Structural Characterization and Immunomodulatory Activity of a Novel Mannoglucogalactan from Tremella aurantialba: Implications for Natural Immunotherapy
Abstract
1. Introduction
2. Materials and Methods
2.1. Materials and Reagents
2.2. Isolation and Purification of Polysaccharide TAP-2a
2.3. Physicochemical Characterization of TAP-2a
2.4. Structural Characterization of TAP-2a
2.4.1. Monosaccharide Composition
2.4.2. FT-IR Spectroscopy
2.4.3. Methylation Analysis
2.4.4. NMR Spectroscopy
2.5. Immunostimulatory Activity of TAP-2a
2.5.1. Cell Viability Assay
2.5.2. Phagocytosis Assay
2.5.3. Nitric Oxide (NO) Determination
2.5.4. Cytokine Secretion
2.5.5. Quantitative Real-Time PCR (qRT-PCR)
2.6. Statistical Analysis
3. Results and Discussion
3.1. Isolation and Purification of TAP-2a
3.2. Monosaccharide Compositions
3.3. FT-IR
3.4. Methylation Analysis
3.5. NMR Analysis of TAP-2a
3.6. Effect of TAP-2a on RAW264.7 Cell Viability
3.7. Effect of TAP-2a on Phagocytosis
3.8. Effect of TAP-2a on the Production of NO and Cytokines
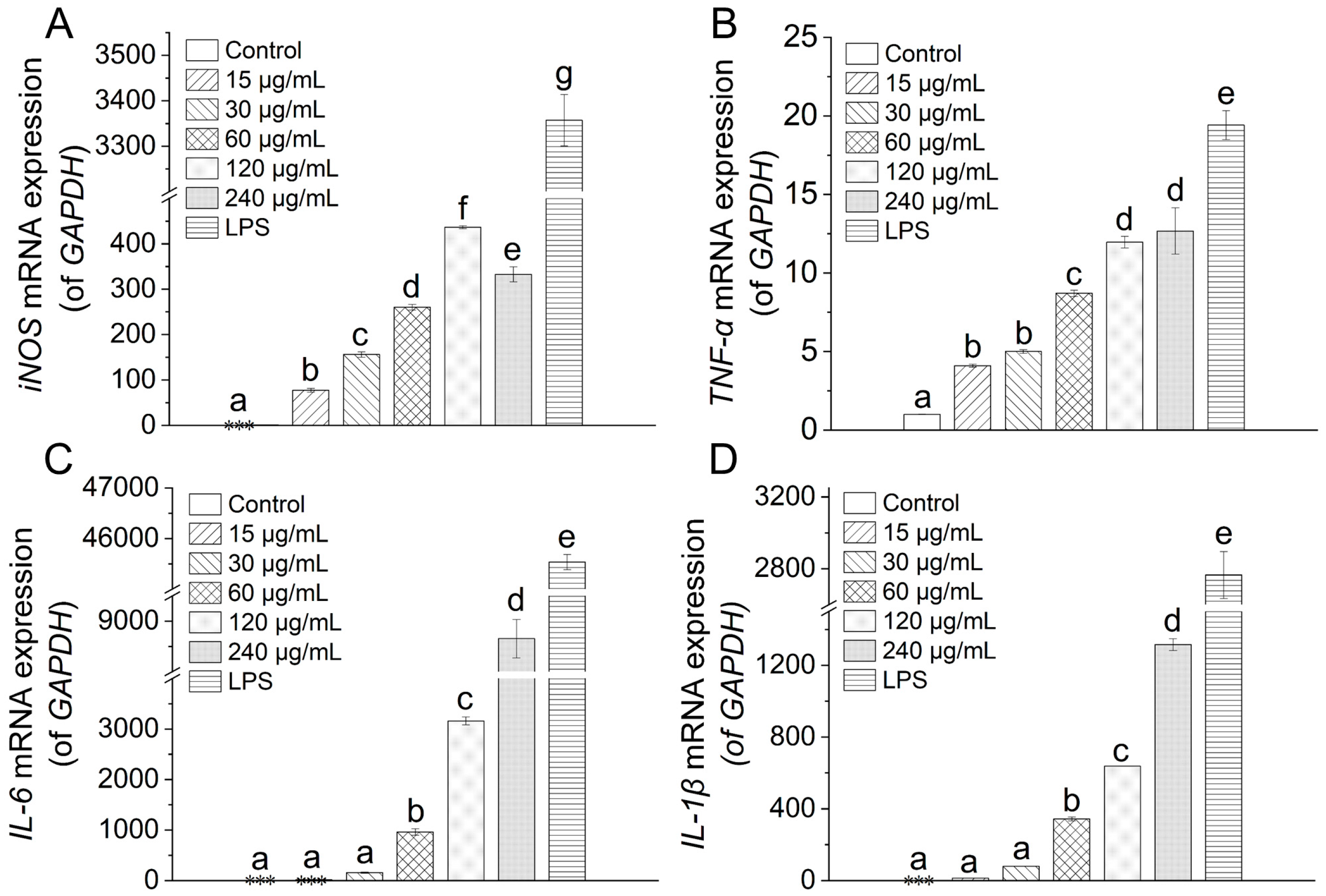
3.9. Effect of TAP-2a on the mRNA Expressions
4. Conclusions
Supplementary Materials
Author Contributions
Funding
Institutional Review Board Statement
Informed Consent Statement
Data Availability Statement
Conflicts of Interest
References
- Xie, J.H.; Jin, M.L.; Morris, G.A.; Zha, X.Q.; Yi, Y.; Li, J.E.; Wang, Z.J.; Gao, J.; Nie, S.P.; Shang, P. Advances on Bioactive Polysaccharides from Medicinal Plants. Crit. Rev. Food Sci. Nutr. 2016, 56, S60–S84. [Google Scholar] [CrossRef]
- Wang, W.L.; Zhao, B.; Zhang, Z.T.; Kikuchi, T.; Li, W.; Jantrawut, P.; Feng, F.; Liu, F.L.; Zhang, J. Natural Polysaccharides and Their Derivatives Targeting the Tumor Microenvironment: A Review. Int. J. Biol. Macromol. 2024, 268, 131789. [Google Scholar] [CrossRef]
- Wang, P.C.; Zhao, S.; Yang, B.Y.; Wang, Q.H.; Kuang, H.X. Anti-Diabetic Polysaccharides from Natural Sources: A Review. Carbohydr. Polym. 2016, 148, 86–97. [Google Scholar] [CrossRef]
- Yuan, Q.X.; Li, H.; Wang, Q.; Sun, S.J.; Fang, Z.Y.; Tang, H.; Shi, X.H.; Wen, J.; Huang, L.H.; Bai, M.; et al. Deaminative-Cleaved S. monotuberculatus Fucosylated Glycosaminoglycan: Structural Elucidation and Anticoagulant Activity. Carbohydr. Polym. 2022, 298, 120072. [Google Scholar] [CrossRef]
- Schepetkin, I.A.; Quinn, M.T. Botanical Polysaccharides: Macrophage Immunomodulation and Therapeutic Potential. Int. Immunopharmacol. 2006, 6, 317–333. [Google Scholar] [CrossRef]
