Sign in to use this feature.

Years

Between: -

Subjects

remove_circle_outline
remove_circle_outline
remove_circle_outline
remove_circle_outline
remove_circle_outline
remove_circle_outline
remove_circle_outline
remove_circle_outline

Journals

Article Types

Countries / Regions

Search Results (15)

Search Parameters:
Keywords = locked patch

Order results
Result details
Results per page
Select all
Export citation of selected articles as:
21 pages, 29754 KB  
Article
Land Use Structure Evolution in Resource-Based Cities: Drivers and Multi-Scenario Forecasting—Evidence from China’s Huaihai Economic Zone
by Yan Lin, Binjie Wang and Liyuan Zhao
Land 2026, 15(4), 555; https://doi.org/10.3390/land15040555 - 27 Mar 2026
Viewed by 412
Abstract
Resource-based cities face unique land use challenges due to resource dependence and path lock-in, yet the driving mechanisms and future trajectories of their land use transitions remain underexplored. This study examines the Huaihai Economic Zone (HEZ), a representative coal-rich region in eastern China, [...] Read more.
Resource-based cities face unique land use challenges due to resource dependence and path lock-in, yet the driving mechanisms and future trajectories of their land use transitions remain underexplored. This study examines the Huaihai Economic Zone (HEZ), a representative coal-rich region in eastern China, to analyze land use changes from 2000 to 2023 and simulate 2036 scenarios under different development pathways. Using land use transfer matrices, dynamic degree metrics, and the Patch-generating Land Use Simulation (PLUS) model, we systematically identified spatiotemporal evolution patterns, quantified the contributions of driving factors, and projected multi-scenario future land use patterns. Results reveal that land use change in the study area was dominated by the conversion of cultivated land to construction land, alongside spatial restructuring from a monocentric to a polycentric network pattern. Notably, construction land expansion was least evident in the central Mining-Affected Zone, where land use changes remained relatively sluggish compared to other sub-regions. Driving factor analysis indicates that socio-economic factors primarily influenced changes in construction and cultivated land, while natural factors strongly affected ecological land and unused land. Multi-scenario simulations for 2036 demonstrate diverging trajectories: an urban development scenario would accelerate cultivated land loss and unused land expansion; a natural development scenario would maintain current pressures; and an ecological protection scenario would effectively curb urban sprawl while actively promoting ecological land recovery. This study concludes that transcending simple land use control to actively orchestrate “mining-urban-rural-ecological” spatial synergy is critical for achieving a sustainable transition in resource-based regions facing similar transformation pressures. Full article
Show Figures

Figure 1

22 pages, 7043 KB  
Article
Energy Harvesting from Open-Channel Flows Through Piezoelectric Vortex-Induced Vibrations
by Giacomo Zanetti, Francesco Nascimben, Marco Carraro, Alberto Benato and Giovanna Cavazzini
Appl. Sci. 2026, 16(6), 2684; https://doi.org/10.3390/app16062684 - 11 Mar 2026
Viewed by 407
Abstract
Efficient energy harvesting from open-channel flows offers a sustainable solution for powering distributed sensing systems in water infrastructure. This study investigates a piezoelectric wake-excited membrane vortex-induced vibration (VIV) energy harvester through a combined numerical and mechanical approach. The device features an upstream cylindrical [...] Read more.
Efficient energy harvesting from open-channel flows offers a sustainable solution for powering distributed sensing systems in water infrastructure. This study investigates a piezoelectric wake-excited membrane vortex-induced vibration (VIV) energy harvester through a combined numerical and mechanical approach. The device features an upstream cylindrical bluff body that generates a periodic vortex street, exciting a downstream flexible membrane equipped with surface-mounted piezoelectric patches. A one-way coupled CFD–FEM framework implemented in ANSYS was employed to assess the effects of membrane length, material stiffness, and flow conditions on hydrodynamic loading, structural deformation, and deformation power. Results show that membrane length mainly affects oscillation amplitude and force levels, whereas material stiffness has a stronger influence on membrane deformation and RMS mechanical power. Among the investigated materials, low-stiffness polyethylene yields the highest deformation power, while none of the analysed configurations reaches a full lock-in condition within the explored parameter range. Complementary mechanical analysis revealed that the stiffness of commercial piezoelectric patches significantly reduces local strain, thereby constraining the practically harvestable energy in the present baseline configuration. Spectral power density analysis identified the dominant shedding frequency and its harmonics, confirming that the flow response is governed by a coherent periodic excitation. These findings highlight key design trade-offs in wake-excited membrane harvesters and provide useful guidance for the future optimisation of self-powered hydraulic monitoring systems. Full article
(This article belongs to the Special Issue Vibration Power Harvesting and Its Applications)
Show Figures

