Laboratory Investigation of Heterogeneous Metamorphic Rocks and Their Spatial Distribution of Thermal Conductivity
Abstract
1. Introduction
2. In Situ Thermal Conductivity Assessment at the Field Site
3. Sample Description
4. Methods
4.1. Detail Thermal Conductivity Assessment
4.2. X-Ray Fluorescence (XRF) and Magnetic Susceptibility
5. Numerical Modeling
5.1. Interpolation of Thermal Conductivity
5.2. Heat Transfer Simulations
6. Effective Thermal Conductivity Calculation Under Scale Variation
- Cumulatively, i.e., the variable L is incremented/decremented in one direction (Figure 7a).
- Randomly, where sections with a variable length are defined and each section is randomly moved along the temperature profile (Figure 7b). To ensure that the TCS measurements can be compared to the numerical simulation results, the smallest section length must not be shorter than the minimum length required for TC analysis with the optical scanner, which is 40 mm [18]. The section length was chosen to be a fraction of the sample length, with the smallest being one quarter. Thus, the minimum sample length is at least 160 mm, well above the recommendation for TCS analysis.
7. Comparison with In Situ Thermal Conductivity from TRT
8. Results
8.1. Thermal Conductivity Assessment Results and 2D Spatial Distribution
8.2. XRF and Magnetic Susceptibility Results
8.3. Effective Thermal Conductivity Under Variation of Scale
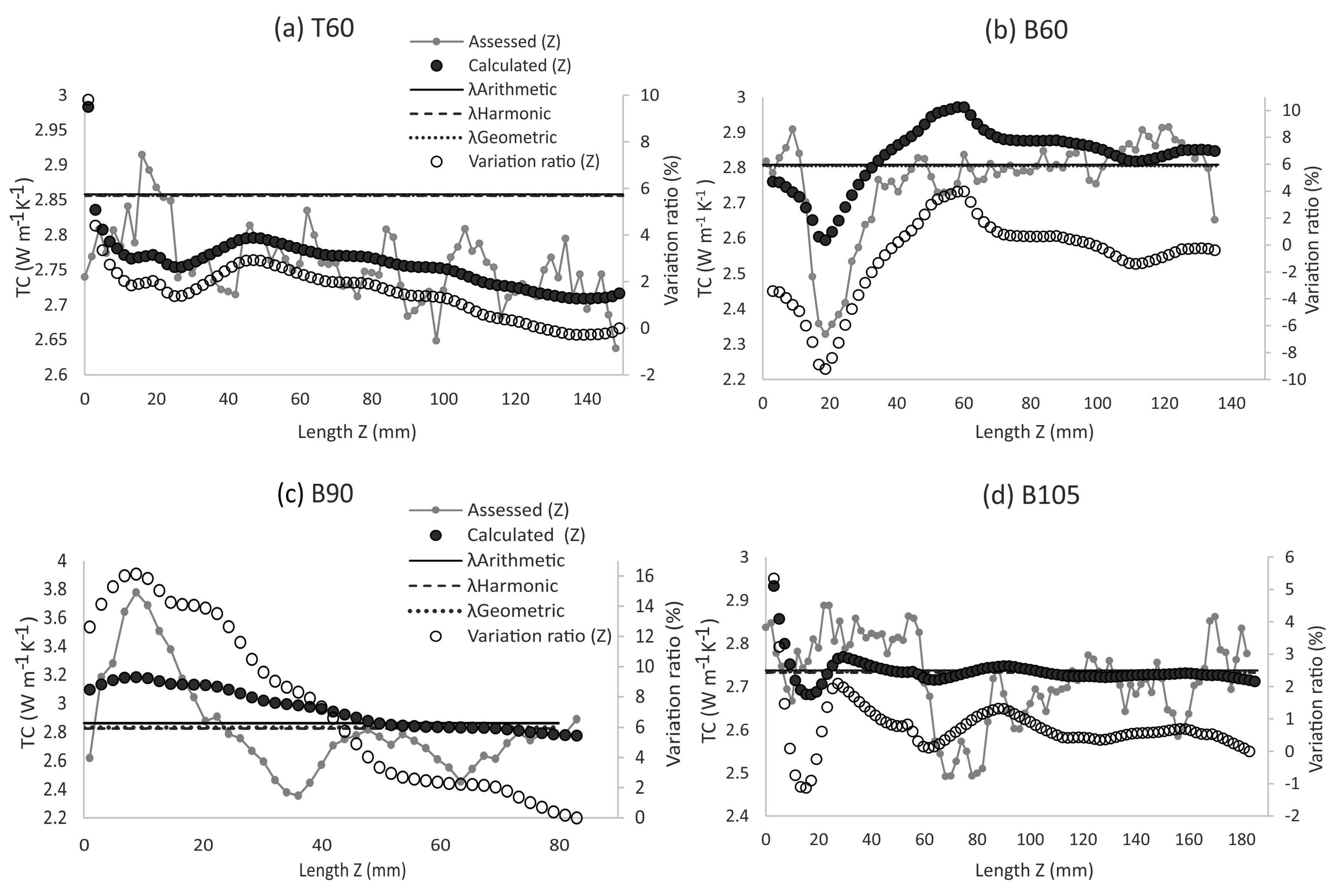
- TC profiles assessed with the TCS are comparable to the one calculated with numerical simulation results, although the latter is smoother, particularly where the fluctuations are of low amplitude, and the amplitudes are reduced at the highly heterogeneous sections, for example, from length Z = 5 to 45 mm in sample B90 or Z = 28 to 180 mm in sample B105. This is because the TC assessed at a point with the millimeter scale can be different from that calculated for a section at the centimeter scale involving heat transfer over a greater distance.
