpoint conditions and maintains nanometer-level tracking performance during dynamic synchronous multiaxial motion.
The mechanical structure is compact and dynamically stable, and its performance under different motion conditions shows minimum variation in positioning precision. The NPS6D100 operates efficiently within the complete travel range, with vertical displacements of up to 10   m m , without introducing significant cross-coupling between axis or affecting the direct force transmission between the planar coils and the permanent magnet array.
The combination of stiffness, compactness, and high-precision measurement instruments makes the NPS6D100 well-suited for demanding applications such as sub- 10   n m fabrication, long-range optical probing, and sample handling in nanoscale inspection or lithography.
Future developments will focus on investigating in situ calibration routines and integrating tool-specific probes to expand the functionality of the NPS6D100 within the nanotechnology field.

Author Contributions

Conceptualization, S.H., A.H. and M.K.; methodology, S.H., A.H. and M.K.; validation, S.H., A.H. and M.K.; investigation, S.H., A.H. and M.K.; writing—original draft preparation, S.H. and A.H.; visualization, S.H. and A.H.; writing—review and editing, S.H., A.H., M.K. and L.H. All authors have read and agreed to the published version of the manuscript.

Funding

This research was supported by the German “Land” of Thüringen in the scope of the internal research group “Next Generation Positioning”.

Institutional Review Board Statement

Not applicable.

Informed Consent Statement

Not applicable.

Data Availability Statement

Research data are available upon request to the authors.

Acknowledgments

The authors gratefully acknowledge the fruitful cooperation with the Institute of Process Measurement and Sensor Technology and the Control Engineering Group at TU Ilmenau, as well as with SIOS GmbH and AeroLas GmbH.

Conflicts of Interest

All authors are employees of the IMMS, which is a (public) research institute owned by the German Land of Thüringen, and have no potential conflicts of interest. See also: https://www.imms.de/en/about-us.html (accessed on 13 July 2025).

Abbreviations

The following abbreviations are used in this manuscript:
ADCAnalog-to-Digital Converter
CMMCoordinate Measurement Machine
DACDigital-to-Analog Converter
DOFDegree of Freedom
FRFFrequency Response Function
LAULifting and Actuation Unit
LIFLaser Interferometer
NPSNanopositioning System
PIDProportional Integral Derivative (Controller)
RMSRoot Mean Square

Appendix A

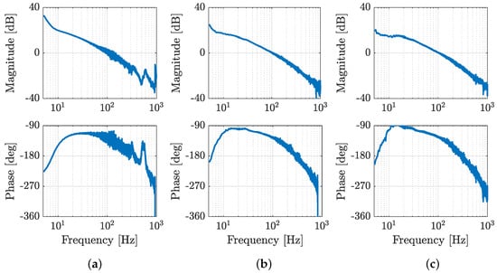
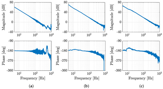
Figure A1 depicts the measured frequency response function (FRF) of the tilting angles ( φ x , φ y , φ z ). Moreover, the figure also shows the computed open-loop response of the tilting angles ( φ x , φ y , φ z ) in order to complement the dynamic description of the NPS6D100.
Figure A1. Measured FRFs of the tilting angles ( φ x , φ y , φ z ). (a) FRF of the φ z -axis. (b) FRF of the φ x -axis. (c) FRF of the φ y -axis.
Figure A1. Measured FRFs of the tilting angles ( φ x , φ y , φ z ). (a) FRF of the φ z -axis. (b) FRF of the φ x -axis. (c) FRF of the φ y -axis.
Actuators 14 00361 g0a1
Figure A2. Open-loop FRFs of the tilting angles ( φ x , φ y , φ z ). (a) FRF of the φ z -axis. (b) FRF of the φ x -axis. (c) FRF of the φ y -axis.
Figure A2. Open-loop FRFs of the tilting angles ( φ x , φ y , φ z ). (a) FRF of the φ z -axis. (b) FRF of the φ x -axis. (c) FRF of the φ y -axis.
Actuators 14 00361 g0a2