- Hou, C.Y.; Chen, L.L.; Yang, L.Z.; Ji, X.L. An Insight into Anti-Inflammatory Effects of Natural Polysaccharides. Int. J. Biol. Macromol. 2020, 153, 248–255. [Google Scholar] [CrossRef]
- Cai, W.D.; Wong, K.H.; Huang, Q.L. Isolation, Structural Features, Rheological Properties and Bioactivities of Polysaccharides from Lignosus rhinocerotis: A Review. Int. J. Biol. Macromol. 2023, 242, 124818. [Google Scholar] [CrossRef] [PubMed]
- Liu, J.X.; Wang, Y.X.; Wu, J.Z.; Georgiev, M.I.; Xu, B.J.; Wong, K.H.; Bai, W.B.; Tian, L.M. Isolation, Structural Properties, and Bioactivities of Polysaccharides from Mushrooms termitomyces: A Review. J. Agric. Food Chem. 2022, 70, 21–33. [Google Scholar] [CrossRef] [PubMed]
- Ye, S.Y.; Gao, Y.; Hu, X.Y.; Cai, J.Y.; Sun, S.W.; Jiang, J.H. Research Progress and Future Development Potential of Flammulina velutipes Polysaccharides in the Preparation Process, Structure Analysis, Biology, and Pharmacology: A Review. Int. J. Biol. Macromol. 2024, 267, 131467. [Google Scholar] [CrossRef] [PubMed]
- Barbosa, J.R.; de Carvalho Junior, R.N. Polysaccharides Obtained from Natural Edible Sources and Their Role in Modulating the Immune System: Biologically Active Potential That Can Be Exploited against COVID-19. Trends Food Sci. Technol. 2021, 108, 223–235. [Google Scholar] [CrossRef]
- Wasser, S.P. Medicinal Mushrooms as a Source of Antitumor and Immunomodulating Polysaccharides. Appl. Microbiol. Biotechnol. 2002, 60, 258–274. [Google Scholar] [CrossRef] [PubMed]
- Martel, J.; Ko, Y.F.; Ojcius, D.M.; Lu, C.C.; Chang, C.J.; Lin, C.S.; Lai, H.C.; Young, J.D. Immunomodulatory Properties of Plants and Mushrooms. Trends Pharmacol. Sci. 2017, 38, 967–981. [Google Scholar] [CrossRef]
- Wasser, S.P. Medicinal Mushroom Science: History, Current Status, Future Trends, and Unsolved Problems. Int. J. Med. Mushrooms 2010, 12, 1–16. [Google Scholar] [CrossRef]
- Yuan, Q.X.; Liang, R.Y.; Lv, K.L.; Shi, X.H.; Leng, J.; Liu, Y.H.; Xiao, J.; Zhang, L.F.; Zhao, L.Y. Structural Characterization of a Chlorella heteropolysaccharide by Analyzing Its Depolymerized Product and Finding an Inducer of Human Dendritic Cell Maturation. Carbohydr. Polym. 2024, 333, 122000. [Google Scholar] [CrossRef]
- Yan, Y.; Wang, M.; Chen, N.; Wang, X.; Fu, C.; Li, Y.; Gan, X.; Lv, P.; Zhang, Y. Isolation, Structures, Bioactivities, Application and Future Prospective for Polysaccharides from Tremella aurantialba: A Review. Front. Immunol. 2022, 13, 1091210. [Google Scholar] [CrossRef]
