Sign in to use this feature.

Years

Between: -

Subjects

remove_circle_outline
remove_circle_outline
remove_circle_outline
remove_circle_outline
remove_circle_outline
remove_circle_outline
remove_circle_outline
remove_circle_outline
remove_circle_outline

Journals

remove_circle_outline
remove_circle_outline
remove_circle_outline
remove_circle_outline
remove_circle_outline
remove_circle_outline
remove_circle_outline
remove_circle_outline
remove_circle_outline
remove_circle_outline

Article Types

Countries / Regions

remove_circle_outline
remove_circle_outline
remove_circle_outline
remove_circle_outline
remove_circle_outline
remove_circle_outline
remove_circle_outline

Search Results (1,530)

Search Parameters:
Keywords = msRNA

Order results
Result details
Results per page
Select all
Export citation of selected articles as:
29 pages, 43421 KB  
Article
From Microbiota to Metabolomics: How Corylus heterophylla Fisch. Male Flower Extract Shields Mice from Cognitive Decline
by Wei Lu, Yujie Li, Xinyuan Liao, Han Hu, Bolin Zhang, Lisong Liang and Haina Gao
Nutrients 2025, 17(24), 3958; https://doi.org/10.3390/nu17243958 - 18 Dec 2025
Abstract
Background/Objectives: Emerging evidence suggests that hippocampal neuroinflammation (HNF) drives cognitive decline via dysregulation of the microbiota-gut-brain axis. Corylus heterophylla Fisch. male flower extract (CFE), a flavonoid-rich by-product of hazelnut processing, presents a promising yet unexplored neuroprotective candidate. This study investigated the preventive effects [...] Read more.
Background/Objectives: Emerging evidence suggests that hippocampal neuroinflammation (HNF) drives cognitive decline via dysregulation of the microbiota-gut-brain axis. Corylus heterophylla Fisch. male flower extract (CFE), a flavonoid-rich by-product of hazelnut processing, presents a promising yet unexplored neuroprotective candidate. This study investigated the preventive effects and mechanisms of CFE against HNF-induced cognitive decline. Methods: In the present study, mice were pretreated with CFE (200 mg/kg) before the Lipopolysaccharide (LPS) administration. Cognitive function, inflammation, core pathology, neuroplasticity, gut microbiota and serum metabolites were assessed. The chemical composition of CFE was analyzed by UHPLC-MS and its direct immunomodulatory effects were investigated in BV2 cells. Results: Behavioral assessments demonstrated significant therapeutic efficacy. This was evidenced by the recovery from hippocampal damage, accompanied by reduced levels of core pathological markers (Aβ1–42, Tau, p-Tau (Ser404), GSK-3β), decreased expression of pro-inflammatory mediators including IL-33, elevated levels of neurotrophic factors (BDNF and MAP2), and attenuated abnormal activation of astrocytes and microglia. The 16S rRNA analysis confirmed that CFE ameliorated gut microbial dysbiosis. Notably, CFE significantly increased the relative abundance of Muribaculaceae and Lachnospiraceae, while significantly decreased Staphylococcus and Helicobacter. Metabolomics revealed enhanced levels of α-linolenic acid (ALA), serotonin (5-HT) and acetic acid, which correlated positively with Muribaculaceae and Lachnospiraceae. Phytochemical analysis identified luteolin and kaempferol as the predominant flavonoids in CFE. In BV2 cells, CFE, luteolin and kaempferol shifted microglial polarization from the M1 phenotype toward the M2 phenotype. Conclusions: CFE alleviated HNF-induced cognitive decline by regulating microbiota-gut-brain axis and microglial M1/M2 polarization. Full article
(This article belongs to the Special Issue Effects of Plant Extracts on Human Health—2nd Edition)
Show Figures

