Sign in to use this feature.

Years

Between: -

Subjects

remove_circle_outline
remove_circle_outline
remove_circle_outline
remove_circle_outline
remove_circle_outline
remove_circle_outline
remove_circle_outline
remove_circle_outline
remove_circle_outline

Journals

remove_circle_outline
remove_circle_outline
remove_circle_outline
remove_circle_outline
remove_circle_outline
remove_circle_outline
remove_circle_outline
remove_circle_outline
remove_circle_outline
remove_circle_outline
remove_circle_outline
remove_circle_outline
remove_circle_outline
remove_circle_outline
remove_circle_outline

Article Types

Countries / Regions

remove_circle_outline
remove_circle_outline
remove_circle_outline
remove_circle_outline
remove_circle_outline
remove_circle_outline
remove_circle_outline

Search Results (2,634)

Search Parameters:
Keywords = model sand

Order results
Result details
Results per page
Select all
Export citation of selected articles as:
20 pages, 7067 KB  
Article
Re-Scour Below a Self-Buried Submarine Pipeline
by Xiaofan Lou, Yulong Hua and Lichao Chen
Water 2025, 17(24), 3565; https://doi.org/10.3390/w17243565 - 16 Dec 2025
Abstract
The present study concerns the re-scour of a submarine pipeline after its scour-sagging-burial by modeling a tilting pipeline with varying embedment along the pipeline axis. The effect of the tilting angle on characteristics of three-dimensional scour was investigated, in terms of the scour [...] Read more.
The present study concerns the re-scour of a submarine pipeline after its scour-sagging-burial by modeling a tilting pipeline with varying embedment along the pipeline axis. The effect of the tilting angle on characteristics of three-dimensional scour was investigated, in terms of the scour topographies, the scour depth, as well as the scour propagation along the pipeline. Two previously undetected scour topographies, i.e., sand ripples that extend along the pipeline axis in the downstream direction of the pipeline and scour pits below the pipeline perpendicular to the pipeline axis, were found to significantly affect the development of the scour propagation and the scour depth. The whole scour propagation along the pipeline can be divided into the rapid scouring phase and the slow scouring phase. The transition point between the two phases takes place at the initial embedment-to-diameter ratio of 0.3. With the increase of the incident angle from 0° to 45°, the scour propagation rate increases during the rapid scouring phase but decreases during the slow scouring phase. A predictive model of the scour propagation rate was established based on the erosion characteristics of sediment and the shear stress magnification factor under the pipeline. The newly predictive model of scour propagation rate is found to provide satisfactory results for a tilting submarine pipeline under different flow incident angles. Full article
(This article belongs to the Section Hydraulics and Hydrodynamics)
Show Figures

Figure 1

20 pages, 6578 KB  
Article
Investigating the Genesis and Migration Mechanisms of Subsea Shallow Gas Using Carbon Isotopic and Lithological Constraints: A Case Study from Hangzhou Bay, China
by Linqi Ji, Zhongxuan Chen, Sheng Song, Taojun Hu and Xianghua Lai
J. Mar. Sci. Eng. 2025, 13(12), 2372; https://doi.org/10.3390/jmse13122372 - 14 Dec 2025
Viewed by 84
Abstract
This study addresses the challenge of data scarcity in research on the migration patterns of shallow gas in submarine sediments. Taking the northern Hangzhou Bay area of the East China Sea as an example, we integrate borehole core geophysical surveys and geochemical data [...] Read more.
This study addresses the challenge of data scarcity in research on the migration patterns of shallow gas in submarine sediments. Taking the northern Hangzhou Bay area of the East China Sea as an example, we integrate borehole core geophysical surveys and geochemical data to elucidate the migration and fractionation mechanisms of shallow biogenic gas. A three-zone conceptual model—“disturbed zone–active zone–residual zone”—dominated by lithology-controlled migration is established, revealing the dominant roles of gas escape, mixing-homogenization, and adsorption fractionation in heterogeneous sedimentary systems. The results show that high-permeability sand layers can act as adsorption-fractionation windows, causing significant enrichment in δ13C-CH4 (–57.4‰). We propose an analytical framework of “zonal verification–mechanism tracing”, which overcomes the limitations of traditional Rayleigh fractionation models and enables accurate interpretation of gas migration patterns in heterogeneous systems using limited data such as δ13C-CH4 and CH4 concentration. This provides a new paradigm for engineering surveys and risk assessment in low-data-density contexts. The findings indicate that the shallow seepage zone poses low engineering risks, while the residual zone serves as an indicator of depleted gas reservoirs. The proposed analytical approach can be extended to preliminary submarine engineering surveys and hazard assessments in other regions. Full article
(This article belongs to the Section Geological Oceanography)
Show Figures