- Wang, Z.X.; Huang, K.; Pu, K.L.; Li, L.; Jiang, W.X.; Wu, J.; Kawagishi, H.; Li, M.L.; Qi, J.Z. Naematelia aurantialba: A Comprehensive Review of Its Medicinal, Nutritional, and Cultivation Aspects. Food Med. Homol. 2025, 2, 9420072. [Google Scholar] [CrossRef]
- Lo, H.C.; Tsai, F.A.; Wasser, S.P.; Yang, J.G.; Huang, B.M. Effects of Ingested Fruiting Bodies, Submerged Culture Biomass, and Acidic Polysaccharide Glucuronoxylomannan of Tremella mesenterica Retz.:Fr. on Glycemic Responses in Normal and Diabetic Rats. Life Sci. 2006, 78, 1957–1966. [Google Scholar] [CrossRef]
- Deng, C.; Sun, Y.Y.; Fu, H.T.; Zhang, S.X.; Chen, J.H.; Xu, X. Antioxidant and Immunostimulatory Activities of Polysaccharides Extracted from Tremella aurantialba Mycelia. Mol. Med. Rep. 2016, 14, 4857–4864. [Google Scholar] [CrossRef]
- Lee, G.W.; Hur, H.; Shim, M.J.; Lee, T.S. Antitumor and Immune-Modulatory Effect of Drude Polysaccharides from Fruiting Body of Tremella aurantialba against Mouse Sarcoma 180. Korean J. Mycol. 2008, 36, 66–74. [Google Scholar]
- Du, X.J.; Zhang, J.S.; Yang, Y.; Ye, L.B.; Tang, Q.J.; Jia, W.; Liu, Y.F.; Zhou, S.; Hao, R.X.; Gong, C.Y.; et al. Structural Elucidation and Immuno-Stimulating Activity of an Acidic Heteropolysaccharide (TAPA1) from Tremella aurantialba. Carbohydr. Res. 2009, 344, 672–678. [Google Scholar] [CrossRef]
- Du, X.J.; Zhang, J.S.; Lv, Z.W.; Ye, L.B.; Yang, Y.; Tang, Q.J. Chemical Modification of an Acidic Polysaccharide (TAPA1) from Tremella aurantialba and Potential Biological Activities. Food Chem. 2014, 143, 336–340. [Google Scholar] [CrossRef]
- Du, X.J.; Zhang, Y.; Mu, H.M.; Lv, Z.W.; Yang, Y.; Zhang, J.S. Structural Elucidation and Antioxidant Activity of a Novel Polysaccharide (TAPB1) from Tremella aurantialba. Food Hydrocoll. 2015, 43, 459–464. [Google Scholar] [CrossRef]
- Yuan, Q.X.; Zhang, X.D.; Ma, M.Y.; Long, T.; Xiao, C.L.; Zhang, J.; Liu, J.K.; Zhao, L.Y. Immunoenhancing Glucuronoxylomannan from Tremella aurantialba Bandoni et Zang and Its Low-Molecular-Weight Fractions by Radical Depolymerization: Properties, Structures and Effects on Macrophages. Carbohydr. Polym. 2020, 238, 116184. [Google Scholar] [CrossRef]
- Chen, J.; Ma, Y.; Rao, Z.M.; Jiang, S.L.; Lou, Y.J.; Malik, K.; Chowdhury, A.; Ying, H.J.; Yu, C.H. A New Fucosylated Glucuronoxylomannan from the Fruit Bodies of Tremella aurantia: Structural Characterization and Immunoenhancing Activity on Seasonal Influenza mRNA Vaccine. Carbohydr. Polym. 2025, 373, 124660. [Google Scholar] [CrossRef]