Figure 1

24 pages, 4652 KB  
Article
Efficient Solid-Shell ABAQUS Modeling of Electromechanical Behavior in Porous FGM Structures with Smart-Layer Bonding
by Lotfi Ben Said, Alaa Chabir and Fakhreddine Dammak
Machines 2026, 14(2), 198; https://doi.org/10.3390/machines14020198 - 9 Feb 2026
Viewed by 367
Abstract
The present study provides a comprehensive investigation into the electromechanical response of porous Functionally Graded Material (FGM) shell structures with bonded piezoelectric layers, achieved through the implementation of an efficient solid-shell element in the ABAQUS (6.14) software. The basis for the modeled element [...] Read more.
The present study provides a comprehensive investigation into the electromechanical response of porous Functionally Graded Material (FGM) shell structures with bonded piezoelectric layers, achieved through the implementation of an efficient solid-shell element in the ABAQUS (6.14) software. The basis for the modeled element lies in the refinement of the established First Shear Deformation Theory (FSDT), coupled with the application of the assumed natural strain (ANS) and enhanced assumed strain (EAS) methodologies. The synergy between the two approaches results in enhanced efficiency in capturing the transverse shear strain while simultaneously addressing locking problems. Subsequently, the developed solid-shell element is incorporated into the Abaqus code through the user element interface to account for the shear strains across the FGM shell thickness. The computed results have been verified against the solutions reported in existing literature. Through this approach, the impact of the power law index and the degree of porosity on the electromechanical performance of FGM structures containing integrated piezoelectric patches is explored and presented. As a result, the findings reveal that the power law index influences the FGM distribution, and the porosity reduces the overall structural rigidity, which in turn prompts larger deflections in the porous FGM shell structures. Full article
(This article belongs to the Special Issue Design and Manufacturing for Lightweight Components and Structures)
Show Figures