Figure 1

16 pages, 4429 KB  
Article
Pore Structure Evolution in Marine Sands Under Laterally Constrained Axial Loading
by Xia-Tao Zhang, Cheng-Liang Ji, Le-Le Liu, Hui-Long Ma and Deng-Feng Fu
J. Mar. Sci. Eng. 2025, 13(12), 2367; https://doi.org/10.3390/jmse13122367 - 12 Dec 2025
Viewed by 172
Abstract
Installation in sand is sensitive to its evolving pore structure, yet design models rarely update permeability for real-time fabric changes. This study tracks the stress-dependent pore size distribution of coarse sand under laterally constrained compression using high-resolution X-ray nano-CT. Scans taken at six [...] Read more.
Installation in sand is sensitive to its evolving pore structure, yet design models rarely update permeability for real-time fabric changes. This study tracks the stress-dependent pore size distribution of coarse sand under laterally constrained compression using high-resolution X-ray nano-CT. Scans taken at six axial stress levels show that the distribution shifts toward smaller radii while keeping its log-normal shape. A single shifting factor, defined as the current median radius normalized by the initial value, captures this translation. The factor decays with axial stress according to a power law, and the exponent as well as the reference pressure are calibrated from void ratio data. The resulting closed-form expression links mean effective stress to pore radius statistics without extra fitting once the compressibility constants are known. This quantitative relation between effective stress and pore size distribution has great potential to be embedded into coupled hydro-mechanical solvers, enabling engineers to refresh hydraulic permeability at every computation step, improving predictions of excess pore pressure and soil resistance during suction anchor penetration for floating wind foundations. Full article
(This article belongs to the Section Ocean Engineering)
Show Figures

Figure 1

20 pages, 21440 KB  
Article
Soil Liquefaction in Sarangani Peninsula, Philippines Triggered by the 17 November 2023 Magnitude 6.8 Earthquake
by Daniel Jose L. Buhay, Bianca Dorothy B. Brusas, John Karl A. Marquez, Paulo P. Dajao, Robelyn Z. Mangahas-Flores, Nicole Jean L. Mercado, Oliver Paul C. Halasan, Hazel Andrea L. Vidal and Carlos Jose Francis C. Manlapat
GeoHazards 2025, 6(4), 80; https://doi.org/10.3390/geohazards6040080 - 12 Dec 2025
Viewed by 306
Abstract
The 17 November 2023 MW 6.8 earthquake located offshore of Southern Mindanao, Philippines, triggered soil liquefaction along the lowlands of the Sarangani Peninsula. Detailed mapping, geomorphological interpretations, geophysical surveys, comparison with predictive models, and grain size analysis were conducted to obtain a [...] Read more.
The 17 November 2023 MW 6.8 earthquake located offshore of Southern Mindanao, Philippines, triggered soil liquefaction along the lowlands of the Sarangani Peninsula. Detailed mapping, geomorphological interpretations, geophysical surveys, comparison with predictive models, and grain size analysis were conducted to obtain a comprehensive understanding of the earthquake parameters and subsurface conditions that permitted liquefaction. Soil liquefaction manifested as sediment and water vents, fissures, lateral spreads, and ground deformation, mainly along landforms with shallow groundwater levels such as river deltas, fills, floodplains, and beaches. In populated areas, ground failure due to liquefaction also damaged some buildings. All these impacts fall within the boundaries of the available liquefaction hazard maps for Sarangani Peninsula and the predictive empirical equations generated by various authors. Simulated peak ground acceleration values also indicate that sufficient ground shaking was generated for the soil to liquefy. Refraction microtremor (ReMi) surveys reveal shear wave velocities ranging from 121 to 215 m/s, which infer the presence of soft and stiff soils beneath the surface, promoting the sites’ potential to liquefy. Grain size analyses of sediment ejecta confirm the presence of these liquefiable sediments from the subsurface, with grain sizes ranging from silt to medium sand. The results of three-component microtremor (3CMt) surveys also show varying sediment thicknesses, which are consistent with the thickness of soft sediment layers inferred by ReMi surveys. The information resulting from this study may be useful for researchers, planners, and engineers for liquefaction hazard assessment and mitigation, especially in the Sarangani Peninsula. Full article
(This article belongs to the Special Issue Seismological Research and Seismic Hazard & Risk Assessments)
Show Figures

