Next Article in Journal
From Intensification to Sustainability? Political Leadership and Agricultural Transformation in Ethiopia
Next Article in Special Issue
Does Grazing or Climate Change Transform Vegetation More Rapidly? A Case Study of Calcareous Sandy Grasslands in the Pannonian Region
Previous Article in Journal
Spatiotemporal Assessment of New-Type Urbanization and Rural Revitalization Coupling in China, 2014–2023: Implications for Spatial Planning
Previous Article in Special Issue
Study on the Ecological Effect of Acoustic Rain Enhancement: A Case Study of the Experimental Area of the Yellow River Source Where Agriculture and Animal Husbandry Are Intertwined
 
 
Font Type:
Arial Georgia Verdana
Font Size:
Aa Aa Aa
Line Spacing:
Column Width:
Background:
Article

Which Soil Type Is Optimal for Festuca wagneri, a Species of the Pannonian Region Adapted to Drought?

by
Károly Penksza
1,
Tünde Szabó-Szöllösi
1,*,
László Sipos
2,3,
Szilárd Szentes
4,
Eszter Saláta-Falusi
1,
Anita Takács
5,
Norbert Boros
5,
András Sebők
5,
Boglárka Anna Dálnoki
5,
Márta Fuchs
5,
Erika Micheli
5,
Miklós Gulyás
5,
Péter Penksza
6,
Orsolya Pintér
7,
Zsombor Wagenhoffer
4,
Zoltán Kende
1,*,
István Csízi
8,
Géza Tuba
8 and
József Zsembeli
8
1
Institute of Agronomy, Hungarian University of Agriculture and Life Sciences, Páter Károly u. 1, 2100 Gödöllő, Hungary
2
Department of Postharvest, Commercial and Sensory Science, Institute of Food Science and Technology, Hungarian University of Agriculture and Life Sciences, Villányi Str. 35-43, 1118 Budapest, Hungary
3
HUN-REN Institute of Economics, Centre for Economic and Regional Studies (HUN-REN KRTK), Tóth Kálmán Str. 4, 1097 Budapest, Hungary
4
Institute for Animal Breeding, Nutrition and Laboratory Animal Science, University of Veterinary Medicine Budapest, István u. 2, 1078 Budapest, Hungary
5
Institute of Environmental Sciences, Hungarian University of Agriculture and Life Sciences, Páter Károly u. 1, 2100 Gödöllő, Hungary
6
Anton Paar Hungary, Aliz Str. 3, 1117 Budapest, Hungary
7
Department of Integrated Plant Protection, Institute of Plant Protection, Hungarian University of Agriculture and Life Sciences, Páter Károly Str. 1, 2100 Gödöllő, Hungary
8
National Research Centre for Climate and Regional Land Management, Hungarian University of Agriculture and Life Sciences, Kisújszállási 166, 5300 Karcag, Hungary
*
Authors to whom correspondence should be addressed.
Land 2025, 14(12), 2405; https://doi.org/10.3390/land14122405
Submission received: 4 November 2025 / Revised: 7 December 2025 / Accepted: 8 December 2025 / Published: 11 December 2025

Abstract

According to climate projections, the Pannonian region is expected to experience an increasing frequency of drought events. This trend affects not only agricultural areas but also natural grasslands. The Festuca wagneri species, selected for this study, is a dominant and well-adapted grass in dry natural habitats. A total of 54 Festuca wagneri individuals were examined across three soil types: sand, loam, and clay. In each soil type, 18 plants were assessed for drought tolerance. Water was applied at three dosage levels: 200, 300, and 400 mL. The experiment was conducted between 4 April and 18 July 2024, during which the total weight of the pots and the amount of drained water were measured regularly. All data processing and statistical analyses were performed in R version 4.3.2. A three-way factorial ANOVA was used to evaluate main and interaction effects. Model residuals were tested for normality (Shapiro–Wilk test) and homoscedasticity using diagnostic plots. The results showed that Festuca wagneri individuals tolerated even the lowest soil moisture levels induced by low water-holding capacity of the soil and low water input. This indicates that the species can be effectively used in grassland management and restoration under future climate change scenarios. The main differences were observed among soil types, highlighting the crucial importance of soil structure when establishing this species. Loam soils, already near optimal, respond best to moderate.

1. Introduction

Environmental changes, particularly climate change, pose major challenges to vegetation worldwide. The continuous rise in global temperature entails multiple risks [1,2,3]. According to recent projections, a temperature increase of approximately 1.5 °C is expected between 2021 and 2040, potentially reaching 2 °C over time [4,5]. In the Carpathian Basin, the situation appears even more critical [6,7]. Climatic factors strongly influence vegetation composition and structure; drought and water scarcity severely affect both natural ecosystems (Zhang et al., 2017) [8] and urban environments. In addition, environmental pressures are intensifying—for instance, the risk of soil salinization is increasing. Under these conditions, natural ecosystems face severe threats, making their conservation and restoration of utmost importance.
The decline in biodiversity represents a global challenge with profound implications for sustainability [9]. The United Nations has declared 2021–2030 the Decade on Ecosystem Restoration [10], placing particular emphasis on the rehabilitation of degraded and endangered habitats [11]. The loss of such habitats also leads to the disappearance or potential extinction of rare and endemic species [12]. Several studies suggest that endemic species—including both woody [13] and herbaceous taxa—may, in certain cases, exhibit higher adaptive capacity to climate change, enabling them to survive prolonged periods of environmental stress [14,15,16,17].
A substantial proportion of Europe’s endemic plant species—approximately 18.1%—are associated with grassland vegetation, underscoring the high ecological importance of this vegetation type [18]. Grasslands also constitute a major component of the natural vegetation within the Eastern European steppe zone [19]. These extremely dry habitats are of particular relevance in the context of climate change, as they are likely to expand in the near future; consequently, their conservation has become a matter of international priority [20].
Several studies have demonstrated that certain Festuca species exhibit remarkable resistance to environmental stresses, particularly drought and salinity. Festuca rubra shows a pronounced tolerance to saline conditions and displays greater adaptability to saline environments compared with other grass species, such as Poa pratensis [21,22]. Festuca pseudovina is often a dominant and community-forming species in saline grasslands, such as in the Artemisio–Festucetum pseudovinae association [23]. F. rubra can also thrive in soils with high soluble salt concentrations, further confirming its halotolerance [21]. Maeda et al. [22] reported that different Festuca species can withstand varying levels of salt stress. Festuca glauca, for instance, possesses a waxy leaf coating that helps to reduce water loss under saline conditions [22,24]. Fine-leaved fescues, such as Festuca ovina and Festuca rubra, display different degrees of salt tolerance. Research by Hanslin and Eggen [25] indicates that even non-halophytic species are capable of germinating under saline conditions, although their sustained growth may be constrained in such environments [26,27]. Friell et al. demonstrated that Festuca rubra can also be effectively utilized as a cultivated species in nutrient-poor and low-salinity environments, showing good adaptability within managed grassland ecosystems [28,29]. Both the leaf anatomical structure and the root system may contribute to the species’ resilience under suboptimal environmental conditions [28,30]. Detailed anatomical studies have also highlighted specific structural traits of Festuca leaves that may facilitate adaptation to unfavourable environmental conditions, particularly by regulating water balance and reinforcing cell walls [31,32,33,34]. Festuca arundinacea is a broad-leaved species that exhibits strong tolerance to both salinity and drought [35,36]. This adaptability is largely attributed to its deep and extensive root system, which allows access to soil moisture and nutrients even under challenging environmental conditions [36,37]. From an economic perspective, this species is of global importance, and its high genetic variability has enabled the development of several salt-tolerant cultivars through plant breeding programs [38,39]. Moreover, hormonal responses—particularly the production of abscisic acid (ABA)—play a vital role in coping with drought-induced stress. Exogenous application of ABA has been shown to enhance drought tolerance in various grasses, including Festuca species [40].
Morphological traits and drought tolerance in Festuca species
From a morphological perspective, Festuca species possess several traits that enhance their drought tolerance. These include narrow leaves that reduce transpirational water loss and a higher root-to-shoot ratio, which facilitates more efficient allocation of resources under water-limited conditions [41]. Studies have shown that Festuca rubra exhibits remarkable drought tolerance through efficient regulation of leaf water content, allowing the plant to maintain turgor pressure even at low soil moisture levels [42]. Genetic variation among Festuca species also contributes to differences in drought resistance. Genomic studies have focused on identifying quantitative trait loci (QTLs) associated with drought-tolerant characteristics [43].
In addition, hybridization between Festuca species and other turfgrasses such as Lolium has proven promising for enhancing drought tolerance while simultaneously improving other desirable agronomic traits [44]. Furthermore, endophytic fungi such as Epichloë festucae, which form symbiotic associations with several Festuca species, have been shown to increase drought tolerance by promoting root growth and improving nutrient uptake capacity [45].
Festuca species in urban horticulture and their soil requirements
Festuca rubra, with its fine leaf texture and dense growth habit, is particularly suitable for urban environments. It adapts well to shaded areas, making it useful for parks and green spaces with variable light conditions. Moreover, its role in erosion control and in providing habitat for urban wildlife further enhances its ecological value in city landscapes [46]. Festuca ovina thrives in well-drained soils, and its fine foliage makes it aesthetically appealing for ornamental purposes. Its drought tolerance and resilience in nutrient-poor soils make it well suited to low-maintenance urban areas such as rock gardens and green roofs [47]. Festuca glauca, known for its striking bluish-gray foliage, is a valuable ornamental grass widely used in landscape design [47]. Festuca brevipila is a shade-tolerant species, making it suitable for urban settings, particularly where low-mowing management is preferred. Its good establishment under limited water availability further supports its use in dry and challenging urban habitats [46]. According to Steinegger [48], the genus Festuca ranks among the most popular and frequently planted ornamental grasses, together with Miscanthus, Pennisetum and Panicum. Festuca amethystina requires well-drained soils and is a light-demanding species. It tolerates warmer climates better than Festuca ovina ‘Glauca’ [49]. Meyer et al. [50] described several ornamental cultivars of this species, including the bluish-green ‘Bronzeglanz’, the light-blue ‘Klose’, and the greenish-blue ‘Superba’, all reaching 30–35 cm in height and retaining decorative foliage throughout the year. Festuca ovina ‘Glauca’ prefers soils with good permeability and performs best in cooler climates. It is recommended for half-shaded to sunny locations; however, in soils with poor drainage it requires replanting every one to two years [49]. Festuca cinerea, native to Europe, thrives in dry, well-drained soils [50]. Steinegger et al. [48] and Meyer et al. [50] also mention several taxa of ornamental relevance, including Festuca muelleri, F. tenuifolia, F. mairei, F. pseudeskia and F. vallesiaca subsp. glaucantha. In their study, Staub and Robbins [51] examined hybrids between Festuca idahoensis and F. ovina. Their results suggest that the resulting clone could serve as a low-maintenance ornamental grass suitable for use in urban green areas within unirrigated, semi-arid regions. Among the fine-leaved species is Festuca coxii, native to the Chatham Islands, which has been widely promoted for landscape use as an indigenous blue-leaved grass [52]. From a soil-structure perspective, most Festuca species grow well across a broad range of textures, from sandy loam to clay loam. The tall fescue (Festuca arundinacea), for instance, can adapt to many soil types but achieves optimal growth in soils that combine good drainage with sufficient moisture-retention capacity [53]. Festuca rubra and F. ovina perform particularly well in slightly acidic soils, where nutrient availability is higher. However, F. ovina also shows substantial tolerance to more alkaline conditions [54].
Soil moisture availability is critical for all Festuca species. Although certain species, such as F. arundinacea, possess excellent drought tolerance and can withstand prolonged dry conditions, they still require a basic level of moisture, particularly during establishment [55]. A higher organic-matter content generally benefits the growth of most Festuca species by improving nutrient availability and enhancing water-holding capacity [56].
Lysimeters are fundamental tools for studying plant–soil–water interactions, as they allow precise monitoring of water movement and nutrient leaching, as well as evaluation of the effects of various treatments on plant growth. The results highlight the critical role of soil type in influencing plant physiological processes and demonstrate the applicability of these concepts to fine-leaved fescues such as Festuca rubra and Festuca ovina [57]. Ahmadifar et al. [58] conducted a lysimeter-based experiment comparing different evapotranspiration models using data from two turfgrass species, including Festuca spp. Their findings helped refine water-use coefficients under varying soil structures, such as sandy clay loam. Lysimeter studies involving Epichloë festucae-infected Festuca species have also revealed that microbial interactions can substantially influence the growth and development of these grasses under specific environmental conditions, as reported by Rahnama et al. [59]. Studies focusing on the ecological role of Festuca species—particularly in contexts such as phytoremediation—have further emphasized the utility of lysimeters in broader ecological applications. These investigations demonstrate how different substrates affect nutrient cycling and grass performance in contaminated soils [60].
Festuca wagneri Degen, Thaisz & Flatt is an endemic species of the Pannonian Basin belonging to the Festuca ovina aggregate [61,62]. Its taxonomic status had long been uncertain, and it was once considered a variant of Festuca sulcata (F. rupicola). The works of Penksza [63] and Penksza and Engloner [64] confirmed its independent species rank. The species are primarily distinguished by leaf anatomical traits. Determination keys separate the species with ring-shaped sclerenchyma (e.g., Festuca pallens, Festuca vaginata) from taxa with bundled sclerenchyma. This applies to the species of the Festuca rupicola complex (F. rupicola, F. pseudovina, F. valesiaca), which mainly differ in size [65,66,67]. Horánszky [68,69] distinguished the transitional taxa, where both ring-shaped and bundled sclerenchyma may occur; Festuca wagneri also belongs to this group.
Objectives, Hypotheses, and Research Questions
The aim of this study was to examine different media and soils. The species used was Festuca wagneri [63,64], which is native to the sandy areas of the Carpathian Basin and tolerates dry conditions well [6,7]. Its broad ecological adaptability made it potentially suitable for withstanding these experimental conditions. It can be used not only in urban environments [62] but also in the present experiment.
The main research questions were as follows:
How does Festuca wagneri develop under drought conditions and limited water availability?
Among the three tested soil types, which provides the most favorable conditions for the species’ growth and development, and are there significant differences between them?
Our hypothesis was that soil type and soil water supply fundamentally influence plant growth and biomass production, as the Festuca species studied tolerates drought well.