Figure 1

20 pages, 4326 KB  
Article
Overexpression of ITGB3 in Peripheral Blood Mononuclear Cells of Relapsing-Remitting Multiple Sclerosis Patients
by Giselle Berenice Vela Sancho, Ricardo E. Buendia-Corona, María Paulina Reyes-Mata, Mario Alberto Mireles-Ramírez, Christian Griñán-Ferré, Mercè Pallàs, Ana Laura Márquez-Aguirre, Lenin Pavon, Oscar Arias-Carrión, José de Jesús Guerrero-García and Daniel Ortuño-Sahagún
Int. J. Mol. Sci. 2025, 26(24), 12094; https://doi.org/10.3390/ijms262412094 - 16 Dec 2025
Abstract
Multiple sclerosis (MS), the most prevalent chronic inflammatory, demyelinating and neurodegenerative disease of the central nervous system in young adults, exhibits marked sexual dimorphism, with a 3:1 female-to-male ratio, but more severe symptoms and greater neurological damage in males. Increasing attention has focused [...] Read more.
Multiple sclerosis (MS), the most prevalent chronic inflammatory, demyelinating and neurodegenerative disease of the central nervous system in young adults, exhibits marked sexual dimorphism, with a 3:1 female-to-male ratio, but more severe symptoms and greater neurological damage in males. Increasing attention has focused on identifying circulating molecules that reflect inflammatory activity within the central nervous system and could clarify the mechanisms underlying MS. Pleiotrophin (PTN), a cytokine implicated in autoimmune and neurological diseases, is significantly elevated in patients with relapsing-remitting MS (RRMS). To explore the potential contribution of PTN and its receptors to neuroinflammatory signaling, we quantified the mRNA expression of PTN receptors in peripheral blood mononuclear cells from RRMS patients compared to untreated RRMS patients and healthy control subjects. We further performed an in silico molecular docking and molecular dynamics analysis to assess the possible functional significance of PTN-receptor interactions. Our results show a significant overexpression of integrin subunit beta-3 (ITGB3) mRNA in peripheral blood mononuclear cells from RRMS patients compared to healthy control subjects. Molecular docking shows that PTN could binds to the metal ion-dependent adhesion site domain of ITGB3 via Mg2+/Ca2+-mediated stabilization and has a higher binding affinity than fibrinogen, the canonical endogenous ligand. These findings suggest that ITGB3 could be a dynamically regulated integrin receptor in RRMS that may participate in PTN-driven neuroinflammatory pathways in peripheral blood immune cells, influenced by disease stage, sex, and immunotherapy. While our results support the biological plausibility of PTN–ITGB3 engagement, they remain hypothesis-generating and require functional validation. The integration of molecular expression data and computational modeling underscores the potential involvement of ITGB3 as a possible participant in MS and warrants further investigation of its clinical and mechanistic role. Full article
(This article belongs to the Special Issue Insights in Multiple Sclerosis (MS) and Neuroimmunology: 2nd Edition)
Show Figures

Figure 1

22 pages, 6432 KB  
Article
Minerals as Windows into Habitability on Lava Tube Basalts: A Biogeochemical Study at Lava Beds National Monument, CA
by Dina M. Bower, Amy C. McAdam, Clayton S. C. Yang, Feng Jin, Maeva Millan, Clara Christiann, Mathilde Mussetta, Christine Knudson, Jamielyn Jarvis, Sarah Johnson, Zachariah John, Catherine Maggiori, Patrick Whelley and Jacob Richardson
Minerals 2025, 15(12), 1303; https://doi.org/10.3390/min15121303 - 14 Dec 2025
Viewed by 145
Abstract
Lava tubes on Earth provide unique hydrogeological niches for life to proliferate. Orbital observations of the Martian surface indicate the presence of lava tubes, which could hold the potential for extant life or the preservation of past life within a subsurface environment protected [...] Read more.
Lava tubes on Earth provide unique hydrogeological niches for life to proliferate. Orbital observations of the Martian surface indicate the presence of lava tubes, which could hold the potential for extant life or the preservation of past life within a subsurface environment protected from harsh conditions or weathering at the surface. Secondary minerals in lava tubes form as a combination of abiotic and biotic processes. Microbes colonize the surfaces rich in these secondary minerals, and their actions induce further alteration of the mineral deposits and host basalts. We conducted a biogeochemical investigation of basaltic lava tubes in the Medicine Lake region of northern California by characterizing the compositional variations in secondary minerals, organic compounds, microbial communities, and the host rocks to better understand how their biogeochemical signatures could indicate habitability. We used methods applicable to landed Mars missions, including Raman spectroscopy, X-ray diffraction (XRD), Laser-Induced Breakdown Spectroscopy (LIBS), and gas chromatography–mass spectrometry (GC-MS), along with scanning electron microscopy (SEM) and metagenomic DNA/RNA sequencing. The main secondary minerals, amorphous silicates, and calcite, formed abiotically from the cave waters. Two types of gypsum, large euhedral grains with halites, and cryptocrystalline masses near microbial material, were observed in our samples, indicating different formation pathways. The cryptocrystalline gypsum, along with clay minerals, was associated with microbial materials and biomolecular signatures among weathered primary basalt minerals, suggesting that their formation was related to biologic processes. Some of the genes and pathways observed indicated a mix of metabolisms, including those involved in sulfur and nitrogen cycling. The spatial relationships of microbial material, Cu-enriched hematite in the host basalts, and genetic signatures indicative of metal cycling also pointed to localized Fe oxidation and mobilization of Cu by the microbial communities. Collectively these results affirm the availability of bio-essential elements supporting diverse microbial populations on lava tube basalts. Further work exploring these relationships in lava tubes is needed to unravel the intertwined nature of abiotic and biotic interactions and how that affects habitability in these environments on Earth and the potential for life on Mars. Full article
(This article belongs to the Special Issue Exploring Novel Interactions Between Microbes and Minerals)
Show Figures

