Sign in to use this feature.

Years

Between: -

Subjects

remove_circle_outline
remove_circle_outline
remove_circle_outline
remove_circle_outline
remove_circle_outline
remove_circle_outline
remove_circle_outline
remove_circle_outline
remove_circle_outline

Journals

remove_circle_outline
remove_circle_outline
remove_circle_outline
remove_circle_outline
remove_circle_outline
remove_circle_outline
remove_circle_outline

Article Types

Countries / Regions

remove_circle_outline
remove_circle_outline
remove_circle_outline
remove_circle_outline
remove_circle_outline
remove_circle_outline
remove_circle_outline

Search Results (368)

Search Parameters:
Keywords = mercury ion

Order results
Result details
Results per page
Select all
Export citation of selected articles as:
30 pages, 8386 KB  
Article
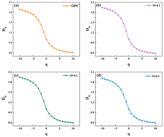
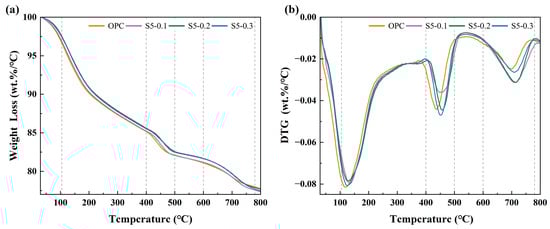
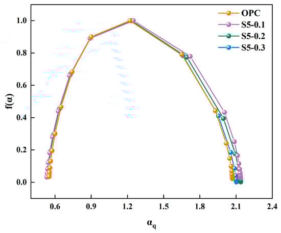
Multifractal Characteristics of the Pore Structure and Resistance to Chloride Ion Penetration of Cement Mortar Modified with a Waterborne Nanosilicate-Based Densifier
by Xin Wang, Rongxin Guo, Haiting Xia, Dian Guan and Zhuo Liu
Fractal Fract. 2026, 10(1), 58; https://doi.org/10.3390/fractalfract10010058 - 14 Jan 2026
Abstract
Cementitious composites are heterogeneous porous materials whose pore structure plays a critical role in resistance to chloride-ion penetration. A waterborne nano-silicate-based densifier (CF-S5) was used to examine its influence on the pore structure and resistance to the chloride ion penetration of mortar. We [...] Read more.
Cementitious composites are heterogeneous porous materials whose pore structure plays a critical role in resistance to chloride-ion penetration. A waterborne nano-silicate-based densifier (CF-S5) was used to examine its influence on the pore structure and resistance to the chloride ion penetration of mortar. We investigated the resistance to the chloride ion penetration of mortar with added CF-S5 admixture through the Rapid Chloride Permeability Test (RCPT). We investigated the pore structure characteristics of mortar by mercury intrusion porosimetry (MIP) coupled with fractal theory and investigated the degree of hydration of the cement paste by thermogravimetric analysis (TG). Ultimately, the degree of correlation between multifractal parameters and the chloride ion migration coefficient of mortar was examined using gray relational analysis (GRA). Results indicate that the CF-S5 admixture reduces mortar porosity and the content of harmful pores while increasing pore tortuosity, thus improving the resistance to the chloride ion penetration of mortar. Multifractal analysis indicated that the CF-S5 admixture decreased the connectivity and increased the complexity of the mortar pore structure. The CF-S5 admixture did not reduce the hydration degree of cement paste at 28 d. Additionally, the multifractal parameters show a high gray relational degree with the chloride migration coefficient; therefore, they may serve as potential indicators to reflect the resistance to the chloride ion penetration of mortar. Full article
(This article belongs to the Special Issue Fractal Analysis and Its Applications in Materials Science)
Show Figures

