Sign in to use this feature.

Years

Between: -

Subjects

remove_circle_outline
remove_circle_outline
remove_circle_outline
remove_circle_outline
remove_circle_outline
remove_circle_outline
remove_circle_outline
remove_circle_outline
remove_circle_outline

Journals

remove_circle_outline
remove_circle_outline
remove_circle_outline
remove_circle_outline
remove_circle_outline
remove_circle_outline
remove_circle_outline
remove_circle_outline
remove_circle_outline
remove_circle_outline
remove_circle_outline
remove_circle_outline
remove_circle_outline
remove_circle_outline
remove_circle_outline
remove_circle_outline
remove_circle_outline
remove_circle_outline
remove_circle_outline
remove_circle_outline
remove_circle_outline
remove_circle_outline
remove_circle_outline
remove_circle_outline
remove_circle_outline
remove_circle_outline
remove_circle_outline
remove_circle_outline
remove_circle_outline
remove_circle_outline
remove_circle_outline
remove_circle_outline
remove_circle_outline

Article Types

Countries / Regions

remove_circle_outline
remove_circle_outline
remove_circle_outline
remove_circle_outline
remove_circle_outline
remove_circle_outline
remove_circle_outline
remove_circle_outline
remove_circle_outline
remove_circle_outline

Search Results (9,039)