Figure 1

15 pages, 902 KB  
Article
Cytotoxic Curvalarol C and Other Compounds from Marine Fungus Asteromyces cruciatus KMM 4696
by Liliana E. Nesterenko, Ekaterina A. Yurchenko, Olesya I. Zhuravleva, Galina K. Oleinikova, Natalya N. Kirichuk, Roman S. Popov, Viktoria E. Chausova, Konstantin A. Drozdov, Ekaterina A. Chingizova, Marina P. Isaeva and Anton N. Yurchenko
Molecules 2025, 30(24), 4772; https://doi.org/10.3390/molecules30244772 - 14 Dec 2025
Viewed by 158
Abstract
The present study aimed to isolate new specialized metabolites from the obligate marine fungus Asteromyces cruciatus KMM 4696. The strain KMM 4696 was identified based on the 28S rRNA, ITS, and TEF1 molecular genetic markers. Chromatographic separation of the fungal extract obtained from [...] Read more.
The present study aimed to isolate new specialized metabolites from the obligate marine fungus Asteromyces cruciatus KMM 4696. The strain KMM 4696 was identified based on the 28S rRNA, ITS, and TEF1 molecular genetic markers. Chromatographic separation of the fungal extract obtained from KI-containing nutrient media cultivation led to the isolation of undescribed pentanorlanostanes curvalarols C (1) and D (2), as well as an undescribed 6/6/5 anthraquinone acruciquinone D (3), along with eight known metabolites. The structures of the isolated compounds were established based on 1D and 2D NMR and MS data. The cytotoxic activity of curvalarol C (1) was assessed in MCF-10A and MCF-7 cells. Curvalarol C exhibited selective activity against cancer MCF-7 cells and inhibiting colony formation with an IC50 of 4.7 µM. Full article
Show Figures

Figure 1

22 pages, 3714 KB  
Article
ALKBH1L Is an m6A Demethylase and Mediates PVY Infection in Nicotiana benthamiana Through m6A Modification
by Jue Zhou, Shuocong Sun, Jingtao Yuan, Li Dong, Xinhua Wang, Chenchen Jing, Muhammad Amjad Nawaz, Ruimin Tang, Hui Cao, Bihua Nie and Xue Feng
Plants 2025, 14(24), 3796; https://doi.org/10.3390/plants14243796 - 13 Dec 2025
Viewed by 160
Abstract
N6-methyladenosine (m6A), the most prevalent internal mRNA modification in eukaryotes, is also present in plants and is known to influence plant–virus interactions. However, its specific role in regulating Potato virus Y (PVY; Potyvirus yituberosi) infection, a major pathogen [...] Read more.
N6-methyladenosine (m6A), the most prevalent internal mRNA modification in eukaryotes, is also present in plants and is known to influence plant–virus interactions. However, its specific role in regulating Potato virus Y (PVY; Potyvirus yituberosi) infection, a major pathogen of potatoes, remains unclear. This study identified 16 potential m6A regulator genes in Nicotiana benthamiana through homology screening of Arabidopsis thaliana AlkB family members. Based on expression profiles in leaves at various developmental stages and following PVY infection, NbALKBH1L was selected for further analysis. Enzyme assays confirmed its m6A demethylase activity. Experiments with NbALKBH1L mutants, using RT-qPCR and m6A-IP-qPCR, demonstrated that it regulates PVY infection via the m6A pathway. Further investigation revealed that NbALKBH1L interacts with the PVY-encoded cylindrical inclusion (CI) protein. An interaction network constructed through immunoprecipitation–mass spectrometry (IP-MS) and RNA sequencing (RNA-seq) suggested that NbALKBH1L may serve as a central node in plant antiviral immunity, potentially linking metabolic processes with the regulation of viral infection. In summary, this study advances our understanding of plant m6A modifications in antiviral defense and provides valuable insights for future antiviral breeding strategies. Full article
Show Figures

Figure 1

25 pages, 1353 KB  
Article
Testosterone and Long-Pulse-Width Stimulation (TLPS) on Denervated Muscles and Cardio-Metabolic Risk Factors After Spinal Cord Injury: A Pilot Randomized Trial
by Ashraf S. Gorgey, Refka E. Khalil, Ahmad Alazzam, Ranjodh Gill, Jeannie Rivers, Deborah Caruso, Ryan Garten, James T. Redden, Michael J. McClure, Teodoro Castillo, Lance Goetz, Qun Chen, Edward J. Lesnefsky and Robert A. Adler
Cells 2025, 14(24), 1974; https://doi.org/10.3390/cells14241974 - 11 Dec 2025
Viewed by 180
Abstract
Background: Long pulse width stimulation (LPWS; 120–150 ms) has the potential to stimulate denervated muscles in persons with spinal cord injury (SCI). We examined whether testosterone treatment (TT) + LPWS would increase skeletal muscle size, leg lean mass and improve overall metabolic health [...] Read more.
Background: Long pulse width stimulation (LPWS; 120–150 ms) has the potential to stimulate denervated muscles in persons with spinal cord injury (SCI). We examined whether testosterone treatment (TT) + LPWS would increase skeletal muscle size, leg lean mass and improve overall metabolic health in SCI persons with denervation. We hypothesized that one year of combined TT + LPWS would downregulate gene expression of muscle atrophy and upregulate gene expression of muscle hypertrophy and increase mitochondrial health in SCI persons with lower motor neuron (LMN) injury. Methods: Ten SCI participants with chronic LMN injury were randomized into either 12 months, twice weekly, of TT + LPWS (n = 5) or a TT+ standard neuromuscular electrical stimulation (NMES; n = 5). Measurements were conducted at baseline (week 0), 6 months following training (post-intervention 1), and one week following 12 months of training (post-intervention 2). Measurements included body composition assessment using magnetic resonance imaging (MRI) and dual x-ray absorptiometry (DXA). Metabolic profile assessment encompassed measurements of resting metabolic rate, carbohydrate and lipid profiles. Finally, muscle biopsy was captured to measure RNA signaling pathways and mitochondrial oxidative phosphorylation. Results: Compliance and adherence were greater in the TT + NMES compared to the TT + LPWS group. There was a 25% increase in the RF muscle CSA following P1 measurement in the TT + LPWS group. There was a recognizable non-significant decrease in intramuscular fat in both groups. There was a trend (p = 0.07) of decrease in trunk fat mass following TT + LPWS, with an interaction (p = 0.037) in android lean mass between groups. There was a trend (p = 0.08) in mean differences in DXA-visceral adipose tissue (VAT) between groups at P1 measurements. For genes targeting muscle atrophy, TT + LPWS showed a trending decline in MURF1 and FOXO3 genes returning to similar levels as TT + NMES before 12 months. Conclusions: These pilot data demonstrated the safety of applying LPWS in persons with SCI. Six months of TT + LPWS demonstrated increases in rectus femoris muscle CSA. The effects on muscle size were modest between groups. Signaling pathway analysis suggested downregulation of genes involved in muscle atrophy pathways. Future clinical trials may consider a home-based approach with more frequent applications of LPWS. Full article
Show Figures