2. Materials and Methods

The experiment was established at the National Research Centre for Climate and Regional Land Management, located at Karcag on 4 April 2024. The experimental pots were filled with soils of three different textures: sand, loam, and clay. Three irrigation levels with single watering doses of 200, 300, and 400 mL per pot were applied. The irrigation levels and frequencies were determined to maintain approximately 30–50%, 50–70%, and 70–100% of the field capacity of each soil texture. The number of replications was 3; hence, 27 pots were involved in this experiment. The study continued until 18 July 2024, covering the full vegetation period typical for Festuca species (Figure 1).
Each pot was perforated at the bottom with three drainage holes, 2 mm in diameter, which were covered with a double layer of gauze to prevent soil loss but ensure deep percolation (leaching). Every pot was filled with 800 g of finely granular, air-dried soil sieved through a 0.5 mm mesh. The pots were put on another (lower) pot to collect the drainage water (leachate), which appeared when the soil water content exceeded the field capacity. The Festuca plants were planted into these soils. The weight of the pots was measured (Steinberg SBS-TW-30C, Steinberg Systems, Berlin, Germany) 6 times during the experimental period (11 and 19 April, 3 and 31 May, 9 and 18 July, respectively). The frequency of weighing occasions was not even as we endeavored to reveal the most characteristic differences among the treatments. The weight measurement dates were determined according to the appearance of leachate that was monitored on a daily basis. On the day when no leachate was found in the lower pots with the highest irrigation level, the soil moisture status was considered reaching its minimum in the highest field capacity range (70%), and all the pots were weighed and then irrigated. This way, the pots functioned as small weighing lysimeters. In the short term, the change in the weight of a lysimeter (pot) refers to the soil water balance. In our case, a simplified water equation was applicable: the soil water balance was the sum of the input (only irrigation, as natural precipitation was excluded) and the outputs (evapotranspiration and leachate). The differences in the soil water balance refer to the differences in the soil water regime determined by the soil texture (water-holding capacity) and irrigation level. Within the same water regime, differences in the pot weight refer to the differences in plant growth. During the experiment, plants were irrigated 18 times between 4 April and 18 July, the total amount of water applied over the entire period was 3.6, 5.4, and 7.2 L per pot, respectively. Considering the surface area (200 cm2) of the pots, these values corresponded to precipitation equivalents of 180, 270, and 360 mm. The volume and electrical conductivity of the leachate were also measured.
The species used in this study was Festuca wagneri [63,64], which is native to the sandy lowlands of the Carpathian Basin and is well adapted to dry conditions [6,7,70,71]. Owing to its broad ecological tolerance, the species is suitable for use in urban environments [64], and in the present experiment it served as a model organism for comparing the behaviour of the three different soil types.
Experimental plants were collected from natural populations near Kunpeszér, in the central Kiskunság region of the Carpathian Basin. Each pot was planted with a single mature Festuca tuft, excavated as a monolith including its surrounding soil, weighing approximately 2000 g. The tufts were transported intact and transplanted into pots of uniform size.
Planting took place on 11 April. Prior to planting, the roots were gently washed, and each plant was placed into standardized pots filled with one of the three soil types (sand, loam, or clay) up to a total mass of 3000 g per pot [72]. At planting, all Festuca individuals were weighed, and in ten randomly selected specimens, the root and shoot parts were separated and measured individually.
Sandy soils consist of the largest mineral particles, which promote rapid drainage, low water-holding capacity, and faster warming of the soil. Owing to their low colloid content, they exhibit limited cation exchange capacity and, consequently, poor overall fertility. Its values: pH: 7.41–7.44; CaCO3%: 4.14–4.92; humus%: 1.25–2.23.
Loam texture represents a balanced mixture of sand-, silt-, and clay-sized particles. Its higher proportion of soil colloids contributes to greater fertility, improved water infiltration and drainage, and enhanced resilience to drought. Its values: pH: 6.45–6.46; CaCO3%: 1.04; humus%: 2.97–3.73.
Clay soils contain the smallest particles, resulting in high water-retention capacity and restricted drainage. These properties make clay soils susceptible to waterlogging, structural compaction, and slow aeration. Its values: pH: 7.22–7.39; CaCO3%: 1.14–2.69; humus%: 2.51–3.55. At the start of the experiment in April, we measured ten pre-selected individuals after thoroughly washing the tussocks and allowing the root systems to reach an air-dry state, without using a drying oven. At this stage, the total mass of each plant was recorded to establish the average initial biomass of the individuals designated for planting. The aboveground (shoots, leafy stems) and belowground (roots) fractions were separated and measured individually. The average total biomass was 95 ± 15 g, of which 65–75% consisted of root mass (Figure 2).
Throughout the experimental period, none of the planted individuals died. Following flowering (late May, early June), vegetative growth ceased, the aboveground shoots partially senesced, and the inflorescences dried out completely. At the end of the experiment, the measurements were repeated on another set of ten individuals, again separating above- and belowground biomass, but no significant increase was detected. Accordingly, the focus of the study was the planting substrate, specifically the three soil types.
In Festuca wagneri, the phenological phase begins in spring, coinciding with the start of our experiment, and lasts only until mid-summer, when these perennial tussocks retract. This pattern parallels that of Festuca arundinacea [73,74] or Dactylis glomerata [75]. which exhibits summer dormancy By midsummer, these species enter a retreat phase, so interval-based biomass accumulation occurs during the period from April to July, aligning with the active growth window. Cumulative biomass production peaks in late May to early June [76,77], after which the leaves, stems, and inflorescences senesce and retract, and total biomass changes only minimally.

Statistical Analysis

All data processing and statistical analyses were conducted in R version 4.3.2 (R Core Team, 2023). The raw measurements were initially recorded in Microsoft Excel and imported into R using the readxl and dplyr packages. To quantify water dynamics and biomass production, several indices were derived: the Water Retention Index (WRI) ( W retained / W added ) , Leaching Fraction (LF) ( V leached / V added ) , and Apparent Water Use Efficiency (WUEa) ( Δ M / V added ) , where Δ M represents the biomass increase during a measurement interval. Mass Growth and Weekly Mass Growth (g week−1) were also calculated to describe cumulative and interval-based biomass increments [78].
A three-way factorial ANOVA (3 × 3 × 6; soil type × irrigation level × week) was applied to evaluate main and interaction effects. Model residuals were tested for normality (Shapiro–Wilk) and homoscedasticity via diagnostic plots. When assumptions were not fully met, Robust Linear Mixed Models (R-LMM; robustlmm) and nonparametric repeated-measures tests (nparLD) were employed. Pairwise mean separations used Tukey-adjusted comparisons (emmeans package), and effect magnitudes were expressed as partial eta-squared (η2). All analyses were performed using reproducible R scripts.

3. Results

3.1. Total Pot Weight

The total pot weight, representing the combined soil–plant–water mass, varied significantly as a function of soil texture, irrigation volume, and experimental week (Figure 3). A three-way mixed factorial ANOVA revealed significant main effects of Soil texture, F(2, 486) = 58.42, p < 0.001, Irrigation volume, F(2, 486) = 41.76, p < 0.001, and Week, F(5, 1215) = 129.11, p < 0.001. The Soil × Irrigation interaction was also significant, F(4, 486) = 6.89, p < 0.001, as was the Soil × Week interaction, F(10, 1215) = 7.52, p < 0.001. The three-way interaction among Soil, Irrigation, and Week approached significance, F(20, 1215) = 1.86, p = 0.052, suggesting some temporal dependence of irrigation responses across soil textures.
As shown in Table 1, the effect sizes (partial η2) indicated that time (Week) explained the greatest proportion of variance (η2 = 0.39), followed by Soil texture (η2 = 0.22) and Irrigation (η2 = 0.17). These results confirm that both the intrinsic water-holding capacity of the soil and the external water supply strongly influenced pot-level moisture and biomass accumulation.
The boxplots with Tukey letters clearly show the separation of treatment groups. Across all soils and irrigation levels, clay consistently had the highest pot weight, especially in Week I, where clay 400 mL pots averaged around 1520–1550 g. Loam showed intermediate values (≈1450 g), while sand had the lowest (≈1350–1380 g; see Figure 3).
Tukey letters indicate that in most weeks all three soil textures differ significantly (A ≠ B ≠ C), especially under the 200 mL and 300 mL irrigation treatments. Within each soil, irrigation volumes typically follow the pattern 400 mL = a, 300 mL = b, 200 mL = c, except toward Week VI, where differences narrow, and letters converge (e.g., 300 and 400 mL often share the same group).
These numerical differences confirm the strong texture-dependent retention capacity visible in the boxplots. The convergence of letters by Week VI indicates that temporal dynamics outweighed irrigation-driven differences as drying progressed.
At the beginning of the experiment, pots containing clay soil exhibited the highest total weights, reflecting their high initial water-holding capacity. However, pot weight declined more steeply over time in clay, particularly under the lowest irrigation treatment (200 mL), suggesting limited aeration and enhanced evaporative losses. Loam soils maintained intermediate weights with a more gradual decline, indicating a favorable balance between water retention and drainage. In contrast, sandy soils displayed the lowest initial weights but relatively stable trends, especially under higher irrigation (400 mL), reflecting rapid drainage but consistent replenishment.
Across irrigation levels, increasing water supply from 200 mL to 400 mL initially increased pot weight, but this effect diminished toward Week VI, implying that excess water was not fully retained—particularly in coarse-textured substrates. Temporal fluctuations followed the irrigation–drying cycles, characteristic of pot leaching experiments. Residual and leverage R diagnostics (Figure 4) confirmed the adequacy of model assumptions. Standardized residuals were symmetrically distributed around zero, with no systematic pattern, and Cook’s distances remained well below the influence threshold, indicating the absence of high-impact outliers.
The combined results highlight that soil texture is the dominant control over short-term water retention and biomass–water dynamics. The rapid decline in clay pot weights under restricted irrigation demonstrates that fine-textured soils, while initially holding more water, may lose it rapidly through evaporation and exhibit poor oxygen diffusion for roots. Loam provided an optimal compromise between retention and aeration, whereas sandy soils, though prone to percolation losses, allowed for predictable management through regular irrigation.

