error_outline You can access the new MDPI.com website here. Explore and share your feedback with us.
 
 
Sign in to use this feature.

Years

Between: -

Subjects

remove_circle_outline
remove_circle_outline
remove_circle_outline
remove_circle_outline
remove_circle_outline
remove_circle_outline
remove_circle_outline
remove_circle_outline
remove_circle_outline

Journals

Article Types

Countries / Regions

remove_circle_outline
remove_circle_outline
remove_circle_outline
remove_circle_outline
remove_circle_outline

Search Results (643)

Search Parameters:
Keywords = mercury porosimetry

Order results
Result details
Results per page
Select all
Export citation of selected articles as:
16 pages, 8184 KB  
Article
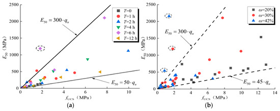
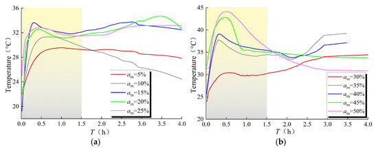
Study on Influencing Factors and Mechanism of Activated MgO Carbonation Curing of Tidal Mudflat Sediments
by Hui Lu, Qiyao Zhang, Zhixiao Bai, Liwei Guo, Zeyu Shao and Erbing Li
Geotechnics 2026, 6(1), 4; https://doi.org/10.3390/geotechnics6010004 - 4 Jan 2026
Viewed by 78
Abstract
Offshore wind farm construction faces significant geotechnical challenges posed by tidal mudflat sediments, including high moisture content, low bearing capacity, and high sensitivity to disturbance. Utilizing MgO—a material characterized by abundant raw materials, low embodied energy, and environmental compatibility—for the stabilization of such [...] Read more.
Offshore wind farm construction faces significant geotechnical challenges posed by tidal mudflat sediments, including high moisture content, low bearing capacity, and high sensitivity to disturbance. Utilizing MgO—a material characterized by abundant raw materials, low embodied energy, and environmental compatibility—for the stabilization of such soft soils represents a promising and sustainable approach worthy of further investigation. This study elucidates the carbonation-induced stabilization mechanism of coastal mucky soil from Ningbo, Zhejiang Province, through systematic monitoring of reaction temperature and unconfined compressive strength (UCS) testing under varying levels of reactive MgO content, carbonation duration, and initial moisture content. Microstructural characterization was performed using X-ray diffraction (XRD), scanning electron microscopy (SEM) and mercury intrusion porosimetry (MIP) to reveal the evolution of mineralogical and pore structure features associated with carbonation. The results indicate that increasing MgO content leads to higher peak reaction temperatures and shorter time-to-peak values. However, the rate of reduction in time-to-peak diminishes beyond 20% MgO. A secondary temperature rise is commonly observed between 3–3.5 h of carbonation in most specimens. When the MgO content is below 30%, UCS peaks within 6–10 h, with the peak time decreasing as MgO content increases. When MgO exceeds 45%, strength deterioration occurs due to structural damage. The correlation between deformation modulus and UCS is found to be comparable to that of conventional cement-stabilized soils. Microstructural analysis reveals that, with increased MgO dosage and prolonged carbonation, carbonation products progressively fill voids and bind soil particles, resulting in reduced total porosity and a refinement of pore size distribution—evidenced by a leftward shift in the most probable pore diameter. Nevertheless, at excessively high MgO levels (e.g., 50%), crystallization pressure from rapid product formation may generate macro-pores, compromising soil fabric integrity. This study presents a low-carbon and efficient ground improvement approach for access road construction in tidal mudflat wind farm developments. Full article
Show Figures