Figure 1

20 pages, 4710 KB  
Article
Integrated Analysis of Transcriptome and Metabolome Provides Insights into Phenylpropanoid Biosynthesis of Blueberry Leaves in Response to Low-Temperature Stress
by Sijin Jia, Yuanjing Li, Xinghua Feng, Yan Song, Yanyu Liu, Jiayao An, Mingzheng Wen, Chunyu Zhang and Lianxia Zhou
Horticulturae 2025, 11(12), 1495; https://doi.org/10.3390/horticulturae11121495 - 10 Dec 2025
Viewed by 227
Abstract
The phenylpropanoid compounds are crucial secondary metabolites for blueberry plants. Low temperatures induce the expression of phenylpropanoid biosynthesis genes and regulate the accumulation of phenylpropanoid metabolites. However, the molecular mechanisms of blueberry leaves in response to low-temperature stress are unknown. To explore the [...] Read more.
The phenylpropanoid compounds are crucial secondary metabolites for blueberry plants. Low temperatures induce the expression of phenylpropanoid biosynthesis genes and regulate the accumulation of phenylpropanoid metabolites. However, the molecular mechanisms of blueberry leaves in response to low-temperature stress are unknown. To explore the molecular mechanisms of phenylpropanoid biosynthesis under low-temperature stress, the 6-month-old blueberry plants were cultured at 10 °C for 0, 6, 12, 24, and 48 h. The total of 16,388 differentially expressed genes (DEGs) and 303 differentially accumulated metabolites (DAMs) were identified by transcriptome deep sequencing (RNA-seq) and ultra-high performance liquid mass spectrometry, respectively. The most enriched low-temperature-responsive genes are mainly involved in the phenylpropanoid biosynthesis pathway and the main low-temperature-responsive metabolites come from the phenylpropanoid superclass based on transcriptome and metabolome data, respectively. CBF2 plays essential roles in the ICE-CBF-COR regulatory pathway, and transcription factors (TFs) ERF109, MYB14, WRKY40, HSP30, MPSR1, ZHD4, MADS3, and MADS27 might be responsible for blueberry leaf low-temperature tolerance. The MYB TFs from group 5, group 6, and group AtMYB5 may regulate the accumulation of phenylpropanoid metabolites by regulating expression of phenylpropanoid biosynthesis genes. These findings uncover possible molecular mechanisms of phenylpropanoid biosynthesis during low-temperature stress and provide a basis for future studies and crop improvement. Full article
Show Figures

