Sign in to use this feature.

Years

Between: -

Subjects

remove_circle_outline
remove_circle_outline
remove_circle_outline
remove_circle_outline
remove_circle_outline
remove_circle_outline
remove_circle_outline
remove_circle_outline
remove_circle_outline

Journals

Article Types

Countries / Regions

remove_circle_outline
remove_circle_outline
remove_circle_outline
remove_circle_outline

Search Results (231)

Search Parameters:
Keywords = metamorphic conditions

Order results
Result details
Results per page
Select all
Export citation of selected articles as:
23 pages, 5576 KB  
Article
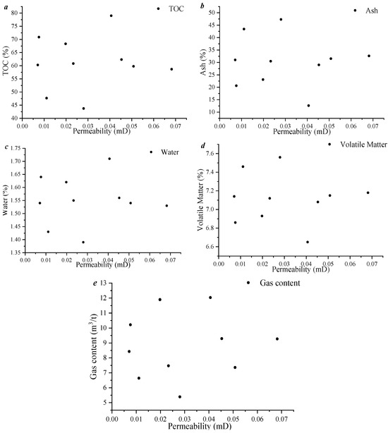
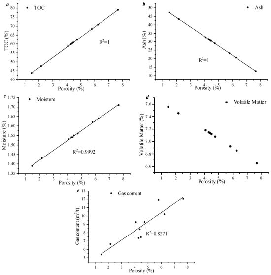
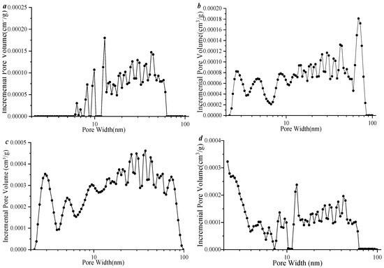
Accumulation and Exploration Potential of Coalbed Methane Collected from Longtan Formation of Santang Syncline in Zhijin, Guizhou Province
by Shupeng Wen, Shuiqi Liu, Jian Li, Xinzhe Dai, Longbin Lan, Jianjun Hou, Zhu Liu, Junjian Zhang and Yunbing Hu
Processes 2025, 13(10), 3106; https://doi.org/10.3390/pr13103106 - 28 Sep 2025
Abstract
Understanding coalbed methane (CBM) enrichment patterns is essential for optimizing production capacity. This study evaluates the CBM reservoir-forming characteristics and exploration potential of the Longtan Formation in the Santang Syncline, Zhijin area, to systematically reveal CBM enrichment and high-production patterns. The investigation integrates [...] Read more.
Understanding coalbed methane (CBM) enrichment patterns is essential for optimizing production capacity. This study evaluates the CBM reservoir-forming characteristics and exploration potential of the Longtan Formation in the Santang Syncline, Zhijin area, to systematically reveal CBM enrichment and high-production patterns. The investigation integrates regional geology, logging, well testing, laboratory analyses, and drainage production data. Results indicate that coal seam vitrinite reflectance (Ro,max) ranges from 3.20% to 3.60%, with metamorphic grade increasing with burial depth. Coal lithotypes consist predominantly of semi-bright coal, with subordinate semi-bright to semi-dull coal and minor semi-dull coal. Coal seam roofs comprise gray-black mudstone and calcareous mudstone, locally developing limestone, while floors consist of bauxitic mudstone. Pore structure analysis reveals greater complexity in coal seams 6 and 14, whereas seams 7 and 16 display simpler structures. Coal seams 5-3 and 6 demonstrate the weakest adsorption capacity and lowest theoretical gas saturation, while other seams exceed 55% gas saturation. Langmuir volume (VL) increases with burial depth, reaching maximum values in coal seam 30. Langmuir pressure (PL) follows a low–high–low trend, with lower values at both ends and higher values in the middle section. Measured gas content is highest in the middle section, moderate in the lower section, and lowest in the upper section. Reservoir condition assessment indicates favorable conditions in coal seams 14, 16, and 21, relatively favorable conditions in seam 7, and unfavorable conditions in seams 6, 30, 32, and 35. Among the three coal groups penetrated, the middle coal group exhibits the most favorable reservoir conditions, followed by the upper and lower groups. Full article
(This article belongs to the Section Energy Systems)
Show Figures