- Yuan, Q.X.; Xie, Y.F.; Wang, W.; Yan, Y.H.; Ye, H.; Jabbar, S.; Zeng, X.X. Extraction Optimization, Characterization and Antioxidant Activity in Vitro of Polysaccharides from Mulberry (Morus alba L.) Leaves. Carbohydr. Polym. 2015, 128, 52–62. [Google Scholar] [CrossRef] [PubMed]
- Ciucanu, I.; Kerek, F. A Simple and Rapid Method for the Permethylation of Carbohydrates. Carbohydr. Res. 1984, 131, 209–217. [Google Scholar] [CrossRef]
- Tian, S.S.; Mao, Z.; Wang, Y.X.; Li, K.W.; Li, Y.F.; Zhu, B.Q.; Zhou, F.M.; Li, J.C.; Shen, Y.Z.; Ding, Z.S. Structural Characterization and Immunomodulatory Activity Analysis of A Novel Pectic Polysaccharide Extracted from Tetrastigma hemsleyanum Diels et Gilg and Its Hydrolysis Products. Carbohydr. Polym. 2025, 357, 123502. [Google Scholar] [CrossRef] [PubMed]
- Wu, Y.J.; Wei, Z.X.; Zhang, F.M.; Linhardt, R.J.; Sun, P.L.; Zhang, A.Q. Structure, Bioactivities and Applications of the Polysaccharides from Tremella fuciformis Mushroom: A Review. Int. J. Biol. Macromol. 2019, 121, 1005–1010. [Google Scholar] [CrossRef]
- Perera, N.; Yang, F.L.; Chern, J.; Chiu, H.W.; Hsieh, C.Y.; Li, L.H.; Zhang, Y.L.; Hua, K.F.; Wu, S.H. Carboxylic and: O -Acetyl Moieties Are Essential for the Immunostimulatory Activity of Glucuronoxylomannan: A Novel TLR4 Specific Immunostimulator from Auricularia auricula-judae. Chem. Commun. 2018, 54, 6995–6998. [Google Scholar] [CrossRef]
- Yan, Y.L.; Yu, C.H.; Chen, J.; Li, X.X.; Wang, W.; Li, S.Q. Ultrasonic-Assisted Extraction Optimized by Response Surface Methodology, Chemical Composition and Antioxidant Activity of Polysaccharides from Tremella mesenterica. Carbohydr. Polym. 2011, 83, 217–224. [Google Scholar] [CrossRef]
- Flores-Morales, A.; Jiménez-Estrada, M.; Mora-Escobedo, R. Determination of the Structural Changes by FT-IR, Raman, and CP/MAS 13C NMR Spectroscopy on Retrograded Starch of Maize Tortillas. Carbohydr. Polym. 2012, 87, 61–68. [Google Scholar] [CrossRef]
- Liu, X.P.; Wang, Q.Y.; Wang, J.; Guo, L.; Chu, Y.H.; Ma, C.Y.; Kang, W.Y. Structural Characterization, Chain Conformation and Immunomodulatory Activity of a Heteropolysaccharide from Inonotus hispidus. Int. J. Biol. Macromol. 2024, 260, 129187. [Google Scholar] [CrossRef]
- Chen, G.J.; Bai, Y.X.; Zeng, Z.Q.; Peng, Y.J.; Zhou, W.T.; Shen, W.B.; Zeng, X.X.; Liu, Z.H. Structural Characterization and Immunostimulatory Activity of Heteropolysaccharides from Fuzhuan Brick Tea. J. Agric. Food Chem. 2021, 69, 1368–1378. [Google Scholar] [CrossRef]
- Thambiraj, S.R.; Phillips, M.; Koyyalamudi, S.R.; Reddy, N. Yellow Lupin (Lupinus luteus L.) Polysaccharides: Antioxidant, Immunomodulatory and Prebiotic Activities and Their Structural Characterisation. Food Chem. 2018, 267, 319–328. [Google Scholar] [CrossRef]