Figure 1

32 pages, 21022 KB  
Article
Impact of Coal Mining on Growth and Distribution of Sabina vulgaris Shrublands in Mu Us Sandy Land: Evidence from Multi-Temporal Gaofen-1 Remote Sensing Data
by Jia Li, Huanwei Sha, Xiaofan Gu, Gang Qiao, Shuhan Wang, Boyuan Li and Min Yang
Forests 2025, 16(12), 1849; https://doi.org/10.3390/f16121849 - 11 Dec 2025
Viewed by 87
Abstract
Sabina vulgaris is a keystone shrub species endemic to arid northwestern China, renowned for its exceptional drought tolerance, sand fixation capabilities, and critical role in desert ecosystem stability. This study investigates the impact of coal mining activities on the spatiotemporal dynamics of S. [...] Read more.
Sabina vulgaris is a keystone shrub species endemic to arid northwestern China, renowned for its exceptional drought tolerance, sand fixation capabilities, and critical role in desert ecosystem stability. This study investigates the impact of coal mining activities on the spatiotemporal dynamics of S. vulgaris shrublands in the ecologically fragile Mu Us Sandy Land, focusing on the Longde Coal Mine adjacent to the Shenmu S. vulgaris Nature Reserve. Utilizing seven periods (2013–2025) of 2 m resolution Gaofen-1 (GF-1) satellite imagery spanning 12 years of mining operations, we implemented a deep learning approach combining UAV-derived hyperspectral ground truth data and the SegU-Net semantic segmentation model to map shrub distribution via GF-1 data with high precision. Classification accuracy was rigorously validated through confusion matrix analysis (incorporating the Kappa coefficient and overall accuracy metrics). Results reveal contrasting trends: while the S. vulgaris Protection Area exhibited substantial expansion (e.g., Southern Section coverage grew from 2.6 km2 in 2013 to 7.88 km2 in 2025), mining panels experienced significant degradation. Within Panel 202, coverage declined by 15.4% (58.4 km2 to 49.5 km2), and Panel 203 showed a 18.5% decrease (3.16 km2 to 2.57 km2) over the study period. These losses correlate spatially and temporally with mining-induced groundwater depletion and land subsidence, disrupting the shrub’s shallow-root water access strategy. The study demonstrates that coal mining drives fragmentation and coverage reduction in S. vulgaris communities through mechanisms including (1) direct vegetation destruction, (2) aquifer disruption impairing drought adaptation, and (3) habitat fragmentation. These findings underscore the necessity for targeted ecological restoration strategies integrating groundwater management and progressive reclamation in mining-affected arid regions. Full article
Show Figures

Figure 1

20 pages, 4823 KB  
Article
Discussion on the Dominant Factors Affecting the Main-Channel Morphological Evolution in the Wandering Reach of the Yellow River
by Qingbin Mi, Ming Dou, Guiqiu Li, Lina Li and Guoqing Li
Water 2025, 17(24), 3509; https://doi.org/10.3390/w17243509 - 11 Dec 2025
Viewed by 159
Abstract
The wandering reach of the Yellow River has long been a pivotal area of research due to its drastic fluctuations in water-sediment dynamics, frequent shifts in the main channel, and complex river regime evolution. Studies on the main-channel morphological evolution in this reach [...] Read more.
The wandering reach of the Yellow River has long been a pivotal area of research due to its drastic fluctuations in water-sediment dynamics, frequent shifts in the main channel, and complex river regime evolution. Studies on the main-channel morphological evolution in this reach have focused on the analysis of parameters related to the overall oscillation or have only analyzed a certain reach within the wandering reach, with a lack of detailed studies based on the different characteristics of each area. Therefore, taking the Xiaolangdi Reservoir–Gaocun reach as the research area, by constructing a two-dimensional water-sediment dynamic model, the erosion–deposition characteristics of different sub-reaches and the morphological evolution characteristics of key cross-sections were quantified and analyzed. Based on measured hydrological, sediment, and topographic data, the temporal and spatial changes in the bankfull area and fluvial facies coefficient of typical sections before and after the construction of Xiaolangdi Reservoir were analyzed. By interpreting remote sensing images, the spatio-temporal variation characteristics of the migration distance and bending coefficient of different reaches before and after the construction of Xiaolangdi Reservoir were calculated, and the key factors influencing the evolution of river morphology parameters were identified. The results showed that after the Xiaolangdi Reservoir operation, the overall erosion of the Huayuankou–Jiahetan reach is greater than the deposition, and the erosion is more obvious in dry years. The river course direction and control engineering play a significant role in controlling the morphological evolution of the main channel during the process, causing the R2 reach to significantly swing to the north bank and the R3 reach to the south bank. When the sediment transport coefficient values were between 0 and 0.005 kg.s.m−6, water-sediment had a positive effect on shaping and evolving the main-channel morphology. The long-term low-sand discharge of Xiaolangdi Reservoir and the continuous improvement of river regulation projects are the main reasons for the above changes. The results can provide support for controlling the evolution of the main channel and improving river regulation projects. Full article
Show Figures