Search Parameters:
Keywords = light and temperature

Order results
Result details
Results per page
Select all
Export citation of selected articles as:
11 pages, 1102 KB  
Article
Light Intensity Modulates Locomotor Behavior and Predation in Different Color Morphs of the Harlequin Ladybird, Harmonia axyridis
by Xing-Xing Wang, Ya-Nan Liu, Chun-Yan Huang, Rui-Yan Li, Zhi-Wei Jiang, Chen-Yang Liu, Tong-Xian Liu and Yi Zhang
Insects 2025, 16(12), 1280; https://doi.org/10.3390/insects16121280 - 17 Dec 2025
Abstract
Light is a fundamental ecological cue for insects, influencing physiological rhythms and behavior. We investigated how varying light intensities affect locomotion and foraging in H. axyridis color morphs, and examined the role of visual opsins. Three adult female morphs were assayed under white [...] Read more.
Light is a fundamental ecological cue for insects, influencing physiological rhythms and behavior. We investigated how varying light intensities affect locomotion and foraging in H. axyridis color morphs, and examined the role of visual opsins. Three adult female morphs were assayed under white light at 1000, 5000, and 10,000 lx. Higher light intensity significantly elevated body temperature and locomotor activity across morphs, with the inherently dark f. conspicua morph exhibiting the greatest increases. Predation rates on pea aphids trended upward with intensity but differed significantly by morph: f. conspicua beetles consistently consumed more prey than f. succinea. RNAi knockdown of the UV-sensitive opsin HaUVSop-2 significantly reduced the crawling distance of satiated beetles under 5000 lux white light. Correspondingly, supplementation of white light with blue light (short wave) enhanced movement, whereas red supplementation increased aphid consumption. These results suggest that Short-wavelength light has the potential to stimulate the dispersal of ladybirds, whereas long-wavelength light may enhance predation on prey by increasing microenvironment temperature or improving prey recognition. We conclude that light intensity and spectrum jointly modulate H. axyridis behavior in a morph-dependent manner, mediated in part by visual opsins. Melanic morphs leverage thermal melanism to gain higher activity under bright light, implying an evolved trade-off between dispersal and stress tolerance. Our findings have practical implications: tailored lighting (e.g., blue-enhanced illumination to stimulate predation and dispersal of H. axyridis) could improve biological control efficacy in agroecosystems. Full article
(This article belongs to the Section Insect Behavior and Pathology)
13 pages, 5789 KB  
Article
A Long-Period Grating Based on Double-Clad Fiber for Multi-Parameter Sensing
by Wenchao Li, Hongye Wang, Xinyan Ze, Shuqin Wang, Xiangwei Hao, Yan Bai, Shuanglong Cui, Jian Xing and Xuelan He
Photonics 2025, 12(12), 1235; https://doi.org/10.3390/photonics12121235 - 17 Dec 2025
Abstract
This paper proposes a long-period grating (LPG) based on double-clad fibers (DCFs) for multi-parameter sensing. The sensor consists of cascaded-input single-mode fibers (SMF), DCF, and output SMF. Multi-parameter detection is realized by utilizing the different sensing characteristics of the resonance peak under different [...] Read more.
This paper proposes a long-period grating (LPG) based on double-clad fibers (DCFs) for multi-parameter sensing. The sensor consists of cascaded-input single-mode fibers (SMF), DCF, and output SMF. Multi-parameter detection is realized by utilizing the different sensing characteristics of the resonance peak under different physical parameters. The experiment results show that within the temperature range of 30–100 °C, the maximum sensitivity is 66.37 pm/°C. For the refractive index (RI) measurement, the tested range is 1.3309–1.3888 and the maximum sensitivity is −45.84 nm/RIU. Regarding curvature detection, the tested range is 0.6928–1.6971 m−1 and the maximum sensitivity is −2.022 nm/m−1. In addition, the sensor has a symmetrical structure, so its measurement is not restricted by the incident direction of light, thus having flexibility in practical use. This research not only contributes to the advancement of optical fiber sensor technology but also has significant implications for practical applications in industry, the environment, and healthcare. Full article
(This article belongs to the Special Issue Advances in Optical Fiber Sensing Technology)
17 pages, 1283 KB  
Article
Seed Germination Ecology and Herbicide Sensitivity of Aeschynomene indica L.: Implications for Integrated Management in Paddy Fields
by Ke Chai, Rui Cheng, Yueyue Shi, Mujeeba Fida, Weitang Liu, Zhiwen Wu and Yaling Bi
Agronomy 2025, 15(12), 2908; https://doi.org/10.3390/agronomy15122908 - 17 Dec 2025
Abstract
Aeschynomene indica L. has become a problematic weed in the upland direct-seeding rice fields of the lower Yangtze River region, China, leading to substantial yield reductions. A comprehensive understanding of its seed germination ecology and response to herbicides is crucial for developing effective [...] Read more.
Aeschynomene indica L. has become a problematic weed in the upland direct-seeding rice fields of the lower Yangtze River region, China, leading to substantial yield reductions. A comprehensive understanding of its seed germination ecology and response to herbicides is crucial for developing effective control strategies. This study examined the effects of major environmental factors including temperature, light, pH, salt stress, osmotic potential, and burial depth on seed germination of A. indica and assessed the efficacy of 20 commonly used herbicides in rice under controlled conditions. Results revealed that germination was highly sensitive to temperature, with optimum constant and alternating temperatures of 35 °C and 40/30 °C (day/night), respectively, both achieving germination rates above 90%. The seeds were non-photoblastic, maintaining a high germination rate of 83.33% under complete darkness. Germination remained consistently high across a broad pH range from 4 to 9, with rates ranging from 83.33% to 96.67%. Salt and osmotic stresses markedly suppressed germination, with EC50 values of 195.08 mmol·L−1 NaCl and −0.43 MPa, respectively. Seedling emergence decreased significantly with increasing burial depth, with no emergence occurring at depths greater than 7 cm. The EC50 for emergence was 4.21 cm. Among the herbicides screened, saflufenacil and mesotrione were the most effective pre-emergence treatments, with GR50 values of 5.38 and 12.02 g ai ha−1, respectively. Florpyrauxifen-benzyl and fluroxypyr-meptyl exhibited the highest post-emergence activity, with GR50 values of 0.20 and 19.69 g ai ha−1, respectively. These results underscore the high ecological adaptability of A. indica to paddy fields conditions and provide a scientific foundation for integrating chemical control with cultural practices such as deep tillage into sustainable weed management systems for paddy fields. Full article
(This article belongs to the Section Weed Science and Weed Management)
Show Figures