References

  1. Oh, D.K.; Jeong, H.; Kim, J.; Kim, Y.; Kim, I.; Ok, J.G.; Rho, J. Top-down nanofabrication approaches toward single-digit-nanometer scale structures. J. Mech. Sci. Technol. 2021, 35, 837–859. [Google Scholar] [CrossRef]
  2. Gour, J.; Beer, S.; Paul, P.; Alberucci, A.; Steinert, M.; Szeghalmi, A.; Siefke, T.; Peschel, U.; Nolte, S.; Zeitner, U.D. Wafer-scale nanofabrication of sub-5 nm gaps in plasmonic metasurfaces. Nanophotonics 2024, 13, 4191–4202. [Google Scholar] [CrossRef] [PubMed]
  3. Chen, Y.; Shu, Z.; Zhang, S.; Zeng, P.; Liang, H.; Zheng, M.; Duan, H. Sub-10 nm fabrication: Methods and applications. Int. J. Extrem. Manuf. 2021, 3, 032002. [Google Scholar] [CrossRef]
  4. Perego, M. Focus on sub-10 nm nanofabrication. Nanotechnology 2018, 29, 260201. [Google Scholar] [CrossRef] [PubMed]
  5. Gorges, S.; Hesse, S.; Schäffel, C.; Ortlepp, I.; Manske, E.; Langlotz, E.; Dontsov, D. Integrated planar 6-DOF nanopositioning system. IFAC-PapersOnLine 2019, 52, 313–318. [Google Scholar] [CrossRef]
  6. Hesse, S.; Schäffel, C.; Mohr, H.U.; Katzschmann, M.; Büchner, H.J. Design and performance evaluation of an interferometric controlled planar nanopositioning system. Meas. Sci. Technol. 2012, 23, 074011. [Google Scholar] [CrossRef]
  7. Sreeja, C.; Godwinraj, D. Robust Control of Precision Nano-Positioning System for Microsurgical Applications. In Proceedings of the International Conference on ICT for Digital, Smart, and Sustainable Development, New Delhi, India, 22–23 April 2024; Springer: Singapore, 2024; pp. 493–505. [Google Scholar]
  8. Basson, N.; Peng, C.H.S.; Geoghegan, P.; van der Lecq, T.; Steven, D.; Williams, S.; Lim, A.E.; Ho, W.H. A computational fluid dynamics investigation of endothelial cell damage from glaucoma drainage devices. Sci. Rep. 2024, 14, 3777. [Google Scholar] [CrossRef] [PubMed]
  9. Gorges, S.; Leistritz, B.; Hesse, S.; Ortlepp, I.; Slotta, G.; Schäffel, C. Development of an integrated guiding and actuation element for high dynamic nanopositioning systems. In Proceedings of the 59th Ilmenau Scientific Colloquium, Ilmenau, Germany, 11–15 September 2017. [Google Scholar]
  10. Gorges, S. A Lifting and Actuating Unit for a Planar Nanoprecision Drive System. Ph.D. Thesis, Technische Universität Ilmenau, Ilmenau, Germany, 2020. [Google Scholar]
  11. He, Y.X.; Lin, R.W.; Li, R.J.; Li, J.; Cheng, Z.Y.; Pan, Q.S.; Huang, Q.X.; Fan, K.C. Nanopositioning X–Y stage with an embedded Six-DOF error compensation system based on Abbe and Bryan principles. Measurement 2024, 227, 114218. [Google Scholar] [CrossRef]
  12. Moers, A.; van Riel, M.C.; Bos, E.J. Design and Verification of the Trinano Ultra Precision CMM; Universitätsbibliothek: Ilmenau, Germany, 2011. [Google Scholar]
  13. Ro, S.K.; Park, J.K. A compact ultra-precision air bearing stage with 3-DOF planar motions using electromagnetic motors. Int. J. Precis. Eng. Manuf. 2011, 12, 115–119. [Google Scholar] [CrossRef]
  14. Yagüe-Fabra, J.A.; Gao, W.; Archenti, A.; Morse, E.; Donmez, A. Scalability of precision design principles for machines and instruments. CIRP Ann. 2021, 70, 659–680. [Google Scholar] [CrossRef]
  15. Schellekens, P.; Rosielle, N.; Vermeulen, H.; Vermeulen, M.; Wetzels, S.; Pril, W. Design for precision: Current status and trends. Cirp Ann. 1998, 47, 557–586. [Google Scholar] [CrossRef]
  16. Bryan, J.B. The Abbe principle revisited: An updated interpretation. Precis. Eng. 1979, 1, 129–132. [Google Scholar] [CrossRef]