Figure 1

21 pages, 11986 KB  
Article
Laboratory Investigation of Heterogeneous Metamorphic Rocks and Their Spatial Distribution of Thermal Conductivity
by Miora Mirah Rajaobelison, Mathieu Des Roches, Jasmin Raymond and Stéphanie Larmagnat
Energies 2025, 18(18), 4931; https://doi.org/10.3390/en18184931 - 16 Sep 2025
Viewed by 200
Abstract
Assessing the variation in the thermal conductivity of heterogeneous rock materials can be critical when upscaling models to simulate geothermal system operation, especially for petrothermal systems, where conduction dominates over convection. This study’s objective was to evaluate heterogeneity effects when assessing the thermal [...] Read more.
Assessing the variation in the thermal conductivity of heterogeneous rock materials can be critical when upscaling models to simulate geothermal system operation, especially for petrothermal systems, where conduction dominates over convection. This study’s objective was to evaluate heterogeneity effects when assessing the thermal conductivity of geological materials, in this case, metamorphic rocks from Kuujjuaq (Canada), where the installation of a ground-coupled heat pump system is expected. Four core samples of gneissic rocks were analyzed in detail and compared to results obtained from a thermal response test. Thermal conductivity measurements in dry conditions were performed on the cylindrical surface of the samples with an optical thermal conductivity scanner. The 2D thermal conductivity spatial distribution was obtained by linear interpolation and used for numerical modeling to simulate steady-state conductive heat transfer along the sample vertical direction. Then, the effective thermal conductivity was computed according to Fourier’s law, using the simulated temperature to investigate the effect of scale variation with the heterogeneity. Results indicate the importance of distinguishing between the sample section’s effective thermal conductivity and local average thermal conductivity. Significant scale effects were identified with a variation ratio comprised between −10% and +16% when varying the length of the sample section. The representative elementary volume for the effective thermal conductivity was determined equivalent to half of the sample length. This volume gave a thermal conductivity that is equal to the harmonic mean of the laboratory-assessed values with a relative error <5%. A comparison between the in situ and laboratory-assessed thermal conductivity indicates that the thermal conductivity inferred from the thermal response test is adequate for sizing a geothermal system, assuming a range of variability equivalent to 1.5 times its standard deviation. Full article
Show Figures

Figure 1

23 pages, 30956 KB  
Article
Microstructures and Anisotropy of Slates from Northern China
by Jingyi Huang, Hans-Rudolf Wenk and Michelle Devoe
Minerals 2025, 15(9), 979; https://doi.org/10.3390/min15090979 - 15 Sep 2025
Viewed by 287
Abstract
Slates transform from shales at relatively low-grade metamorphic conditions. They often reveal highly anisotropic microstructures and very strong crystal alignment that must be considered in seismic modeling and engineering construction. In this paper, we investigate nine slate samples from four regions in northern [...] Read more.
Slates transform from shales at relatively low-grade metamorphic conditions. They often reveal highly anisotropic microstructures and very strong crystal alignment that must be considered in seismic modeling and engineering construction. In this paper, we investigate nine slate samples from four regions in northern China: Fangshan, Beijing; Xushui, Hebei; Damao Qi, Inner Mongolia; and Zhengxiangbai Qi, Inner Mongolia. The microstructural characteristics were analyzed with scanning electron microscopy and explored with digital crystal size distribution analysis. Preferred crystal orientation characteristics of slate minerals were investigated with high-energy synchrotron X-ray diffraction and subsequent Rietveld refinement. This research shows that the main components of slates in this study are quartz, muscovite, chlorite, and minor orthoclase. In terms of morphology, muscovite, chlorite, and quartz are strongly elongated and oriented. The crystallographic orientation of sheet silicates is very strong, exceeding 100 multiples of random distribution for chlorite from Fangshan. However, quartz with a preferred strong shape orientation has a crystallographic preferred orientation close to random. The preferred orientation characteristics of minerals serve as a basis for calculating elastic properties and anisotropies of the Chinese slate samples that contribute significantly to seismic anisotropy documented in northern China. Full article
Show Figures