- The shorter the section, the more the effective TC is over- or underestimated, depending on the heterogeneity of the section. The variation ratio varies with the section length. For the four studied samples, it varied from −10% to +16%, in relation to the TC value calculated for the entire length of the sample.When the section length is randomly moved along Z direction, the result shows the following:
- 2.1
- The effective TC profile calculated with numerical simulation results has the same trend as that assessed with the TCS but is not fully comparable; the section length tends to smooth the local heterogeneity.
- 2.2
- The longer the section length (L = 1/2), the closer the calculated effective TC is to the average TC for the whole sample assessed with TCS, generally the harmonic mean. Moreover, the lowest relative error on effective TC ( <5%) is obtained with L = 1/2, which can correspond to the REV of each sample (Table 2). This indicates that a REV [17] might exist for these samples, but is of greater scale than that of the samples. The shorter the section (L = 1/3 and L = 1/4) length, the more the effective TC is over- or underestimated. However, the effective TC of the section follows the heterogeneity of the sample.
- On Figure 12b, at the position 70–80 mm, the TC values overlap, which indicates that the scale has no effect on effective TC calculation, i.e., the calculated effective TC from numerical simulation results is the same, whatever the length of the section. It is because that section is located at a symmetrically opposed TC variation. Thus, by expanding the section length, the addition of more TC values on one side is always compensated by the new values included on the opposite side, so that the average value does not vary.