Figure 1

22 pages, 4228 KB  
Article
Integrated Transcriptomic, Proteomic, and Network Pharmacology Analyses Unravel Key Therapeutic Mechanisms of Xuebijing Injection for Severe Acute Pancreatitis
by Linbo Yao, Xinmin Yang, Mei Yuan, Shiyu Liu, Qiqi Wang, Yongzi Wu, Wenjuan Luo, Xueying Wu, Wenhao Cai, Lan Li, Ziqi Lin, Juqin Yang, Tingting Liu, Robert Sutton, Peter Szatmary, Tao Jin, Qing Xia and Wei Huang
Pharmaceuticals 2025, 18(12), 1866; https://doi.org/10.3390/ph18121866 - 7 Dec 2025
Viewed by 252
Abstract
Background: Xuebijing Injection (XBJ), a plant-derived traditional Chinese medicine administered as an injection, is widely used in clinical practice to treat various acute critical illnesses including severe acute pancreatitis (SAP). The mechanisms by which XBJ alleviates SAP remain elusive. Methods: Active components of [...] Read more.
Background: Xuebijing Injection (XBJ), a plant-derived traditional Chinese medicine administered as an injection, is widely used in clinical practice to treat various acute critical illnesses including severe acute pancreatitis (SAP). The mechanisms by which XBJ alleviates SAP remain elusive. Methods: Active components of XBJ were identified using UPLC-QTOF/MS. A mouse SAP model was established by intraperitoneal injections of cerulein (50 μg/kg/h × 7) followed by lipopolysaccharide (10 mg/kg). XBJ of 2.5, 5, and 10 mL/kg was co-administered twice after induction of SAP. The protective effects of XBJ on pancreatic acinar cells were further investigated in vitro. An integrated analysis of transcriptomic data from human and mouse blood, as well as mouse lung, combined with network pharmacology were employed to delineate the therapeutic mechanisms of XBJ on SAP, followed by pancreatic immunoblotting and proteomics validation. Results: Component analysis revealed 9 active ingredients of XBJ. XBJ at 10 mL/kg had the best effect and consistently decreased pancreatic, lung, and circulatory pro-inflammatory indices. XBJ dose-dependently reduced necrotic cell death activation. Transcriptomics, proteomics and network pharmacology analyses identified 14 key targets, with IL-17-related signaling pathways being the most significant. Experimental validation further confirmed that XBJ significantly reduced serum levels of key IL-17-related inflammatory cytokines (such as IL-17, IL-1β, IL-6, and TNF-α) and downregulated the mRNA expression of related inflammatory factors in pancreatic tissue. Virtual docking and surface plasmon resonance demonstrate that hydroxysafflor yellow A had the highest binding affinity with MMP-9, MAPK14, and LCN2. Crucially, subsequent pancreatic immunoblotting and proteomics analyses did not confirm significant direct modulation of these targets at the protein level within pancreatic tissue. Conclusions: XBJ attenuates SAP severity by quelling pro-inflammatory mediators, an effect chiefly attributed to modulating systemic IL-17–related signaling rather than direct pancreatic intervention. Full article
(This article belongs to the Special Issue New and Emerging Treatment Strategies for Gastrointestinal Diseases)
Show Figures

Graphical abstract

20 pages, 2770 KB  
Article
Spatial Multi-Omics Analysis of the Qianqiu Goat Gut Microbiome and Metabolome
by Panpan Guo, Wenjuan Qin, Wencheng Song and Hongquan Chen
Int. J. Mol. Sci. 2025, 26(24), 11815; https://doi.org/10.3390/ijms262411815 - 7 Dec 2025
Viewed by 205
Abstract
This study profiled the rumen (RM), small intestine (SI), and large intestine (LI) of 24 samples collected from eight 6-month-old Qianqiu goats (body weight 28.40 ± 1.80 kg), with the samples equally divided into three groups. A combination of methods was used, including [...] Read more.
This study profiled the rumen (RM), small intestine (SI), and large intestine (LI) of 24 samples collected from eight 6-month-old Qianqiu goats (body weight 28.40 ± 1.80 kg), with the samples equally divided into three groups. A combination of methods was used, including 16S rRNA sequencing, untargeted liquid chromatography–mass spectrometry (LC-MS) metabolomics, Orthogonal Partial Least Squares Discriminant Analysis (OPLS-DA), Kyoto Encyclopedia of Genes and Genomes (KEGG) enrichment, and weighted gene co-expression network analysis-based module detection (WGCNA) with network integration. An uncommon composition of organisms dominated the SI: the hydrogenotrophic methanogens Methanobrevibacter (SI 24.51%; RM 1.92%; LI 2.19%) and Methanosphaera (SI 0.43%; RM 0.02%; LI 0.02%), together with the acetogen Acetitomaculum (SI 1.58%; RM 0.34%; LI 0.11%), were markedly more abundant compared to the RM or LI. Correlation and pathway analyses indicated that Methanobrevibacter was positively correlated with a steroid-type lipid metabolite (r = 0.52, p < 0.05) and with bile-acid-related metabolites. Acetitomaculum was positively correlated with several metabolites: 4-Hydroxyphenyl 4-hydroxybenzoate (r = 0.79, p < 0.05), 2-Aminoethyl dihydrogen phosphate (r = 0.76, p < 0.05), 1-Myristoyl-2-stearoyl-sn-glycero-3-phosphocholine (r = 0.76, p < 0.05), and 1,2-Dioleoyl-sn-Glycero-3-Phosphocholine (r = 0.74, p < 0.05). Together, these data define a small-intestinal microbial–metabolite module in Qianqiu goats characterized by elevated abundances of specific methanogens and acetogens in the SI. Specific positive correlations were identified between these taxa and metabolites associated with lipids and bile acids. Full article
Show Figures