Graphical abstract

18 pages, 7158 KB  
Article
Fe-Cr-Mo-B-Si-C Metamorphic Alloy Coating with Excellent Wear Resistance Fabricated via High-Velocity Oxygen Fuel Thermal Spray Process
by Yu-Jin Hwang, Yong-Hoon Cho, Gi-Su Ham, Choongnyun Paul Kim and Kee-Ahn Lee
Materials 2025, 18(18), 4241; https://doi.org/10.3390/ma18184241 - 10 Sep 2025
Viewed by 328
Abstract
A cost-effective Fe-Cr-Mo-B-Si-C metamorphic alloy (HXA5) was newly designed and fabricated as coating material using the high-velocity oxygen fuel (HVOF) thermal spray process, and its microstructure and dry wear resistance were investigated in comparison with a conventional HVOF WC-12Co coating. The HXA5 coating [...] Read more.
A cost-effective Fe-Cr-Mo-B-Si-C metamorphic alloy (HXA5) was newly designed and fabricated as coating material using the high-velocity oxygen fuel (HVOF) thermal spray process, and its microstructure and dry wear resistance were investigated in comparison with a conventional HVOF WC-12Co coating. The HXA5 coating material consisted of a splat area and un-melted powder area. The splat area contained metallic glass, (Cr,Fe)2B, Cr2B, and minor Fe-based BCC phases, and the un-melted powder area was composed of Fe-based BCC, (Cr,Fe)2B, and Cr2B phases. Room-temperature wear tests revealed that HVOF HXA5 coating material exhibited wear resistance comparable to HVOF WC-12Co coating over ~8.4 km sliding and even superior performance at high-stress wear conditions. This superior wear behavior of HXA5 coating material was attributed to the minimal hardness difference between the metallic glass and boride, the plasticity of the metallic glass, and the formation of a lubricating tribofilm. The wear mechanisms and the influence of alloying elements on glass-forming ability were also discussed. Full article
Show Figures

Figure 1

27 pages, 15373 KB  
Article
Geological and Mineralogical Analysis of Zhuantobe Skarns in Central Kazakhstan Considering the Influence of Textural Features on Iron Ore Quality
by Valeriy Korobkin, Assel Nygmanova, Zhamal Tulemissova and Akhan Chaklikov
Appl. Sci. 2025, 15(17), 9816; https://doi.org/10.3390/app15179816 - 7 Sep 2025
Viewed by 1148
Abstract
The study of the material composition, textural, and structural features of skarns and magnetite ores is of great importance for increasing the efficiency of iron ore mining and its subsequent processing and enrichment. In the northwestern Balkhash region of Central Kazakhstan, there is [...] Read more.
The study of the material composition, textural, and structural features of skarns and magnetite ores is of great importance for increasing the efficiency of iron ore mining and its subsequent processing and enrichment. In the northwestern Balkhash region of Central Kazakhstan, there is a reserve iron ore region represented by a series of skarn contact-metasomatic deposits: Bapy, Zhuantobe, Karaulken, Akchagyl, Ushtobe, Kiyik, Taitobe, Tomashev, Kyzyl-Sayak, and others. The results of field investigations and laboratory analyses have enabled the characterization of the mineralogical and petrographic composition of the skarns, as well as their material composition and textural–structural features. All these specified characteristics of skarns reflect the stage-by-stage nature of the contact-metasomatic processes of iron ore formation. The skarn formation model at the Zhuantobe deposit developed over several stages: (1) the formation of skarns during granitoid intrusion and the establishment of conditions for contact metamorphism (resulting in iron-poor, barren diopside hornfels and marbles); (2) early skarn stage, during which anhydrous, dark-colored endo- and exoskarns composed of pyroxenes, magnetite, and hematite develop; (3) late fluid–hydrothermal stage, during which hornblende, epidote, calcite, and sulfides (pyrite, chalcopyrite, sphalerite, and galena) form; (4) oxidative supergene stage under near-surface conditions, during which limonite and iron hydroxides form. The conducted comprehensive analysis of the material composition and textural–structural features of iron ores of the Zhuantobe deposit made it possible to establish the influence of these parameters on the technological properties of ores. The performed studies make it possible to more accurately identify promising iron ore zones in skarns and predict the technological behavior of ore during processing. Full article
(This article belongs to the Special Issue Geology Applied to Mineral Deposits)
Show Figures