9. Comparison of In Situ and Laboratory-Assessed TC
10. Discussion and Conclusions
Supplementary Materials
Author Contributions
Funding
Data Availability Statement
Acknowledgments
Conflicts of Interest
Correction Statement
Abbreviations
| REV | Representative elementary volume |
| TC | Thermal conductivity |
| TRT | Thermal response test |
| TCS | Thermal conductivity scanner |
| XRF | X-ray fluorescence |
| Nomenclature | |
| Latin letters | |
| F | Thermal heterogeneity factor |
| G | Coefficient of variation [%] |
| k | Slope [K] |
| L | Length of the sample section along the Z axis [mm] |
| q | Heat injection rate [W m−1] |
| Heat flux [W m−2] | |
| toff | Time when heat injection was stopped [h] |
| T0 | Imposed temperature that bound the sample section [℃] |
| T1 | Computed temperature distributed along the sample [℃] |
| Greek symbol | |
| Relative error [%] | |
| λ | Thermal conductivity [W m−1 K−1] |
| Effective thermal conductivity [W m−1 K−1] | |
| Thermal conductivity arithmetic average [W m−1 K−1] | |
| Thermal conductivity harmonic average [W m−1 K−1] | |
| Thermal conductivity geometric average [W m−1 K−1] | |
| Recovery temperature increments [K] | |
| T | Temperature gradient [K m−1] |
| φ | Radial direction [mm] |
References
- Clauser, C.; Huenges, E. Thermal conductivity of rocks and minerals. In Rock Physics and Phase Relations; Ahrens, T.J., Ed.; AGU Reference Shelf 3; AGU: Hoboken, NJ, USA, 1995; pp. 105–126. [Google Scholar] [CrossRef]
- Popov, Y.; Tertychnyi, V.; Romushkevich, R.; Korobkov, D.; Pohl, J. Interrelations Between Thermal Conductivity and Other Physical Properties of Rocks: Experimental Data. In Thermo-Hydro-Mechanical Coupling in Fractured Rock; Kümpel, H.-J., Ed.; Birkhäuser: Basel, Switzerland, 2003; pp. 1137–1161. [Google Scholar] [CrossRef]
- Albert, K.; Schulze, M.; Claudia, F.; Roland, K.; Kai, Z. Thermal conductivity estimation model considering the effect of water saturation explaining the heterogeneity of rock thermal conductivity. Geothermics 2017, 66, 1–12. [Google Scholar] [CrossRef]
- Mielke, P.; Bär, K.; Sass, I. Determining the relationship of thermal conductivity and compressional wave velocity of common rock types as a basis for reservoir characterization. J. Appl. Geophys. 2017, 140, 135–144. [Google Scholar] [CrossRef]
- Sass, J.; Lachenbruch, A.H.; Moses Jr, T.; Morgan, P. Heat flow from a scientific research well at Cajon Pass, California. J. Geophys. Res. Solid Earth 1992, 97, 5017–5030. [Google Scholar] [CrossRef]
- Vosteen, H.-D.; Schellschmidt, R. Influence of temperature on thermal conductivity, thermal capacity and thermal diffusivity for different types of rock. Phys. Chem. Earth Parts A/B/C 2003, 28, 499–509. [Google Scholar] [CrossRef]
- Vojcinak, P.; Hajovsky, R.; Koziorek, J. Using TRT for determining the essential thermal parameters of rock massif. IFAC Proc. Vol. 2012, 45, 393–398. [Google Scholar] [CrossRef]
- Raymond, J.; Lamarche, L.; Malo, M. Field demonstration of a first thermal response test with a low power source. Appl. Energy 2015, 147, 30–39. [Google Scholar] [CrossRef]
- Raymond, J.; Therrien, R.; Gosselin, L.; Lefebvre, R. A Review of Thermal Response Test Analysis Using Pumping Test Concepts. Groundwater 2011, 49, 932–945. [Google Scholar] [CrossRef] [PubMed]
- Pasquale, V.; Verdoya, M.; Chiozzi, P. Measurements of rock thermal conductivity with a transient divided bar. Geothermics 2015, 53, 183–189. [Google Scholar] [CrossRef]
- Bording, T.S.; Nielsen, S.B.; Balling, N. The transient divided bar method for laboratory measurements of thermal properties. Geophys. J. Int. 2016, 207, 1446–1455. [Google Scholar] [CrossRef]