- Ji, X.L.; Hou, C.Y.; Yan, Y.Z.; Shi, M.M.; Liu, Y.Q. Comparison of Structural Characterization and Antioxidant Activity of Polysaccharides from Jujube (Ziziphus jujuba Mill.) Fruit. Int. J. Biol. Macromol. 2020, 149, 1008–1018. [Google Scholar] [CrossRef]
- Yao, H.Y.Y.; Wang, J.Q.; Yin, J.Y.; Nie, S.P.; Xie, M.Y. A Review of NMR Analysis in Polysaccharide Structure and Conformation: Progress, Challenge and Perspective. Food Res. Int. 2021, 143, 110290. [Google Scholar] [CrossRef] [PubMed]
- Cheng, H.N.; Neiss, T.G. Solution NMR Spectroscopy of Food Polysaccharides. Polym. Rev. 2012, 52, 81–114. [Google Scholar] [CrossRef]
- Sun, T.; Xu, X.Y.; Ma, Y.H.; Jiang, H.; Yang, K.; Wang, R.; Gu, Y.; Li, S.; Qiu, Y.B.; Sun, D.F.; et al. Structure, Rheology, and Antifreeze Property of the Exopolysaccharide from Naematelia aurantialba through Basidiospore Fermentation. Food Hydrocoll. 2023, 142, 108848. [Google Scholar] [CrossRef]
- Samuelsen, A.B.C.; Rise, F.; Wilkins, A.L.; Teveleva, L.; Nyman, A.A.T.; Aachmann, F.L. The Edible Mushroom Albatrellus ovinus Contains a α-L-Fuco-α-D-Galactan, α-D-Glucan, a Branched (1 → 6)-β-D-Glucan and a Branched (1 → 3)-β-D-Glucan. Carbohydr. Res. 2019, 471, 28–38. [Google Scholar] [CrossRef] [PubMed]
- Ellefsen, C.F.; Wold, C.W.; Wilkins, A.L.; Rise, F.; Samuelsen, A.B.C. Water-Soluble Polysaccharides from Pleurotus eryngii Fruiting Bodies, Their Activity and Affinity for Toll-like Receptor 2 and Dectin-1. Carbohydr. Polym. 2021, 264, 117991. [Google Scholar] [CrossRef]
- Hannuksela, T.; Du Penhoat, C.H. NMR Structural Determination of Dissolved O-Acetylated Galactoglucomannan Isolated from Spruce Thermomechanical Pulp. Carbohydr. Res. 2004, 339, 301–312. [Google Scholar] [CrossRef] [PubMed]
- Deng, W.Q.; Han, S.W.; Shao, S.Y.; Li, S. Elucidation of the Fine Structure and Anti–Breast Tumor Activity of a Glucomannan from the Pseudobulbs of Pleione bulbocodioides. Carbohydr. Polym. 2025, 351, 123062. [Google Scholar] [CrossRef] [PubMed]
- Capek, P.; Alfo, J.; Liškova, D. An Acetylated Galactoglucomannan from Picea abies L. Karst. Carbohydr. Res. 2002, 337, 1033–1037. [Google Scholar] [CrossRef]
- Butt, H.S.; Ulriksen, E.S.; Rise, F.; Wangensteen, H.; Duus, J.Ø.; Inngjerdingen, M.; Inngjerdingen, K.T. Structural Elucidation of Novel Pro-Inflammatory Polysaccharides from Daphne mezereum L. Carbohydr. Polym. 2024, 324, 121554. [Google Scholar]