Figure 1

16 pages, 3068 KB  
Article
Modulating Reactivity and Stability of Graphene Quantum Dots with Boron Dopants for Mercury Ion Interaction: A DFT Perspective
by Joaquín Alejandro Hernández Fernández, Juan Jose Carrascal and Juan Sebastian Gómez Pérez
J. Compos. Sci. 2026, 10(1), 40; https://doi.org/10.3390/jcs10010040 - 12 Jan 2026
Viewed by 136
Abstract
The objective of this study was to use Density Functional Theory (DFT) calculations to examine how boron doping modulates the electronic properties of graphene quantum dots (GQDs) and their interaction with the Hg2+ ion. Boron doping decreases the HOMO-LUMO gap and increases [...] Read more.
The objective of this study was to use Density Functional Theory (DFT) calculations to examine how boron doping modulates the electronic properties of graphene quantum dots (GQDs) and their interaction with the Hg2+ ion. Boron doping decreases the HOMO-LUMO gap and increases the GQD’s electrophilic character, facilitating charge transfer to the metal ion. The adsorption energy results were negative, indicating electronic stabilization of the combined systems, without implying thermodynamic favorability, with the GQD@3B_Hg2+ system being the strongest at −349.52 kcal/mol. The analysis of global parameters (chemical descriptors) and the study of non-covalent interactions (NCIs) supported the affinity of Hg2+ for doped surfaces, showing that the presence of a single boron atom contributes to clear attractive interactions. In general, configurations doped with 1 or 2 boron atoms exhibit satisfactory performance, demonstrating that boron doping effectively modulates the reactivity and adsorption properties of GQD for efficient Hg2+ capture. Full article
(This article belongs to the Section Composites Modelling and Characterization)
Show Figures

Figure 1

20 pages, 3754 KB  
Article
Synthesis and Characterization of Polythioamides from Elemental Sulfur for Efficient Hg(II) Adsorption
by Yue Gao, Cheng Ma, Xuan Qi, Hao Yan, Chao Yang, Wei Xia, Hanyu Du and Junfeng Zhang
Processes 2026, 14(2), 198; https://doi.org/10.3390/pr14020198 - 6 Jan 2026
Viewed by 198
Abstract
A metal-free multicomponent polymerization (MCP) method was developed for synthesizing sulfur-containing polythioamides, using elemental sulfur, dicarboxylic acids, and diamines as monomers. This approach offers a versatile strategy for producing polythioamides with excellent thermal stability and high mechanical strength. The synthesized polymers demonstrated a [...] Read more.
A metal-free multicomponent polymerization (MCP) method was developed for synthesizing sulfur-containing polythioamides, using elemental sulfur, dicarboxylic acids, and diamines as monomers. This approach offers a versatile strategy for producing polythioamides with excellent thermal stability and high mechanical strength. The synthesized polymers demonstrated a maximum Hg(II) adsorption capacity of 187 mg·g−1, with adsorption efficiencies exceeding 90% for most polymers. Both aliphatic and aromatic polythioamides showed similar high adsorption performance, indicating the universal applicability of this synthesis method. Scanning electron microscopy (SEM) and X-ray photoelectron spectroscopy (XPS) confirmed the strong interaction between Hg(II) ions and the sulfur-containing thioamide groups. These results highlight the potential of MCP-based polythioamides as efficient adsorbents for mercury removal, with promising applications in environmental remediation. Full article
(This article belongs to the Section Environmental and Green Processes)
Show Figures