- Kiuru, R.; Haapalehto, S. Modified Transient Plane Source Measurements of Olkiluoto Migmatite. In Proceedings of the 15th ISRM Congress, Salzburg, Austria, 9–14 October 2023. [Google Scholar]
- Popov, Y.; Pribnow, D.F.C.; Sass, J.H.; Williams, C.F.; Burkhardt, H. Characterization of rock thermal conductivity by high-resolution optical scanning. Geothermics 1999, 28, 253–276. [Google Scholar] [CrossRef]
- Morlier, P.; Amokrane, K.; Duchamps, J.M. L’effet d’échelle en mécanique des roches recherche de dimensions caractéristiques. Rev. Fr. Géotechnique 1989, 49, 5–13. [Google Scholar] [CrossRef]
- Luo, J.; Jia, J.; Zhao, H.; Zhu, Y.; Guo, Q.; Cheng, C.; Tan, L.; Xiang, W.; Rohn, J.; Blum, P. Determination of the thermal conductivity of sandstones from laboratory to field scale. Environ. Earth Sci. 2016, 75, 1158. [Google Scholar] [CrossRef]
- Raymond, J.; Bédard, K.; Comeau, F.-A.; Gloaguen, E.; Comeau, G.; Millet, E.; Foy, S. A workflow for bedrock thermal conductivity map to help designing geothermal heat pump systems in the St. Lawrence Lowlands, Québec, Canada. Sci. Technol. Built Environ. 2019, 25, 963–979. [Google Scholar] [CrossRef]
- Jorand, R.; Vogt, C.; Marquart, G.; Clauser, C. Effective thermal conductivity of heterogeneous rocks from laboratory experiments and numerical modeling. J. Geophys. Res. Solid Earth 2013, 118, 5225–5235. [Google Scholar] [CrossRef]
- Popov, Y.; Beardsmore, G.; Clauser, C.; Roy, S. ISRM suggested methods for determining thermal properties of rocks from laboratory tests at atmospheric pressure. Rock Mech. Rock Eng. 2016, 49, 4179–4207. [Google Scholar] [CrossRef]
- Li, Z.-W.; Zhang, Y.-J.; Gong, Y.-H.; Zhu, G.-Q. Influences of mechanical damage and water saturation on the distributed thermal conductivity of granite. Geothermics 2020, 83, 101736. [Google Scholar] [CrossRef]
- Radioti, G.; Delvoie, S.; Charlier, R.; Dumont, G.; Nguyen, F. Heterogeneous bedrock investigation for a closed-loop geothermal system: A case study. Geothermics 2016, 62, 79–92. [Google Scholar] [CrossRef]
- Halilovic, S.; Böttcher, F.; Zosseder, K.; Hamacher, T. Optimization approaches for the design and operation of open-loop shallow geothermal systems. Adv. Geosci. 2023, 62, 57–66. [Google Scholar] [CrossRef]
- Casasso, A.; Sethi, R. Efficiency of closed loop geothermal heat pumps: A sensitivity analysis. Renew. Energy 2014, 62, 737–746. [Google Scholar] [CrossRef]
- Cavalerie, A.; Raymond, J.; Gosselin, L.; Hakkaki-Fard, A.; Rouleau, J. Development of a Building Energy Model in Kuujjuaq: Proposing Sustainable Energy Solutions; Research report, R2251; Institut National de la Recherche Scientifique (INRS): Québec City, QC, Canada, 2025. [Google Scholar]
- Géotherma Solutions Inc. Thermal Response Test and Assessment of the Shallow Geothermal Potential at the Kuujjuaq Forum, Nunavik, Québec; Deliverable 3 Géotherma Solutions, Internal Report, Contract no. 3000737235; Géotherma Solutions Inc.: Québec City, QC, Canada, 2022. [Google Scholar]
- KRG—Kativik Regional Government. [Community Basemap]. 2023. Available online: https://www.krg.ca/en-CA/map/community-maps (accessed on 30 March 2025).
- Miranda, M.M.; Raymond, J. Assessing Kuujjuaq’s (Nunavik, Canada) Deep Geothermal Energy Potential. Core Analysis, Thermal Properties Characterization and Surface Heat Flux Estimation of a 234 m Deep Geothermal Exploration Well; Rapport de recherche R2109; Institut national de la recherche scientifique (INRS): Québec City, QC, Canada, 2023. [Google Scholar]
- MERN-Ministère des Ressources naturelles et des Forêts, Système d’Information Géominière du Québec. 2020. Available online: https://sigeom.mines.gouv.qc.ca/signet/classes/I1108_afchCarteIntr (accessed on 3 January 2024).