  17. Seggelen, J. NanoCMM; A 3D Coordinate Measuring Machine with Low Moving Mass for Measuring Small Products in Array with Nanometer Uncertainty. Ph.D. Thesis, Eindhoven University of Technology, Eindhoven, The Netherlands, 2007. [Google Scholar]
  18. Vermeulen, M.M.P.A.; Rosielle, P.; Schellekens, P. Design of a high-precision 3D-coordinate measuring machine. Cirp Ann. 1998, 47, 447–450. [Google Scholar] [CrossRef]
  19. Hesse, S.; Schäffel, C.; Katzschmann, M.; Maaß, T.; Mohr, H. Planar motor concept for positioning with nanometer position uncertainty. In Proceedings of the 10th International Conference of the European Society for Precision Engineering and Nanotechnology, Zürich, Switzerland, 18–22 May 2008; pp. 150–154. [Google Scholar]
  20. Manske, E.; Fröhlich, T.; Füßl, R.; Ortlepp, I.; Mastylo, R.; Blumröder, U.; Dontsov, D.; Kühnel, M.; Köchert, P. Progress of nanopositioning and nanomeasuring machines for cross-scale measurement with sub-nanometre precision. Meas. Sci. Technol. 2020, 31, 085005. [Google Scholar] [CrossRef]
  21. Jäger, G.; Hausotte, T.; Manske, E.; Büchner, H.J.; Mastylo, R.; Dorozhovets, N.; Hofmann, N. Nanomeasuring and nanopositioning engineering. Measurement 2010, 43, 1099–1105. [Google Scholar] [CrossRef]
  22. Manske, E.; Jäger, G.; Hausotte, T.; Füßl, R. Recent developments and challenges of nanopositioning and nanomeasuring technology. Meas. Sci. Technol. 2012, 23, 074001. [Google Scholar] [CrossRef]
  23. Ortlepp, I.; Fröhlich, T.; Füßl, R.; Reger, J.; Schäffel, C.; Sinzinger, S.; Strehle, S.; Theska, R.; Zentner, L.; Zöllner, J.P.; et al. Tip-and laser-based 3D nanofabrication in extended macroscopic working areas. Nanomanuf. Metrol. 2021, 4, 132–148. [Google Scholar] [CrossRef]
  24. Fern, F.; Fuessl, R.; Manske, E.; Schienbein, R.; Theska, R.; Ortlepp, I.; Leineweber, J. Measurement uncertainty analysis on a five-axis nano coordinate measuring machine NMM-5D following a vectorial approach. TM-Tech. Mess. 2021, 88, 61–70. [Google Scholar] [CrossRef]
  25. Stauffenberg, J.; Ortlepp, I.; Belkner, J.; Dontsov, D.; Langlotz, E.; Hesse, S.; Rangelow, I.; Manske, E. Measurement precision of a planar nanopositioning machine with a range of motion of Ø100 mm. Appl. Sci. 2022, 12, 7843. [Google Scholar] [CrossRef]
  26. Stauffenberg, J.; Reibe, M.; Krötschl, A.; Reuter, C.; Ortlepp, I.; Dontsov, D.; Hesse, S.; Rangelow, I.W.; Strehle, S.; Manske, E. Tip-based nanofabrication below 40 nm combined with a nanopositioning machine with a movement range of Ø100 mm. Micro Nano Eng. 2023, 19, 100201. [Google Scholar] [CrossRef]
  27. SIOS GmbH. 2025. Available online: https://www.sios-precision.com/en/products/nanopositioning-and-nanomeasuring-machine/nanopositioning-platform (accessed on 7 May 2025).
  28. Hesse, S.; Huaman, A.; Katzschmann, M.; Leistritz, B.; Herzog, L. NPS6D200—A Long Range Nanopositioning Stage with 6D Closed Loop Control. Appl. Sci. 2024, 14, 6972. [Google Scholar] [CrossRef]
  29. Hesse, S.; Katzschmann, M.; Huaman, A.; Brasil, D.; Herzog, L. NPS6D200-Realization of high precision long stroke vertical actuation in conjunction with a planar direct drive. In Proceedings of the EUSPEN Special Interest Group Meeting on Precision Motion Systems & Control, Hertogenbosch, The Netherlands, 12–13 November 2024. [Google Scholar]
  30. Huaman, A.S. Highly Dynamic Nanopositioning: A Robust Adaptive Control Approach. Ph.D. Thesis, Technische Universität Ilmenau, Ilmenau, Germany, 2024. [Google Scholar]