Figure 1

16 pages, 6098 KB  
Article
Eco-Friendly Synthesis and Paper Immobilization of AgNPs for Portable Colorimetric Detection of Hg2+ in Water
by Nevena Radivojević, Sanja Knežević, Stefan Graovac, Vladimir Rajić, Tamara Terzić, Nebojša Potkonjak, Tamara Lazarević-Pašti and Vedran Milanković
Chemosensors 2025, 13(12), 433; https://doi.org/10.3390/chemosensors13120433 - 16 Dec 2025
Viewed by 413
Abstract
Mercury’s severe toxicity and persistence demand fast, low-cost, and sustainable detection. In this work, a Juglans regia ethanolic extract is introduced as an efficient biogenic reducing and stabilizing agent for the green synthesis of silver nanoparticles (AgNPs). This plant-mediated route enables environmentally friendly [...] Read more.
Mercury’s severe toxicity and persistence demand fast, low-cost, and sustainable detection. In this work, a Juglans regia ethanolic extract is introduced as an efficient biogenic reducing and stabilizing agent for the green synthesis of silver nanoparticles (AgNPs). This plant-mediated route enables environmentally friendly nanoparticle formation with suitable optical properties for sensing applications. To overcome the poor visual selectivity observed in the colloidal AgNPs suspension, the nanoparticles were immobilized onto filter paper to produce a solid-phase colorimetric sensor. The paper-based platform exhibited a highly selective response toward Hg2+, showing complete suppression of the yellow coloration exclusively in the presence of Hg2+, even when challenged with a 200-fold excess of potentially interfering ions. Quantitative colorimetric analysis revealed a broad linear detection range from 1 × 10−8 to 1 × 10−3 mol dm−3 and an excellent limit of detection of 1.065 × 10−8 mol dm−3, with visible color changes consistent with the calculated values. The sensor’s performance was further validated using real tap water samples, with recovery values ranging from 96% to 102%, confirming minimal matrix interference and reliable quantification. Altogether, this study demonstrates that Juglans regia-mediated AgNPs, integrated into a simple paper-based format, provide a fully green, low-cost, and portable platform for sensitive and selective on-site detection of Hg2+ in environmental waters. Full article
Show Figures

Graphical abstract

12 pages, 4159 KB  
Article
Label-Free Aptamer–Silver Nanoparticles Abs Biosensor for Detecting Hg2+
by Haolin Wang, Xingan Liang, Lan Ye, Licong Fu, Zhiliang Jiang and Dongmiao Qin
Molecules 2025, 30(24), 4785; https://doi.org/10.3390/molecules30244785 - 15 Dec 2025
Viewed by 356
Abstract
In this work, a stable silver nanoparticle (AgNPs) with strong surface plasmon resonance absorption (Abs) signals was synthesized using light-wave technology. In the absence of aptamers, AgNPs can aggregate in a given concentration of salt solution, resulting in significant changes in color. After [...] Read more.
In this work, a stable silver nanoparticle (AgNPs) with strong surface plasmon resonance absorption (Abs) signals was synthesized using light-wave technology. In the absence of aptamers, AgNPs can aggregate in a given concentration of salt solution, resulting in significant changes in color. After adding the aptamer (Apt), it was observed that the aptamer can coordinate with AgNPs and adsorb on the surface of AgNPs, thereby maintaining the stability of the nanosol. In the presence of mercury ions (Hg2+), their high-affinity reaction with the aptamer compromised the latter’s protective effect on AgNPs, causing the color of the system to change again. Based on this, a simple and rapid new Abs method for detecting Hg2+ can be constructed. The linear range was 2.5 × 10−3–10.00 μmol/L, and the detection limit (DL) of the system was 2.03 nmol/L. Full article
Show Figures

Figure 1

12 pages, 1311 KB  
Article
Detection of Mercury Ions Using Graphene Nanoribbon-DNA Sensors Fabricated via Template Methods
by Jiaojiao Da, Haixia Shi, Vesna Antic, Milica Balaban, Bing Xie and Li Gao
Chemosensors 2025, 13(12), 431; https://doi.org/10.3390/chemosensors13120431 - 12 Dec 2025
Viewed by 472
Abstract
To enhance the sensitivity of graphene-DNA sensors for Hg2+ detection, a novel graphene nanoribbon-DNA sensor was fabricated using a template-assisted approach. Silicon nanowires served as templates to decorate the graphene device, followed by plasma etching to delineate graphene nanoribbons. After template removal, [...] Read more.
To enhance the sensitivity of graphene-DNA sensors for Hg2+ detection, a novel graphene nanoribbon-DNA sensor was fabricated using a template-assisted approach. Silicon nanowires served as templates to decorate the graphene device, followed by plasma etching to delineate graphene nanoribbons. After template removal, the resulting sensors based on silicon nanowire templates were successfully constructed. DNA sequences containing four guanine bases were conjugated with graphene sensors prepared using the templates. The carboxyl groups on the edges of the graphene nanoribbons were activated with EDC/NHS chemistry to facilitate covalent bonding with amino-modified DNA. The kinetic response and Hg2+ detection capability of the fabricated sensors were characterized using a semiconductor parameter analyzer. Results indicated that the silicon nanowire-templated graphene nanoribbon sensor exhibited high sensitivity, with a detection limit of 3.62 pM. This innovative approach further improved the sensitivity of graphene-DNA sensors for Hg2+ detection. Full article
(This article belongs to the Special Issue Green Electrochemical Sensors for Trace Heavy Metal Detection)
Show Figures