Figure 1

33 pages, 88715 KB  
Article
A Co-Designed Framework Combining Dome-Aperture Imaging and Generative AI for Defect Detection on Non-Planar Metal Surfaces
by Zhongqing Jia, Zhaohui Yu, Chen Guan, Bing Zhao and Xiaofei Wang
Sensors 2026, 26(3), 1044; https://doi.org/10.3390/s26031044 - 5 Feb 2026
Viewed by 315
Abstract
Automated visual inspection of safety-critical metal assemblies such as automotive door lock strikes remains challenging due to their complex three-dimensional geometry, highly reflective surfaces, and scarcity of defect samples. While 3D sensing technologies are often constrained by cost and speed, traditional 2D optical [...] Read more.
Automated visual inspection of safety-critical metal assemblies such as automotive door lock strikes remains challenging due to their complex three-dimensional geometry, highly reflective surfaces, and scarcity of defect samples. While 3D sensing technologies are often constrained by cost and speed, traditional 2D optical methods struggle with severe imaging artifacts and poor generalization under few-shot conditions. This work constructs a complete system integrating defect imaging, generation, and detection. It proposes an integrated framework through the co-design of an image acquisition system and deep generative models to holistically enhance defect perception capability. First, we develop an imaging system using dome illumination and a small-aperture lens to acquire high-quality images of non-planar metal surfaces. Subsequently, we introduce a dual-stage generation strategy: stage one employs an improved FastGAN with Dynamic Multi-Granularity Fusion Skip-Layer Excitation (DMGF-SLE) and perceptual loss to efficiently generate high-quality local defect patches; stage two utilizes Poisson image editing and an optimized loss function to seamlessly fuse defect patches into specified locations of normal images. This strategy avoids modeling the complete complex background, concentrating computational resources on creating realistic defects. Experiments on a dedicated dataset demonstrate that our method can efficiently generate realistic defect samples under few-shot conditions, achieving 11–24% improvement in Fréchet Inception Distance (FID) scores over baseline models. The generated synthetic data significantly enhances downstream detection performance, increasing YOLOv8’s mAP@50:95 from 50.4% to 60.5%. Beyond proposing individual technical improvements, this research provides a complete, synergistic, and deployable system solution—from physical imaging to algorithmic generation—delivering a computationally efficient and practically viable technical pathway for defect detection in highly reflective, non-planar metal components. Full article
(This article belongs to the Section Industrial Sensors)
Show Figures

Figure 1

21 pages, 8633 KB  
Article
Experimental Study on the Fracture and Failure of the Locking Section of Rock Slopes Caused by Freeze–Thaw of Fracture Water
by Shuai Liu, Hui Liu, Xiangqi Tian, Kuanyao Zhao, Yonglong Qu, Zhigang Jia and Huaiwu Su
Water 2025, 17(20), 2977; https://doi.org/10.3390/w17202977 - 15 Oct 2025
Viewed by 1150
Abstract
In rock slopes with a three-section landslide, the locking section is the key control factor. This study conducted double-sided freeze–thaw tests on a scale model of a rock slope with a three-section landslide in a cold region. We monitored the changes in frost [...] Read more.
In rock slopes with a three-section landslide, the locking section is the key control factor. This study conducted double-sided freeze–thaw tests on a scale model of a rock slope with a three-section landslide in a cold region. We monitored the changes in frost heave force, strain, and fracture during the water–ice phase change and investigated the effect of the trailing edge tensile crack length on the frost heave fracture of the locking section. A crack frost heave model was proposed based on rock and fracture mechanics to explore the mechanism of slope crack freeze–thaw weathering. According to the results, the slope shoulder froze first, with the freezing front progressing from the slope shoulder to the interior of the rock mass. The fracture failure in the three-section rock slopes was mostly caused by the frost heave of the trailing-edge tensile cracks. The largest frost heave force and locking section deformation occurred when the temperature of the top of the trailing edge tensile crack decreased from −3.5 °C to −6 °C (whereas that of the bottom of the crack dropped from 0 °C to −2.6 °C). Additionally, the results demonstrate that the frost heave force is positively correlated with the length of the trailing edge tension crack, and shear marks are virtually absent on the tensile fracture surface. Full article
(This article belongs to the Special Issue Advances in Water Related Geotechnical Engineering)
Show Figures