- Ruperez, P.; Leal, J.A. Mannoglucogalactans from the Cell Walls of Penicillium erythromellis: Isolation and Partial Characterisation. Carbohydr. Res. 1987, 167, 269–278. [Google Scholar] [CrossRef]
- Nandan, C.K.; Sarkar, R.; Bhanja, S.K.; Sikdar, S.R.; Islam, S.S. Isolation and Characterization of Polysaccharides of a Hybrid Mushroom (Backcross Mating between PfloVv12 and Volvariella volvacea). Carbohydr. Res. 2011, 346, 2451–2456. [Google Scholar] [CrossRef]
- Yan, M.X.; Mao, W.J.; Liu, X.; Wang, S.Y.; Xia, Z.; Cao, S.J.; Li, J.; Qin, L.; Xian, H.L. Extracellular Polysaccharide with Novel Structure and Antioxidant Property Produced by the Deep-Sea Fungus Aspergillus versicolor N2bc. Carbohydr. Polym. 2016, 147, 272–281. [Google Scholar] [CrossRef]
- Carreras-Gonzalez, A.; Barriales, D.; Palacios, A.; Montesinos-Robledo, M.; Navasa, N.; Azkargorta, M.; Peña-Cearra, A. Regulation of Macrophage Activity by Surface Receptors Contained within Borrelia burgdorferi-Enriched Phagosomal Fractions. PLoS Pathog. 2019, 15, e1008163. [Google Scholar] [CrossRef]
- Tzianabos, A.O. Polysaccharide Immunomodulators as Therapeutic Agents: Structural Aspects and Biologic Function. Clin. Microbiol. Rev. 2000, 13, 523–533. [Google Scholar] [CrossRef] [PubMed]
- Li, M.Z.; Huang, X.J.; Wen, J.J.; Chen, S.K.; Wu, X.C.; Ma, W.N.; Cui, S.W.; Xie, M.Y.; Nie, S.P. Innate Immune Receptors Co-Recognition of Polysaccharides Initiates Multi-Pathway Synergistic Immune Response. Carbohydr. Polym. 2023, 305, 120533. [Google Scholar] [CrossRef]
- Huang, J.; Liu, D.; Wang, Y.; Liu, L.; Li, J.; Yuan, J.; Jiang, Z.; Jiang, Z.; Hsiao, W.W.; Liu, H.; et al. Ginseng polysaccharides alter the gut microbiota and kynurenine/tryptophan ratio, potentiating the antitumour effect of antiprogrammed cell death 1/programmed cell death ligand 1 (anti-PD-1/PD-L1) immunotherapy. Gut 2022, 71, 734–745. [Google Scholar] [CrossRef] [PubMed]









| Peak No. | PMAAs | Molar Ratio | Deduced Residues |
|---|---|---|---|
| 1 | 1,5-Di-O-acetyl-1-deuterio-2,3,4-tri-O-methyl-ᴅ-xylitol | 2.84 | Xyl-(1→ |
| 2 | 1,5-Di-O-acetyl-1-deuterio-6-deoxy-2,3,4-tri-O-methyl-ʟ-galactitol | 2.68 | Fuc-(1→ |
| 3 | 1,4,5-Tri-O-acetyl-1-deuterio-2,3-di-O-methyl-ᴅ-xylitol | 2.44 | →4)-Xyl-(1→ |
| 4 | 1,5-Di-O-acetyl-1-deuterio-2,3,4,6-tetra-O-methyl-ᴅ-glucitol | 14.90 | Glc-(1→ |
| 5 | 1,5-Di-O-acetyl-1-deuterio-2,3,4,6-tetra-O-methyl-ᴅ-galactitol | 2.78 | Gal-(1→ |
| 6 | 1,2,5-Tri-O-acetyl-1-deuterio-3,4,6-tri-O-methyl-ᴅ-mannitol | 3.91 | →2)-Man-(1→ |
| 7 | 1,3,5-Tri-O-acetyl-1-deuterio-2,4,6-tri-O-methyl-ᴅ-glucitol | 3.27 | →3)-Glc-(1→ |