Figure 1

16 pages, 7504 KB  
Article
Geological Characteristics and a New Simplified Method to Estimate the Long-Term Settlement of Dredger Fill in Tianjin Nangang Region
by Jinke Yuan, Zuan Pei and Jie Chen
J. Mar. Sci. Eng. 2026, 14(1), 92; https://doi.org/10.3390/jmse14010092 - 2 Jan 2026
Viewed by 200
Abstract
Long-term settlement of dredger fill presents substantial challenges to infrastructure stability, particularly in coastal areas such as Tianjin Nangang, where liquefied natural gas (LNG) pipelines are vulnerable to deformation caused by differential settlements. This study investigates the geological properties and long-term settlement characteristics [...] Read more.
Long-term settlement of dredger fill presents substantial challenges to infrastructure stability, particularly in coastal areas such as Tianjin Nangang, where liquefied natural gas (LNG) pipelines are vulnerable to deformation caused by differential settlements. This study investigates the geological properties and long-term settlement characteristics of dredger fill in the Tianjin Nangang coastal zone and develops a simplified predictive model for long-term settlement. Comprehensive laboratory analyses, including field emission scanning electron microscopy (FESEM), X-ray diffraction (XRD) and mercury intrusion porosimetry (MIP), revealed a porous, flaky microstructure dominated by quartz and calcite, with mesopores (0.03–0.8 µm) constituting over 80% of total pore volume. A centrifuge modelling test conducted at 70 g acceleration simulated accelerated settlement behavior, demonstrating that approximately 70% of settlements occured within the initial year. The study proposes an enhanced hyperbolic model for long-term settlement prediction, which shows excellent correlation with experimental results. The findings underscore the high compressibility and low shear strength of dredger fill, highlighting the necessity for specific mitigation measures to ensure infrastructure integrity. This research establishes a simplified yet reliable methodology for settlement estimation, providing valuable practical guidance for coastal land reclamation projects. Full article
(This article belongs to the Section Coastal Engineering)
Show Figures

Figure 1

21 pages, 5888 KB  
Article
Characteristics of Pore–Throat Structures and Impact on Sealing Capacity in the Roof of Chang 73 Shale Oil Reservoir, Ordos Basin
by Wenhao Jia, Guichao Du, Congsheng Bian, Wei Dang, Jin Dong, Hao Wang, Lin Zhu, Yifan Wen and Boyan Pan
Minerals 2026, 16(1), 12; https://doi.org/10.3390/min16010012 - 23 Dec 2025
Viewed by 293
Abstract
In shale oil accumulation, the sealing capacity of roof strata is a key factor controlling hydrocarbon retention, primarily governed by pore–throat structures. This study examines the Chang 73 sub-member roof in the Ordos Basin using core and drilling samples, combined with SEM, [...] Read more.
In shale oil accumulation, the sealing capacity of roof strata is a key factor controlling hydrocarbon retention, primarily governed by pore–throat structures. This study examines the Chang 73 sub-member roof in the Ordos Basin using core and drilling samples, combined with SEM, mercury intrusion porosimetry, nitrogen adsorption, and breakthrough pressure tests. The roof rocks are dense and mainly composed of mudstone, silty mudstone, and argillaceous siltstone, which can be further classified into clay-rich and felsic-rich types. The pore system includes organic matter pores, dissolution pores, intergranular pores, clay interlayer pores, intercrystalline pores, and microfractures. Pores are dominated by mesopores (4–10 nm), with few macropores, and display slit-like, plate-, and wedge-shaped morphologies. Breakthrough pressure averages above 20 MPa, reflecting strong sealing capacity. Although dissolution of felsic minerals generates secondary porosity that may weaken sealing, the overall complex pore–throat system, reinforced by compaction and cementation of clay minerals, forms a dense fabric and favorable sealing conditions. These features restrict hydrocarbon migration and enhance the sealing performance of the Chang 73 shale oil roof. Full article
Show Figures