Figure 1

12 pages, 2989 KB  
Article
Novel Customizable Fracture Fixation Technique vs. Conventional Metal Locking Plate: An Exploratory Comparative Study of Fixation Stability in an Experimental In Vivo Ovine Bilateral Phalangeal Fracture Model
by Thomas Colding-Rasmussen, Nanett Kvist Nikolaisen, Peter Frederik Horstmann, Michael Mørk Petersen, Daniel John Hutchinson, Michael Malkoch, Stine Jacobsen and Christian Nai En Tierp-Wong
Materials 2025, 18(14), 3359; https://doi.org/10.3390/ma18143359 - 17 Jul 2025
Cited by 1 | Viewed by 1101
Abstract
A novel composite patch osteosynthesis technique (CPT) has demonstrated promising ex vivo biomechanical performance in small tubular bones. To bridge the gap toward clinical evaluations, this study compared the stability of the CPT to a stainless-steel locking plate (LP) in an experimental in [...] Read more.
A novel composite patch osteosynthesis technique (CPT) has demonstrated promising ex vivo biomechanical performance in small tubular bones. To bridge the gap toward clinical evaluations, this study compared the stability of the CPT to a stainless-steel locking plate (LP) in an experimental in vivo ovine bilateral proximal phalanx fracture model. Eight sheep underwent a midline osteotomy with a 4.5 mm circular unicortical defect in the lateral proximal phalanx of both front limbs, treated with the CPT (n = 8) or the LP (n = 8). A half-limb walking cast, or a custom off-loading hoof shoe, was used for postoperative protection. Implant stability was assessed by post-surgery X-ray evaluations and post-euthanasia (16 weeks) dual-energy X-ray absorptiometry (DXA). At week one, all CPT implants demonstrated mechanical failure, while all LPs remained overall intact. Mean BMD was 0.45 g/cm2 for CPT and 0.60 g/cm2 for LP in the fracture area (p = 0.078), and 0.37 g/cm2 vs. 0.41 g/cm2 in the distal epiphysis (p = 0.016), respectively. In conclusion, the CPT demonstrated indications of inferior stability compared to the LP in this fracture model, which may limit its clinical applicability in weight-bearing or high-load scenarios and in non-compliant patients. Full article
Show Figures

Figure 1

27 pages, 4355 KB  
Article
The Influence of Steering Axle Design Parameters and Operational Factors on Tire Steering Resistance Torque
by Vasyl Mateichyk, Anatolii Soltus, Miroslaw Smieszek, Eduard Klimov, Nataliia Kostian, Liudmyla Tarandushka and Roman Marchuk
Appl. Sci. 2024, 14(23), 10925; https://doi.org/10.3390/app142310925 - 25 Nov 2024
Cited by 1 | Viewed by 2175
Abstract
This paper presents the results of the study of the kinematics and dynamics of an elastic steered wheel depending on its state, the kingpin unit design parameters, and the tire characteristics in order to obtain dependencies for calculating the tire steering resistance torque [...] Read more.
This paper presents the results of the study of the kinematics and dynamics of an elastic steered wheel depending on its state, the kingpin unit design parameters, and the tire characteristics in order to obtain dependencies for calculating the tire steering resistance torque in static state and during movement. It was established that when steering in static state, the locked steered wheel is taken as a complex mechanism, and the tire contact patch is rotated about the kingpin axis–support surface intersection point. When turning the unlocked steered wheel, it was determined that the tire contact patch participates in transport and relative motions. The transport motion center is the projection onto the support surface of the center of rotation of the wheel about the kingpin axis. The relative motion center is within the contact patch and is determined experimentally. For both states of the steered wheel, analytical dependencies were obtained for determining the tire steering resistance torque. The results of the analytical studies were experimentally verified on a bench equipped by components and aggregates of a truck, and included an additional rigid false wheel and a special rim. The false wheel made it possible to experimentally determine the tire contact patch transport motion center, and the special rim—to change the knuckle length in the range of 0.22–0.82 m. Full article
(This article belongs to the Section Mechanical Engineering)
Show Figures