| 8 | 1,4,5-Tri-O-acetyl-1-deuterio-2,3,6-tri-O-methyl-ᴅ-galactitol | 5.44 | →4)-Gal-(1→ |
| 9 | 1,3,5-Tri-O-acetyl-1-deuterio-2,4,6-tri-O-methyl-ᴅ-mannitol | 10.32 | →3)-Man-(1→ |
| 10 | 1,3,5-Tri-O-acetyl-1-deuterio-2,4,6-tri-O-methyl-ᴅ-galactitol | 3.60 | →3)-Gal-(1→ |
| 11 | 1,5,6-Tri-O-acetyl-1-deuterio-2,3,4-tri-O-methyl-ᴅ-glucitol | 11.51 | →6)-Glc-(1→ |
| 12 | 1,5,6-Tri-O-acetyl-1-deuterio-2,3,4-tri-O-methyl-ᴅ-galactitol | 20.71 | →6)-Gal-(1→ |
| 13 | 1,2,3,5-Tetra-O-acetyl-1-deuterio-4,6-di-O-methyl-ᴅ-mannitol | 3.91 | →2,3)-Man-(1→ |
| 14 | 1,3,5,6-Tetra-O-acetyl-1-deuterio-2,4-di-O-methyl-ᴅ-glucitol | 2.91 | →3,6)-Glc-(1→ |
| 15 | 1,2,5,6-Tetra-O-acetyl-1-deuterio-3,4-di-O-methyl-ᴅ-galactitol | 4.31 | →2,6)-Gal-(1→ |
| 16 | 1,3,5,6-Tetra-O-acetyl-1-deuterio-2,4-di-O-methyl-ᴅ-galactitol | 4.45 | →3,6)-Gal-(1→ |
| Residues | H/C | Chemical Shifts (δ, ppm) | Connected Residues and Sites | |||||
|---|---|---|---|---|---|---|---|---|
| 1 | 2 | 3 | 4 | 5 | 6/6′ | |||
| →2)-α-Manp-(1→ | H | 5.30 | 4.12 | 3.81 | 3.65 | 4.00 | 3.74/3.88 | |
| A | C | 103.7 | 81.5 | 73.2 | 69.8 | 76.7 | 63.8 | D6 |
| →3)-α-Manp-(1→ | H | 5.21 | 4.25 | 4.08 | 3.64 | 4.02 | 3.74/3.88 | |
| B | C | 104.4 | 71.6 | 80.7 | 69.6 | 76.3 | 63.8 | B/C/I/K3 |
| → 3)- α -Manp-(1→ | H | 5.15 | 4.08 | 4.08 | 3.63 | 4.00 | 3.74/3.88 | |
| C | C | 105.4 | 72.7 | 80.5 | 69.1 | 76.2 | 63.8 | D/H6 |
| →3,6)-α-Galp-(1→ | H | 5.09 | 3.79 | 4.05 | 4.08 | 4.32 | 3.76/3.99 | |
| D | C | 104.3 | 71.3 | 80.4 | 71.3 | 72.1 | 69.7 | N4 |
| α-Fucp-(1→ | H | 5.08 | 3.82 | 4.08 | 3.89 | 4.20 | 1.25 | |
| E | C | 101.1 | 72.2 | 71.3 | 74.3 | 70.1 | 18.6 | F2 |
| →2,3)-α-Manp-(1→ | H | 5.06 | 4.05 | 3.96 | 3.64 | 4.11 | 3.74/3.86 | |
| F | C | 105.1 | 79.3 | 81.3 | 69.8 | 76.2 | 63.4 | A2 |
| →3)-α-Galp-(1→ | H | 5.03 | 3.84 | 4.05 | 3.90 | 4.13 | 3.70/3.83 | |
| G | C | 100.8 | 69.3 | 83.0 | 69.7 | 70.2 | 63.2 | F3 |
| →6)-α-Galp-(1→ | H | 5.00 | 3.87 | 3.92 | 4.03 | 4.23 | 3.76/3.92 | |
| H | C | 100.7 | 71.7 | 72.3 | 72.4 | 69.7 | 69.3 | P6 |
| →2,3)-α-Manp-(1→ | H | 4.97 | 4.16 | 4.08 | 3.68 | 4.00 | 3.74/3.90 | |
| I | C | 102.7 | 81.6 | 80.9 | 69.1 | 76.2 | 63.9 | B/C3 |
| →2,6)-β-Galp-(1→ | H | 4.92 | 3.80 | 4.03 | 4.07 | 3.69 | 3.86/3.94 | |
| J | C | 102.5 | 80.7 | 73.5 | 70.1 | 75.6 | 70.6 | H6 |
| →3)-β-Manp-(1→ | H | 4.86 | 4.20 | 4.09 | 3.68 | 3.51 | 3.71/3.92 | |
| K | C | 104.6 | 72.3 | 80.7 | 69.5 | 74.6 | 63.8 | B/C3 |
| β-Glcp-(1→ | H | 4.76 | 3.39 | 3.51 | 3.43 | 3.50 | 3.73/3.83 | |
| L | C | 105.6 | 76.1 | 78.8 | 72.3 | 78.4 | 64.1 | O3 |