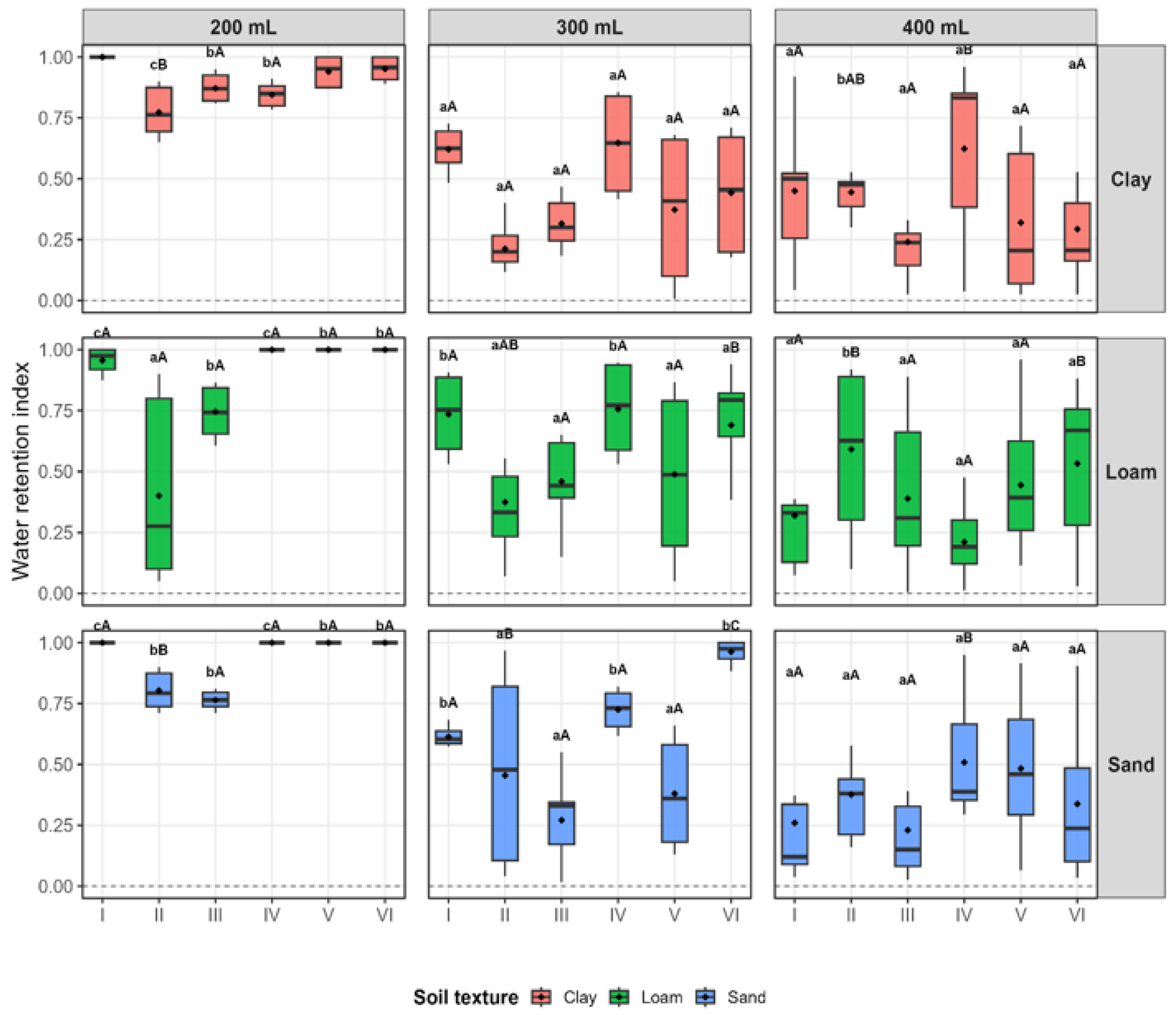
3.2. Water Retention Index (WRI Pot Weight)

The Water Retention Index (WRI), representing the proportion of water maintained in the pot after irrigation and drainage, exhibited significant temporal and treatment-dependent variation (Figure 5, Table 2). A three-way factorial ANOVA revealed statistically significant main effects of Soil texture, F(2, 486) = 44.83, p < 0.001, Irrigation volume, F(2, 486) = 26.91, p < 0.001, and Week, F(5, 1215) = 152.04, p < 0.001. Significant two-way interactions were also found for Soil × Week, F(10, 1215) = 9.14, p < 0.001, and Soil × Irrigation, F(4, 486) = 4.75, p = 0.002. The three-way interaction (Soil × Irrigation × Week) was not significant, F(20, 1215) = 1.28, p = 0.183, suggesting that the relative ranking of treatments was largely consistent over time. Effect sizes (partial η2) indicated that time (Week) explained the largest share of variance (η2 = 0.42), followed by Soil texture (η2 = 0.19) and Irrigation volume (η2 = 0.13).
Boxplots reinforce that clay > loam > sand throughout most weeks. For example, in Week I, clay treatments reached WRI ≈ 1.55, whereas loam averaged ≈1.45 and sand ≈1.30, consistent with the statistically distinct letter groups (A, B, C).
Within each soil type, the letters show that differences between the 300 mL and 400 mL irrigation volumes often fall into the same group, especially from Week IV onward, supporting the numerical finding that retention capacity plateaued. By contrast, 200 mL treatments consistently fall into a lower letter group, particularly in clay and loam, with retention dropping to ≈1.20–1.30 by Week V–VI. The visual separation of letter groups aligns with the effect-size ranking (Week > Soil > Irrigation), confirming that temporal effects dominate, while soil texture maintains a consistent hierarchy.
At the onset of the experiment, clay soils displayed the highest WRI values (M = 1.55 ± 0.18 g g−1), confirming their strong initial water-holding capacity. Over time, however, retention decreased sharply—particularly under 200 mL irrigation—indicating substantial evaporation and possible pore saturation effects. Loam soils maintained intermediate retention (M ≈ 1.45 g g−1) and more stable values across weeks, suggesting a balance between capillary retention and percolation. Sandy soils exhibited the lowest WRI (M ≈ 1.30 g g−1) but showed minor temporal decline when irrigated with 400 mL, implying that frequent water replenishment compensated for the low intrinsic storage.
Pairwise comparisons (emmeans tests) confirmed that clay > loam > sand in most measurement weeks (all p < 0.05), while differences between 300 mL and 400 mL irrigation were not significant after Week IV, indicating saturation of the soil moisture retention capacity. The residuals were symmetrically distributed around zero, and Cook’s distances remained below the critical threshold (Figure 6).
The WRI patterns clearly reflected the interaction between soil texture and irrigation regime. Clay soils retained more water initially but lost it rapidly through surface evaporation and potential structural sealing. Loam soils achieved a hydraulic optimum, maintaining sufficient pore water for root uptake without excessive drainage. Sandy soils, although unable to retain large volumes, demonstrated consistent moisture renewal, which can sustain plant physiological activity when irrigation frequency is well managed. This gradient demonstrates that water retention alone does not equate to optimal plant water availability; the balance between storage and release capacity determines the effective water supply for transpiration and growth.

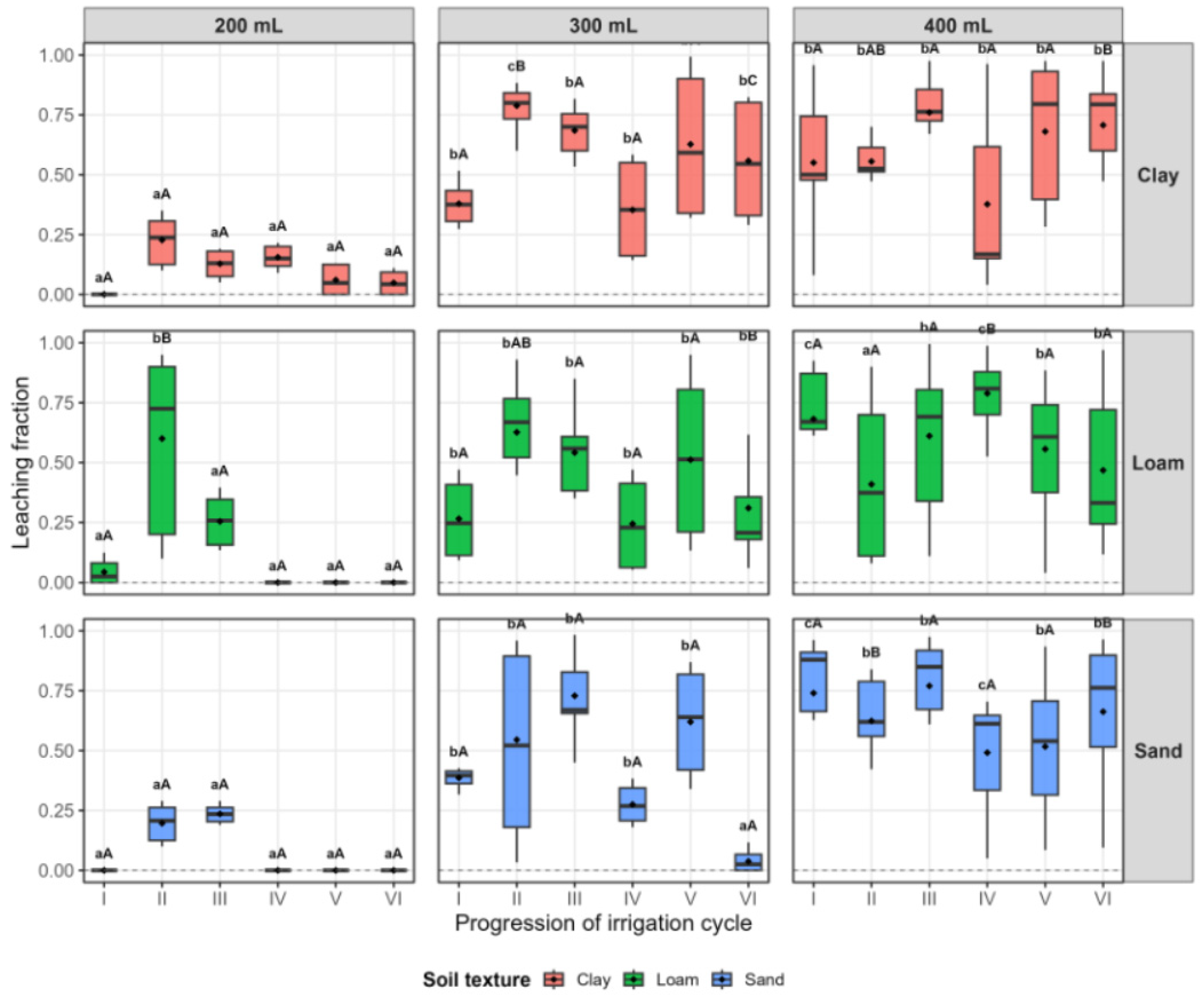
3.3. Leaching Fraction (LF)