Figure 1

20 pages, 21662 KB  
Article
Polar Cap Patches Scaling Properties: Insights from Swarm Data
by Roberta Tozzi, Paola De Michelis, Giulia Lovati, Giuseppe Consolini, Alessio Pignalberi, Michael Pezzopane, Igino Coco, Fabio Giannattasio and Maria Federica Marcucci
Remote Sens. 2023, 15(17), 4320; https://doi.org/10.3390/rs15174320 - 1 Sep 2023
Cited by 3 | Viewed by 1645
Abstract
Among the effects of space weather, the degradation of air traffic communications and satellite-based navigation systems are the most notable. For this reason, it is of uttermost importance to understand the nature and origin of ionospheric irregularities that are at the base of [...] Read more.
Among the effects of space weather, the degradation of air traffic communications and satellite-based navigation systems are the most notable. For this reason, it is of uttermost importance to understand the nature and origin of ionospheric irregularities that are at the base of the observed communication outages. Here we focus on polar cap patches (PCPs) that constitute a special class of ionospheric irregularities observed at very high latitudes in the F region. To this purpose we use the so-called PCP flag, a Swarm Level 2 product, that allows for identifying PCPs. We relate the presence of PCPs to the values of the first- and second-order scaling exponents and intermittency estimated from Swarm A electron density fluctuations and to the values of the Rate Of change of electron Density Index (RODI) for two different levels of geomagnetic activity, over a time span of approximately 3.5 years starting on 16 July 2014. Our findings show that values of RODI, first- and second-order scaling exponents and intermittency corresponding to measurements taken inside PCPs differ from those corresponding to measurements taken outside PCPs. Additionally, the values of the first- and second-order scaling exponents and of intermittency indicate that PCPs are in a turbulent state. Investigation of the coincidence of loss of lock (LoL) events with PCPs displayed that approximately 57.4% of LoLs in the Northern hemisphere and 45.7% in the Southern hemisphere occur in coincidence of PCPs when disturbed geomagnetic activity is considered. During quiet geomagnetic conditions these percentages decrease to 51.4% in the Northern hemisphere and to 20.1% in the Southern hemisphere. Full article
Show Figures

Graphical abstract

11 pages, 1355 KB  
Article
Application of the Lock-In Technique in Magnetoelectric Coupling Measurements of the PZT/Terfenol-D Composite
by Jakub Grotel, Tomasz Pikula and Rafał Mech
Appl. Sci. 2023, 13(17), 9543; https://doi.org/10.3390/app13179543 - 23 Aug 2023
Cited by 6 | Viewed by 2684
Abstract
This paper presents a study of magnetoelectric (ME) properties of the PZT/Terfenol-D composite with a varying number of layers. The composite consists of piezoelectric and magnetostrictive phases that are mechanically coupled. The purpose of this setup is to gain control over the electric [...] Read more.
This paper presents a study of magnetoelectric (ME) properties of the PZT/Terfenol-D composite with a varying number of layers. The composite consists of piezoelectric and magnetostrictive phases that are mechanically coupled. The purpose of this setup is to gain control over the electric polarization of a material via an external magnetic field. Unlike most similar composites, our samples utilize a commercial piezoelectric patch instead of pure PZT. At present, researchers face two main problems regarding magnetoelectric materials: (i) the effect is observed far below room temperature for single-phase materials, and (ii) the ME coupling is too weak to be commercially viable. Our research was carried out via the lock-in technique on two PZT/Terfenol-D samples we synthesized. Relatively strong room-temperature magnetoelectric coupling between piezoelectric and magnetostrictive phases was observed for both samples. Two types of characteristics were investigated: (i) ME voltage versus magnetic AC field frequency, and (ii) ME voltage versus magnetic DC field. We detected multiple, grouped signal peaks ascribed to different resonance modes. Uniquely, the peaks form band-like characteristics which might be an important step in bringing the materials closer to wider commercial use. Full article
(This article belongs to the Special Issue Novel Ceramic Materials: Processes, Properties and Applications)
Show Figures