Figure 1

17 pages, 9615 KB  
Article
Organic Matter Enrichment and Reservoir Nanopore Characteristics of Marine Shales: A Case Study of the Permian Shales in the Kaijiang–Liangping Trough
by Xinrui Yang, Liangjun Xu, Huilin Li, Mingkai Zhang, Sirui Liu, Lu Xu, Dongxi Liu, Tong Xia and Jia Wang
Nanomaterials 2025, 15(24), 1870; https://doi.org/10.3390/nano15241870 - 12 Dec 2025
Viewed by 297
Abstract
To clarify the organic matter enrichment regularity of Permian shales in the Kaijiang–Liangping Trough, as well as the differential characteristics of their reservoir lithology, mineral assemblage, and nanopore structure—and thereby provide a geological basis for the exploration and development of Permian marine shales [...] Read more.
To clarify the organic matter enrichment regularity of Permian shales in the Kaijiang–Liangping Trough, as well as the differential characteristics of their reservoir lithology, mineral assemblage, and nanopore structure—and thereby provide a geological basis for the exploration and development of Permian marine shales in the eastern Sichuan Basin—core samples from different depths of the Wujiaping Formation and Dalong Formation in Well DY-1H were analyzed using a series of micro–nano technical research methods, including whole-rock X-ray diffraction, major/trace element analysis, conventional porosity-permeability measurement, high-pressure mercury intrusion porosimetry, nitrogen adsorption, and field emission scanning electron microscopy. Research finds that the Dalong Formation shale contains Type I organic matter with high abundance, whereas the Wujiaping Formation shale is dominated by Type II2 organic matter. The Wujiaping Formation experienced stronger terrigenous input and higher weathering intensity, while the Dalong Formation was deposited under persistently anoxic conditions, in contrast to the frequent oxic–anoxic alternations in the Wujiaping Formation. Paleoproductivity indicators suggest higher productivity in the Dalong Formation than in the Wujiaping Formation. Mo/TOC ratios below 4.5 indicate deposition in a strongly restricted water body. Enrichment factors of multiple elements further support the enhanced paleoproductivity of the Dalong Formation. The Dalong Formation shale has higher contents of quartz and carbonate minerals, while the Wujiaping Formation shale has a higher content of clay minerals. The Wujiaping Formation shale is more developed with inorganic micropores, whereas the Dalong Formation shale is characterized by more developed organic nanopores. During the sedimentary period of the Dalong Formation shale, the paleoproductivity was high, the sedimentary waterbody had high reducibility and restriction, and the reservoir was well-developed with nanopores. The Dalong Formation is a more favorable interval for Permian shale gas exploration and development in the Kaijiang–Liangping Trough. Full article
(This article belongs to the Special Issue Nanopores and Nanostructures in Tight Reservoir Rocks)
Show Figures

Figure 1

16 pages, 4616 KB  
Article
Design of the Pore Structure of Sponge-Structured Cement Pastes with Both Absorption and Storage Functions
by Tong Li, Guojun Du, Hefang Zhang, Dongli Wang, Xiangwang Tao and Jinqiu Zhang
Materials 2025, 18(24), 5537; https://doi.org/10.3390/ma18245537 - 10 Dec 2025
Viewed by 308
Abstract
This study uses fly ash and slag as the main raw materials to replace 80% of the cement, and prepares a sponge-structured cement paste with storage and absorption functions. This paste is then used to bind the coarse aggregate of permeable concrete to [...] Read more.
This study uses fly ash and slag as the main raw materials to replace 80% of the cement, and prepares a sponge-structured cement paste with storage and absorption functions. This paste is then used to bind the coarse aggregate of permeable concrete to improve the water absorption and storage performance of the permeable concrete. This research examined the influence of mineral admixture ratios on mechanical strength, capillary absorption and storage capacity, and analyzed the formation mechanisms of microporous structure. Sponge structure cement stone was prepared with a cementitious material ratio of 70% grade II fly ash, 10% slag and 20% cement. The findings indicate an optimal mix proportion that provides enhanced compressive strength, capillary water absorption, and volumetric water storage capacity. Compared with standard curing, water-bath curing was found to be unfavorable for enhancing the water absorption performance of sponge-structured cement paste; therefore, standard curing is recommended for its preparation. The pore structure of sponge-structured cement paste was analyzed using the Bruker–Emmett–Taylor (BET) method, scanning electron microscopy (SEM), Image-Pro Plus (IPP) image processing technology, and mercury intrusion porosimetry (MIP). Results indicated that the volume fraction of capillary pores in the 100–1000 nm range was positively correlated with water absorption and storage performance. The exponential relationship model between the content of grade II fly ash and the capillary pore content of sponge-structured cement stone was determined. Full article
(This article belongs to the Section Construction and Building Materials)
Show Figures