Figure 1

19 pages, 8512 KB  
Article
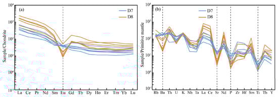
Geochronology and Geochemistry of Granitic Gneisses in the Dabie Orogen, Central China: Constraints on the Petrogenesis of Mid-Neoproterozoic Magmatic Rocks in the Northern Yangtze Block
by Qiao Bai, Yongsheng Wang, Liquan Ma, Xu Zhang and Shuai Zhang
Minerals 2025, 15(12), 1323; https://doi.org/10.3390/min15121323 - 17 Dec 2025
Abstract
Mid-Neoproterozoic magmatism provides important constraints for revealing the break-up history of the Rodinia supercontinent. Large-sized mid-Neoproterozoic magmatic rocks are distributed within the Dabie Orogen located on the northern Yangtze Block. This study performed zircon LA-ICP-MS geochronology, whole-rock major and trace elements, and zircon [...] Read more.
Mid-Neoproterozoic magmatism provides important constraints for revealing the break-up history of the Rodinia supercontinent. Large-sized mid-Neoproterozoic magmatic rocks are distributed within the Dabie Orogen located on the northern Yangtze Block. This study performed zircon LA-ICP-MS geochronology, whole-rock major and trace elements, and zircon Lu-Hf isotope analyses on orthogneisses with a mid-Neoproterozoic protolith age of the northern Dabie Orogen. The analysis results show that the intrusion times of mid-Neoproterozoic granitoids and mafic rocks are all ~750 Ma, with εHf(t) values ranging from −6.60 to −2.57 and a two-stage Hf model age of ~1.8 Ga. They are characterized by light rare earth element (LREE) enrichment and heavy rare earth element (HREE) depletion. In the primitive mantle-normalized trace element diagram, these rocks are enriched in La, Ce, Th, K, Zr, Nd, and Sm and depleted in Nb, Ta, P, Ti, and Sr, with negative Eu anomaly or no significant Eu anomaly. Based on the discrimination diagrams, most of the samples are plotted into the A-type granite field, and which was formed in a post-orogenic extension setting. Comprehensive analysis shows that these mid-Neoproterozoic magmatic rocks were produced by melting of juvenile crust of the Paleoproterozoic and late Mesoproterozoic, having a heterogeneous distribution of δ18O, indicating that these rocks were developed mainly through high-temperature meteoric-hydrothermal alteration during syn-rift magmatic activity. Full article
Show Figures

Figure 1

20 pages, 1122 KB  
Review
Unraveling the Mechanisms Initiating Veraison in Grape Berries
by Yu-Ang Chen, Congbo Huang, Shuang Chen, Zhengzhe Li, Guotian Liu, Feng Xu and Lina Wang
Horticulturae 2025, 11(12), 1529; https://doi.org/10.3390/horticulturae11121529 - 17 Dec 2025
Abstract
Veraison represents a pivotal transition point in grape berry ripening, driven by a cascade of temporally coordinated physiological and molecular events. Studies have shown that the onset of veraison is initially triggered by a decline in cell turgor, regulated by osmotic potential and [...] Read more.
Veraison represents a pivotal transition point in grape berry ripening, driven by a cascade of temporally coordinated physiological and molecular events. Studies have shown that the onset of veraison is initially triggered by a decline in cell turgor, regulated by osmotic potential and water status, which subsequently leads to fruit softening. This softening process is accompanied by extensive cell wall remodeling, establishing a structural basis for enhanced sugar influx. A rapid accumulation of sugars follows, acting not only as metabolic substrates but also as signaling molecules that synergize with abscisic acid (ABA) to activate transcriptional programs, including the induction of anthocyanin biosynthesis that drives skin color change. ABA accumulates at the early stages of veraison and functions as a key hormonal regulator initiating the ripening process. In contrast, auxin (IAA) and gibberellin (GA) levels decline prior to veraison, thereby releasing their inhibitory effects on ripening. Environmental factors such as water availability, light, and temperature significantly influence the timing and intensity of veraison by modulating hormonal signaling pathways. The initiation of grape berry ripening exemplifies a multilayered regulatory network that progresses through turgor signaling, hormonal regulation, metabolic reprogramming, and transcriptional activation, thereby providing a mechanistic framework for understanding non-climacteric fruit ripening. offering a mechanistic framework for understanding non-climacteric fruit ripening. This review provides an integrated perspective on the initiation mechanism of veraison, offering theoretical insights and practical implications for improving grape quality and vineyard management. Full article
(This article belongs to the Section Viticulture)
Show Figures