Figure 1

18 pages, 12620 KB  
Article
Miniaturized Coplanar Waveguide-Fed UWB Antenna for Wireless Applications
by Maryam S. Jameel, Yaqeen S. Mezaal and Dogu Cagdas Atilla
Symmetry 2023, 15(3), 633; https://doi.org/10.3390/sym15030633 - 2 Mar 2023
Cited by 50 | Viewed by 6115
Abstract
This study presents a compact ultra-wideband (UWB) antenna fed by a coplanar waveguide (CPW) with huge bandwidth for the demands of modern wireless communities. To overcome some technical limitations of the employed substrate and UWB antenna design, a slotted patch resonator was used [...] Read more.
This study presents a compact ultra-wideband (UWB) antenna fed by a coplanar waveguide (CPW) with huge bandwidth for the demands of modern wireless communities. To overcome some technical limitations of the employed substrate and UWB antenna design, a slotted patch resonator was used to create and simulate this antenna based on Locked-Key topology. It has been printed on a 1.5 mm-thick FR4 substrate with a dielectric constant of 4.4. A feeder with characteristic impedances of 50 Ω has been employed. A CST electromagnetic simulator has been employed to simulate and analyze the antenna design. It is operated within the UWB spectrum with a bandwidth of 10.354 GHz, spanning 3.581 to 14 GHz. The overall surface area is 27 × 25 mm2. The gain and maximum efficiency within UWB are better than 3 dBi and 82%, respectively. The antenna is fabricated, and the simulated results are correlated with the measured ones. Finally, the equivalent circuit models for the antenna and rectifier circuit are simulated and measured. Full article
(This article belongs to the Special Issue Symmetry/Asymmetry in Wireless Communication and Sensor Networks)
Show Figures

Figure 1

21 pages, 5473 KB  
Article
Failure of Rock Slope with Heterogeneous Locked Patches: Insights from Numerical Modelling
by Bin Fu, Yingchun Li, Chun’an Tang and Zhibin Lin
Appl. Sci. 2021, 11(18), 8585; https://doi.org/10.3390/app11188585 - 15 Sep 2021
Cited by 2 | Viewed by 2535
Abstract
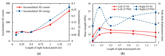
Rock slope stability is commonly dominated by locked patches along a potential slip surface. How naturally heterogeneous locked patches of different properties affect the rock slope stability remains enigmatic. Here, we simulate a rock slope with two locked patches subjected to shear loading [...] Read more.
Rock slope stability is commonly dominated by locked patches along a potential slip surface. How naturally heterogeneous locked patches of different properties affect the rock slope stability remains enigmatic. Here, we simulate a rock slope with two locked patches subjected to shear loading through a self-developed software, rock failure process analysis (RFPA). In the finite element method (FEM)-based code, the inherent heterogeneity of rock is quantified by the classic Weibull distribution, and the constitutive relationship of the meso-scale element is formulated by the statistical damage theory. The effects of mechanical and geometrical properties of the locked patches on the stability of the simulated rock slope are systematically studied. We find that the rock homogeneity modulates the failure mode of the rock slope. As the homogeneity degree is elevated, the failure of the locked patch transits from the locked patch itself to both the interfaces between the locked patched and the slide body and the bedrock, and then to the bedrock. The analysis of variance shows that length and strength of locked patch affect most shear strength and the peak shear displacement of the rock slope. Most of the rock slopes exhibit similar failure modes where the macroscopic cracks mainly concentrate on the interfaces between the locked patch and the bedrock and the slide body, respectively, and the acoustic events become intensive after one of the locked patches is damaged. The locked patches are failed sequentially, and the sequence is apparently affected by their relative positions. The numerically reproduced failure mode of the rock slope with locked patches of different geometrical and mechanical properties are consistent with the laboratory observations. We also propose a simple spring-slider model to elucidate the failure process of the rock slope with locked patches. Full article
Show Figures