  31. Seminario, R.; Schmitt, C.; Weise, C.; Reger, J. Control of an overactuated nanopositioning system with hysteresis by means of control allocation. In Proceedings of the 2022 IEEE 17th International Conference on Advanced Motion Control (AMC), Padova, Italy, 18–20 February 2022; pp. 280–287. [Google Scholar]
  32. Huaman, A.S.; Reger, J. Robust Tracking Control with L1 Adaptive Augmentation for a Long-Stroke Vertical Nanopositioning System: Part I. In Proceedings of the 2022 IEEE Conference on Control Technology and Applications (CCTA), Trieste, Italy, 23–25 August 2022; pp. 614–620. [Google Scholar]
  33. Huaman, A.S.; Reger, J. Robust Tracking Control with L1 Adaptive Augmentation for a Long-Stroke Vertical Nanopositioning System: Part II. In Proceedings of the 2022 IEEE Conference on Control Technology and Applications (CCTA), Trieste, Italy, 23–25 August 2022; pp. 621–627. [Google Scholar]
  34. Huaman, A.S.; Reger, J. Robust Adaptive Tracking Control of a 3D Vertical Motion System for Nanometer Precision Applications. IFAC-PapersOnLine 2023, 56, 5332–5339. [Google Scholar] [CrossRef]
  35. Fleming, A.J.; Leang, K.K. Design, Modeling and Control of Nanopositioning Systems; Springer: Cham, Switzerland, 2014; Volume 15. [Google Scholar]
  36. Ru, C.; Liu, X.; Sun, Y. Nanopositioning technologies. In Fundamentals and Applications; Springer: Cham, Switzerland, 2016. [Google Scholar]
  37. Huaman, A.S.; Reger, J. Disturbance Rejection in Periodic Motion with Enhanced Constant Velocity Transitions via Adaptive Augmentation. In Proceedings of the 2025 IEEE International Conference on Mechatronics (ICM), Wollongong, Australia, 28 February–2 March 2025; pp. 1–6. [Google Scholar]
Figure 1. NPS6D100 nanopositioning system (top view). Components: 1. granite stator, 2. granite portal with probe mount interface, 3. lifting module LAU10, 4. laser interferometer, 5. Zerodur slider with mirrors, 6. coils of the planar direct drive (fixed to the stator), and 7. magnets of the planar direct drive (moving with the slider). (a) Photograph of the NPS6D100. (b) Schematic of the NPS6D100.
Figure 1. NPS6D100 nanopositioning system (top view). Components: 1. granite stator, 2. granite portal with probe mount interface, 3. lifting module LAU10, 4. laser interferometer, 5. Zerodur slider with mirrors, 6. coils of the planar direct drive (fixed to the stator), and 7. magnets of the planar direct drive (moving with the slider). (a) Photograph of the NPS6D100. (b) Schematic of the NPS6D100.
Actuators 14 00361 g001
Figure 2. Lifting and actuating module LAU10. Components: 1. air bushing as vertical guiding, 2. voice coil actuator, magnet (fixed), 3. pressure chamber of pneumatic weight force compensation, 4. moving part (mounted to the slider), 5. encoder measurement system, 6. voice coil actuator, coil (moving), and 7. planar air bearing. (a) LAU10 sectional view [10]. (b) Photograph of the LAU10.
Figure 2. Lifting and actuating module LAU10. Components: 1. air bushing as vertical guiding, 2. voice coil actuator, magnet (fixed), 3. pressure chamber of pneumatic weight force compensation, 4. moving part (mounted to the slider), 5. encoder measurement system, 6. voice coil actuator, coil (moving), and 7. planar air bearing. (a) LAU10 sectional view [10]. (b) Photograph of the LAU10.
Actuators 14 00361 g002
Figure 3. Control structure of the NPS6D100. Signals with subscripts ( · ) p and ( · ) v refer to planar and vertical quantities, respectively. Signals with superscript ( · ) * indicate target values [30].