Figure 1

26 pages, 2260 KB  
Article
Which Soil Type Is Optimal for Festuca wagneri, a Species of the Pannonian Region Adapted to Drought?
by Károly Penksza, Tünde Szabó-Szöllösi, László Sipos, Szilárd Szentes, Eszter Saláta-Falusi, Anita Takács, Norbert Boros, András Sebők, Boglárka Anna Dálnoki, Márta Fuchs, Erika Micheli, Miklós Gulyás, Péter Penksza, Orsolya Pintér, Zsombor Wagenhoffer, Zoltán Kende, István Csízi, Géza Tuba and József Zsembeli
Land 2025, 14(12), 2405; https://doi.org/10.3390/land14122405 (registering DOI) - 11 Dec 2025
Viewed by 147
Abstract
According to climate projections, the Pannonian region is expected to experience an increasing frequency of drought events. This trend affects not only agricultural areas but also natural grasslands. The Festuca wagneri species, selected for this study, is a dominant and well-adapted grass in [...] Read more.
According to climate projections, the Pannonian region is expected to experience an increasing frequency of drought events. This trend affects not only agricultural areas but also natural grasslands. The Festuca wagneri species, selected for this study, is a dominant and well-adapted grass in dry natural habitats. A total of 54 Festuca wagneri individuals were examined across three soil types: sand, loam, and clay. In each soil type, 18 plants were assessed for drought tolerance. Water was applied at three dosage levels: 200, 300, and 400 mL. The experiment was conducted between 4 April and 18 July 2024, during which the total weight of the pots and the amount of drained water were measured regularly. All data processing and statistical analyses were performed in R version 4.3.2. A three-way factorial ANOVA was used to evaluate main and interaction effects. Model residuals were tested for normality (Shapiro–Wilk test) and homoscedasticity using diagnostic plots. The results showed that Festuca wagneri individuals tolerated even the lowest soil moisture levels induced by low water-holding capacity of the soil and low water input. This indicates that the species can be effectively used in grassland management and restoration under future climate change scenarios. The main differences were observed among soil types, highlighting the crucial importance of soil structure when establishing this species. Loam soils, already near optimal, respond best to moderate. Full article
Show Figures