Figure 1

21 pages, 2849 KB  
Article
An Improved Single-Epoch Attitude Determination Method for Low-Cost Single-Frequency GNSS Receivers
by Xinzhe Wang, Yibin Yao, Chaoqian Xu, Yinzhi Zhao and Huan Zhang
Remote Sens. 2021, 13(14), 2746; https://doi.org/10.3390/rs13142746 - 13 Jul 2021
Cited by 11 | Viewed by 3441
Abstract
GNSS attitude determination has been widely used in various navigation and positioning applications, due to its advantages of low cost and high efficiency. The navigation positioning and attitude determination modules in the consumer market mostly use low-cost receivers and face many problems such [...] Read more.
GNSS attitude determination has been widely used in various navigation and positioning applications, due to its advantages of low cost and high efficiency. The navigation positioning and attitude determination modules in the consumer market mostly use low-cost receivers and face many problems such as large multipath effects, frequent cycle slips and even loss of locks. Ambiguity fixing is the key to GNSS attitude determination and will face more challenges in the complex urban environment. Based on the CLAMBDA algorithm, this paper proposes a CLAMBDA-search algorithm based on the multi-baseline GNSS model. This algorithm improves the existing CLAMBDA method through a fixed geometry constraint among baselines in the vehicle coordinate system. A fixed single-baseline solution reduces two degrees of freedom of vehicle rigid body, and a global minimization search for the ambiguity objective function in the other degree of freedom is conducted to calculate the baseline vector and its Euler angles. In addition, in order to make up for the shortcomings of short baseline ambiguity in complex environments, this paper proposes different validation strategies. Using three low-cost receivers (ublox M8T) and patch antennas, static and dynamic on-board experiments with different baseline length set-ups were carried out in different environments. Both the experiments prove that the method proposed in this paper has greatly improved the ambiguity fixing performance and also the Euler angle calculation accuracy, with an acceptable calculation burden. It is a practical vehicle-mounted attitude determination algorithm. Full article
Show Figures

Graphical abstract

11 pages, 7360 KB  
Article
The Altotiberina Low-Angle Normal Fault (Italy) Can Fail in Moderate-Magnitude Earthquakes as a Result of Stress Transfer from Stable Creeping Fault Area
by Luigi Vadacca
Geosciences 2020, 10(4), 144; https://doi.org/10.3390/geosciences10040144 - 16 Apr 2020
Cited by 4 | Viewed by 3584
Abstract
Geological and geophysical evidence suggests that the Altotiberina low-angle (dip angle of 15–20 ° ) normal fault is active in the Umbria–Marche sector of the Northern Apennine thrust belt (Italy). The fault plane is 70 km long and 40 km wide, larger and [...] Read more.
Geological and geophysical evidence suggests that the Altotiberina low-angle (dip angle of 15–20 ° ) normal fault is active in the Umbria–Marche sector of the Northern Apennine thrust belt (Italy). The fault plane is 70 km long and 40 km wide, larger and hence potentially more destructive than the faults that generated the last major earthquakes in Italy. However, the seismic potential associated with the Altotiberina fault is strongly debated. In fact, the mechanical behavior of this fault is complex, characterized by locked fault patches with a potentially seismic behavior surrounded by aseismic creeping areas. No historical moderate (5 ≤ Mw ≤ 5.9) nor strong (6 ≤ Mw ≤ 6.9)-magnitude earthquakes are unambiguously associated with the Altotiberina fault; however, microseismicity is scattered below 5 km within the fault zone. Here we provide mechanical evidence for the potential activation of the Altotiberina fault in moderate-magnitude earthquakes due to stress transfer from creeping fault areas to locked fault patches. The tectonic extension in the Umbria–Marche crustal sector of the Northern Apennines is simulated by a geomechanical numerical model that includes slip events along the Altotiberina and its main seismic antithetic fault, the Gubbio fault. The seismic cycles on the fault planes are simulated by assuming rate-and-state friction. The spatial variation of the frictional parameters is obtained by combining the interseismic coupling degree of the Altotiberina fault with friction laboratory measurements on samples from the Zuccale low- angle normal fault located in the Elba island (Italy), considered an older exhumed analogue of Altotiberina fault. This work contributes a better estimate of the seismic potential associated with the Altotiberina fault and, more generally, to low-angle normal faults with mixed-mode slip behavior. Full article
(This article belongs to the Special Issue 2020: A 10 Years Journey-Advances in Geosciences)
Show Figures