Figure 1

23 pages, 5724 KB  
Article
Mercury Removal and Antibacterial Performance of A TiO2–APTES Kaolin Composite
by Awal Adava Abdulsalam, Sabina Khabdullina, Zhamilya Sairan, Yersain Sarbassov, Madina Pirman, Dilnaz Amrasheva, George Z. Kyzas, Tri Thanh Pham, Elizabeth Arkhangelsky and Stavros G. Poulopoulos
Sustain. Chem. 2025, 6(4), 48; https://doi.org/10.3390/suschem6040048 - 1 Dec 2025
Viewed by 987
Abstract
Mercury (Hg2+) contamination in water systems poses a severe environmental and health hazard due to its high toxicity and bioaccumulation potential. In this study, a novel adsorbent was developed by sequentially modifying kaolin via acid–base treatment, titanium dioxide (TiO2) [...] Read more.
Mercury (Hg2+) contamination in water systems poses a severe environmental and health hazard due to its high toxicity and bioaccumulation potential. In this study, a novel adsorbent was developed by sequentially modifying kaolin via acid–base treatment, titanium dioxide (TiO2) incorporation, and 3-aminopropyltriethoxysilane (APTES) grafting. Batch adsorption experiments revealed that the fully modified kaolin (TiO2-loaded and APTES grafted) exhibited the highest adsorption capacity (25.6 mg/g) compared to the acid–base-treated (5.8 mg/g) and TiO2-loaded (17.7 mg/g) kaolin. Under optimal conditions (75 mg adsorbent dosage; 70 mg/L Hg2+; pH 5), the fully modified kaolin maintained its performance even in the presence of varying ionic strengths, natural organic matter, and competing metal ions. Adsorption kinetics followed a pseudo-second-order model, and the equilibrium data were well fitted by the Langmuir isotherm. Antibacterial activity assay revealed that the TiO2-loaded kaolin effectively inhibited S. aureus (minimum inhibitory concentration = 2.5 mg/mL) and showed moderate activity against E. coli (BL21) (minimum inhibitory concentration = 5 mg/mL). However, antibacterial activity decreased after amine functionalization, indicating a compromise between enhancing adsorption capacity and preserving antibacterial functionality. This study presents a promising cost-efficient approach for the simultaneous removal of Hg2+ ions from water matrices and inhibiting bacterial growth, aligning with SDG 6 (Clean Water and Sanitation). Full article
Show Figures