Figure 1

33 pages, 11560 KB  
Article
Design and Kinematic Analysis of a Metamorphic Mechanism-Based Robot for Climbing Wind Turbine Blades
by Xiaohua Shi, Cuicui Yang, Mingyang Shao and Hao Lu
Machines 2025, 13(9), 808; https://doi.org/10.3390/machines13090808 - 3 Sep 2025
Viewed by 407
Abstract
Wind turbine blades feature complex geometries and operate under harsh conditions, including high curvature gradients, nonlinear deformations, elevated humidity, and particulate contamination. This study presents the design and kinematic analysis of a novel climbing robot based on a 10R folding metamorphic mechanism. The [...] Read more.
Wind turbine blades feature complex geometries and operate under harsh conditions, including high curvature gradients, nonlinear deformations, elevated humidity, and particulate contamination. This study presents the design and kinematic analysis of a novel climbing robot based on a 10R folding metamorphic mechanism. The robot employs a hybrid wheel-leg drive and adaptively reconfigures between rectangular and hexagonal topologies to ensure precise adhesion and efficient locomotion along blade leading edges and windward surfaces. A high-order kinematic model, derived from a modified Grubler–Kutzbach criterion augmented by rotor theory, captures the mechanism’s intricate motion characteristics. We analyze the degrees of freedom (DOF) and motion branch transitions for three representative singular configurations, elucidating their evolution and constraint conditions. A scaled-down prototype, integrating servo actuators, vacuum adhesion, and multi-modal sensing on an MDOF control platform, was fabricated and tested. Experimental results demonstrate a configuration switching time of 6.3 s, a single joint response time of 0.4 s, and a maximum crawling speed of 125 mm/s, thereby validating stable adhesion and surface tracking performance. This work provides both theoretical insights and practical validation for the intelligent maintenance of wind turbine blades. Full article
(This article belongs to the Section Machine Design and Theory)
Show Figures

Figure 1

14 pages, 4683 KB  
Article
Geochemical Characteristics and Genetic Significance of Garnet in the Dulong Sn-Polymetallic Deposit, Yunnan Province, Southwestern China
by Tong Liu, Shao-Yong Jiang, Dong-Fang Li, Suo-Fei Xiong, Wei Wang and Shugang Xiao
Minerals 2025, 15(9), 911; https://doi.org/10.3390/min15090911 - 27 Aug 2025
Viewed by 486
Abstract
The Dulong Sn-polymetallic deposit in Yunnan Province of southwestern China serves as a unique case study for unraveling the evolution of skarn systems and tin mineralization. Four distinct garnet types (Grt I to Grt IV) were classified based on petrographic observations. Compositional analysis [...] Read more.
The Dulong Sn-polymetallic deposit in Yunnan Province of southwestern China serves as a unique case study for unraveling the evolution of skarn systems and tin mineralization. Four distinct garnet types (Grt I to Grt IV) were classified based on petrographic observations. Compositional analysis reveals a progression from Grt I to Grt III, marked by increasing andradite components, and elevated tin concentrations, peaking at 5039 ppm. These trends suggest crystallization from Sn-enriched magmatic-hydrothermal fluids. In contrast, Grt IV garnet exhibits dominant almandine components and minimal tin content (<2 ppm). Its association with surrounding rocks (schist) further implies its metamorphic origin, distinct from the magmatic origin of the other garnet types. Combined with previously published sulfur and lead isotopic data, as well as trace element compositions of garnet, our study suggests that Laojunshan granites supply substantial ore-forming elements such as S, Pb, W, Sn, In, and Ga. In contrast, elements such as Sc, Y, and Ge are inferred to be predominantly derived from, or buffered by, the surrounding rocks. The geochemical evolution of the garnets highlights the critical role of redox fluctuations and fluid chemistry in controlling tin mineralization. Under neutral-pH fluid conditions, early-stage garnets incorporated significant tin. As the oxygen fugacity of the ore-forming fluid declined, cassiterite precipitation was triggered, leading to tin mineralization. This study reveals the interplay between fluid redox dynamics, garnet compositional changes, and mineral paragenesis in skarn-type tin deposits. Full article
(This article belongs to the Special Issue Recent Developments in Rare Metal Mineral Deposits)
Show Figures