Figure 1

26 pages, 4180 KB  
Article
Heterodimer Binding Scaffolds Recognition via the Analysis of Kinetically Hot Residues
by Ognjen Perišić
Pharmaceuticals 2018, 11(1), 29; https://doi.org/10.3390/ph11010029 - 16 Mar 2018
Cited by 4 | Viewed by 5930
Abstract
Physical interactions between proteins are often difficult to decipher. The aim of this paper is to present an algorithm that is designed to recognize binding patches and supporting structural scaffolds of interacting heterodimer proteins using the Gaussian Network Model (GNM). The recognition is [...] Read more.
Physical interactions between proteins are often difficult to decipher. The aim of this paper is to present an algorithm that is designed to recognize binding patches and supporting structural scaffolds of interacting heterodimer proteins using the Gaussian Network Model (GNM). The recognition is based on the (self) adjustable identification of kinetically hot residues and their connection to possible binding scaffolds. The kinetically hot residues are residues with the lowest entropy, i.e., the highest contribution to the weighted sum of the fastest modes per chain extracted via GNM. The algorithm adjusts the number of fast modes in the GNM’s weighted sum calculation using the ratio of predicted and expected numbers of target residues (contact and the neighboring first-layer residues). This approach produces very good results when applied to dimers with high protein sequence length ratios. The protocol’s ability to recognize near native decoys was compared to the ability of the residue-level statistical potential of Lu and Skolnick using the Sternberg and Vakser decoy dimers sets. The statistical potential produced better overall results, but in a number of cases its predicting ability was comparable, or even inferior, to the prediction ability of the adjustable GNM approach. The results presented in this paper suggest that in heterodimers at least one protein has interacting scaffold determined by the immovable, kinetically hot residues. In many cases, interacting proteins (especially if being of noticeably different sizes) either behave as a rigid lock and key or, presumably, exhibit the opposite dynamic behavior. While the binding surface of one protein is rigid and stable, its partner’s interacting scaffold is more flexible and adaptable. Full article
(This article belongs to the Special Issue Chemoinformatics and Drug Design)
Show Figures

Graphical abstract

12 pages, 3263 KB  
Article
Wrist Pulse Rate Monitor Using Self-Injection-Locked Radar Technology
by Fu-Kang Wang, Mu-Cyun Tang, Sheng-Chao Su and Tzyy-Sheng Horng
Biosensors 2016, 6(4), 54; https://doi.org/10.3390/bios6040054 - 26 Oct 2016
Cited by 27 | Viewed by 11398
Abstract
To achieve sensitivity, comfort, and durability in vital sign monitoring, this study explores the use of radar technologies in wearable devices. The study first detected the respiratory rates and heart rates of a subject at a one-meter distance using a self-injection-locked (SIL) radar [...] Read more.
To achieve sensitivity, comfort, and durability in vital sign monitoring, this study explores the use of radar technologies in wearable devices. The study first detected the respiratory rates and heart rates of a subject at a one-meter distance using a self-injection-locked (SIL) radar and a conventional continuous-wave (CW) radar to compare the sensitivity versus power consumption between the two radars. Then, a pulse rate monitor was constructed based on a bistatic SIL radar architecture. This monitor uses an active antenna that is composed of a SIL oscillator (SILO) and a patch antenna. When attached to a band worn on the subject’s wrist, the active antenna can monitor the pulse on the subject’s wrist by modulating the SILO with the associated Doppler signal. Subsequently, the SILO’s output signal is received and demodulated by a remote frequency discriminator to obtain the pulse rate information. Full article
(This article belongs to the Special Issue Latest Wearable Biosensors)
Show Figures

Graphical abstract

Back to TopTop