Figure 1

15 pages, 2279 KB  
Article
A Comparative Study of Waste Red-Clay Brick Powder (WRCBP) and Fly Ash (FA) as Precursors for Geopolymer Production
by Yifang He, Wei Tang, Chunran Wu, Baojun Zhao and Shicong Kou
Buildings 2025, 15(24), 4409; https://doi.org/10.3390/buildings15244409 - 5 Dec 2025
Viewed by 272
Abstract
Utilizing waste red-clay brick powder (WRCBP) as a precursor for manufacturing geopolymers is increasingly popular due to its environmental and economic benefits. However, the geopolymerization of this waste remains insufficiently explored. This study evaluates the differences in physical–mechanical properties and microstructural evolution of [...] Read more.
Utilizing waste red-clay brick powder (WRCBP) as a precursor for manufacturing geopolymers is increasingly popular due to its environmental and economic benefits. However, the geopolymerization of this waste remains insufficiently explored. This study evaluates the differences in physical–mechanical properties and microstructural evolution of WRCBP- and fly ash (FA)-based geopolymers to determine the reactivity of WRCBP. Mineral admixtures, including granulated blast furnace slag (GF) and metakaolin (MT), were incorporated with WRCBP to fabricate geopolymer pastes, while FA was used in parallel for comparison. The effects of activator modulus (1.2 and 1.4 for Na2SiO3) and curing conditions (65 °C and 90 °C) on the mechanical and microstructural performance of the prepared pastes were investigated through water demand analysis, compressive strength testing, mercury intrusion porosimetry (MIP), and scanning electron microscopy (SEM). The results indicate that WRCBP-based pastes achieved a comparable compressive strength (39.8 MPa) under appropriate alkali-activated and curing conditions relative to FA-based pastes (42.5 MPa). The modulus of the alkaline activator exerted a greater influence on strength development than the raw material composition. For both WRCBP- and FA-based pastes, 65 °C was identified as a more suitable curing temperature. Moreover, compared with FA-based pastes, pastes produced using WRCBP provide enhanced social and economic benefits. Overall, this study confirms that high-performance binders can be engineered by incorporating WRCBP, thereby supporting the development of sustainable low-carbon construction materials. Full article
(This article belongs to the Section Building Materials, and Repair & Renovation)
Show Figures

Figure 1

11 pages, 2273 KB  
Article
Mechanism of Immersion Crushing on Alkali-Silica Reaction (ASR) in Glass Mortar
by Kai Yan, Yuanbo Song, Lianfang Sun, Qian Zhang and Tianfeng Yuan
Coatings 2025, 15(12), 1398; https://doi.org/10.3390/coatings15121398 - 30 Nov 2025
Viewed by 345
Abstract
The utilization of waste glass as an aggregate in cement-based materials provides both environmental and economic benefits, but the alkali-silica reaction (ASR) caused by the reactive silica in glass aggregates is a significant challenge for its application. This study investigates the impact of [...] Read more.
The utilization of waste glass as an aggregate in cement-based materials provides both environmental and economic benefits, but the alkali-silica reaction (ASR) caused by the reactive silica in glass aggregates is a significant challenge for its application. This study investigates the impact of different crushing methods on the ASR of glass aggregate mortar, with a focus on the effect of immersion crushing using calcium chloride (CaCl2) solution. Glass aggregates were prepared using conventional crushing, water immersion crushing, and CaCl2 immersion crushing methods. The ASR expansion and compressive strength of the mortar were evaluated through accelerated ASR tests, compressive strength testing, and microstructural analysis using SEM/EDS and mercury intrusion porosimetry (MIP). Results show that immersion crushing significantly mitigated ASR expansion and the associated loss in compressive strength. The CaCl2 immersion method yielded the most pronounced effect. Compared with conventional crushing, it reduced the ASR expansion by approximately 45% and improved the compressive strengths by approximately 20%. Microstructural analysis revealed that the CaCl2 treatment led to a higher Ca/Si ratio in the ASR gel, which reduced the gel’s water-absorbing swelling ability and consequently suppressed ASR-induced expansion. Additionally, the CaCl2 immersion crushing method resulted in the smallest changes in porosity and pore size distribution. These findings provide a theoretical basis for the safe use of waste glass in cement-based materials and contribute to the promotion of resource recycling in the construction industry. Full article
(This article belongs to the Special Issue Advances in Pavement Materials and Civil Engineering)
Show Figures