Figure 1

21 pages, 2880 KB  
Article
Study on Influencing Factors and Evaluation Model of Hole-Wall Stability of Cast-in-Place Bored Pile in Complex Coastal Foundations
by Lu Guo, Keqiang He, Jiaxin Zhang and Huilin Yang
Buildings 2025, 15(24), 4479; https://doi.org/10.3390/buildings15244479 - 11 Dec 2025
Viewed by 82
Abstract
Based on the characteristics and distribution patterns of collapsed holes in cast-in-place bored pile foundations in the typical coastal area of Guangdong Petrochemical Company, the deformation and collapse behavior of pile walls in the project zone were systematically monitored and measured using a [...] Read more.
Based on the characteristics and distribution patterns of collapsed holes in cast-in-place bored pile foundations in the typical coastal area of Guangdong Petrochemical Company, the deformation and collapse behavior of pile walls in the project zone were systematically monitored and measured using a specialized pore diameter detection system for cast-in-place bored pile quality assessment. A collapse rate parameter is proposed and established as an evaluation index for pile wall stability and collapse. Using the basic principles of Quantification Theory I and considering the collapse characteristics of pile walls in a cast-in-place bored pile project in Guangdong, the influencing factors and mechanisms of pile wall collapse are comprehensively analyzed and evaluated. A quantitative theoretical evaluation model for the influencing factors of pile wall collapse is then established. Focusing on the construction technology of cast-in-place bored piles, the proposed quantitative theoretical evaluation model is applied to quantitatively analyze and assess the factors contributing to pile wall collapse in the project area. The relationships between pile wall collapse rate in the Guangdong Petrochemical Company cast-in-place bored pile project and influencing factors such as stratum structure, soil properties, sand layer thickness, drilling depth, and drilling methods are systematically determined. The primary collapse factors and secondary influencing factors in the pile wall collapse of the cast-in-place bored pile engineering zone are identified, providing a theoretical basis for determining optimal prevention and control measures against pile wall collapse during the drilling process of cast-in-place bored piles. Full article
(This article belongs to the Section Building Structures)
Show Figures

Figure 1

20 pages, 1899 KB  
Article
Experimental Study on Alternating Vacuum–Electroosmosis Treatment for Dredged Sludges
by Jiangfeng Wang, Yifeng Wu, Chunxue Du, Yang Yang, Xinhua Dong, Shen Yang, Jifeng Wang and Pei Zhang
Water 2025, 17(24), 3499; https://doi.org/10.3390/w17243499 - 10 Dec 2025
Viewed by 233
Abstract
The utilization of treated dredged sludge as a partial replacement for natural sand and gravel in construction projects offers a promising approach to reducing the exploitation of natural resources. The conventional vacuum preloading (VP) method, while widely used for soft soil improvement, is [...] Read more.
The utilization of treated dredged sludge as a partial replacement for natural sand and gravel in construction projects offers a promising approach to reducing the exploitation of natural resources. The conventional vacuum preloading (VP) method, while widely used for soft soil improvement, is often associated with prolonged consolidation periods and high energy consumption in its later stages. Conversely, the electroosmosis (EO) technique is effective in enhancing drainage in low-permeability soft clays but is constrained by issues including anode corrosion, high operational costs, and uneven soil reinforcement. This study presents an experimental investigation into an alternating vacuum preloading and electroosmosis method for sludge treatment based on the underlying reinforcement theory. A series of laboratory model tests was conducted using a self-made vacuum–electroosmosis alternating test device. The reinforcement efficiency was assessed through the continuous monitoring of key performance indicators during the tests, including water discharge, surface settlement, electric current, electrode corrosion, and energy consumption. Post-test evaluations of the final soil shear strength and moisture content were also performed. The test results demonstrate that the alternating vacuum–electroosmosis yielded more significant improvement than their synchronous application. Specifically, the alternating vacuum–electroosmosis increased total water discharge by 46.1%, reduced final moisture content by 20.8%, and enhanced shear strength by 35.6% relative to the synchronous mode. Furthermore, an alternating VP-EO mode was found to be particularly advantageous during the electroosmosis phases, facilitating a more stable and sustained dewatering process. In contrast, the application of vacuum preloading alone resulted in inefficient performance during the later stages, coupled with relatively high energy consumption. Full article
(This article belongs to the Special Issue Risk Assessment and Mitigation for Water Conservancy Projects)
Show Figures