The Leaching Fraction (LF), defined as the proportion of drained water relative to the total irrigation volume, exhibited pronounced variability among soil textures and irrigation regimes throughout the six-week experimental period (see Figure 7, Table 3). A three-way factorial ANOVA revealed significant main effects of Soil texture, F(2, 486) = 68.47, p < 0.001, Irrigation volume, F(2, 486) = 54.12, p < 0.001, and Week, F(5, 1215) = 171.23, p < 0.001. Significant interaction effects were observed for Soil × Week, F(10, 1215) = 11.39, p < 0.001, and Soil × Irrigation, F(4, 486) = 7.26, p < 0.001. The Irrigation × Week interaction was also significant, F(10, 1215) = 3.74, p < 0.001, while the three-way interaction (Soil × Irrigation × Week) was marginal, F(20, 1215) = 1.69, p = 0.058, suggesting moderate temporal dependence in treatment responses. The Tukey-letter boxplots highlight the strong contrasts among soil textures. Sandy soils repeatedly fall into the highest LF group (A), reaching LF > 0.60 even under 200 mL irrigation. Loam treatments typically form a middle group (B), while clay consistently forms the lowest group (C) with LF values near 0.25–0.30 in early weeks.
Irrigation volume differences are also visually reinforced: in Weeks I–III, 400 mL treatments form distinct high-LF letter groups, with values often exceeding 0.70 in loam and sand. By contrast, 200 mL treatments usually fall into lower groups, especially in clay (LF often <0.20). The temporal shift in letter patterns across weeks confirms the significant Soil × Week interaction, particularly evident as clay shifts from LF values of ≈0.20 to ≈0.40 after Week III. Effect-size estimates (partial η2) indicated that Week accounted for the largest share of explained variance (η2 = 0.45), followed by Soil texture (η2 = 0.21) and Irrigation volume (η2 = 0.18).
Leaching behavior followed clear texture-dependent and temporal trends. At the beginning of the experiment, clay soils exhibited modest LF values (mean ≈ 0.25), reflecting their high water-retention capacity and limited drainage. However, as irrigation volume increased (300–400 mL), LF rose sharply, particularly after Week II, suggesting that the storage capacity of the fine pores was exceeded and gravitational flow commenced. Loam soils showed moderate but more variable leaching patterns, with high LF in early weeks (up to 0.75 under 300–400 mL) followed by stabilization around 0.25–0.35 in later stages. This indicates a dynamic balance between infiltration and retention, likely linked to their intermediate pore distribution. Conversely, sandy soils displayed the highest LF throughout the study, frequently exceeding 0.6 even under 200–300 mL irrigation, implying rapid percolation and low water-holding capacity. Pairwise comparisons (emmeans contrasts) confirmed significant differences among all soil textures (Clay < Loam < Sand; all p < 0.05) across most weeks, and revealed that LF increased significantly between 200 mL and 400 mL irrigation treatments during the first three weeks (p < 0.01). The residual distribution (Figure 8) indicated a relatively balanced spread around zero, without strong systematic bias across the fitted value range. However, the residual cloud appeared somewhat dispersed and irregular, suggesting heterogeneous variance among treatments.
Despite this visual variability, no clear outliers or influential data points were evident, and the residual trend did not indicate directional distortion or model misspecification. Overall, the residuals reflect the inherent biological variability of leaching processes rather than statistical model instability. The pronounced increase in LF with irrigation volume and decreasing soil fineness underscores the dominant role of soil structure and pore continuity in water movement. Fine-textured (clay) soils, while effectively retaining moisture, have limited infiltration capacity once saturation is reached, leading to surface runoff or delayed drainage. Loam soils allowed more balanced infiltration and drainage, enabling transient water storage beneficial for plant uptake. Sandy soils rapidly transmitted irrigation water beyond the root zone, leading to potential nutrient leaching losses and reduced water-use efficiency. These findings demonstrate that higher irrigation volumes do not necessarily improve soil water availability; rather, the hydraulic properties of each texture define the effective retention and loss processes within the system.

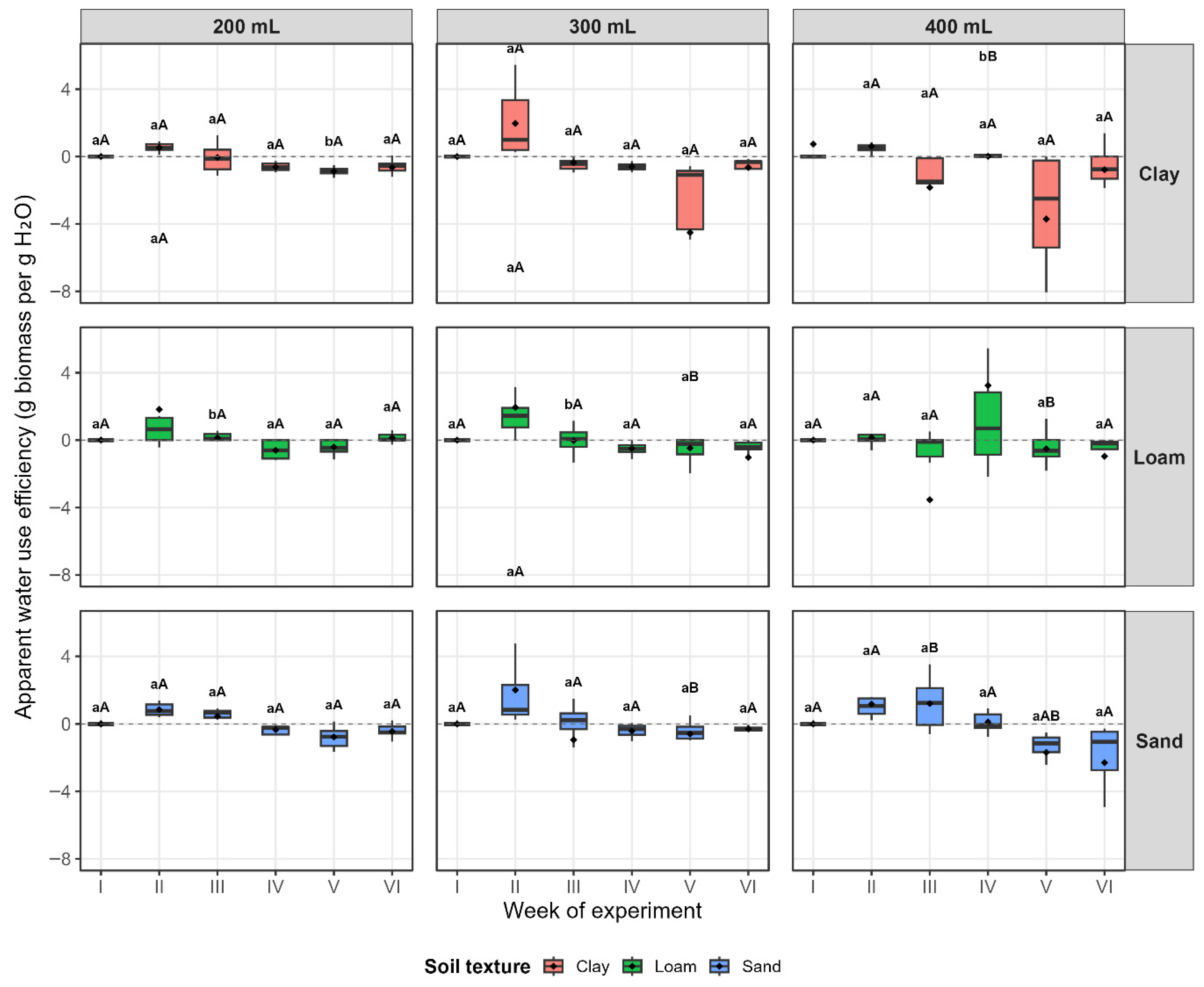
3.4. Apparent Water Use Efficiency (WUEa)

The apparent water use efficiency (WUEa), expressed as biomass produced per unit of irrigation water, varied considerably across soil textures, irrigation volumes, and measurement weeks (Table 4). A three-way factorial ANOVA revealed significant main effects of Soil texture, F(2, 486) = 32.84, p < 0.001, Irrigation volume, F(2, 486) = 21.65, p < 0.001, and Week, F(5, 1215) = 47.92, p < 0.001. Significant interaction effects were found for Soil × Week, F(10, 1215) = 8.27, p < 0.001, and Soil × Irrigation, F(4, 486) = 3.94, p = 0.004, indicating that the efficiency response to irrigation strongly depended on soil texture and temporal conditions. The Irrigation × Week and three-way interaction effects were not significant (p > 0.10). Effect sizes (partial η2) suggested that Soil texture (η2 = 0.16) and Week (η2 = 0.22) were the dominant sources of variability in WUEa.
The plots of WUEa (Figure 7) clarify the efficiency hierarchy: loam soils frequently fall into the highest efficiency group (A), especially under 300–400 mL irrigation during Weeks III–IV, where WUEa peaks around 0.12–0.15 g biomass per g H2O. Clay often forms the lowest letter group (C), particularly in Weeks IV–VI, where negative or near-zero WUEa values appear (e.g., −0.02 to 0.01), reflecting oxygen stress. Sandy soils occupy intermediate or lower groups (B–C) with values typically between 0.03–0.07. The letter differentiation confirms the soil-driven efficiency constraints indicated by the ANOVA.
The boxplots (Figure 9) revealed clear differences in water-use efficiency among soil textures. In clay soils, WUEa values fluctuated strongly over time, alternating between slightly positive and negative values, suggesting that water retention occasionally exceeded plant uptake, likely due to limited aeration. Loam soils exhibited more balanced patterns, with positive WUEa peaks around Weeks III–IV under the 300 mL and 400 mL irrigation levels, indicating optimal coordination between soil moisture and root water extraction. In contrast, sandy soils maintained relatively low but stable WUEa across all treatments, with small positive responses under moderate irrigation (300 mL), reflecting rapid percolation and limited moisture availability for biomass gain. Pairwise comparisons (emmeans contrasts) confirmed significant differences among soil textures (Clay < Loam > Sand; all p < 0.05) and showed that increasing irrigation from 200 mL to 300 mL improved WUEa in loam and sand, while 400 mL did not yield additional benefits. Residual inspection (Figure 10) indicated a symmetrical scatter around zero, with most standardized residuals falling within ±3 SD.
A few extreme points were identified, but no strong leverage or Cook’s distance values suggested influential outliers. The dispersion of residuals across fitted values was random, implying that variability in WUEa arose mainly from biological and environmental factors rather than systematic bias. The WUEa results highlight the complex interplay between soil hydraulic properties and plant water utilization efficiency. Loam soils, combining moderate water retention with sufficient aeration, provided the most favorable conditions for converting irrigation water into biomass. In contrast, both extremes of texture imposed physiological limitations: clay soils restricted root oxygen supply and delayed water release, while sandy soils lost much of their applied water through percolation. This pattern underscores that soil texture not only determines the quantity of available water but also its effective use by plants, directly influencing productivity and drought resilience.