Graphical abstract

21 pages, 7929 KB  
Article
Influence of Simulated Radioactive Waste Resins on the Properties of Magnesium Silicate Hydrate Cement
by Enyu Sun, Huinan Gao, Min Li, Jie Yang, Yu Qiao and Tingting Zhang
Materials 2025, 18(23), 5385; https://doi.org/10.3390/ma18235385 - 28 Nov 2025
Viewed by 375
Abstract
Ion exchange resins are commonly utilized for treating liquid radioactive waste within nuclear power plants; however, the disposal of these waste resins presents a new challenge. In this study, magnesium silicate hydrate cement (MSHC) was used to immobilize the waste resin, and the [...] Read more.
Ion exchange resins are commonly utilized for treating liquid radioactive waste within nuclear power plants; however, the disposal of these waste resins presents a new challenge. In this study, magnesium silicate hydrate cement (MSHC) was used to immobilize the waste resin, and the immobilization effectiveness of the MSHC-solidified body were assessed by mechanical properties, durability, and leaching performance. Hydration heat, X-ray diffraction (XRD), thermogravimetric analysis (TGA), scanning electronic microscopy (SEM), and mercury intrusion porosimetry (MIP) were used to study the hydration process of the MSHC-solidified body containing Cs+, Sr2+, and Cs+/Sr2+ waste resins. The results demonstrated that the presence of waste resins slightly delayed the hydration reaction process of MSHC and reduced the polymerization degree of the M-S-H gel, and the composition of the hydration products were not changed. The immobilization mechanism for radionuclide ions in resin included both mechanical encapsulation and surface adsorption, and the leaching of Cs+ and Sr2+ from MSHC-solidified body followed the FRDIM. When the content of the waste resin was 25%, the MSHC-solidified body exhibited satisfactory compressive strength, freeze-thaw resistance, soaking resistance, and impact resistance. These results strongly indicated that MSHC possessed the ability to effectively immobilize ion exchange resins. Full article
Show Figures

Graphical abstract

11 pages, 1138 KB  
Article
Ultra-Sensitive Detection of Mercury by Using Field-Effect Transistor Biosensors Based on Single-Walled Carbon Nanotubes
by Chao Lu, Qiuxiang Lv, Yuanwei Lin and Li Gao
Biosensors 2025, 15(12), 779; https://doi.org/10.3390/bios15120779 - 26 Nov 2025
Viewed by 411
Abstract
In recent years, the amount of mercury discharged by human activities has continued to increase. Most of the mercury in surface water settles into the sediment, where it can be directly or indirectly transformed into mercury ion (Hg2+) compounds (such as [...] Read more.
In recent years, the amount of mercury discharged by human activities has continued to increase. Most of the mercury in surface water settles into the sediment, where it can be directly or indirectly transformed into mercury ion (Hg2+) compounds (such as dimethylmercury) under the action of microorganisms. Hg2+ display high toxicity and bioaccumulation in food, such as fish and rice, and thus the contamination of mercury ion is a serious concern for human health. Practical Hg2+ detection methods are usually limited by the sensitivity and selectivity of the used methods, such as colorimetric determination and fluorescence biosensor based on the solution phase. Therefore, it is urgent to develop Hg2+ detection methods in the practical environment with high sensitivity and selectivity. DNA is low-cost, relatively stable, and has been used for different fields. In this study, DNA for Hg2+detection was absorbed on the surface of single-walled carbon nanotubes (SWNTs) by using 1,5-diaminonaphthalene (DAN) based on field-effect transistor (FET) biosensors. The interaction between DNA and Hg2+ can be directly converted into electrical signals based on the SWNTs biosensors. The experimental results showed that the limit of detection (LOD) of Hg2+ without the phase-locked amplifier was about 42.6 pM. The function of the phase-locked amplifier is to achieve fast detection of the biosensor with strong anti-noise ability. Intriguingly, the sensitivity of the biosensor combined with a phase-locked amplifier to detect Hg2+ was further improved to be 5.14 pM compared with some current methods of biosensors. Furthermore, this biosensor has an excellent selectivity and practical detection in tap water, which demonstrates its high performance and low cost in practical application in Hg2+ detection. These results show this method for Hg2+ detection using SWNTs biosensors with a phase-locked amplifier is promising. Full article
Show Figures