Figure 1

19 pages, 4321 KB  
Article
Subsea Gate Valve—PDC Material and Sand Slurry Test
by Mehman Ahmadli, Tor Berge Gjersvik and Sigbjørn Sangesland
Materials 2025, 18(24), 5546; https://doi.org/10.3390/ma18245546 - 10 Dec 2025
Viewed by 169
Abstract
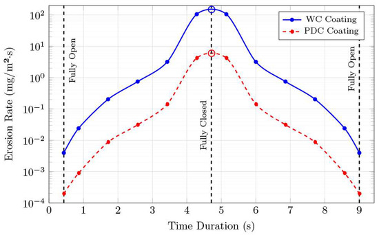
Produced well flow is controlled through valves placed in the Christmas tree. Being mostly gate-type valves, they isolate the well from the surface when commanded or automatically in an emergency. The reliability of these valves is essential for subsea wells, as maintenance and [...] Read more.
Produced well flow is controlled through valves placed in the Christmas tree. Being mostly gate-type valves, they isolate the well from the surface when commanded or automatically in an emergency. The reliability of these valves is essential for subsea wells, as maintenance and replacement involve high cost, time, and HSE risks. Their design must withstand harsh conditions such as high temperature, pressure, solid particles, and corrosive environments. However, failures caused by leakage, cold welding, and the erosion of sealing elements are still common. These issues motivated the initial stage of this research, which experimentally showed that replacing the current tungsten carbide (WC) coating with polycrystalline diamond compact (PDC) material reduces friction and wear due to its high hardness and thermal stability. Based on these results, a 3D subsea gate valve model was developed and simulated in Ansys Fluent 2024 R2 under API slurry test conditions using the Oka erosion and Discrete Phase Models. A comparative analysis of WC and PDC coatings for a 5-inch gate valve exposed to a 2% sand slurry (250–400 μm) showed that PDC reduces the erosion depth by 77.6% and extends the valve lifetime by 4.5 times. The findings support the use of PDC for improved erosion resistance in subsea valve applications. Full article
(This article belongs to the Section Materials Simulation and Design)
Show Figures

Figure 1

31 pages, 34012 KB  
Article
Finite Element Parametric Study of Nailed Non-Cohesive Soil Slopes
by Sohaib Ali Tarmom, Mohd. Ahmed, Mahmoud H. Mohamed, Meshel Q. Alkahtani and Javed Mallick
Symmetry 2025, 17(12), 2125; https://doi.org/10.3390/sym17122125 - 10 Dec 2025
Viewed by 205
Abstract
Computational modeling offers a cost-effective approach to exploring complex geotechnical behavior. This study uses PLAXIS 2D finite element software to simulate nailed soil slopes under plane strain conditions, with models calibrated against laboratory-scale experiments involving a sand-filled Perspex box, steel nail reinforcements, and [...] Read more.
Computational modeling offers a cost-effective approach to exploring complex geotechnical behavior. This study uses PLAXIS 2D finite element software to simulate nailed soil slopes under plane strain conditions, with models calibrated against laboratory-scale experiments involving a sand-filled Perspex box, steel nail reinforcements, and a rigid foundation. The soil mass, structural elements, and reinforcements are modeled using fifteen-node triangular elements, five-node plate elements, and two-node elastic spring elements, respectively. In this paper, parametric studies evaluate the influence of slope angles, mesh density, domain dimensions, constitutive models, and reinforcement configurations. Both prototype-scale and 3D-approximated models are included to assess scale effects and spatial behavior. The results highlight the significant impact of model size and material behavior, particularly when using the Hardening Soil model and its small-strain extension. Reinforcement optimization, including nail length reduction strategies, demonstrates the potential for maintaining slope stability while improving material efficiency. Validation against experimental data confirms that the numerical models accurately capture deformation patterns and internal stress development across different construction and loading phases. This study observed that the Hardening Soil (small-strain) material model significantly improved slope performance by reducing settlements and better capturing stress behavior, especially for steep slopes. Optimized redistribution of nail lengths across the slope depth enhanced stability while reducing reinforcement usage, demonstrating a cost-effective alternative to uniform configurations. The findings offer practical guidance for optimizing nailed slope stabilization in sandy soils, supporting safer and more economical geotechnical design for real-world applications. Full article
Show Figures