Figure 1

11 pages, 3698 KB  
Article
Mass Spectrometry-Based Proteomic Analysis of Porcine Reproductive and Respiratory Syndrome Virus NSP9 Protein with Host Proteins
by Wei Wen, Yuhang Liu, Wenqiang Wang, Zhenbang Zhu and Xiangdong Li
Animals 2025, 15(24), 3520; https://doi.org/10.3390/ani15243520 - 5 Dec 2025
Viewed by 143
Abstract
Porcine reproductive and respiratory syndrome virus (PRRSV) nonstructural protein 9 (NSP9), the viral RNA-dependent RNA polymerase (RdRp), is essential for viral replication but its comprehensive host interactome remains uncharacterized. This study employed co-immunoprecipitation coupled with liquid chromatography-tandem mass spectrometry (LC-MS/MS) to systematically identify [...] Read more.
Porcine reproductive and respiratory syndrome virus (PRRSV) nonstructural protein 9 (NSP9), the viral RNA-dependent RNA polymerase (RdRp), is essential for viral replication but its comprehensive host interactome remains uncharacterized. This study employed co-immunoprecipitation coupled with liquid chromatography-tandem mass spectrometry (LC-MS/MS) to systematically identify NSP9-associated host proteins. We identified 222 high-confidence host interactors, with Gene Ontology and KEGG pathway analyses revealing significant enrichment in RNA/DNA-binding proteins, ubiquitin-proteasome pathways, metabolic regulators (amino acid/lipid biosynthesis), endoplasmic reticulum processing, and cell cycle components. Protein-protein interaction network analysis further delineated six functional modules involved in RNA processing, vesicular transport, and innate immunity. Crucially, validation studies confirmed direct binding between NSP9 and key candidates (CAPZ1, PSMA3, CDK1, USP48). Functional assessment demonstrated that CDK1 overexpression significantly inhibited PRRSV replication, implicating CDK1 as a host restriction factor. These findings collectively unveil the multifaceted role of NSP9 in subverting host machinery while identifying novel host defense mechanisms and potential targets for antiviral development against PRRSV. Full article
(This article belongs to the Section Pigs)
Show Figures

Figure 1

29 pages, 4513 KB  
Article
Isomalabaricane Chemical Composition of Vietnamese Marine Sponges Inspected by Metabolomic and Chemical Approaches
by Sophia A. Kolesnikova, Anastasia B. Kozhushnaya, Vladimir A. Shilov, Andrey D. Kukhlevsky, Anatoly I. Kalinovsky, Roman S. Popov, Pavel S. Dmitrenok and Natalia V. Ivanchina
Mar. Drugs 2025, 23(12), 466; https://doi.org/10.3390/md23120466 - 5 Dec 2025
Viewed by 305
Abstract
Reliable taxonomy of biological producers is essential for finding new natural substances. A recent study morphologically re-examined 21 accessed vouchers to confirm multiple reported misidentifications and suggested marine sponges from the genus Rhabdastrella as the only known source of the isomalabaricane triterpenoids. The [...] Read more.
Reliable taxonomy of biological producers is essential for finding new natural substances. A recent study morphologically re-examined 21 accessed vouchers to confirm multiple reported misidentifications and suggested marine sponges from the genus Rhabdastrella as the only known source of the isomalabaricane triterpenoids. The present study aimed to find isomalabaricane-containing sponges among the samples collected during seven marine expeditions to the Vietnam waters of the South China Sea, accompanied with their identification confirmed using morphological and molecular (18S rRNA and 28S rRNA) analyses. As a result, nine sponges identified as Rhabdastrella globostellata were found to contain isomalabaricanes in their extracts. A chemical investigation of the R. globostellata (PIBOC O63-136) specimen led to the isolation of nine isomalabaricane triterpenoids including the new compound 1, of which the chemical structure was elucidated based on HRESIMS and NMR data. Subsequently, a combination of LC–MS/MS, multivariate statistical analysis, and feature-based molecular networking was applied to detect, annotate, and characterize the isomalabaricane chemical diversity across the nine R. globostellata specimens. As a result, two primary chemotypes containing individual sets of annotated compounds were discovered within the Vietnamese population of this sponge. Moreover, obtained data showed a series of new extremely rare isomalabaricanes in R. globostellata extracts including nitrogen-containing metabolites and glycosides of this structural class. Full article
(This article belongs to the Special Issue Bioactive Compounds from Marine Invertebrates)
Show Figures

Graphical abstract

17 pages, 9681 KB  
Article
Structural Characterization and Immunomodulatory Activity of a Novel Mannoglucogalactan from Tremella aurantialba: Implications for Natural Immunotherapy
by Yuemou Zhao, Wenyu Liang, Huaqun Chen, Jinwen Huang, Longyan Zhao and Qingxia Yuan
Foods 2025, 14(23), 4126; https://doi.org/10.3390/foods14234126 - 2 Dec 2025
Viewed by 317
Abstract
Heteropolysaccharides, the principal bioactive constituents of the esteemed medicinal food Tremella aurantialba, remain poorly understood in both structure and function. Herein, we describe a novel heteropolysaccharide, designated TAP-2a, isolated from the fruiting bodies of T. aurantialba via multi-step column chromatography. With a [...] Read more.
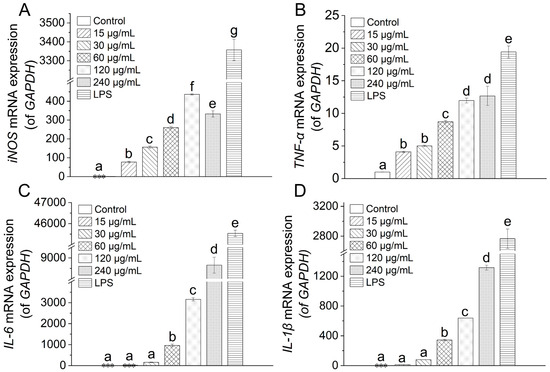
Heteropolysaccharides, the principal bioactive constituents of the esteemed medicinal food Tremella aurantialba, remain poorly understood in both structure and function. Herein, we describe a novel heteropolysaccharide, designated TAP-2a, isolated from the fruiting bodies of T. aurantialba via multi-step column chromatography. With a molecular weight of 16.95 kDa, TAP-2a is dominated by the pyranose forms of ᴅ-galactose (ᴅ-Galp), ᴅ-glucose (ᴅ-Glcp) and ᴅ-mannose (ᴅ-Manp), accompanied by minor proportions of ᴅ-xylose (ᴅ-Xylp), ʟ-fucose (ʟ-Fucp) and glucuronic acid. Methylation-GC-MS and exhaustive 1D/2D NMR analyses revealed a backbone assembled from →6)-α-Galp-(1→, →6)-β-Glcp-(1→, and →3)-α-Manp-(1→residues, branched at →2,6)-β-Galp-(1→, →3,6)-α-Galp-(1→, and →2,3)-α-Manp-(1→residues, and terminated by β-Glcp-(1→, α-Fucp-(1→, and β-Xylp-(1→. This intricate glycosidic architecture generates an exceptionally complex mannoglucogalactan in which a Gal→Man domain is substituted at O-3 of Gal by t-β-Glcp side chains and at O-2 of Man by t-α-Fucp stubs; additionally, a discrete fragment comprising t-β-Glcp-(1→3)-β-Glcp-(1→ was identified, along with a minor branch in which t-β-Xylp is attached to O-2 of a mannose residue. Functionally, TAP-2a proved to be a potent immunomodulator, markedly enhancing the secretion of nitric oxide, interleukin-1β, interleukin-6 and tumour necrosis factor-α while concurrently up-regulating the corresponding mRNA transcripts and augmenting phagocytic capacity. These findings establish the highly elaborate heteropolysaccharides of T. aurantialba as powerful immunomodulators that underpin the fungus’s renowned medicinal efficacy. Full article
Show Figures