- Vélez, M.M.I.; Raymond, J.; Blessent, D.; Philippe, M.; Simon, N.; Bour, O.; Lamarche, L. Distributed Thermal Response Tests Using a Heating Cable and Fiber Optic Temperature Sensing. Energies 2018, 11, 3059. [Google Scholar] [CrossRef]
- Cox Analytical Systems. Itrax XRF Scanners. 2025. Available online: https://www.coxsys.se/ (accessed on 26 September 2024).
- Popov, Y. Optical scanning technology for nondestructive contactless measurements of thermal conductivity and diffusivity of solid matters. In Proceedings of the 4th World Conference on Experimental Heat Transfer, Fluid Mechanics and Thermodynamics, Brussels, Belgium, 2–6 June 1997; pp. 109–116. [Google Scholar]
- Popov, Y.; Lippmann, E.; Rauen, A. TCS-Manual. 2017. Available online: https://download.schwartech.de/ (accessed on 17 July 2024).
- Croudace, I.W.; Rindby, A.; Rothwell, R.G. ITRAX: Description and evaluation of a new multi-function X-ray core scanner. Geol. Soc. Lond. Spec. Publ. 2006, 267, 51–63. [Google Scholar] [CrossRef]
- Richter, T.O.; Gaast, S.v.d.; Koster, B.; Vaars, A.; Gieles, R.; de Stigter, H.C.; Haas, H.D.; van Weering, T.C.E. The Avaatech XRF Core Scanner: Technical description and applications to NE Atlantic sediments. Geol. Soc. Lond. Spec. Publ. 2006, 267, 39–50. [Google Scholar] [CrossRef]
- McBratney, A.B.; Webster, R. Choosing functions for semi-variograms of soil properties and fitting them to sampling estimates. J. Soil Sci. 1986, 37, 617–639. [Google Scholar] [CrossRef]
- Oliver, M.A.; Webster, R. Kriging: A method of interpolation for geographical information systems. Int. J. Geogr. Inf. Syst. 1990, 4, 313–332. [Google Scholar] [CrossRef]
- Meng, Q.; Liu, Z.; Borders, B.E. Assessment of regression kriging for spatial interpolation—Comparisons of seven GIS interpolation methods. Cartogr. Geogr. Inf. Sci. 2013, 40, 28–39. [Google Scholar] [CrossRef]
- Rothwell, R.G.; Croudace, I.W. Twenty Years of XRF Core Scanning Marine Sediments: What Do Geochemical Proxies Tell Us? In Micro-XRF Studies of Sediment Cores: Applications of a Non-Destructive Tool for the Environmental Sciences; Croudace, I.W., Rothwell, R.G., Eds.; Springer: Dordrecht, The Netherlands, 2015; pp. 25–102. [Google Scholar] [CrossRef]
- Schärli, U.; Rybach, L. On the thermal conductivity of low-porosity crystalline rocks. Tectonophysics 1984, 103, 307–313. [Google Scholar] [CrossRef]
- Ma, Y.; Wang, J.; Hu, F.; Yan, E.; Zhang, Y.; Deng, H.; Gao, X.; Kang, J.; Shi, H.; Zhang, X.; et al. A case study on thermal conductivity characteristics and prediction of rock and soil mass at a proposed ground source heat pump (GSHP) site. Sci. Rep. 2025, 15, 8125. [Google Scholar] [CrossRef] [PubMed]














| Sample ID | Sample Length (mm) | Average (W m−1 K−1) | G (%) | Thermal Heterogeneity Factor F | |||
|---|---|---|---|---|---|---|---|
| Total Length | Length Analyzed | Arithmetic | Harmonic | Geometric | |||