Figure 1

27 pages, 3496 KB  
Article
Bifunctional N/S-Coordinated Thiadiazole–Triazine Porous Organic Polymer for Efficient Hg(II) Immobilization in Aqueous–Soil Systems
by Kai Li and Rongguo Sun
Processes 2025, 13(11), 3652; https://doi.org/10.3390/pr13113652 - 11 Nov 2025
Viewed by 407
Abstract
Mercury (Hg) contamination in water and soil poses severe ecological and human health risks, yet conventional sorbents often suffer from limited capacity, selectivity, and stability. Here, we report a bifunctional porous organic polymer (AMTD-TCT) rationally constructed by covalently crosslinking 2-amino-5-mercapto-1,3,4-thiadiazole with trichlorotriazine, thereby [...] Read more.
Mercury (Hg) contamination in water and soil poses severe ecological and human health risks, yet conventional sorbents often suffer from limited capacity, selectivity, and stability. Here, we report a bifunctional porous organic polymer (AMTD-TCT) rationally constructed by covalently crosslinking 2-amino-5-mercapto-1,3,4-thiadiazole with trichlorotriazine, thereby integrating abundant sulfur and nitrogen coordination sites within a stable mesoporous framework. AMTD-TCT exhibits an ultrahigh Hg(II) adsorption capacity of 1257.7 mg g−1, far exceeding most reported porous sorbents. Adsorption follows monolayer chemisorption, governed by strong S–Hg and N–Hg coordination and Na+/Hg2+ ion exchange, while hierarchical porosity ensures rapid diffusion and efficient utilization of active sites. The polymer maintains robust performance over a wide pH range and demonstrates strong retention with minimal desorption, underscoring its environmental durability. These findings highlight AMTD-TCT as a highly effective and scalable platform for Hg(II) remediation in complex aqueous–soil systems and illustrate a generalizable molecular design strategy for developing multifunctional porous polymers in advanced separation and purification technologies. Full article
(This article belongs to the Section Chemical Processes and Systems)
Show Figures

Graphical abstract

13 pages, 2758 KB  
Article
Replacing Manual Operation with Bio-Automation II: Construction of a Biological Digestion Gene Circuit to Eliminate the Interference of Food Matrices in the Rapid Detection of Heavy Metals
by Shiqi Xia, Shijing Chen, Hongfei Su, Liangshu Hu, Xiaozhe Qi and Mingzhang Guo
Foods 2025, 14(21), 3798; https://doi.org/10.3390/foods14213798 - 6 Nov 2025
Viewed by 428
Abstract
Food matrices such as phytic acid, starch, and proteins can chelate heavy metals, acting as stabilizers that significantly hinder accurately detecting heavy metal contamination. This study proposes a biological digestion strategy to overcome such interference. The gene sequences for phytase (appA) [...] Read more.
Food matrices such as phytic acid, starch, and proteins can chelate heavy metals, acting as stabilizers that significantly hinder accurately detecting heavy metal contamination. This study proposes a biological digestion strategy to overcome such interference. The gene sequences for phytase (appA) from Escherichia coli (E. coli), α-amylase (amyA) from Escherichia coli (E. coli), and protease (AO090120000474) from Aspergillus oryzae were identified via bioinformatics screening. Whole-cell biosensors were then developed to simultaneously detect mercury ions (Hg2+) and digest phytate, starch, and proteins. In the presence of 100 μM Hg2+, biosensor responses improved by 1.43-, 1.38-, and 1.11-fold, respectively. A “heavy metal pollutant bio-digestion pathway” was constructed by integrating genes for synthesizing phytic acid, starch, and protein with those for Hg2+ detection. In the presence of 100 μM Hg2+, the detection effect was improved by 1.36-fold. The detection limit of the BαAP whole-cell biosensor was 0.082 μM, while the limit of quantitation was 0.272 μM. The study effectively addresses the limitations of biosensor performance in real sample detection. Full article
(This article belongs to the Section Food Quality and Safety)
Show Figures