Graphical abstract

30 pages, 7805 KB  
Article
A Large-Span Ring Deployable Perimeter Truss for the Mesh Reflector Deployable Antenna
by Changqing Gao, Hanlin Wang, Nan Yang, Jianan Guo, Fei Liu and Jingli Du
Symmetry 2025, 17(9), 1388; https://doi.org/10.3390/sym17091388 - 25 Aug 2025
Viewed by 525
Abstract
This paper presents a novel large-span ring deployable perimeter truss for the mesh reflector deployable antennas, which is made up of two parts including a single-mobility driving mechanism and a ring deployable metamorphic mechanism. The mechanism design employs polygon approximation, and each side [...] Read more.
This paper presents a novel large-span ring deployable perimeter truss for the mesh reflector deployable antennas, which is made up of two parts including a single-mobility driving mechanism and a ring deployable metamorphic mechanism. The mechanism design employs polygon approximation, and each side is treated as a basic unit using a modular design approach. By reasonable assembly, a ring deployable metamorphic mechanism with a small folded state and a large deployed state can be formed. Here, multiple singular positions, the axis of its three revolute joints being parallel and coplanar, are used in the fully deployed state, which forms multiple dead-center positions and changes the constraint conditions. The metamorphic motion is thus achieved, and a stable self-locking state is established that greatly enhances the stability. The paper first introduces the mechanism design and evaluation method; the kinematic and dynamic analysis is then conducted, and the simulation validation is also performed. Moreover, a principle design for cable-net structural setting and connection is illustrated. Finally, with the design of a driving system and the fabrication of a physical prototype, the deployable experiments are carried out, and the results show that the perimeter truss can efficiently act as the mesh reflector deployable antennas. Full article
(This article belongs to the Section Engineering and Materials)
Show Figures

Figure 1

32 pages, 1681 KB  
Review
Assessing the Risks of Extreme Droughts to Amphibian Populations in the Northwestern Mediterranean
by Eudald Pujol-Buxó and Albert Montori
Land 2025, 14(8), 1668; https://doi.org/10.3390/land14081668 - 18 Aug 2025
Viewed by 1671
Abstract
Amphibians are particularly vulnerable to hydric stress due to their permeable skin, biphasic life cycle, and strong dependence on aquatic and moist terrestrial environments. In the Northwestern Mediterranean Basin—one of Europe’s most climate-sensitive regions—the intensification of droughts associated with climate change poses a [...] Read more.
Amphibians are particularly vulnerable to hydric stress due to their permeable skin, biphasic life cycle, and strong dependence on aquatic and moist terrestrial environments. In the Northwestern Mediterranean Basin—one of Europe’s most climate-sensitive regions—the intensification of droughts associated with climate change poses a critical threat to amphibian populations. Increased aridification, either due to higher temperatures or to more frequent, prolonged, and severe drought episodes, can affect both aquatic and terrestrial life stages, directly altering breeding opportunities, larval development, post-metamorphic survival, and dispersal capacity. This review aims to gather and synthesize current knowledge on the ecological, physiological, and demographic impacts of drought on amphibians of the Northwestern Mediterranean across habitat types, including ephemeral ponds, permanent water bodies, lotic systems, and terrestrial landscapes, including a final section on possible mitigation actions. Drought-induced shifts in hydroperiod can drastically reduce reproductive success and accelerate larval development with fitness consequences while, on land, desiccation risk and habitat degradation could limit access to refugia and fragment populations by reducing structural connectivity. These environmental constraints are compounded by the interactions between drought and emerging infectious diseases. We discuss the current knowledge on how chytrid fungi (Batrachochytrium dendrobatidis and B. salamandrivorans) and ranaviruses may respond to temperature and moisture regimes, and how drought may affect their transmission dynamics, host susceptibility, and pathogen persistence. In these cases, microbiome disruption, pollutant concentration, and increased contact rates between species may amplify disease outbreaks under dry conditions, but a better understanding of the multifactorial effects of drought on amphibian biology and disease ecology is needed for predicting species vulnerability, identifying high-risk populations, and guiding future conservation and management strategies in Mediterranean environments. Full article
(This article belongs to the Section Land–Climate Interactions)
Show Figures