Figure 1

21 pages, 7929 KB  
Article
Influence of Simulated Radioactive Waste Resins on the Properties of Magnesium Silicate Hydrate Cement
by Enyu Sun, Huinan Gao, Min Li, Jie Yang, Yu Qiao and Tingting Zhang
Materials 2025, 18(23), 5385; https://doi.org/10.3390/ma18235385 - 28 Nov 2025
Viewed by 349
Abstract
Ion exchange resins are commonly utilized for treating liquid radioactive waste within nuclear power plants; however, the disposal of these waste resins presents a new challenge. In this study, magnesium silicate hydrate cement (MSHC) was used to immobilize the waste resin, and the [...] Read more.
Ion exchange resins are commonly utilized for treating liquid radioactive waste within nuclear power plants; however, the disposal of these waste resins presents a new challenge. In this study, magnesium silicate hydrate cement (MSHC) was used to immobilize the waste resin, and the immobilization effectiveness of the MSHC-solidified body were assessed by mechanical properties, durability, and leaching performance. Hydration heat, X-ray diffraction (XRD), thermogravimetric analysis (TGA), scanning electronic microscopy (SEM), and mercury intrusion porosimetry (MIP) were used to study the hydration process of the MSHC-solidified body containing Cs+, Sr2+, and Cs+/Sr2+ waste resins. The results demonstrated that the presence of waste resins slightly delayed the hydration reaction process of MSHC and reduced the polymerization degree of the M-S-H gel, and the composition of the hydration products were not changed. The immobilization mechanism for radionuclide ions in resin included both mechanical encapsulation and surface adsorption, and the leaching of Cs+ and Sr2+ from MSHC-solidified body followed the FRDIM. When the content of the waste resin was 25%, the MSHC-solidified body exhibited satisfactory compressive strength, freeze-thaw resistance, soaking resistance, and impact resistance. These results strongly indicated that MSHC possessed the ability to effectively immobilize ion exchange resins. Full article
Show Figures

Graphical abstract

25 pages, 5662 KB  
Article
From Compaction to Porosity Reconstruction: Fractal Evolution and Heterogeneity of the Qingshankou Shale Reservoir in the Songliao Basin
by Qi Yao, Chengwu Xu and Hongyu Li
Fractal Fract. 2025, 9(12), 777; https://doi.org/10.3390/fractalfract9120777 - 28 Nov 2025
Viewed by 434
Abstract
The Qingshankou Formation shale in the Changling Sag of the Songliao Basin represents a typical lacustrine pure-shale reservoir, characterized by high organic matter abundance, high maturity, high clay mineral content, and strong heterogeneity. To elucidate the pore structure and heterogeneity of this shale, [...] Read more.
The Qingshankou Formation shale in the Changling Sag of the Songliao Basin represents a typical lacustrine pure-shale reservoir, characterized by high organic matter abundance, high maturity, high clay mineral content, and strong heterogeneity. To elucidate the pore structure and heterogeneity of this shale, a comprehensive suite of analytical techniques—including X-ray diffraction (XRD), scanning electron microscopy (SEM), high-pressure mercury intrusion porosimetry (MICP), and low-temperature nitrogen adsorption—was employed to investigate its pore types and fractal characteristics systematically. On this basis, lithofacies classification and FHH fractal modeling were conducted to quantitatively assess the complexity of pore–throat structures and their influence on reservoir properties. The results indicate that shale-dominated lithofacies (Types A–C) exhibit higher surface fractal dimensions (D1 = 2.51–2.58) and structural fractal dimensions (D2 = 2.73–2.81), corresponding to low porosity, low permeability, and high displacement pressure. In contrast, carbonate- and clastic-dominated lithofacies (Types D–G) display lower fractal dimensions, suggesting more regular pore–throat structures and better connectivity. Overall, both D1 and D2 show negative correlations with porosity and permeability but positive correlations with displacement pressure, and are negatively correlated with TOC content, reflecting the intrinsic coupling among pore–throat complexity, reservoir capacity, and organic matter abundance. These findings reveal that the Qingshankou shale reservoir has undergone a geometric evolutionary pathway of “shale compaction → siltstone transition → carbonate porosity reconstruction.” The fractal dimensions effectively characterize the reservoir heterogeneity and pore–throat connectivity, providing a new theoretical basis for the quantitative characterization, classification, and potential prediction of continental shale oil reservoirs. Full article
Show Figures