Figure 1

21 pages, 1398 KB  
Article
Metabolic Profiling and In Vitro Assessment of the Immunomodulatory Effects of Hydrodistillation-Derived Extracts from the Fruticose Lichen Pseudevernia furfuracea (L.) Zopf. on Human Lymphocytes
by Yasser Essadki, Antonio Casas-Rodríguez, Antonio Cascajosa-Lira, Leticia Diez-Quijada, Alexandre Campos, Vitor Vasconcelos, Fatima El Khalloufi, Brahim Oudra, Ana M. Cameán and Angeles Jos
J. Xenobiot. 2025, 15(6), 201; https://doi.org/10.3390/jox15060201 - 1 Dec 2025
Viewed by 316
Abstract
Lichens are complex symbiotic systems known for synthesizing diverse secondary metabolites with documented antimicrobial, antioxidant, and antiproliferative activities. The present study focused on Pseudevernia furfuracea, a species widely distributed across Moroccan habitats. Two hydrodistillation-derived extracts (HE1 and HE2) were analyzed through ultra-high-Performance [...] Read more.
Lichens are complex symbiotic systems known for synthesizing diverse secondary metabolites with documented antimicrobial, antioxidant, and antiproliferative activities. The present study focused on Pseudevernia furfuracea, a species widely distributed across Moroccan habitats. Two hydrodistillation-derived extracts (HE1 and HE2) were analyzed through ultra-high-Performance liquid chromatography coupled with tandem mass spectrometry (UHPLC-MS/MS) to characterize their metabolite composition, and their effects were evaluated on Jurkat cells, a representative human cell line of the immune system. As the results of the characterization, the main compounds identified were Caprolactam, N,N-Diethylaniline, Erucamide, and 4-Isopropylaniline. Cytotoxicity assessment revealed that both HE1 and HE2 decreased the viability of Jurkat cells in a concentration-dependent manner. The mean effective concentrations (EC50) after 24 h of treatment were 53.79 ± 2.92 µg/mL for HE1 and 59.76 ± 2.01 µg/mL for HE2. Cell death mechanisms were further examined by flow cytometry, revealing that apoptosis predominated after 24 h of treatment, progressing mainly to late apoptotic stages after 48 h. In parallel, the expression levels of key cytokine genes, including IL-2, TNF-α, and IFN-γ, were quantified at the mRNA level to evaluate potential immunomodulatory effects. Up-regulation was observed in IL-2 after exposure to both extracts for 24 and 48 h, and in the case of IFN-γ after exposure to HE2 for 24 h; in contrast, HE1 and HE2 produced down-regulation in TNF-α at 24 h. These findings suggest that HE1 and HE2 have immunomodulatory activity in Jurkat cells. Further investigations are needed to elucidate the underlying mechanisms and to clarify how HE1 and HE2 influence immune responses in human systems. Full article
Show Figures