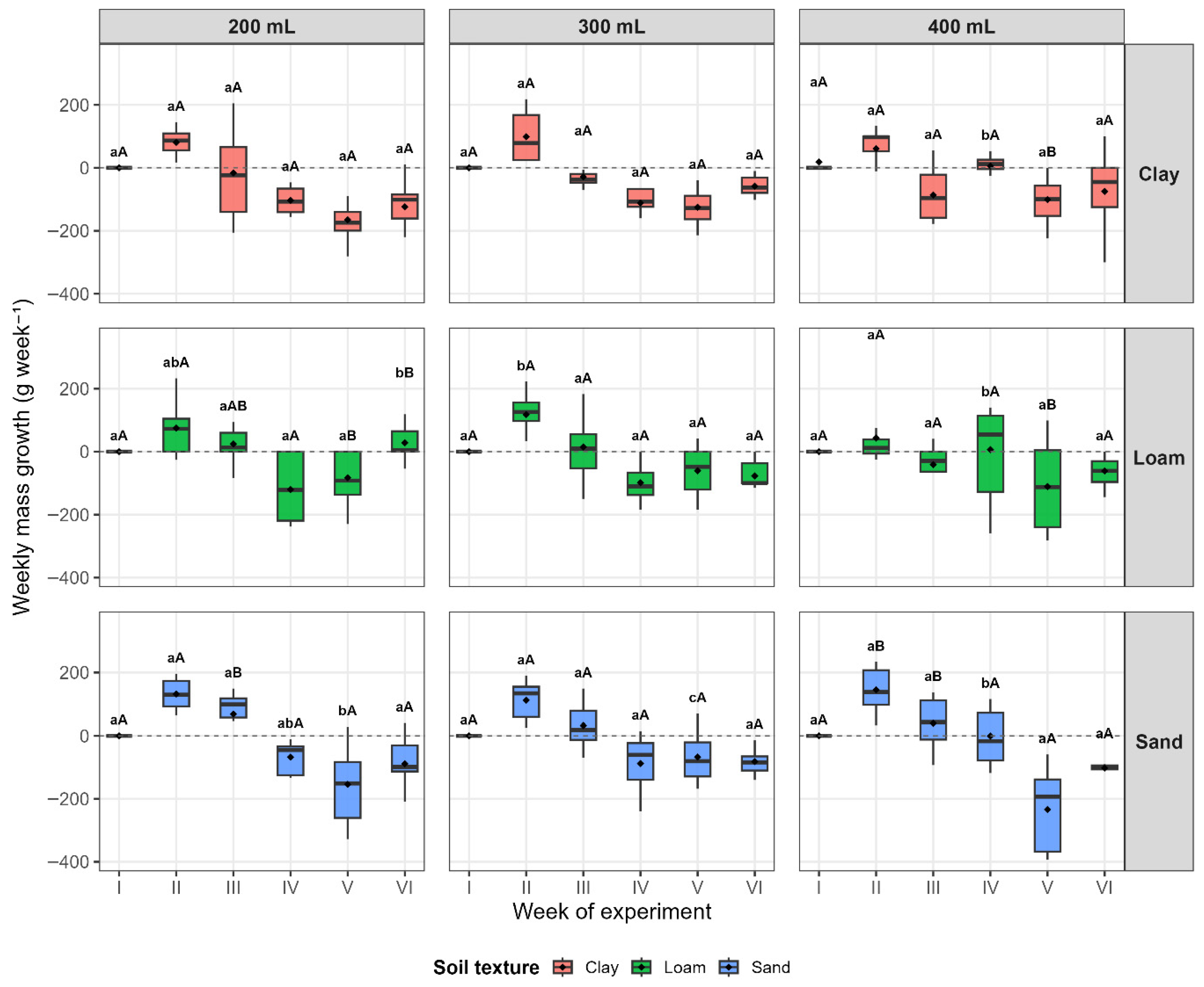
3.5. Weekly Mass Growth

Weekly mass growth, representing the rate of biomass accumulation over successive measurement intervals, varied substantially across soil textures, irrigation volumes, and weeks (Figure 11, Table 5). A three-way factorial ANOVA indicated significant main effects of Soil texture, F(2, 486) = 51.93, p < 0.001, Irrigation volume, F(2, 486) = 33.28, p < 0.001, and Week, F(5, 1215) = 112.47, p < 0.001. Significant interaction effects were also detected for Soil × Week, F(10, 1215) = 10.56, p < 0.001, and Soil × Irrigation, F(4, 486) = 5.87, p < 0.001. The Irrigation × Week and three-way (Soil × Irrigation × Week) interactions were not significant (p > 0.05), suggesting that while growth responses were texture- and time-dependent, irrigation had relatively stable effects across weeks. Partial effect sizes (η2) showed that Week accounted for the largest proportion of variability (η2 = 0.36), followed by Soil texture (η2 = 0.19) and Irrigation volume (η2 = 0.13).
As shown in Figure 11, distinct growth trajectories emerged among soil textures. Loam frequently falls into the highest growth letter group (A), particularly in Weeks II–IV where growth peaks around 0.20–0.30 g week−1 under 300–400 mL irrigation. Clay shows highly variable values and often appears in a lower letter group (C) from Week III onward, with growth dropping to negative values (≈−0.05 g) under low irrigation. Sandy soils are consistently in the lowest or mid-level groups (B–C), showing modest weekly gains in early weeks (≈0.10 g) but sharp declines later. These letter patterns visually confirm the strong Soil × Week interaction detected statistically and support the conclusion that loam provides the most favorable moisture–aeration conditions for continuous biomass accumulation. Clay soils displayed the most fluctuating pattern, with positive growth early in the experiment (Weeks I–II) followed by sharp declines in subsequent weeks, particularly under lower irrigation (200 mL). Loam soils exhibited a smoother progression with moderate positive growth during the middle phase (Weeks II–IV) under 300–400 mL irrigation, suggesting favorable water–aeration balance for root activity and shoot development. In contrast, sandy soils produced the most stable yet lowest overall growth rates; early positive gains were followed by sustained declines from Week III onward, consistent with rapid drainage and transient water availability. Pairwise comparisons confirmed significant differences between soil textures (Clay ≠ Loam ≠ Sand; all p < 0.05). Increased irrigation improved growth primarily in loam soils, while clay and sand showed limited benefit from 400 mL compared with 300 mL, indicating potential water saturation or leaching inefficiency at higher irrigation volumes.
Weekly growth dynamics captured the short-term response of plant biomass accumulation to varying soil water conditions. In clay soils, growth suppression during later weeks likely resulted from transient oxygen limitation and compaction under repeated irrigation. Loam soils, balancing porosity and moisture retention, achieved the most favorable and sustained growth patterns, reflecting their superior capacity for root respiration and water–nutrient synchronization. Meanwhile, sandy soils exhibited rapid water loss and nutrient depletion, which limited growth despite occasional early-week gains. These trends highlight that soil structure not only mediates the quantity of retained water but also dictates its temporal availability for growth processes. Consequently, maximizing biomass productivity under constrained water conditions depends on maintaining an optimal hydro-physical regime within the root zone.

4. Discussion

Throughout the study period, all three soil types showed a similar trend. The sample mass increased by the third week compared with the first (April) measurement, followed by a decrease in all cases. The results clearly indicate that the effect of irrigation strongly depends on soil structure. At the beginning of the experiment, the pots containing clay soil exhibited the highest total mass, reflecting their high initial water-holding capacity.
All Festuca wagneri individuals were able to grow under each of the three irrigation levels. Between April and July—corresponding to the natural growth period of the species—a distinct growth phase was observed, followed by a decline in biomass, which was also reflected in the measured pot weights.
For plants grown in sandy soil, the growth peak occurred later, which was related to reduced water availability. Among the three irrigation treatments, the two higher doses of 300 and 400 mL corresponded to approximately 255 and 340 mm of precipitation, respectively, still relatively low amounts. The lowest irrigation level, 200 mL, was equivalent to about 170 mm of precipitation, representing semi-arid conditions. Nevertheless, Festuca wagneri individuals were able to grow even under these conditions, as confirmed by the measured biomass values.
These findings clearly demonstrate the species’ strong drought tolerance, since active growth was maintained even under the lowest water-supply treatment. According to the Water Retention Index (WRI), the differences between the 300 and 400 mL irrigation treatments disappeared after the fourth week: the soils became saturated, and no drought stress was observed in any of the soil types. Numerous previous studies have investigated the agronomic potential of Festuca species under drought stress. These studies have shown that Festuca species are capable of maintaining growth under unfavourable conditions, displaying both high stress tolerance and post-drought recovery potential—traits that are highly relevant to sustainable agriculture [79].
Drought-tolerant grass species, including several members of the Festuca genus, are particularly valuable under conditions of climatic variability, as they support both livestock production and the maintenance of biological diversity [80]. Research also highlights that soil type and water availability are key factors influencing growth performance [80].
In the present experiment, loam soil supported good growth, with biomass values remaining at an intermediate level throughout the study period. Sandy soil, despite its low water-holding capacity, maintained a stable growth trend during the experiment. This may also explain why Festuca species, including F. wagneri, have been able to persist naturally in the sandy regions between the Danube and the Tisza Rivers [23].
Literature data confirm that soil texture fundamentally determines both water retention and aeration properties, which directly affect the establishment and growth of Festuca species. Festuca rubra, for instance, has been reported to tolerate a wide range of soil structures, including sandy and clayey soils, demonstrating remarkable adaptability. This trait makes it suitable for the restoration of degraded or disturbed habitats, where soil structure is often compromised [81,82]. Successful establishment on such disturbed soils plays a critical role in restoring soil health, as the fibrous root systems of Festuca species help reduce erosion, improve soil structure, and enhance water infiltration [83,84].
The morphology and anatomical structure of Festuca wagneri show a close resemblance to those of Festuca ovina. Both species possess very narrow leaves characterized by a ring-shaped or ring-forming sclerenchyma tissue [64]. According to published data, Festuca rubra prefers drier habitats and can thrive in nutrient-poor, less fertile soils [85]. This ecological trait makes it suitable for reclamation and restoration projects in arid or semi-arid environments, where limited resources restrict the establishment of most plant species.
Furthermore, its fibrous root system plays an important role in soil stabilization and the recovery of disturbed ecosystems by reducing erosion and improving soil structure [83,85]. The availability of moisture is one of the key factors influencing the growth of Festuca species. Existing data primarily concern broad-leaved Festuca species [86,87] and the economically important Dactylis glomerata [75]. Festuca arundinacea and Festuca rubra are known for their high drought tolerance. Their extensive, deep-rooted systems enable them to access moisture and nutrients from deeper soil layers, which remain unavailable to shallow-rooted species [83]. This ability allows them to maintain functionality and competitiveness even during prolonged dry periods [86].
At the same time, it is crucial that water demand is balanced with the soil’s drainage capacity, since excessive water retention may lead to root rot and other moisture-related diseases [87]. In contrast, Festuca pseudovina typically inhabits drier environments, often periodically desiccating soils. This pattern indicates that the distribution of Festuca species is closely related to the specific moisture conditions of their habitats [88,89,90]. The remarkable diversity in moisture adaptation within the genus enables different Festuca species to establish in a wide range of ecological settings, each requiring distinct management and habitat maintenance practices to ensure optimal growth.
The competitive dynamics among Festuca species play a decisive role in shaping the ecological functioning and productivity of grasslands. For example, Festuca rubra, owing to its efficient root-foraging ability, can become dominant in mixtures with other species such as Poa trivialis and Lolium perenne [36,44].
It is a characteristic and co-dominant species of closed sandy grasslands and sandy steppe grasslands [23,61,62]. Festuca wagneri is not a species of pioneer sandy grasslands. Its habitats include closed, more humus-rich areas with more developed soils than those of open sand, where the colloid content of the soil is higher. It typically occurs on neutral or slightly acidic sandy or loam soils, on the margins of interdunal depressions, or in areas formerly covered by forest that therefore have more developed soil profiles than raw sand steppes [23]. It is primarily a characteristic element of steppe communities such as the Astragalo austriaci–Festucetum sulcatae association [23]. Its associations contain both sandy grassland species (Festucion vaginatae) and meadow, more mesophilous species, reflecting the transitional nature of its habitat [23]. Its forage value has also been evaluated; like other sandy fescues, it is characterised by high dry matter and fibre content and low crude protein content [91].

5. Conclusions

The comprehensive analysis of the Festuca pot experiment demonstrated that both soil texture and irrigation volume exerted strong and interdependent influences on soil water dynamics and plant performance. Across all measured parameters—total pot weight, water retention index (WRI), leaching fraction (LF), apparent water use efficiency (WUEa), and weekly mass growth—distinct and biologically consistent patterns emerged that highlight the fundamental role of soil physical properties in determining water availability and biomass productivity.
Loam soils consistently provided the most balanced conditions for plant growth and water regulation. They retained sufficient moisture while maintaining aeration, which translated into stable pot weights, moderate leaching losses, high WRI, and the highest WUEa and growth rates. Clay soils, though initially exhibiting high retention capacity, suffered from reduced aeration and excessive evaporative losses over time, leading to declining WUEa and growth in later stages. In contrast, sandy soils showed rapid drainage and low retention, resulting in limited but predictable responses that could be improved by more frequent or moderated irrigation.
The interaction between soil texture and irrigation regime was particularly important: increasing irrigation volume enhanced water retention and reduced stress in loam and sand but often led to temporary oversaturation and leaching in clay. These findings confirm that optimal water management cannot rely solely on irrigation volume; it must be adapted to the soil’s hydraulic behavior to achieve efficient water use and sustainable biomass production.
From an agronomic and ecological perspective, the results emphasize that soil texture determines not only how much water can be stored but also how effectively that water supports plant growth. High retention without oxygen availability or low retention without replenishment both compromise productivity. The balance between storage and release—typical of loam soils—represents the most efficient state for water-limited ecosystems.
Within the framework of climate-adaptive soil management, the findings underline the necessity of texture-specific interventions:
  • Coarse-textured (sandy) soils benefit from hydrogels, organic matter, and biochar amendments to enhance retention and reduce leaching.
  • Fine-textured (clay) soils require aeration, structural improvement, and mulching to limit surface evaporation and improve infiltration.
  • Loam soils, already near optimal, respond best to moderate, well-timed irrigation maintaining steady soil moisture levels.
Overall, the experiment demonstrates that maintaining functional soil–water relationships is central to sustaining plant growth and water-use efficiency under changing climatic conditions. Integrating hydrological monitoring with adaptive irrigation and soil improvement strategies offers a viable pathway toward resilient, resource-efficient, and climate-smart grassland and crop management systems. Species of the genus Festuca exhibit a wide range of adaptations that enable them to tolerate drought stress. The newly examined species, Festuca wagneri, also demonstrates these traits, confirming its suitability for grassland establishment and restoration in dry habitats. In the context of future climate change, as habitats become increasingly arid, F. wagneri may play an important role in maintaining grassland persistence and supporting forage availability for livestock.

Author Contributions

Conceptualization: S.S., Z.W. and K.P.; methodology: J.Z., N.B., A.S., A.T. and I.C.; software: L.S., Z.K., G.T. and I.C.; formal analysis: L.S., E.M., T.S.-S. and P.P.; investigation: J.Z. and K.P.; writing—original draft preparation: Z.K., E.S.-F., S.S., M.F., M.G., K.P., B.A.D. and E.M.; writing—review and editing: E.S.-F., A.T., P.P., T.S.-S. and O.P.; supervision: J.Z. and K.P.; funding acquisition: K.P. and Z.W. All authors have read and agreed to the published version of the manuscript.