Figure 1

23 pages, 6378 KB  
Article
Mechanical Characteristics Based on the Microstructure Analysis of Cementitious Composites Incorporating Polypropylene Powder
by Jeonguk Mun, Dongwook Kim, Sunho Kang and Heeyoung Lee
Buildings 2025, 15(23), 4257; https://doi.org/10.3390/buildings15234257 - 25 Nov 2025
Viewed by 382
Abstract
Incorporating recycled plastics into construction materials offers environmental and economic benefits. This study examined the properties of cementitious composites incorporating recycled polypropylene (PP) powder to evaluate the feasibility of plastics as construction materials. Experimental parameters included PP content and a curing method. Ninety-six [...] Read more.
Incorporating recycled plastics into construction materials offers environmental and economic benefits. This study examined the properties of cementitious composites incorporating recycled polypropylene (PP) powder to evaluate the feasibility of plastics as construction materials. Experimental parameters included PP content and a curing method. Ninety-six specimens were fabricated for compressive strength tests and 48 for flexural strength tests, with six specimens per parameter. The mechanical behavior of the PP cementitious composites was assessed through compressive and flexural strength tests alongside digital image correlation analysis. Field emission scanning electron microscopy (FE-SEM) and mercury intrusion porosimetry (MIP) were used to analyze the pore structure of cementitious composites. Additionally, X-ray diffraction and thermogravimetric analysis examined the thermal and chemical characteristics. Compared with the control specimens, cementitious composites containing 30% PP exhibited approximately 30% reduction in compressive strength but a 28% increase in flexural strength. FE-SEM and MIP results revealed defects that deteriorated the performance of the cementitious composites. However, the compressive strengths exceeded 30 MPa across all the tested parameters, which is satisfactory for construction applications. Furthermore, the addition of PP enhanced flexural strength, providing structural benefits that render it a viable option for sustainable construction materials. Full article
Show Figures

Figure 1

25 pages, 12496 KB  
Article
Pore Structure and Connectivity with Fractal Characterization in Deep Shale of the Wufeng–Longmaxi Formation, Luzhou Block: Insights from MAPS and NMR Technology
by Jamil Khan, Shengxian Zhao, Jian Zhang, Xuefeng Yang, Bo Li, Yuhang Zhang, Shangbin Chen and Xinyao Huang
Processes 2025, 13(12), 3789; https://doi.org/10.3390/pr13123789 - 24 Nov 2025
Viewed by 475
Abstract
The exploration potential, storage capacity, and exploitability of the deep shale-gas reservoirs are governed by various characteristics of their pore networks. Conventional methods cannot fully capture these features across scales, highlighting the need for an integrated, multi-technique approach. In this study, pore structure [...] Read more.
The exploration potential, storage capacity, and exploitability of the deep shale-gas reservoirs are governed by various characteristics of their pore networks. Conventional methods cannot fully capture these features across scales, highlighting the need for an integrated, multi-technique approach. In this study, pore structure and connectivity of the Wufeng–Longmaxi Formation (Luzhou Block) were investigated using Scanning Electron Microscopy (SEM) with the Mosaic Acquisition and Positioning System (MAPS), ImageJ (ImageJ 2.14.0)-based pore analysis, Mercury Intrusion Porosimetry (MIP), and Nuclear Magnetic Resonance (NMR). Based on the samples from eight reservoir layers of Wufeng-WF and Longmaxi-LM111–7, shale pore connectivity was classified into three grades. Grade A layers, with connected pore volumes above 0.0067 cm3/g and porosity exceeding 1.75%, showed trimodal NMR pore-size distributions and strong connectivity among micro, meso, and macropores. Grade B layers exhibited bimodal pore distributions, moderate pore connectivity (0.0057–0.0067 cm3/g; 1.55–1.75% porosity), and sponge-like organic pores with isolated mineral pores. Grade C layers, with connected pore volumes below 0.0057 cm3/g, showed poor connectivity and unimodal NMR responses. Connected pores (1–100 nm) contributed 20–35% of total pore volume, reflecting the strong heterogeneity of the formation. Interconnected inorganic mineral-hosted pores were found to link locally connected organic pores, forming continuous pore networks. The qualitative and quantitative identification of the pore connectivity of shale reservoirs with MAPS, MIP, and NMR approach provides a robust framework for evaluating shale pore connectivity and identifying high-quality reservoir targets. Full article
Show Figures