Graphical abstract

15 pages, 1970 KB  
Article
Effects of Different Bacillus subtilis Supplementation Levels on Fecal Microbiota and Metabolites in Goats
by Anmiao Chen, Hu Liu, Jiancheng Han, Donghong Zhu, Shiyang Huang, Mao Li, Xiaoyan Deng, Ke Wang, Qun Wu, Yuanting Yang, Weishi Peng, Meng Zeng, Wenji Wang, Xiaosong Zhang and Hanlin Zhou
Microorganisms 2025, 13(12), 2740; https://doi.org/10.3390/microorganisms13122740 - 30 Nov 2025
Viewed by 275
Abstract
This study investigated the effects of Bacillus subtilis (B. subtilis) supplementation on microbiota and metabolites in the feces of Leizhou goats. Eight Leizhou goats were used in a replicated 4 × 4 Latin square design according to their gender (nanny goats [...] Read more.
This study investigated the effects of Bacillus subtilis (B. subtilis) supplementation on microbiota and metabolites in the feces of Leizhou goats. Eight Leizhou goats were used in a replicated 4 × 4 Latin square design according to their gender (nanny goats and billy goats) with a 4 × 2 factorial arrangement of treatments that included four B. subtilis additive doses (control [0 g/d; NC, BC], low [2.5 g/d, NL, BL], medium [5 g/d, NM, BM], and high [7.5 g/d, NH, BH]) and 28 d periods (n = 4 per group), each consisting of 27 d adaption and 1 d sample collection. After collecting 32 fecal samples, 16S rRNA gene sequencing and LC-MS were performed to analyze microbial composition and metabolites, respectively. At the genus level, the relative abundance of Rikenellaceae_RC9_gut_group was significantly higher (p < 0.05) in the NM group than in the NC group. The relative abundance of Treponema sp. was significantly lower (p < 0.05) in the NM group than in the NC group. In billy goats, the relative abundances of UCG-005 and Rikenellaceae_RC9_gut_group were significantly higher (p < 0.05) in the BH group than in the BC group. The relative abundance of Treponema sp. was significantly lower (p < 0.05) in the BL, BM, and BH groups than in the BC group. Furthermore, metabolomic analysis revealed that B. subtilis significantly altered the concentrations of glucose metabolism modulators (1-deoxynojirimycin, 1-DNJ) and certain bioactive peptides. Many amino acid metabolic pathways were also enriched. Correlation analysis demonstrated close connections between differential metabolites and the top 10 bacterial genera in fecal samples. These results provide new insights into the impact of B. subtilis on the microbial community and metabolic profile of the feces of Leizhou goats. In this experiment, the appropriate doses of B. subtilis for nanny goats and billy goats were 5 g/d and 7.5 g/d, respectively, but the optimal doses still need to be verified based on performance-based feeding tests in the next study. Full article
(This article belongs to the Special Issue Dietary and Animal Gut Microbiota)
Show Figures

Figure 1

18 pages, 2044 KB  
Article
Genitourinary Microbiome and Volatilome: A Pilot Study in Patients with Prostatic Adenocarcinoma Submitted to Radical Prostatectomy
by Layla Musleh, Sara Passerini, Francesca Brunetti, Linda Maurizi, Giulio Bevilacqua, Lorenzo Santodirocco, Beatrice Sciarra, Martina Moriconi, Caterina Fraschetti, Antonello Filippi, Maria Pia Conte, Valeria Pietropaolo, Marisa Di Pietro, Simone Filardo, Alessandro Sciarra and Catia Longhi
Cancers 2025, 17(23), 3841; https://doi.org/10.3390/cancers17233841 - 29 Nov 2025
Viewed by 300
Abstract
Background/Objectives: The genitourinary microbiome and metabolome may contribute to prostate cancer (PC) biology, but evidence remains limited. This pilot study characterizes the urinary microbiota and volatilome in men with PC and investigates microbial and viral DNA in prostate tissue, comparing findings with [...] Read more.
Background/Objectives: The genitourinary microbiome and metabolome may contribute to prostate cancer (PC) biology, but evidence remains limited. This pilot study characterizes the urinary microbiota and volatilome in men with PC and investigates microbial and viral DNA in prostate tissue, comparing findings with benign prostatic hyperplasia (BPH). Methods: We prospectively enrolled 21 non-metastatic PC patients undergoing radical prostatectomy and 17 BPH controls. Lesional and non-lesional prostate tissues and urine were collected from PC patients, as well as urine samples from BPH participants. DNA samples were tested for sexually transmitted pathogens by multiplex real-time PCR. Urine and prostate tissue were analyzed for human polyomaviruses (JCPyV, BKPyV, MCPyV) by qPCR, bacterial profiles via 16S rRNA gene sequencing, and urinary volatile organic metabolites (VOMs) using HS-SPME/GC-MS. Microbial and metabolic profiles were compared, and taxa–metabolites were assessed. Results: JCPyV and BKPyV were detected in urine and tissue from PC patients; MCPyV was detected only in tissue, at low frequency. In BPH, viral prevalence was lower and MCPyV was absent. JCPyV/BKPyV co-infection was common in cancer. No sexually transmitted pathogen emerged. PC patients showed greater urinary microbial diversity and five enriched genera, along with specific metabolic pathways. 36 urinary VOMs were identified, with 14 differing significantly, with positive correlations between PC-associated genera and metabolites. In contrast, prostate tissue was low-biomass, dominated by Pseudomonas, and showed no significant differences between lesional and non-lesional areas. Conclusions: This preliminary, hypothesis-generating study indicates that urinary, rather than tissue, microbial and volatilome signatures show clearer differences between PC and BPH. These findings suggest possible microbiota–metabolite interactions in PC but require validation in larger cohorts. Full article
(This article belongs to the Section Cancer Therapy)
Show Figures

Figure 1

Back to TopTop