Figure 1

18 pages, 2337 KB  
Article
Foldable/Deployable Spherical Mechanisms Based on Regular Polygons
by Raffaele Di Gregorio
Symmetry 2025, 17(8), 1281; https://doi.org/10.3390/sym17081281 - 9 Aug 2025
Viewed by 2047
Abstract
The possibility of satisfying special geometric conditions, either through their architecture or through their configuration, makes a mechanism acquire changeable motion characteristics (kinematotropic or metamorphic behavior, multi-mode operation capability, etc.) that are of interest. Aligning revolute (R)-pair axes is one of such special [...] Read more.
The possibility of satisfying special geometric conditions, either through their architecture or through their configuration, makes a mechanism acquire changeable motion characteristics (kinematotropic or metamorphic behavior, multi-mode operation capability, etc.) that are of interest. Aligning revolute (R)-pair axes is one of such special conditions. In spherical linkages, only R-pairs, whose axes share a common intersection (spherical motion center (SMC)), are present. Investigating how R-pair axes can become collinear in a spherical mechanism leads to the identification of those that exhibit changeable motion features. This approach is adopted here to select non-redundant spherical mechanisms coming from regular polygons that are foldable/deployable and have a wide enough workspace for performing motion tasks. This analysis shows that the ones with hexagonal architecture prevail over the others. These results are exploitable in many contexts related to field robotics (aerospace, machines for construction sites, deployable antennas, etc.) Full article
Show Figures

Figure 1

12 pages, 1502 KB  
Article
A Study on the Beneficiation of Very Fine Particle Rutile Ore Using Flotation
by Oyku Bilgin and Ilhan Ehsani
Minerals 2025, 15(8), 838; https://doi.org/10.3390/min15080838 - 7 Aug 2025
Viewed by 407
Abstract
This study investigates the beneficiation of finely grinded rutile ore utilizing a combination of flocculation and flotation methods. Rutile, a Ti-bearing mineral with industrial significance, is often associated with heavy minerals found in coastal and metamorphic environments. A rutile ore sample from Azıtepe [...] Read more.
This study investigates the beneficiation of finely grinded rutile ore utilizing a combination of flocculation and flotation methods. Rutile, a Ti-bearing mineral with industrial significance, is often associated with heavy minerals found in coastal and metamorphic environments. A rutile ore sample from Azıtepe (Alaşehir, Türkiye) was reduced to −63 µm and enriched under varying pH conditions (2.5–12) using different reagent combinations and was used for our investigation of both flocculation and flotation processes using reagents such as Aero801(SIPX), Aero825, tannic acid (TA), and pomace oil. The best results were achieved at pH: 8 using Aero801(SIPX) and pomace oil during flocculation, and Aero801(SIPX), Aero825, and Aerofroth88 during flotation, yielding a concentrate with an 8.99% TiO2 grade and an 89.5% recovery rate. Meanwhile, a 7.00% TiO2 grade concentrate was obtained with a recovery rate of 71.92% at neutral pH. This study found that pH and reagent selection had an important effect on TiO2 enrichment efficiency in fine size, low-grade rutile ores. Future research is recommended to investigate selective depressants and multi-stage cleaning to improve separation. Full article
(This article belongs to the Special Issue Particle–Bubble Interactions in the Flotation Process)
Show Figures