Figure 1

18 pages, 1866 KB  
Article
Using Vacuum Mixing for 3D Printing of Mortars Made with Recycled Sand
by Eliane Khoury, Khadija El Cheikh, Geert De Schutter, Bogdan Cazacliu and Sébastien Rémond
Buildings 2025, 15(23), 4217; https://doi.org/10.3390/buildings15234217 - 21 Nov 2025
Viewed by 402
Abstract
This study investigates the use of recycled concrete aggregates as a replacement for natural sand in printable mortars, comparing the properties of both fresh and hardened states. Two types of mortars were considered, natural mortar and recycled mortar, with further variations based on [...] Read more.
This study investigates the use of recycled concrete aggregates as a replacement for natural sand in printable mortars, comparing the properties of both fresh and hardened states. Two types of mortars were considered, natural mortar and recycled mortar, with further variations based on mixing methods under ordinary atmospheric pressure and vacuum pressure. The experimental approach included air content, mini-slump, printability, and various hardened state tests such as compressive strength and porosity measurements using both water absorption and mercury intrusion porosimetry (MIP). The results showed that mortars made with recycled sand exhibited higher fluidity, as evidenced by an increase in slump of approximately 50 to 70 mm across 30 min, compared to those made with natural sand. This difference was attributed to the pre-saturation of recycled sand, which, as a hypothesis, may increase with the amount of free water available while mixing under vacuum. Additionally, mortars containing recycled sand exhibited higher water-accessible porosity (approximately +7% compared to natural mortars) and lower compressive strength, with a reduction of about 5 to 10% for printed and cast samples, with the decrease being more pronounced in printed specimens. However, vacuum mixing was found to significantly reduce entrapped air content, by about 53% in natural mortars and 62% in recycled ones, and to enhance the workability of both types. The pore size distribution indicated that recycled mortars had a more complex pore network, with pores in the ranges of [0.01–0.1] mm and [0.1–1] mm, contributing to increased porosity and reduced mechanical strength. Overall, this study demonstrates the potential of using recycled sand in mortar formulations, with proper control of pre-saturation and mixing conditions to optimize performance in both fresh and hardened states. Full article
(This article belongs to the Special Issue 3D-Printed Technology in Buildings)
Show Figures

Figure 1

19 pages, 4490 KB  
Article
Classification of Tight Sandstone Gas Reservoirs and Evaluation of Aqueous-Phase Trapping Damage Using Mercury Intrusion Porosimetry
by Yuanyuan Tian, Yu Lu, Xin Zhou, Ying Liu, Qin Bie and Nan Zhang
Processes 2025, 13(11), 3682; https://doi.org/10.3390/pr13113682 - 14 Nov 2025
Viewed by 533
Abstract
Diagnosing water-phase damage remains challenging because routine petrophysical parameters do not capture capillary hysteresis and pressure-transmission effects. In this study, a standardized, auditable workflow was established to link laboratory descriptors to field-relevant cleanup. Full-curve mercury injection capillary pressure data were acquired and converted [...] Read more.
Diagnosing water-phase damage remains challenging because routine petrophysical parameters do not capture capillary hysteresis and pressure-transmission effects. In this study, a standardized, auditable workflow was established to link laboratory descriptors to field-relevant cleanup. Full-curve mercury injection capillary pressure data were acquired and converted using consistent Washburn parameters, from which withdrawal efficiency was computed on the withdrawal branch. A pressure-transmission coefficient was evaluated under unified boundary conditions to complement permeability and porosity. After preprocessing and partial least-squares regression (PLSR) screening, MICP descriptors were clustered by k-means (k = 5) to obtain reservoir Types I–V. Regressions relating WE to permeability and flowback behavior were then used to assess engineering relevance. The results indicate that WE capture hysteretic trapping/back-pressure not contained in permeability or porosity and, when interpreted jointly with PTC, differentiates reservoir types by cleanup propensity. This framework provides a reproducible bridge from laboratory MICP hysteresis to field-scale flowback interpretation. Practical implications include prioritization of gas–wet wettability modification, low-surface-tension systems, and minimized early liquid loading for clusters exhibiting higher WE and lower PTC. Full article
(This article belongs to the Section Energy Systems)
Show Figures