Figure 1

17 pages, 1172 KB  
Article
UV LED Curing for Silicone Hydrogel Contact Lenses: Breakthrough in Curing Properties and Cosmetic Characteristics
by Saravanan Nanda Kumar, Nadia Adrus, Jamarosliza Jamaluddin, Farahin M. Mizi, Fatria Syaimima Saiful Azim and James Jeyadeva Govindasamy
Polymers 2025, 17(21), 2834; https://doi.org/10.3390/polym17212834 - 24 Oct 2025
Viewed by 1381
Abstract
Ultraviolet light-emitting diode (UV LED) technology offers advantages over conventional UV mercury (UV Hg) lamps, including precise wavelength control, high energy efficiency and rapid curing. While UV LED is widely applied in sectors like dentistry, printing, and electronics, its application in contact lens [...] Read more.
Ultraviolet light-emitting diode (UV LED) technology offers advantages over conventional UV mercury (UV Hg) lamps, including precise wavelength control, high energy efficiency and rapid curing. While UV LED is widely applied in sectors like dentistry, printing, and electronics, its application in contact lens manufacturing remains relatively low. This study evaluates the feasibility of integrating UV LED technology curing as a replacement for UV Hg lamps to produce silicone hydrogel contact lenses. Many manufacturers utilizing UV Hg systems encounter challenges such as extended curing times and increased cosmetic defect rates. In this study, lenses were formulated using a mixture of hydrophobic macro-monomer, silicone monomer, and hydrophilic monomer. The formulations were cured using both UV LED and UV Hg lamps systems under controlled intensities, and two curing configurations were assessed: single-sided (SC) and double-sided (DC). The UV Hg light intensity was maintained between 1.1 and 3.1 mW/cm2, reflecting standard production values, while the UV LED intensity was set at 32 mW/cm2 to ensure uniform light distribution in the mold. The findings showed an improved degree of conversion (DOC) for UV LED cured lenses (86–88%) compared to UV Hg (79.5–82.3%), along with increased water content (ranging between 34 and 36.8%) and ion permeability (7.1–8.3 mm2/min). The optical properties of the cured lenses remained consistent across both methods. Notably, UV LED curing reduced cosmetic defects by up to 50% and shortened curing time by 3 to 4 times. These enhancements support UV LED as a superior alternative for contact lens curing, enabling scalable, efficient, and high-quality manufacturing. Full article
(This article belongs to the Special Issue New Insights into Photopolymerization)
Show Figures

Figure 1

14 pages, 2238 KB  
Article
Functional Biopolymer-Stabilized Silver Nanoparticles on Glassy Carbon: A Voltammetric Sensor for Trace Thallium(I) Detection
by Bożena Karbowska, Maja Giera, Anna Modrzejewska-Sikorska and Emilia Konował
Int. J. Mol. Sci. 2025, 26(19), 9658; https://doi.org/10.3390/ijms26199658 - 3 Oct 2025
Cited by 1 | Viewed by 467
Abstract
Thallium is a soft metal with a grey or silvery hue. It commonly occurs in two oxidation states in chemical compounds: Tl+ and Tl3+. Thermodynamically, Tl+ is significantly more stable and typically represents the dominant form of thallium in [...] Read more.
Thallium is a soft metal with a grey or silvery hue. It commonly occurs in two oxidation states in chemical compounds: Tl+ and Tl3+. Thermodynamically, Tl+ is significantly more stable and typically represents the dominant form of thallium in environmental systems. However, in this chemical form, thallium remains highly toxic. This study focuses on the modification of a glassy carbon electrode (GCE) with silver nanostructures stabilised by potato starch derivatives. The modified electrode (GCE/AgNPs-E1451) was used for the determination of trace amounts of thallium ions using anodic stripping voltammetry. Emphasis was placed on assessing the effect of surface modification on key electrochemical performance parameters of the electrode. Measurements were carried out in a base electrolyte (EDTA) and in a real soil sample collected from Bali. The stripping peak current of thallium exhibited linearity over the concentration range from 19 to 410 ppb (9.31 × 10−8 to 2.009 × 10−6 mol/dm3). The calculated limit of detection (LOD) was 18.8 ppb (9.21 × 10−8 mol/dm3), while the limit of quantification (LOQ), corresponded to 56.4 ppb (2.76 × 10−7 mol/dm3). The GCE/AgNPs-E1451 electrode demonstrates several significant advantages, including a wide detection range, reduced analysis time due to the elimination of time-consuming pre-concentration steps, and non-toxic operation compared to mercury-based electrodes. Full article
(This article belongs to the Special Issue New Advances in Metal Nanoparticles)
Show Figures