Figure 1

41 pages, 7932 KB  
Article
Element Mobility in a Metasomatic System with IOCG Mineralization Metamorphosed at Granulite Facies: The Bondy Gneiss Complex, Grenville Province, Canada
by Olivier Blein and Louise Corriveau
Minerals 2025, 15(8), 803; https://doi.org/10.3390/min15080803 - 30 Jul 2025
Viewed by 611
Abstract
In the absence of appropriate tools and a knowledge base for exploring high-grade metamorphic terrains, felsic gneiss complexes at granulite facies have long been considered barren and have remained undermapped and understudied. This was the case of the Bondy gneiss complex in the [...] Read more.
In the absence of appropriate tools and a knowledge base for exploring high-grade metamorphic terrains, felsic gneiss complexes at granulite facies have long been considered barren and have remained undermapped and understudied. This was the case of the Bondy gneiss complex in the southwestern Grenville Province of Canada which consists of 1.39–1.35 Ga volcanic and plutonic rocks metamorphosed under granulite facies conditions at 1.19 Ga. Iron oxide–apatite and Cu-Ag-Au mineral occurrences occur among gneisses rich in biotite, cordierite, garnet, K-feldspar, orthopyroxene and/or sillimanite-rich gneisses, plagioclase-cordierite-orthopyroxene white gneisses, magnetite-garnet-rich gneisses, garnetites, hyperaluminous sillimanite-pyrite-quartz gneisses, phlogopite-sillimanite gneisses, and tourmalinites. Petrological and geochemical studies indicate that the precursors of these gneisses are altered volcanic and volcaniclastic rocks with attributes of pre-metamorphic Na, Ca-Fe, K-Fe, K, chloritic, argillic, phyllic, advanced argillic and skarn alteration. The nature of these hydrothermal rocks and the ore deposit model that best represents them are further investigated herein through lithogeochemistry. The lithofacies mineralized in Cu (±Au, Ag, Zn) are distinguished by the presence of garnet, magnetite and zircon, and exhibit pronounced enrichment in Fe, Mg, HREE and Zr relative to the least-altered rocks. In discrimination diagrams, the metamorphosed mineral system is demonstrated to exhibit the diagnostic attributes of, and is interpreted as, a metasomatic iron and alkali-calcic (MIAC) mineral system with iron oxide–apatite (IOA) and iron oxide copper–gold (IOCG) mineralization that evolves toward an epithermal cap. This contribution demonstrates that alteration facies diagnostic of MIAC systems and their IOCG and IOA mineralization remain diagnostic even after high-grade metamorphism. Exploration strategies can thus use the lithogeochemical footprint and the distribution and types of alteration facies observed as pathfinders for the facies-specific deposit types of MIAC systems. Full article
(This article belongs to the Section Mineral Deposits)
Show Figures

Figure 1

17 pages, 11770 KB  
Article
Landslide Prediction in Mountainous Terrain Using Weighted Overlay Analysis Method: A Case Study of Al Figrah Road, Al-Madinah Al-Munawarah, Western Saudi Arabia
by Talal Alharbi, Abdelbaset S. El-Sorogy and Naji Rikan
Sustainability 2025, 17(15), 6914; https://doi.org/10.3390/su17156914 - 30 Jul 2025
Viewed by 619
Abstract
This study applies the Weighted Overlay Analysis (WOA) method integrated with GIS to assess landslide susceptibility along Al Figrah Road in Al-Madinah Al-Munawarah, western Saudi Arabia. Seven key conditioning factors, elevation, slope, aspect, drainage density, lithology, soil type, and precipitation were integrated using [...] Read more.
This study applies the Weighted Overlay Analysis (WOA) method integrated with GIS to assess landslide susceptibility along Al Figrah Road in Al-Madinah Al-Munawarah, western Saudi Arabia. Seven key conditioning factors, elevation, slope, aspect, drainage density, lithology, soil type, and precipitation were integrated using high-resolution remote sensing data and expert-assigned weights. The output susceptibility map categorized the region into three zones: low (93.5 million m2), moderate (271.2 million m2), and high risk (33.1 million m2). Approximately 29% of the road corridor lies within the low-risk zone, 48% in the moderate zone, and 23% in the high-risk zone. Ten critical sites with potential landslide activity were detected along the road, correlating well with the high-risk zones on the map. Structural weaknesses in the area, such as faults, joints, foliation planes, and shear zones in both igneous and metamorphic rock units, were key contributors to slope instability. The findings offer practical guidance for infrastructure planning and geohazard mitigation in arid, mountainous environments and demonstrate the applicability of WOA in data-scarce regions. Full article
(This article belongs to the Special Issue Sustainable Assessment and Risk Analysis on Landslide Hazards)
Show Figures