Figure 3. Control structure of the NPS6D100. Signals with subscripts ( · ) p and ( · ) v refer to planar and vertical quantities, respectively. Signals with superscript ( · ) * indicate target values [30].
Actuators 14 00361 g003
Figure 4. Control strategy for a single axis, where y s p is the setpoint [mm or arcsec], y is the measured output [mm or arcsec], e is the error [mm or arcsec], and u is the control signal [N or Nm].
Figure 4. Control strategy for a single axis, where y s p is the setpoint [mm or arcsec], y is the measured output [mm or arcsec], e is the error [mm or arcsec], and u is the control signal [N or Nm].
Actuators 14 00361 g004
Figure 5. Measured FRFs of the translational DOFs (x, y, z). (a) FRF of the x and y axes. (b) FRF of the z-axis.
Figure 5. Measured FRFs of the translational DOFs (x, y, z). (a) FRF of the x and y axes. (b) FRF of the z-axis.
Actuators 14 00361 g005
Figure 6. Open-loop FRFs of the translational DOFs (x, y, z). (a) Open-loop FRF of the x and y axes. (b) Open-loop FRF of the z-axis.
Figure 6. Open-loop FRFs of the translational DOFs (x, y, z). (a) Open-loop FRF of the x and y axes. (b) Open-loop FRF of the z-axis.
Actuators 14 00361 g006
Figure 7. Time series in closed loop control at constant setpoint. RMS servo error: e x = 0.54   n m , e y = 0.59   n m , e z = 0.47   n m , φ x = 13.65   m , φ y = 17.97   m , and φ z = 3.01   m .
Figure 7. Time series in closed loop control at constant setpoint. RMS servo error: e x = 0.54   n m , e y = 0.59   n m , e z = 0.47   n m , φ x = 13.65   m , φ y = 17.97   m , and φ z = 3.01   m .
Actuators 14 00361 g007
Figure 8. RMS servo error variation within the planar travel range at z = 5   m m . (a) x y servo error (RMS) in nm. (b) z servo error. (RMS) in nm.
Figure 8. RMS servo error variation within the planar travel range at z = 5   m m . (a) x y servo error (RMS) in nm. (b) z servo error. (RMS) in nm.
Actuators 14 00361 g008
Figure 9. RMS servo error variation within vertical travel range measured at ( x , y ) = ( 0 , 0 )   m m . (blue)— e x , (red)— e y , (black)— e z .
Figure 9. RMS servo error variation within vertical travel range measured at ( x , y ) = ( 0 , 0 )   m m . (blue)— e x , (red)— e y , (black)— e z .
Actuators 14 00361 g009
Figure 10. Nanometer staircase exercise in x-, y-, and z-directions (from left to right). Blue—raw data traced with 10   k Hz ; red—filtered data (4th order Chebyshev low pass, 40   Hz cutoff frequency). (a) Steps in x-axis. (b) Steps in y-axis. (c) Steps in z-axis.
Figure 10. Nanometer staircase exercise in x-, y-, and z-directions (from left to right). Blue—raw data traced with 10   k Hz ; red—filtered data (4th order Chebyshev low pass, 40   Hz cutoff frequency). (a) Steps in x-axis. (b) Steps in y-axis. (c) Steps in z-axis.
Actuators 14 00361 g010
Figure 11. The 3D motion exercise with a Ø 40   n m × 9   n m helix. (Left)—plot of the 3D position signals; (right)—servo error time series in the 6 DOFs during trajectory motion. (a) Isometric view. (b) Time series of each DOF.
Figure 11. The 3D motion exercise with a Ø 40   n m × 9   n m helix. (Left)—plot of the 3D position signals; (right)—servo error time series in the 6 DOFs during trajectory motion. (a) Isometric view. (b) Time series of each DOF.
Actuators 14 00361 g011
Table 1. Comparison of similar nanopositioning systems.
Table 1. Comparison of similar nanopositioning systems.
 