Figure 1

24 pages, 5716 KB  
Article
Degradation Characteristics and Service Life Prediction of Desert Sand Concrete Under Load and Freeze–Thaw Conditions
by Zhengyang Xia, Yongjun Qin and Ling Luo
Materials 2025, 18(21), 5035; https://doi.org/10.3390/ma18215035 - 5 Nov 2025
Viewed by 529
Abstract
Concrete structures in western China often endure severe freeze–thaw cycles under sustained loading. However, the combined effects of desert sand admixtures and long-term stress on freeze–thaw durability are insufficiently investigated. The existing research has focused on the material modification of desert sand concrete [...] Read more.
Concrete structures in western China often endure severe freeze–thaw cycles under sustained loading. However, the combined effects of desert sand admixtures and long-term stress on freeze–thaw durability are insufficiently investigated. The existing research has focused on the material modification of desert sand concrete (DSC) or on the mechanical-environment coupling of ordinary concrete. This leaves a knowledge gap about how sustained compressive stress influences the macro- and mesoscale freeze–thaw behaviour of DSC. This study systematically investigated the freeze–thaw resistance of DSC under varying sustained compressive stresses. Testing methods and conditions were tailored to the climatic characteristics of China’s high-altitude cold regions. Freeze–thaw degradation was assessed using mass loss, relative dynamic modulus of elasticity, and compressive strength. Controlled loading effectively mitigated freeze damage. After cyclic freeze–thaw, the 0.3 and 0.5 stress groups retained 89.36% and 77.92% of their original compressive strength, respectively. Scanning electron microscopy, mercury porosimetry, and CT scanning revealed mesoscale damage mechanisms. Sustained loading optimized pore structure and enhanced compactness. A two-parameter Weibull probability model was then established to describe damage evolution patterns and assess the service life of desert sand concrete under regional climatic conditions. Full article
(This article belongs to the Section Construction and Building Materials)
Show Figures

Figure 1

26 pages, 7391 KB  
Article
Effects of Frost Damage and Nanomaterials Modification on the Microstructure and Fracture Properties of the Interfacial Transition Zone of Cementitious Materials
by Xiangong Zhou, Xiancheng Zhou and Weikang Kong
Nanomaterials 2025, 15(21), 1670; https://doi.org/10.3390/nano15211670 - 3 Nov 2025
Viewed by 554
Abstract
Cementitious materials are multiscale and multiphase composites whose frost resistance at the macroscale is closely governed by microstructural characteristics. However, the interfacial transition zone (ITZ) between clinker and hydrates, recognized as the weakest solid phase, plays a decisive role in the initiation and [...] Read more.
Cementitious materials are multiscale and multiphase composites whose frost resistance at the macroscale is closely governed by microstructural characteristics. However, the interfacial transition zone (ITZ) between clinker and hydrates, recognized as the weakest solid phase, plays a decisive role in the initiation and propagation of microcracks under freezing conditions. Understanding the frost damage mechanism of ITZ is therefore essential for improving the durability of concrete in cold regions. The motivation of this study lies in revealing how freezing affects the mechanical integrity and microstructure of ITZ in its early ages, which remains insufficiently understood in existing research. To address this, a nanoscratch technique was employed for its ability to quantify local fracture properties and interfacial adhesion at the submicronscale, providing a direct and high-resolution assessment of ITZ behavior under freeze–thaw action. The ITZ thickness and fracture properties were characterized in unfrozen cement paste and in cement paste frozen at 1 and 7 days of age to elucidate the microscale frost damage mechanism. Moreover, the enhancement effect of nano-silica modification on frozen ITZ was investigated through the combined use of nanoscratch and mercury intrusion porosimetry (MIP). The correlations among clinker particle size, ITZ thickness, and ITZ fracture properties were further established using nanoscratch coupled with scanning electron microscopy (SEM). This study provides a novel micromechanical insight into the frost deterioration of ITZ and demonstrates the innovative application of nanoscratch technology in characterizing freeze-induced damage in cementitious materials, offering theoretical guidance for designing durable concrete for cold environments. Full article
Show Figures

Figure 1

Back to TopTop