Figure 1

20 pages, 22475 KB  
Article
Architectural Characterization of Meandering River Reservoirs with Dense Well Patterns: Northern Block Zhong-2, Gudao Oilfield
by Hang Yao, Lixin Wang and Liyao Tu
Appl. Sci. 2025, 15(24), 12945; https://doi.org/10.3390/app152412945 - 8 Dec 2025
Viewed by 149
Abstract
The meandering river reservoirs of the Ng3–Ng4 members of the upper Guantao Formation in northern Middle Block 2, Gudao Oilfield, exhibit sand bodies with rapid lateral variation, complex contacts, and strong heterogeneity. Previous characterization using sparse well patterns showed deviations in depicting sand [...] Read more.
The meandering river reservoirs of the Ng3–Ng4 members of the upper Guantao Formation in northern Middle Block 2, Gudao Oilfield, exhibit sand bodies with rapid lateral variation, complex contacts, and strong heterogeneity. Previous characterization using sparse well patterns showed deviations in depicting sand body boundaries and internal architecture with insufficient accuracy for optimizing development plans and tapping remaining oil. Additionally, small-scale lateral accretion mud interlayers within point bars—which are hard to trace between wells—limited fine characterization of point bar architecture. Using the high-resolution data and dense inter-well control of the study area’s dense well pattern, we traced 3–10 cm thick lateral accretion mud interlayers within point bars between wells, overcoming the challenge of characterizing thin interlayers with sparse well patterns, and dissected reservoir architecture. Results indicate the study area is dominated by meandering river deposits, with four architectural units: channels, abandoned channels, overbanks, and flood plains. Meander belts range in width from 450 to 1900 m with an average of 1420 m; point bars measure in length from 310.6 to 1754 m with an average of 1036.2 m and in width from 323.4 to 1586 m with an average of 1000.8 m. Lateral accretion mud interlayers show sub-oblique profiles, with dips of 3–6° and a thickness of 3–10 cm; individual lateral accretion bodies are 1.5–5.7 m thick and 32–255 m wide horizontally. Based on channel-point bar scale relationships, an empirical formula for quantitative characterization was established, enabling the prediction of single sand body scales in sparsely well-patterned areas to support well placement and remaining oil prediction. Combined with contact relationships of sand bodies across architectural hierarchies, the main architectural models of composite meander belts were developed. This study provides a reliable geological basis for dissecting meandering river reservoir architecture and tapping remaining oil under sparse well patterns. Full article
(This article belongs to the Section Earth Sciences)
Show Figures

Figure 1

30 pages, 5179 KB  
Article
Physics-Guided Random Forest Classification of Marine Sediments Using Frequency-Dependent Acoustic Reflection Spectra
by Moshe Greenberg and Vladimir Frid
Appl. Sci. 2025, 15(24), 12930; https://doi.org/10.3390/app152412930 - 8 Dec 2025
Viewed by 282
Abstract
Traditional acoustic seabed classification methods, which are often sensitive to survey geometry and environmental conditions, have limitations in reliability and reproducibility. This study presents a novel physics-guided machine learning framework for automated sediment classification that leverages frequency-dependent acoustic reflection spectra. The framework, tested [...] Read more.
Traditional acoustic seabed classification methods, which are often sensitive to survey geometry and environmental conditions, have limitations in reliability and reproducibility. This study presents a novel physics-guided machine learning framework for automated sediment classification that leverages frequency-dependent acoustic reflection spectra. The framework, tested on two representative sediment types of poorly graded sand (SP) and poorly graded gravel (GP) in controlled laboratory conditions across a frequency range of 100–400 kHz, corrects water-column attenuation and isolates intrinsic sediment responses. Unlike earlier studies that focused solely on attenuation modeling or demonstrated spectral separability without statistical validation, this study embeds physics-guided corrections into a machine-learning pipeline, enabling automated, statistically validated sediment discrimination. Reflection spectra were acquired from 200 samples (100 per class) at 31 frequencies, forming a dataset for classifier evaluation. Random Forest (RF) and Logistic Regression (LR) were benchmarked under identical protocols. RF outperformed LR, achieving peak accuracy of 90% in optimal frequency windows (180–220, 310–350, and 330–370 kHz) and 84% across the full spectrum, compared to LR’s maxima of 82% and 80%. Feature importance revealed that discriminative bands align with wavelengths approximating grain sizes, indicating resonance-like mechanisms. The physics-guided approach demonstrated in this study offers reliable discrimination of sediments with similar grain sizes but different gradations, overcoming a limitation of intensity-only methods. The improved accuracy and interpretability of the classification results have significant implications for future marine survey methods, suggesting that the proposed framework could be a valuable tool for enhancing the efficiency and reliability of seabed characterization. Looking ahead, the potential practical applications of this research are significant, including field trials with autonomous sonar platforms and integration into remote sensing workflows. These applications will be essential to validate the robustness of the approach under real-world variability, paving the way for scalable, real-time seabed classification with implications for a wide range of marine research and applications. Full article
Show Figures