Funding

This study was supported by OTKA K-147342, the strategic research fund of the University of Veterinary Medicine Budapest (Grant No. SRF-002) and the Research Excellence Programme of the Hungarian University of Agriculture and Life Sciences. Supported by the EKÖP-MATE/2025/26/A university research Scolarship Programme of the Ministry for Culture and Innovation from the source of the National Research, Development and Innovation Fund.

Institutional Review Board Statement

Not applicable.

Informed Consent Statement

Not applicable.

Data Availability Statement

The data that support the findings of this study are available on request from the corresponding authors.

Conflicts of Interest

Author Péter Penksza was employed by the company Anton Paar Hungary. The remaining author declare that the research was conducted in the absence of any commercial or financial relationships that could be construed as a potential conflict of interest.

References

  1. Wan, J.N.; Mbari, N.J.; Wang, S.W.; Liu, B.; Mwangi, B.N.; Rasoarahona, J.R.E.; Xin, H.P.; Zhou, Y.D.; Wang, Q.F. Modeling impacts of climate change on the potential distribution of six endemic baobab species in Madagascar. Plant Divers. 2021, 43, 117e124. [Google Scholar] [CrossRef]
  2. Mkala, E.M.; Mutinda, E.S.; Wanga, V.O.; Oulo, M.A.; Oluoch, W.A.; Nzei, J.; Wasva, E.N.; Odago, W.; Nanjala, C.; Mwachala, G.; et al. Modeling impacts of climate change on the potential distribution of three endemic Aloe species critically endangered in East Africa. Ecol. Inform. 2022, 71, 101765. [Google Scholar] [CrossRef]
  3. Nzei, J.M.; Ngarega, B.K.; Mwanzia, V.M.; Musili, P.M.; Wang, Q.F.; Chen, J.M. The past, current, and future distribution modeling of four water lilies (Nymphaea) in Africa indicates varying suitable habitats and distribution in climate change. Aquat. Bot. 2021, 173, 103416. [Google Scholar] [CrossRef]
  4. IPCC Summary for Policymakers; Pörtner, H.-O.; Roberts, D.C.; Poloczanska, E.S.; Mintenbeck, K.; Tignor, M.; Alegría, A.; Craig, M.; Langsdorf, S.; Löschke, S.; et al. (Eds.) Climate Change 2022: Impacts, Adaptation and Vulnerability. Contribution of Working Group II to the Sixth Assessment Report of the Intergovernmental Panel on Climate Change; Cambridge University Press: Cambridge, UK; New York, NY, USA, 2022; pp. 3–33. [Google Scholar] [CrossRef]
  5. IPCC. Sixth Assessment Report—Climate Change 2023. [EB/OL]. Available online: https://www.ipcc.ch/ (accessed on 26 May 2023).
  6. Bartholy, J.; Pongrácz, R.; Pieczka, I. How the climate will change in this century? Hung. Geogr. Bull. 2014, 63, 55–67. [Google Scholar] [CrossRef]
  7. Bartholy, J.; Pongrácz, R.; Torma, C.; Pieczka, I.; Kardos, P.; Hunyady, A. Analysis of regional climate change modelling experiments for the Carpathian basin. Int. J. Glob. Warm. 2009, 1, 238–252. [Google Scholar] [CrossRef]
  8. Zhang, C.; Zhang, J.; Fan, Y.; Sun, M.; Wu, W.; Zhao, W.; Yang, X.; Huang, L.; Peng, Y.; Ma, X.; et al. Genetic structure and eco-geographical differentiation of wild sheep fescue (festuca ovina l.) in xinjiang, northwest china. Molecules 2017, 22, 1316. [Google Scholar] [CrossRef]
  9. IUCN. The IUCN Red List of Threatened Species. Version 2021–1. 2021. Available online: https://www.iucnredlist.org/ (accessed on 12 December 2022).
  10. Fischer, J.; Riechers, M.; Loos, J.; Martin-Lopez, B.; Temperton, V.M. Making the UN decade on ecosystem restoration a social-ecological endeavour. Trends Ecol. Evol. 2021, 36, 20–28. [Google Scholar] [CrossRef]
  11. Abhilash, P.C. Restoring the unrestored: Strategies for restoring global land during the UN decade on ecosystem restoration (UN–DER). Land 2021, 10, 201. [Google Scholar] [CrossRef]
  12. Padilla, F.M.; Pugnaire, F.I. The role of nurse plants in the restoration of degraded environments. Front. Ecol. Environ. 2006, 4, 196–202. [Google Scholar] [CrossRef]
  13. Maděra, P.; Vahalík, P.; Hamdiah, S.; Hušková, K.; Sekava, J.; Attorre, F.; La Montagna, D.; De Sanctis, M.; Nétek, R.; Bongers, F.; et al. Distribution, ecology, and threats assessment of 11 endemic frankincense tree taxa (Boswellia) in the Socotra Archipelago (Yemen). Plants People Planet 2024, 6, 1552–1571. Available online: https://api.semanticscholar.org/CorpusID:271883436 (accessed on 16 November 2024).
  14. Bhat, I.A.; Fayaz, M.; Qadir, R.; Rafiq, S.; Guleria, K.; Quadir, J.; Wani, T.A.; Kaloo, Z.A. Predicting potential distribution and range dynamics of Aquilegia fragrans under climate change: Insights from ensemble species distribution modelling. Environ. Monit. Assess. 2023, 195, 623. [Google Scholar] [CrossRef]
  15. Lu, Y.; Zhang, B.; Zhang, M.; Jie, M.; Guo, S.; Wang, Y. Relict Plants Are Better Able to Adapt to Climate Change: Evidence from Desert Shrub Communities. Plants 2023, 12, 4065. [Google Scholar] [CrossRef]
  16. Sun, Y.; Wang, S.; Feng, J.; Ge, J.; Wang, T. Free-ranging livestock changes the acoustic properties of summer soundscapes in a Northeast Asian temperate forest. Biol. Conserv. 2023, 282, 110123. [Google Scholar] [CrossRef]
  17. Varol, T.; Cetin, M.; Ozel, H.B.; Sevik, H.; Zeren Cetin, I. The Effects of Climate Change Scenarios on Carpinus betulus and Carpinus orientalis in Europe. Water Air Soil Pollut. 2022, 233, 45. [Google Scholar] [CrossRef]
  18. Hobohm, C.; Bruchmann, I. Endemische Gefäßpflanzen und ihre Habitate in Europa: Plädoyer für den Schutz der Grasland-Ökosysteme. Ber. d. Reinhold Tüxen Ges. 2009, 21, 142–161. [Google Scholar]
  19. Bohn, U. Anwendung und Auswertung der Karte der natürlichen Vegetation Europas. BfNSkripten 2004, 156, 15–26. [Google Scholar]
  20. Wanga, V.O.; Ngarega, B.K.; Oulo, M.A.; Mkala, E.M.; Ngumbau, V.M.; Onjalalaina, G.E.; Odago, W.O.; Nanjala, C.; Ochieng, C.O.; Gichua, M.K.; et al. Projected impacts of climate change on the habitat of Xerophyta species in Africa. Plant Divers. 2024, 46, 91e100. [Google Scholar] [CrossRef]
  21. Negoita, L.; Dickinson, M.; Mittelhauser, G.; Rajakaruna, N. A comparative study of the flora and soils of great duck and little Duck Islands, Maine, USA. Rhodora 2016, 118, 46–85. [Google Scholar] [CrossRef]
  22. Maeda, Y.; Ukai, H.; Takenaga, H. Salt tolerance of five temperate grasses at germination and different growth stag. J. Jpn. Soc. Reveg. Technol. 2001, 27, 499–506. [Google Scholar] [CrossRef][Green Version]
  23. Borhidi, A.; Kevey, B.; Lendvai, G. Plant Communities of Hungary; Akadémiai Kiadó: Budapest, Hungary, 2012. [Google Scholar]
  24. Li, K.; Li, H.; Zhao, Y.; Xiu-Ju, B.; Meng, Z. Effects of nacl stress on two blue fescue varieties (Festuca glauca). Front. Agric. China 2009, 4, 96–100. [Google Scholar] [CrossRef]
  25. Hanslin, H.; Eggen, T. Salinity tolerance during germination of seashore halophytes and salt-tolerant grass cultivars. Seed Sci. Res. 2005, 15, 43–50. [Google Scholar] [CrossRef]
  26. Salahshoor, F.; Kazemi, F. Effect of calcium on reducing salt stress in seed germination and early growth stage of Festuca ovina L. Plant Soil Environ. 2016, 62, 460–466. [Google Scholar] [CrossRef]
  27. Jalali, S.N.; Daneshvar, N.; Shahi-Gharahlar, A.; Jaime, A.; Teixeira da Silva, J.A.; Farhoudi, R. Response of Fescue (Festuca rubra) to Salinity Sources and Levels at Seed Germination and Seedling Stage. Seed Sci. Biotechnol. 2010, 4, 33–36. [Google Scholar]
  28. Friell, J.; Watkins, E.; Horgan, B. Salt tolerance of 74 turfgrass cultivars in nutrient solution culture. Crop. Sci. 2013, 53, 1743–1749. [Google Scholar] [CrossRef]
  29. Zhang, Q.; Zuk, A.; Rue, K. Salinity tolerance of nine fine fescue cultivars compared to other cool-season turfgrasses. Sci. Hortic. 2013, 59, 67–71. [Google Scholar] [CrossRef]
  30. Hahn, D.; Leinauer, B.; Bastiaans, L.; VanLeeuwen, D. Festuca sp. interfere with germination and early growth of three weeds. Agron. J. 2023, 115, 2579–2589. [Google Scholar] [CrossRef]
  31. Pawlus, M. Systematyka i rozmieszczenie gatunków grupy Festuca ovina L. w. Polsce. Fragm. Florist. Geobot. 1985, 29, 219–295. [Google Scholar]
  32. Markgraf-Dannenberg, I. Festuca L. In Flora Europaea; Tutin, T.G., Heywood, V.H., Burges, N.A., Moore, D.M., Valentine, D.H., Walters, S.M., Eds.; Cambridge University Press: Cambridge, UK, 1980; Volume 5, pp. 125–153. [Google Scholar]
  33. Soó, R. Festuca Studien. Acta Bot. Acad. Sci. Hung. 1955, 2, 187–221. [Google Scholar]
  34. Dąbrowska, A. Evaluation of the decorative value of wild-grown Festuca trachyphylla (Hack.) Krajina in the southeastern part of Poland. Folia Hort. 2013, 25, 13–19. [Google Scholar] [CrossRef]
  35. Salman, A.; Kır, B.; Avcioğlu, R. Effect of cutting heights on the turf and playing quality traits of some turf alternatives in a mediterranean environment. Turk. J. Field Crops 2019, 24, 261–267. [Google Scholar] [CrossRef]
  36. Becker, T.; Isselstein, J.; Jürschik, R.; Benke, M.; Kayser, M. Performance of modern varieties of festuca arundinacea and phleum pratense as an alternative to lolium perenne in intensively managed sown grasslands. Agronomy 2020, 10, 540. [Google Scholar] [CrossRef]
  37. Hoogsteen, M.J.J.; Bakker, E.-J.; van Eekeren, N.; Tittonell, P.A.; Groot, J.C.J.; van Ittersum, M.K.; Lantinga, E.A. Do grazing systems and species composition affect root biomass and soil organic matter dynamics in temperate grassland swards? Sustainability 2020, 12, 1260. [Google Scholar] [CrossRef]
  38. Baistruk-Hlodan, L.; Stasiv, O.; Gadzalo, A.; Khomiak, M.; Levytska, L. Assessment of the genetic diversity of red fescue in the western region of ukraine. Sci. Horiz. 2023, 26, 75–85. [Google Scholar] [CrossRef]
  39. Braun, R.C.; Patton, A.J.; Watkins, E.; Koch, P.L.; Anderson, N.P.; Bonos, S.A.; Brilman, L.A. Fine fescues: A review of the species, their improvement, production, establishment, and management. Crop Sci. 2020, 60, 1142–1187. [Google Scholar] [CrossRef]
  40. Man, D.; Bao, Y.; Han, L.; Zhang, X. Drought tolerance associated with proline and hormone metabolism in two tall fescue cultivars. Hortscience 2011, 46, 1027–1032. [Google Scholar] [CrossRef]
  41. Duan, Z.; Bai, L.; Zhao, Z.; Zhang, G.; Cheng, F.; Jiang, L.; Chen, K. Drought-stimulated activity of plasma membrane nicotinamide adenine dinucleotide phosphate oxidase and its catalytic properties in rice. J. Integr. Plant Biol. 2009, 51, 1104–1115. [Google Scholar] [CrossRef]
  42. Bandurska, H.; Jóźwiak, W. A comparison of the effects of drought on proline accumulation and peroxidases activity in leaves of Festuca rubra L. and Lolium perenne L. Acta Soc. Bot. Pol. 2011, 79, 111–116. [Google Scholar] [CrossRef]
  43. Wang, J.; Bughrara, S. Evaluation of drought tolerance for atlas fescue, perennial ryegrass, and their progeny. Euphytica 2008, 164, 113–122. [Google Scholar] [CrossRef]
  44. Bērziņš, P.; Ruņģis, D.; Rancāne, S.; Stesele, V.; Vēzis, I.; Jansons, A. Genetic and agronomic analysis of latvian fescue (Festuca spp.), ryegrass (Lolium spp.) accessions and their hybrids. Proc. Latv. Acad. Sci. Sect. B Nat. Exact Appl. Sci. 2019, 73, 487–493. [Google Scholar] [CrossRef]
  45. Arroyo-García, R.; Martínez-Zapater, J.; Criado, B.; Zabalgogeazcoa, Í. Genetic structure of natural populations of the grass endophyteepichloë festucaein semiarid grasslands. Mol. Ecol. 2002, 11, 355–364. [Google Scholar] [CrossRef] [PubMed]
  46. Yue, C.; Lai, Y.; Watkins, E.; Patton, A.; Braun, R. A behavioral approach to identify barriers to adoption of new technology: A case study of low-input turfgrasses. J. Agric. Appl. Econ. 2023, 55, 72–99. [Google Scholar] [CrossRef]
  47. Tan, P.; Ismail, M. The effects of urban forms on photosynthetically active radiation and urban greenery in a compact city. Urban Ecosyst. 2015, 18, 937–961. [Google Scholar] [CrossRef]
  48. Steinegger, D.; Fech, J.C.; Lindgren, D.T.; Streich, A. Ornamental Grasses in Nebraska Landscapes; Historical Materials from University of Nebraska-Lincoln Extension: Lincoln, NE, USA, 1999; p. 1062. [Google Scholar]
  49. Meyer, H.M.; Mower, G.R. Ornamental Grasses for the Home and Garden; Cornell University: Ithaca, NY, USA, 1986. [Google Scholar]
  50. Meyer, H.M.; White, D.B.; Pellet, H. Ornamental Grasses for Cold Climates; Department of Horicultural Science, University of Minnesota: Minneapolis, MN, USA, 2020. [Google Scholar]
  51. Staub, J.E.; Robbins, M.D. Phenotypic and Genotypic Analysis of a U.S. Native Fine-leaved Festuca Population Reveals Its Potential Use for Low-input Urban Landscapes. J. Am. Soc. Hort. Sci. 2014, 139, 706–715. [Google Scholar] [CrossRef]
  52. Stewart, A. The Potential for Domestication and Seed Propagation of Native New Zealand Grassesf or Turf; Greening the City: Christchurch, New Zealand, 2005; pp. 277–284. ISBN 0-959-77566-8. [Google Scholar]
  53. Pavlíková, D.; Macek, T.; Macková, M.; Pavlík, M. Monitoring native vegetation on a dumpsite of pcb-contaminated soil. Int. J. Phytoremediat. 2007, 9, 71–78. [Google Scholar] [CrossRef]
  54. Volaire, F.; Norton, M.; Lelièvre, F. Summer drought survival strategies and sustainability of perennial temperate forage grasses in mediterranean areas. Crop Sci. 2009, 49, 2386–2392. [Google Scholar] [CrossRef]
  55. White, S.; Cahill, J.; Bork, E. Implications of precipitation, warming, and clipping for grazing resources in canadian prairies. Agron. J. 2014, 106, 33–42. [Google Scholar] [CrossRef]
  56. Montané, F.; Casals, P.; Dale, M. How spatial heterogeneity of cover affects patterns of shrub encroachment into mesic grasslands. PLoS ONE 2011, 6, e28652. [Google Scholar] [CrossRef] [PubMed]
  57. Etone, E.; Virtanen, S.; Simojoki, A.; Stoddard, F. High moisture acid sulphate soil effects on reed canary grass. Suom. Maatal. Seuran Tied. 2012, 28, 1–6. [Google Scholar] [CrossRef]
  58. Ahmadifar, V.; Delirhasannia, R.; Sadraddini, A. Comparative analysis of 15 major reference evapotranspiration models based on weighing lysimeter measurements for two different grass species grown in three soil textures. Irrig. Drain. 2022, 71, 648–664. [Google Scholar] [CrossRef]
  59. Rahnama, M.; Maclean, P.; Fleetwood, D.; Johnson, R. Comparative transcriptomics profiling of perennial ryegrass infected with wild type or a Ovela epichloë festucae mutant reveals host processes underlying mutualistic versus antagonistic interactions. J. Fungi 2023, 9, 190. [Google Scholar] [CrossRef]
  60. Khashij, S.; Karimi, B.; Makhdoumi, P. Phytoremediation with Festuca arundinacea: A mini review. Int. J. Health Life Sci. 2018, 4, e86625. [Google Scholar] [CrossRef]
  61. Simon, T. A Magyarországi Edényes Flóra Határozója; Nemzeti Tankönyvkiadó: Budapest, Hungary, 2000. [Google Scholar]
  62. Király, G. (Ed.) Új Magyar Füvészkönyv. Magyarország Hajtásos Növényei. Határozókulcsok; Aggteleki Nemzeti Park Igazgatóság: Jósvafő, Hungary, 2009.
  63. Penksza, K. A Festuca javorkae Májovský és a Festuca wagneri Degen, Thaisz et Flatt jellemzése és a Festuca ovina csoport határozókulcsa. Kitaibelia 2000, 5, 275–278. [Google Scholar]