Figure 1

16 pages, 2677 KB  
Article
Consolidation Efficacy of Nano-Barium Hydroxide on Neogene Sandstone
by Yujia Wang, Ruitao Gao, Yingbo Wu, Xuwei Yang, Guirong Wei and Jianwen Chen
Appl. Sci. 2025, 15(19), 10617; https://doi.org/10.3390/app151910617 - 30 Sep 2025
Cited by 1 | Viewed by 523
Abstract
This study focuses on the sandstone of the Kizil Grottoes as the research object. Sandstone samples reinforced with barium hydroxide nanoparticle (Ba(OH)2) solutions at different concentrations were subjected to mass and deformation monitoring, wave velocity tests, triaxial shear tests, and conventional [...] Read more.
This study focuses on the sandstone of the Kizil Grottoes as the research object. Sandstone samples reinforced with barium hydroxide nanoparticle (Ba(OH)2) solutions at different concentrations were subjected to mass and deformation monitoring, wave velocity tests, triaxial shear tests, and conventional mercury intrusion porosimetry (MIP) to investigate the reinforcement mechanism and effectiveness of nano-Ba(OH)2 on Kizil sandstone. The results indicate that after treatment with nano-Ba(OH)2, the strength and wave velocity of the sandstone samples significantly increased, with the 15% concentration showing the optimal reinforcement effect. Nano-Ba(OH)2 enhances the cementation between sandstone particles, alters pore morphology and size distribution, reduces capillary water rise height, and inhibits sulfate ion crystallization and recrystallization, thereby achieving the dual effects of strength reinforcement and deterioration prevention. Full article
(This article belongs to the Special Issue Geological Disasters: Mechanisms, Detection, and Prevention)
Show Figures

Figure 1

12 pages, 6751 KB  
Article
Economic and Low-Carbon Cementitious Materials Based on Hot–Stuffy Steel Slag
by Xupeng Zhang, Changze Xu, Mingze Wang, Shirong Du, Yan Li and Guoqing Wang
Buildings 2025, 15(16), 2931; https://doi.org/10.3390/buildings15162931 - 19 Aug 2025
Viewed by 1133
Abstract
Ordinary steel slag serves as a supplementary cementitious material (SCMs) to enhance the resource efficiency of industrial waste and contribute to decarbonization and economic benefits. However, there are significant differences in the composition and properties between hot–stuffy steel slag and ordinary steel slag, [...] Read more.
Ordinary steel slag serves as a supplementary cementitious material (SCMs) to enhance the resource efficiency of industrial waste and contribute to decarbonization and economic benefits. However, there are significant differences in the composition and properties between hot–stuffy steel slag and ordinary steel slag, and there has been little research focusing on hot–stuffy steel slag as an SCM. Herein, we investigated the application of hot–stuffy steel slag, coal bottom ash, slag powder, desulfurization gypsum, and cement as raw materials for developing new green, low-carbon, and economical cementitious materials. When the hot–stuffy steel slag content was 20%, the compressive and flexural strengths of the cementitious material at 28 days reached as high as 64.5 MPa and 11.3 MPa, respectively. Even when the hot–stuffy steel slag content is increased to 50%, the compressive and flexural strengths at 28 days remain 58.2 MPa and 6.1 MPa, respectively. Furthermore, an X-ray diffractometer (XRD) and scanning electron microscopy (SEM) show that the hydration products generated by the new low-carbon cementitious materials (LCM) are mainly C-(A)-S-H gels. Mercury intrusion porosimetry (MIP) indicates that when the hot–stuffy steel slag content is 20%, the total porosity (18.85%) of the LCM is the lowest, suggesting that the lower the porosity, the better the strength. Notably, the heavy metal ions released by hot–stuffy steel slag-based cementitious materials were far below hygienic standards for drinking water, confirming their ability to fix heavy metal ions. This work provides an excellent model and application prospect for the utilization of hot–stuffy steel slag in non-structural engineering projects such as river engineering, marine engineering, and road engineering, enabling the achievement of both low-carbon and economic objectives. Full article
(This article belongs to the Section Building Materials, and Repair & Renovation)
Show Figures

Figure 1

Back to TopTop