| →4)-β-Xylp-(1→ | H | 4.68 | 3.32 | 3.47 | 3.83 | 3.30/4.02 | ||
| M | C | 107.3 | 76.1 | 78.6 | 80.7 | 68.1 | n.d. | |
| →4)-β-Galp-(1→ | H | 4.67 | 3.64 | 3.79 | 4.19 | 3.65 | 3.73/3.85 | |
| N | C | 107.6 | 73.8 | 76.2 | 81.8 | 77.4 | 63.8 | G3 |
| →3)-β-Glcp-(1→ | H | 4.57 | 3.55 | 3.77 | 3.50 | 3.57 | 3.69/3.80 | |
| O | C | 105.8 | 75.4 | 87.1 | 72.4 | 75.7 | 63.8 | M4 |
| →6)-β-Glcp-(1→ | H | 4.55 | 3.34 | 3.50 | 3.52 | 3.65 | 3.89/4.23 | |
| P | C | 105.9 | 75.9 | 78.4 | 72.4 | 77.8 | 71.7 | P6 |
| β-Glcp-(1→ | H | 4.54 | 3.34 | 3.50 | 3.48 | 3.50 | 3.69/3.80 | |
| Q | C | 105.9 | 75.9 | 78.4 | 72.4 | 78.4 | 63.6 | D3 |
| β-Xylp-(1→ | H | 4.39 | 3.31 | 3.46 | 3.64 | 3.30/4.02 | ||
| R | C | 106.4 | 76.0 | 78.5 | 71.8 | 68.0 | I2 | |
Disclaimer/Publisher’s Note: The statements, opinions and data contained in all publications are solely those of the individual author(s) and contributor(s) and not of MDPI and/or the editor(s). MDPI and/or the editor(s) disclaim responsibility for any injury to people or property resulting from any ideas, methods, instructions or products referred to in the content. |
© 2025 by the authors. Licensee MDPI, Basel, Switzerland. This article is an open access article distributed under the terms and conditions of the Creative Commons Attribution (CC BY) license (https://creativecommons.org/licenses/by/4.0/).
Share and Cite
Zhao, Y.; Liang, W.; Chen, H.; Huang, J.; Zhao, L.; Yuan, Q. Structural Characterization and Immunomodulatory Activity of a Novel Mannoglucogalactan from Tremella aurantialba: Implications for Natural Immunotherapy. Foods 2025, 14, 4126. https://doi.org/10.3390/foods14234126
Zhao Y, Liang W, Chen H, Huang J, Zhao L, Yuan Q. Structural Characterization and Immunomodulatory Activity of a Novel Mannoglucogalactan from Tremella aurantialba: Implications for Natural Immunotherapy. Foods. 2025; 14(23):4126. https://doi.org/10.3390/foods14234126
Chicago/Turabian StyleZhao, Yuemou, Wenyu Liang, Huaqun Chen, Jinwen Huang, Longyan Zhao, and Qingxia Yuan. 2025. "Structural Characterization and Immunomodulatory Activity of a Novel Mannoglucogalactan from Tremella aurantialba: Implications for Natural Immunotherapy" Foods 14, no. 23: 4126. https://doi.org/10.3390/foods14234126
APA StyleZhao, Y., Liang, W., Chen, H., Huang, J., Zhao, L., & Yuan, Q. (2025). Structural Characterization and Immunomodulatory Activity of a Novel Mannoglucogalactan from Tremella aurantialba: Implications for Natural Immunotherapy. Foods, 14(23), 4126. https://doi.org/10.3390/foods14234126