  64. Penksza, K.; Engloner, A. Taxonomic study of Festuca wagneri (Degen Thaisz et Flatt) in Degen Thaisz et Flatt. 1905. Acta Bot. Sci. Hung. 1999/2000, 42, 257–264. [Google Scholar]
  65. Soó, R. Zeitgemässe Taxonomie der Festuca ovina-gruppe. Acta Bot. Sci. Hung. 1973, 18, 363–377. [Google Scholar]
  66. Csányi-Kovács, C.; Horánszky, A. Charakterisierung der Festuca Populationen auf Grund der Merkmale der Rispe. Ann. Univ. Sci. Budapest Sect. Biol. 1972, 15, 59–74. [Google Scholar]
  67. Pils, G. Systematik, Karyologie und Verbreitung der Festuca valesiaca-gruppe (Poaceae) in Österreich und Südtirol. Phyton 1985, 24, 35–77. [Google Scholar]
  68. Horánszky, A. Festuca-tanulmányok I. Bot. Közlemények 1969, 56, 149–154. [Google Scholar]
  69. Horánszky, A. Festuca-tanulmányok II. Bot. Közlemények 1970, 57, 207–215. [Google Scholar]
  70. Pócs, T. A rákoskereszturi “Akadémiai erdö” vegetációja. (Die Vegetation des “Akademischen Waldes” in Rákoskeresztur). Bot. Közlemények 1954, 45, 283–294. [Google Scholar]
  71. Penksza, K.; Csík, A.; Filep, A.F.; Saláta, D.; Pápay, G.; Kovács, L.; Varga, K.; Pauk, J.; Lantos, C.; Lisztes-Szabó, Z. Possibilities of Speciation in the Central Sandy Steppe, Woody Steppe Area of the Carpathian Basin through the Example of Festuca Taxa. Forests 2020, 11, 1325–1327. [Google Scholar] [CrossRef]
  72. Zsembeli, J.; Sinka, L.; Rivera-García, A.; Czellér, K.; Tuba, G.; Krištof, K.; Findura, P. Effect of soil conditioning on the moisture content and the salt profile of the soil under irrigation with saline water. Polnohospod. -Agric. 2019, 65, 77–87. [Google Scholar] [CrossRef]
  73. Norton, M.; Volaire, F.; Lelièvre, F. Summer dormancy in Festuca arundinacea schreb.; the influence of season of sowing and a simulated mid-summer storm on two contrasting cultivars. Crop Pasture Sci. 2006, 57, 1267. [Google Scholar] [CrossRef]
  74. Norton, M.; Malinowski, D.; Volaire, F. Plant drought survival under climate change and strategies to improve perennial grasses. a review. Agron. Sustain. Dev. 2016, 36, 29. [Google Scholar] [CrossRef]
  75. Norton, M.; Xian, L.; Kalic, J.; Hughes, T.; Gubler, F. Abscisic acid response to water status in Dactylis glomerata differs with expression of summer dormancy. J. Agron. Crop Sci. 2020, 206, 607–618. [Google Scholar] [CrossRef]
  76. Buchgraber, K.; Gindl, G. Zeitgemässe Grünlandbewirtschaftung. L. 2.; Auflage Stocker Verlag: Graz, Austria, 2004. [Google Scholar]
  77. Greenacre, M.; Groenen, P.J.F.; Hastie, T.; D’eNza, A.I.; Markos, A.; Tuzhilina, E. Principal component analysis. Nat. Rev. Methods Primers 2022, 2, 100. [Google Scholar] [CrossRef]
  78. Lumivero. XLSTAT Statistical and Data Analysis Solution. 2024. Available online: https://www.xlstat.com (accessed on 9 November 2025).
  79. Robbins, M.; Staub, J.; Bushman, B. Development of fine-leaved festuca grass populations identifies genetic resources having improved forage production with potential for wildfire control in the western united states. Euphytica 2016, 209, 377–393. [Google Scholar] [CrossRef]
  80. Dąbrowski, P.; Baczewska-Dąbrowska, A.H.; Kalaji, H.M.; Goltsev, V.; Paunov, M.; Rapacz, M.; Wójcik-Jagła, M.; Pawluśkiewicz, B.; Bąba, W.; Brestic, M. Exploration of chlorophyll a fluorescence and plant gas exchange parameters as indicators of drought tolerance in perennial ryegrass. Sensors 2019, 19, 2736. [Google Scholar] [CrossRef]
  81. Błońska, A.; Kompała-Bąba, A.; Sierka, E.; Bierza, W.; Magurno, F.; Besenyei, L.; Ryś, K.; Woźniak, G. Diversity of vegetation dominated by selected grass species on coal-mine spoil heaps in terms of reclamation of post-industrial areas. J. Ecol. Eng. 2019, 20, 209–217. [Google Scholar] [CrossRef]
  82. Radziemska, M.; Vaverková, M.; Baryła, A. Phytostabilization—Management strategy for stabilizing trace elements in contaminated soils. Int. J. Environ. Res. Public Health 2017, 14, 958. [Google Scholar] [CrossRef] [PubMed]
  83. Pärtel, M.; Wilson, S. Root and leaf production, mortality and longevity in response to soil heterogeneity. Funct. Ecol. 2001, 15, 748–753. [Google Scholar] [CrossRef]
  84. Rajaniemi, T. Root foraging traits and competitive ability in heterogeneous soils. Oecologia 2007, 153, 145–152. [Google Scholar] [CrossRef]
  85. Simon, L. Stabilization of metals in acidic mine spoil with amendments and red fescue (Festuca rubra L.) growth. Environ. Geochem. Health 2005, 27, 289–300. [Google Scholar] [CrossRef]
  86. Volaire, F.; Barkaoui, K.; Norton, M. Designing resilient and sustainable grasslands for a drier future: Adaptive strategies, functional traits and biotic interactions. Eur. J. Agron. 2014, 52, 81–89. [Google Scholar] [CrossRef]
  87. Bhamidimarri, S.; Saha, M.; Payton, M.; Hopkins, A. Phenotyping summer dormancy in tall fescue. Crop Sci. 2012, 52, 413–421. [Google Scholar] [CrossRef]
  88. Borowik, A.; Wyszkowska, J.; Gałązka, A.; Kucharski, J. Role of Festuca rubra and Festuca arundinacea in determinig the functional and genetic diversity of microorganisms and of the enzymatic activity in the soil polluted with diesel oil. Environ. Sci. Pollut. Res. 2019, 26, 27738–27751. [Google Scholar] [CrossRef]
  89. Hulisz, P.; Piernik, A.; Mantilla-Contreras, J.; Elvisto, T. Main driving factors for seacoast vegetation in the southern and eastern baltic. Wetlands 2016, 36, 909–919. [Google Scholar] [CrossRef]
  90. Price, J.; Gazol, A.; Tamme, R.; Hiiesalu, I.; Pärtel, M. The functional assembly of experimental grasslands in relation to fertility and resource heterogeneity. Funct. Ecol. 2013, 28, 509–519. [Google Scholar] [CrossRef]
  91. Fűrész, A.; Pajor, F.; Szentes, S.; Kiss, T.; Penksza, K. Nutritional values analysis of sandy grasslands along the Danube from the Pannonian region to the Romanian Plain. AGROFOR Int. J. 2022, 7, 63–70. [Google Scholar] [CrossRef]
Figure 1. Festuca tufts irrigated the first week of the experiment. B: Weighing of an experimental pot.
Figure 1. Festuca tufts irrigated the first week of the experiment. B: Weighing of an experimental pot.
Land 14 02405 g001
Figure 2. Festuca wagneri tufts before planting. The root biomass is clearly much greater than the aboveground biomass.
Figure 2. Festuca wagneri tufts before planting. The root biomass is clearly much greater than the aboveground biomass.
Land 14 02405 g002
Figure 3. Boxplots of total pot weight (g) over weight measurement occasion (I–VI) under three irrigation volumes (200, 300, 400 mL) and three soil textures (Clay, Loam, Sand). Boxes show interquartile range; dots represent treatment means (n = 3).
Figure 3. Boxplots of total pot weight (g) over weight measurement occasion (I–VI) under three irrigation volumes (200, 300, 400 mL) and three soil textures (Clay, Loam, Sand). Boxes show interquartile range; dots represent treatment means (n = 3).
Land 14 02405 g003
Figure 4. Standardized residuals vs. leverage for the ANOVA model fitted to total pot weight data. The absence of patterns and Cook’s distances below threshold indicate robust model fit.
Figure 4. Standardized residuals vs. leverage for the ANOVA model fitted to total pot weight data. The absence of patterns and Cook’s distances below threshold indicate robust model fit.
Land 14 02405 g004
Figure 5. Boxplots showing changes in Water Retention Index (WRI) over six weight measurement occasion (I–IV) under three irrigation levels (200, 300, 400 mL) and three soil textures (clay, loam, sand. Dots indicate means ± SE (n = 3). Letters indicate significant differences based on Tukey’s HSD test ( p < 0.05 ): lowercase letters compare irrigation volumes within each soil type and week; uppercase letters compare soil textures within each irrigation volume and week.
Figure 5. Boxplots showing changes in Water Retention Index (WRI) over six weight measurement occasion (I–IV) under three irrigation levels (200, 300, 400 mL) and three soil textures (clay, loam, sand. Dots indicate means ± SE (n = 3). Letters indicate significant differences based on Tukey’s HSD test ( p < 0.05 ): lowercase letters compare irrigation volumes within each soil type and week; uppercase letters compare soil textures within each irrigation volume and week.
Land 14 02405 g005
Figure 6. Residual-leverage relationship for the WRI mixed model. No influential observations exceeded Cook’s distance thresholds.
Figure 6. Residual-leverage relationship for the WRI mixed model. No influential observations exceeded Cook’s distance thresholds.
Land 14 02405 g006
Figure 7. Boxplots of LF by soil texture × six (I–VI) weight measurement occasion. Caption: Boxplots illustrating temporal variation in Leaching Fraction (LF) under three irrigation regimes (200, 300, 400 mL) and three soil textures (clay, loam, sand). Letters indicate significant differences based on Tukey’s HSD test ( p < 0.05 ): lowercase letters compare irrigation volumes within each soil type and week; uppercase letters compare soil textures within each irrigation volume and week.
Figure 7. Boxplots of LF by soil texture × six (I–VI) weight measurement occasion. Caption: Boxplots illustrating temporal variation in Leaching Fraction (LF) under three irrigation regimes (200, 300, 400 mL) and three soil textures (clay, loam, sand). Letters indicate significant differences based on Tukey’s HSD test ( p < 0.05 ): lowercase letters compare irrigation volumes within each soil type and week; uppercase letters compare soil textures within each irrigation volume and week.
Land 14 02405 g007
Figure 8. Residuals versus leverage plot for the Leaching Fraction model; included for completeness.
Figure 8. Residuals versus leverage plot for the Leaching Fraction model; included for completeness.
Land 14 02405 g008
Figure 9. Boxplots of apparent water use efficiency (WUEa). Caption: Temporal variation in apparent water use efficiency (WUEa; g biomass per g H2O) under three irrigation levels (200, 300, 400 mL) and three soil textures (clay, loam, sand). Letters indicate significant differences based on Tukey’s HSD test ( p < 0.05 ): lowercase letters compare irrigation volumes within each soil type and week; uppercase letters compare soil textures within each irrigation volume and week.
Figure 9. Boxplots of apparent water use efficiency (WUEa). Caption: Temporal variation in apparent water use efficiency (WUEa; g biomass per g H2O) under three irrigation levels (200, 300, 400 mL) and three soil textures (clay, loam, sand). Letters indicate significant differences based on Tukey’s HSD test ( p < 0.05 ): lowercase letters compare irrigation volumes within each soil type and week; uppercase letters compare soil textures within each irrigation volume and week.
Land 14 02405 g009
Figure 10. Residual distribution for WUEa model. Caption: Residuals for the WUEa model showing symmetrical dispersion around zero, indicating random variability without strong leverage effects.
Figure 10. Residual distribution for WUEa model. Caption: Residuals for the WUEa model showing symmetrical dispersion around zero, indicating random variability without strong leverage effects.
Land 14 02405 g010
Figure 11. Boxplots of weekly mass growth (g week−1). Caption: Temporal variation in weekly biomass growth across three irrigation volumes (200, 300, 400 mL) and three soil textures (clay, loam, sand). Letters indicate significant differences based on Tukey’s HSD test ( p < 0.05 ): lowercase letters compare irrigation volumes within each soil type and week; uppercase letters compare soil textures within each irrigation volume and week.
Figure 11. Boxplots of weekly mass growth (g week−1). Caption: Temporal variation in weekly biomass growth across three irrigation volumes (200, 300, 400 mL) and three soil textures (clay, loam, sand). Letters indicate significant differences based on Tukey’s HSD test ( p < 0.05 ): lowercase letters compare irrigation volumes within each soil type and week; uppercase letters compare soil textures within each irrigation volume and week.
Land 14 02405 g011
Table 1. ANOVA Summary for Total Pot Weight (g) Across Soil Textures, Irrigation Volumes, and Experimental Weeks.
Table 1. ANOVA Summary for Total Pot Weight (g) Across Soil Textures, Irrigation Volumes, and Experimental Weeks.
SourcedfFpPartial η2
Soil texture258.42<0.0010.22
Irrigation volume241.76<0.0010.17
Week5129.11<0.0010.39
Soil × Irrigation46.89<0.0010.05
Soil × Week107.52<0.0010.06
Irrigation × Week101.430.160.01
Soil × Irrigation × Week201.860.0520.02
Error1215
Table 2. ANOVA Summary for Water Retention Index (WRI) across Soil Textures, Irrigation Volumes, and Experimental Weeks.
Table 2. ANOVA Summary for Water Retention Index (WRI) across Soil Textures, Irrigation Volumes, and Experimental Weeks.
SourcedfFpPartial η2
Soil texture244.83<0.0010.19
Irrigation volume226.91<0.0010.13
Week5152.04<0.0010.42
Soil × Irrigation44.750.0020.04
Soil × Week109.14<0.0010.07
Irrigation × Week101.610.110.01
Soil × Irrigation × Week201.280.1830.01
Error1215
Table 3. ANOVA Summary for Leaching Fraction (LF) across Soil Textures, Irrigation Volumes, and Experimental Weeks.
Table 3. ANOVA Summary for Leaching Fraction (LF) across Soil Textures, Irrigation Volumes, and Experimental Weeks.
SourcedfFpPartial η2
Soil texture268.47<0.0010.21
Irrigation volume254.12<0.0010.18
Week5171.23<0.0010.45
Soil × Irrigation47.26<0.0010.06
Soil × Week1011.39<0.0010.08
Irrigation × Week103.74<0.0010.03
Soil × Irrigation × Week201.690.0580.02
Error1215
Table 4. ANOVA Summary for Apparent Water Use Efficiency (WUEa) across Soil Textures, Irrigation Volumes, and Experimental Weeks.
Table 4. ANOVA Summary for Apparent Water Use Efficiency (WUEa) across Soil Textures, Irrigation Volumes, and Experimental Weeks.
SourcedfFpPartial η2
Soil texture232.84<0.0010.16
Irrigation volume221.65<0.0010.10
Week547.92<0.0010.22
Soil × Irrigation43.940.0040.03
Soil × Week108.27<0.0010.06
Irrigation × Week101.260.240.01
Soil × Irrigation × Week201.120.310.01
Error1215
Table 5. ANOVA Summary for Weekly Mass Growth (g week−1) across Soil Textures, Irrigation Volumes, and Experimental Weeks.
Table 5. ANOVA Summary for Weekly Mass Growth (g week−1) across Soil Textures, Irrigation Volumes, and Experimental Weeks.
SourcedfFpPartial η2
Soil texture251.93<0.0010.19
Irrigation volume233.28<0.0010.13
Week5112.47<0.0010.36
Soil × Irrigation45.87<0.0010.05
Soil × Week1010.56<0.0010.08
Irrigation × Week101.880.070.02
Soil × Irrigation × Week201.140.290.01
Error1215
Disclaimer/Publisher’s Note: The statements, opinions and data contained in all publications are solely those of the individual author(s) and contributor(s) and not of MDPI and/or the editor(s). MDPI and/or the editor(s) disclaim responsibility for any injury to people or property resulting from any ideas, methods, instructions or products referred to in the content.