 
NPS6D100
 
NPS6D200
 
NFM-100
NPP-1
Planar travel rangeØ100 m m Ø200 m m Ø100 m m
Vertical travel range10 m m 25 m m
Closed loop control
Active DOF
6D
x , y , z , φ x , φ y , φ z
6D
x , y , z , φ x , φ y , φ z
3D
x , y , φ z
Lifting modulesLAU10 [10]LAU25 [28]
Planar coil fixation
 
Fixed
 
Coil lift
functionality
Fixed
 
Measurement
configuration
 
 
Cartesian plane
mirrors
Single and double
beam LIF (SP2000)
120 ° triangular
plane mirrors
Differential
LIF (SP5000 DI)
120 ° triangular
plane mirrors
Differential
LIF (SP5000 DI)
Table 2. Key parameters of the NPS6D100 nanopositioning system.
Table 2. Key parameters of the NPS6D100 nanopositioning system.
ParameterValue
Planar travel range ( x , y ) Ø 100   m m
Vertical travel range ( z ) 10   m m
Maximum planar velocity 1 50   m m / s
Maximum vertical velocity 2   m m / s
Maximum acceleration 250   m m / s 2
Moving mass (slider) 10   k g
Maximum payload 2   k g
Overall system dimensions 800   m m × 700   m m × 600   m m
1  This is the current maximum velocity setting. It may be increased if required.
Table 3. Measurement resolution of the feedback system.
Table 3. Measurement resolution of the feedback system.
ParameterValue
Resolution in x, y, z 20   p m
Resolution in φ x , φ y 40   nrad
Resolution in φ z 0.8   nrad
Table 4. Controller gains for all six closed-loop systems.
Table 4. Controller gains for all six closed-loop systems.
Gainx-Axisy-Axis φ z -Axisz-Axis φ x -Axis φ y -Axis
K p [ N / m m , N m / ] 663.63 663.63 0.0056 663.63 0.0038 0.0038
K i [ rad / s ] 201.06 201.06 62.832 201.06 62.832 62.832
K d [ s / rad ] 0.0145 0.0145 0.0159 0.0145 0.0159 0.0159
ω d [ rad / s ] 2513.3 2513.3 1570.8 2513.3 1570.8 1570.8
Table 5. Robustness metrics for all six closed-loop systems.
Table 5. Robustness metrics for all six closed-loop systems.
Specificationsx-Axisy-Axis φ z -Axisz-Axis φ x -Axis φ y -Axis
Gain margin 12.5   dB 12.1   dB 10.2   dB 15.6   dB 11.1   dB 11.7   dB
Phase margin 56.5 ° 56.4 ° 64.9 ° 53.3 ° 54.6 ° 56.6 °
Bandwidth 121.8 Hz 113.2 Hz 104.9 Hz 139.4 Hz 101.2 Hz 102.3 Hz
Table 6. Summarized results of helix trajectory-tracking exercises.
Table 6. Summarized results of helix trajectory-tracking exercises.
Commanded
Helix Path
RMS Servo ErrorsRMS Currents
(Planar Coils)
RMS Currents
(Lifting Modules)
Ø 40   n m × 9   n m
v = 14.5   n m / s
e x = 0.59   n m
e y = 0.63   n m
e z = 0.40   n m
i A = 32.44   m A
i B = 46.45   m A
i C = 1.77   m A
i 1 = 2.41   m A
i 2 = 2.39   m A
i 3 = 2.09   m A
Ø 40   μ m × 9   μ m
v = 14.5   μ m / s
e x = 0.89   n m
e y = 1.44   n m
e z = 0.44   n m
i A = 35.22   m A
i B = 47.17   m A
i C = 3.27   m A
i 1 = 2.56   m A
i 2 = 2.41   m A
i 3 = 2.12   m A
Ø 40   m m × 9   m m
v = 14.5   m m / s
e x = 1.54   n m
e y = 1.89   n m
e z = 2.71   n m
i A = 47.39   m A
i B = 62.54   m A
i C = 71.59   m A
i 1 = 70.54   m A
i 2 = 67.60   m A
i 3 = 73.99   m A
Disclaimer/Publisher’s Note: The statements, opinions and data contained in all publications are solely those of the individual author(s) and contributor(s) and not of MDPI and/or the editor(s). MDPI and/or the editor(s) disclaim responsibility for any injury to people or property resulting from any ideas, methods, instructions or products referred to in the content.

Share and Cite

MDPI and ACS Style

Hesse, S.; Huaman, A.; Katzschmann, M.; Herzog, L. NPS6D100—A 6D Nanopositioning System with Sub-10 nm Performance in a Ø100 mm × 10 mm Workspace. Actuators 2025, 14, 361. https://doi.org/10.3390/act14080361

AMA Style

Hesse S, Huaman A, Katzschmann M, Herzog L. NPS6D100—A 6D Nanopositioning System with Sub-10 nm Performance in a Ø100 mm × 10 mm Workspace. Actuators. 2025; 14(8):361. https://doi.org/10.3390/act14080361

Chicago/Turabian Style

Hesse, Steffen, Alex Huaman, Michael Katzschmann, and Ludwig Herzog. 2025. "NPS6D100—A 6D Nanopositioning System with Sub-10 nm Performance in a Ø100 mm × 10 mm Workspace" Actuators 14, no. 8: 361. https://doi.org/10.3390/act14080361

APA Style

Hesse, S., Huaman, A., Katzschmann, M., & Herzog, L. (2025). NPS6D100—A 6D Nanopositioning System with Sub-10 nm Performance in a Ø100 mm × 10 mm Workspace. Actuators, 14(8), 361. https://doi.org/10.3390/act14080361

Note that from the first issue of 2016, this journal uses article numbers instead of page numbers. See further details here.

Article Metrics

Back to TopTop