| T60 | 160 | 150 | 2.86 | 2.86 | 2.86 | 2.10 | 0.098 |
| B60 | 149 | 136 | 2.81 | 2.80 | 2.81 | 3.36 | 0.152 |
| B90 | 96 | 84 | 2.86 | 2.83 | 2.84 | 10.53 | 0.394 |
| B105 | 210 | 186 | 2.74 | 2.73 | 2.74 | 3.59 | 0.158 |
| Sample ID | Section Length (mm) | Thermal Heterogeneity Factor F | G (%) | εL (%) | |
|---|---|---|---|---|---|
| T60 | L = 1/2 | 80 | 0.041 | 1.43 | 1.45 |
| L = 1/3 | 50 | 0.058 | 2.00 | 8.80 | |
| L = 1/4 | 37.5 | 0.077 | 2.46 | 2.53 | |
| B60 | L = 1/2 | 68 | 0.046 | 1.72 | 2.51 |
| L = 1/3 | 44 | 0.090 | 2.91 | 3.48 | |
| L = 1/4 | 34 | 0.109 | 3.35 | 3.17 | |
| B90 | L = 1/2 | 42 | 0.122 | 3.38 | 4.10 |
| L = 1/3 | 28 | 0.165 | 5.20 | 4.23 | |
| L = 1/4 | 21 | 0.214 | 6.40 | 6.54 | |
| B105 | L = 1/2 | 93 | 0.647 | 1.79 | 0.54 |
| L = 1/3 | 62 | 0.567 | 1.65 | 4.48 | |
| L = 1/4 | 46.5 | 0.763 | 1.69 | 4.38 | |
| TC Average (W m−1 K−1) | ||||||
|---|---|---|---|---|---|---|
| Method | Investigated Length (m) | Arithmetic | Harmonic | Geometric | Thermal Heterogeneity Factor F | G (%) |
| TRT | 45 | 2.74 | 2.73 | 2.73 | 0.242 | 7.04 |
| TCS | 0.556 | 2.82 | 2.80 | 2.81 | 0.201 | 4.90 |
| Simulation | 0.556 | 2.83 | 2.82 | 2.82 | 0.123 | 2.73 |
Disclaimer/Publisher’s Note: The statements, opinions and data contained in all publications are solely those of the individual author(s) and contributor(s) and not of MDPI and/or the editor(s). MDPI and/or the editor(s) disclaim responsibility for any injury to people or property resulting from any ideas, methods, instructions or products referred to in the content. |
© 2025 by the authors. Licensee MDPI, Basel, Switzerland. This article is an open access article distributed under the terms and conditions of the Creative Commons Attribution (CC BY) license (https://creativecommons.org/licenses/by/4.0/).
Share and Cite
Rajaobelison, M.M.; Des Roches, M.; Raymond, J.; Larmagnat, S. Laboratory Investigation of Heterogeneous Metamorphic Rocks and Their Spatial Distribution of Thermal Conductivity. Energies 2025, 18, 4931. https://doi.org/10.3390/en18184931
Rajaobelison MM, Des Roches M, Raymond J, Larmagnat S. Laboratory Investigation of Heterogeneous Metamorphic Rocks and Their Spatial Distribution of Thermal Conductivity. Energies. 2025; 18(18):4931. https://doi.org/10.3390/en18184931
Chicago/Turabian StyleRajaobelison, Miora Mirah, Mathieu Des Roches, Jasmin Raymond, and Stéphanie Larmagnat. 2025. "Laboratory Investigation of Heterogeneous Metamorphic Rocks and Their Spatial Distribution of Thermal Conductivity" Energies 18, no. 18: 4931. https://doi.org/10.3390/en18184931
APA StyleRajaobelison, M. M., Des Roches, M., Raymond, J., & Larmagnat, S. (2025). Laboratory Investigation of Heterogeneous Metamorphic Rocks and Their Spatial Distribution of Thermal Conductivity. Energies, 18(18), 4931. https://doi.org/10.3390/en18184931