Share and Cite

MDPI and ACS Style

Penksza, K.; Szabó-Szöllösi, T.; Sipos, L.; Szentes, S.; Saláta-Falusi, E.; Takács, A.; Boros, N.; Sebők, A.; Dálnoki, B.A.; Fuchs, M.; et al. Which Soil Type Is Optimal for Festuca wagneri, a Species of the Pannonian Region Adapted to Drought? Land 2025, 14, 2405. https://doi.org/10.3390/land14122405

AMA Style

Penksza K, Szabó-Szöllösi T, Sipos L, Szentes S, Saláta-Falusi E, Takács A, Boros N, Sebők A, Dálnoki BA, Fuchs M, et al. Which Soil Type Is Optimal for Festuca wagneri, a Species of the Pannonian Region Adapted to Drought? Land. 2025; 14(12):2405. https://doi.org/10.3390/land14122405

Chicago/Turabian Style

Penksza, Károly, Tünde Szabó-Szöllösi, László Sipos, Szilárd Szentes, Eszter Saláta-Falusi, Anita Takács, Norbert Boros, András Sebők, Boglárka Anna Dálnoki, Márta Fuchs, and et al. 2025. "Which Soil Type Is Optimal for Festuca wagneri, a Species of the Pannonian Region Adapted to Drought?" Land 14, no. 12: 2405. https://doi.org/10.3390/land14122405

APA Style

Penksza, K., Szabó-Szöllösi, T., Sipos, L., Szentes, S., Saláta-Falusi, E., Takács, A., Boros, N., Sebők, A., Dálnoki, B. A., Fuchs, M., Micheli, E., Gulyás, M., Penksza, P., Pintér, O., Wagenhoffer, Z., Kende, Z., Csízi, I., Tuba, G., & Zsembeli, J. (2025). Which Soil Type Is Optimal for Festuca wagneri, a Species of the Pannonian Region Adapted to Drought? Land, 14(12), 2405. https://doi.org/10.3390/land14122405

Note that from the first issue of 2016, this journal uses article numbers instead of page numbers. See further details here.

Article Metrics

Back to TopTop