Figure 1

27 pages, 20165 KB  
Article
Genetic and Sealing Mechanisms of Calcareous Sandstones in the Paleogene Zhuhai–Enping Formations, Panyu A Sag, Pearl River Mouth Basin
by Yong Zhou, Guangrong Peng, Wenchi Zhang, Xinwei Qiu, Zhensheng Li, Ke Wang, Xiaoming Que and Peimeng Jia
Minerals 2025, 15(12), 1285; https://doi.org/10.3390/min15121285 - 7 Dec 2025
Viewed by 127
Abstract
Calcareous sandstones, acting as sealing layers, play a crucial role in hydrocarbon accumulation of formations with high sand content (sand content > 80%). However, the genetic mechanisms, sealing mechanisms, and effectiveness of calcareous sandstones remain unclear. This study takes the Zhuhai–Enping formations in [...] Read more.
Calcareous sandstones, acting as sealing layers, play a crucial role in hydrocarbon accumulation of formations with high sand content (sand content > 80%). However, the genetic mechanisms, sealing mechanisms, and effectiveness of calcareous sandstones remain unclear. This study takes the Zhuhai–Enping formations in the Panyu A Sag as an example. By comprehensively analyzing data from well logs, cores, cast thin sections, elemental geochemical analysis and carbon–oxygen isotopes, the genetic mechanisms, development patterns, and controlling effects on hydrocarbon accumulation of calcareous cement layers are investigated. The main findings are as follows: (1) The calcareous sandstone cements are mainly composed of dolomite, ankerite, and anhydrite. With increasing burial depth, dolomite transitions from micritic dolomite to silt-sized and fine-crystalline dolomite, and finally to coarse-crystalline dolomite. (2) The local transgression provided ions such as Ca2+ and Mg2+, forming the material basis for early dolomite formation. As burial depth increased, the diagenetic environment shifted from acidic to alkaline, leading to the dolomitization of early-formed calcite and the formation of ankerite. (3) The high source-reservoir displacement pressure difference effectively seals hydrocarbon accumulation. Vertically interbedded tight calcareous sandstones and thin marine transgressive mud-stones collectively control efficient hydrocarbon preservation and enrichment. This research addresses the current limits in the study of “self-sealing sandstone layers,” and provides new geological insights and predictive models for hydrocarbon exploration in sand-rich settings. Full article
Show Figures

Figure 1

41 pages, 9667 KB  
Article
Topological Structure Characteristics of Ecological Spatial Networks and Their Correlation with Sand Fixation Function
by Zijia Gu, Yongtai Han, Qian Li, Qibin Zhang and Qiang Yu
Land 2025, 14(12), 2388; https://doi.org/10.3390/land14122388 - 7 Dec 2025
Viewed by 183
Abstract
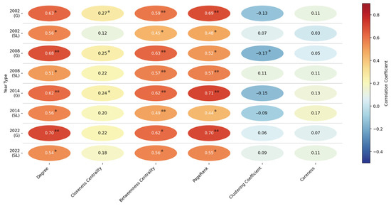
The current research indicates that the Ecological Spatial Network (ESN) supports critical regulating services, yet the quantitative coupling between its topological structure and the sand fixation function has received limited attention. This study investigates this relationship in the Zhangbei region, China, from 2002 [...] Read more.
The current research indicates that the Ecological Spatial Network (ESN) supports critical regulating services, yet the quantitative coupling between its topological structure and the sand fixation function has received limited attention. This study investigates this relationship in the Zhangbei region, China, from 2002 to 2022. By integrating the Minimum Cumulative Resistance (MCR) model, complex network theory, and the Revised Wind Erosion Equation (RWEQ), we systematically evaluated the network’s structural evolution and its correlation with the sand fixation capacity. The results reveal a significant enhancement in ecosystem service: the actual wind erosion amount decreased from 20.18 t/ha in 2002 to 2.83 t/ha in 2022, while the network structure matured, characterized by stable high modularity (Q ≈ 0.67) and a marked “core densification” trend. Correlation and regression analyses confirm that topological metrics—specifically PageRank, Betweenness Centrality, and Degree—are effective indicators, jointly explaining 48–65% of the spatial variation in the sand fixation capacity. Notably, PageRank emerged as the most robust predictor, highlighting the functional importance of high-quality patch clusters. Furthermore, optimization simulations suggest that a low-eigenvector centrality edge-adding strategy is most effective for enhancing network connectivity. These findings provide a theoretical basis and spatial guidance for ecological restoration in arid and semi-arid regions. Full article
Show Figures

Figure 1

Back to TopTop