Figure 1

13 pages, 880 KB  
Review
Inclusions, Nitrogen Occurrence Modes, and C-N Isotopic Compositions of Diamonds as Indicators for Exploring the Genesis Mechanism of Diamond: A Review
by Xiao-Xia Wang, Yang-Yang Wang, Xiaodong Yao, Tianyin Chang, Xiang Li, Xiaomin Wang and Zihao Zhao
Minerals 2025, 15(7), 728; https://doi.org/10.3390/min15070728 - 12 Jul 2025
Viewed by 356
Abstract
Diamond, a crucial carbon phase in the deep Earth, forms under ultrahigh-pressure (UHP, P > 4 GPa) conditions and serves as an important indicator mineral for the UHP environment. Based on their host rocks, diamonds are classified into mantle-derived diamonds, UHP metamorphic diamonds, [...] Read more.
Diamond, a crucial carbon phase in the deep Earth, forms under ultrahigh-pressure (UHP, P > 4 GPa) conditions and serves as an important indicator mineral for the UHP environment. Based on their host rocks, diamonds are classified into mantle-derived diamonds, UHP metamorphic diamonds, impact diamonds, etc. While carbon constitutes the primary component of diamonds, nitrogen represents one of the most significant impurity elements. The study of the occurrence mode of nitrogen and the C-N isotope composition is essential for exploring the formation mechanism of diamond. Nitrogen primarily exists in diamonds as either isolated atoms (N) or aggregated forms (N2 or N4), with the dominant mode being controlled by temperature and residence time in the mantle. As temperature and residence time increase, isolated nitrogen progressively transforms into aggregated forms. As a result, mantle-derived diamonds typically contain nitrogen predominantly as N2 or N4, whereas metamorphic diamonds and impact diamonds mainly retain isolated N. Global C-N isotopic composition of over 4400 diamonds reveals a wide compositional range, with δ13C ranging from −38.5‰ to +5.0‰, and δ15N from −39.4‰ to +15.0‰. These values significantly exceed the typical mantle δ13C and δ15N values of −5‰ ± 3‰, indicating that the diamond formation may be influenced by subducted crustal materials. During crystallization, diamonds can encapsulate surrounding materials as inclusions, which are divided into three types based on their formation sequence relative to the host diamond: preformed, syngenetic, and epigenetic. Syngenetic inclusions are particularly valuable for constraining crystallization conditions and the genesis of diamonds. Furthermore, geochronology studies of radioactive isotope-bearing syngenetic inclusions are helpful to clarify the age of diamond formation. Usually, mantle-derived diamonds exhibit Archean age, whereas metamorphic diamonds are associated with subduction, showing younger ages that could be associated with metamorphic events. Therefore, the formation conditions and genesis of diamonds can be clearly constrained through integrating investigations of inclusions, nitrogen occurrence modes, and C-N isotopic compositions. The characteristics of occurrence modes, inclusions, and C-N isotope compositions of different types of diamonds are systematically reviewed in this paper, providing critical insights into their genesis and contributing to a deeper understanding of diamond formation processes in Earth’s interior. Full article
Show Figures

Figure 1

21 pages, 6537 KB  
Article
The Peak Metamorphic PT Conditions of the Sanbagawa Schists in the Shibukawa Area, Central Japan: Application of Raman Geothermobarometry
by Yuki Tomioka, Yui Kouketsu and Katsuyoshi Michibayashi
Minerals 2025, 15(7), 724; https://doi.org/10.3390/min15070724 - 11 Jul 2025
Cited by 1 | Viewed by 495
Abstract
The quantitative pressure (P)–temperature (T) conditions of low-grade metamorphic rocks, such as pumpellyite–actinolite and greenschist facies, are largely unknown mainly owing to the difficulty in applying thermodynamic methods despite their importance in understanding the protolith and metamorphism within subducting [...] Read more.
The quantitative pressure (P)–temperature (T) conditions of low-grade metamorphic rocks, such as pumpellyite–actinolite and greenschist facies, are largely unknown mainly owing to the difficulty in applying thermodynamic methods despite their importance in understanding the protolith and metamorphism within subducting oceanic crusts. In this study, Raman spectroscopy was applied to constrain the peak metamorphic conditions independent of thermodynamic methods for the lowest grade part (chlorite zone) of the Sanbagawa schists in the Shibukawa area, central Japan, where research on metamorphic conditions is limited. The metamorphic peak temperature of the pelitic schists estimated by Raman carbonaceous material geothermometry was 307 ± 27 °C to 395 ± 16 °C, which increased towards the northern fault (Median Tectonic Line). Raman geobarometry using the quartz-inclusions-in-spessartine system on a siliceous schist sample estimated a peak metamorphic pressure of 0.78–0.94 GPa at 360–390 °C. These results suggest that the rocks in the Shibukawa area were subducted to a depth equivalent to that of the garnet zone in central Shikoku and were then exhumed without experiencing further heating. The combination of Raman carbonaceous material geothermometry and Raman geobarometry (Raman geothermobarometry) can be effectively applied to estimate the metamorphic conditions of low-grade metamorphic rocks independent of thermodynamic methods. Full article
Show Figures

Figure 1

Back to TopTop