Figure 1

16 pages, 4633 KB  
Article
Effect of Mn-Doped ZnFe2O4 Ferrites on Structural Changes and Magneto-Optical Behavior in Nematic Liquid Crystals
by Peter Bury, Marek Veveričík, František Černobila, Hima Patel, Ramesh V. Upadhyay, Kinnari Parekh, Veronika Lacková, Michal Rajnak, Ivo Šafařík, Koryun Oganesyan, Milan Timko and Peter Kopčanský
Materials 2025, 18(24), 5660; https://doi.org/10.3390/ma18245660 - 17 Dec 2025
Abstract
The effect of Mn-doped zinc ferrite nanoparticles at a low volume concentration (1 × 10−4) on structural changes in the nematic liquid crystals 6CHBT and 5CB, induced by weak magnetic fields, was investigated using surface acoustic wave (SAW) and light transmission [...] Read more.
The effect of Mn-doped zinc ferrite nanoparticles at a low volume concentration (1 × 10−4) on structural changes in the nematic liquid crystals 6CHBT and 5CB, induced by weak magnetic fields, was investigated using surface acoustic wave (SAW) and light transmission (LT) techniques. Structural changes caused by the applied magnetic field, in both increasing and decreasing modes, as well as after pulsed changes, were examined by measuring the responses of SAW attenuation and LT using a linearly polarized laser beam. The influence of nanoparticle shape (rods, needles, and clusters) and temperature on the structural changes was investigated. A shift in the threshold field and the transition temperature was observed. In addition, the magnetic properties of the individual samples in powder form were examined using M–H curves, M–T curves, and XRD patterns. The results obtained from all measurements are compared, and the effectiveness of each technique, considering the influence of nanoparticle shape and suspension stability, was evaluated. Full article
(This article belongs to the Topic Advanced Composite Materials)
Show Figures

Figure 1

15 pages, 1627 KB  
Article
Experimental Study on Pure Ammonia as a Single Fuel in a Range-Extended Electric Vehicle
by Qiyang Sun, Rulong Li, Yunliang Qi, Hongjian Pan, Wuzhe Zhu, Zhelong Lin, Qingchu Chen and Zhi Wang
Energies 2025, 18(24), 6583; https://doi.org/10.3390/en18246583 - 17 Dec 2025
Abstract
Ammonia can significantly reduce carbon emissions when used in internal combustion engines. However, pure ammonia is considered difficult to ignite and has a slow flame propagation speed, which makes its application challenging. Furthermore, previous research on pure ammonia engines has been based on [...] Read more.
Ammonia can significantly reduce carbon emissions when used in internal combustion engines. However, pure ammonia is considered difficult to ignite and has a slow flame propagation speed, which makes its application challenging. Furthermore, previous research on pure ammonia engines has been based on bench tests, with no vehicle-level tests reported to date. In this study, an engine was tested using pure ammonia as a single fuel in a range-extended hybrid electric vehicle. First, a pure ammonia hybrid power system was implemented in a light-duty vehicle. By motoring the engine instantly to its optimal operating window, the hybrid mode ensures a rapid transition to stable combustion. The results show that, using pure ammonia, the engine can operate stably within a speed range of 1000–3175 rpm. The engine achieves an output power of 45 kW, with an indicated thermal efficiency exceeding 40% under 3175 rpm. Compared to gasoline, pure ammonia has a longer ignition delay but a similar combustion duration. Pure ammonia requires an earlier spark timing and higher intake temperature. The ammonia and NO remain high even after being treated by a three-way catalyst. This research verifies the feasibility of using pure ammonia as a single fuel in hybrid modes, offering broad application prospects in scenarios such as marine power and stationary power generation. Full article
(This article belongs to the Section E: Electric Vehicles)
Show Figures

Figure 1

19 pages, 6199 KB  
Article
Temperature-Dependent Atomic Layer Deposition of Passivating ZnO Nanolayers for Dye-Sensitized Solar Cells
by Elizabeth Adzo Addae, Marek Szindler, Wojciech Sitek and Krzysztof Matus
Nanomaterials 2025, 15(24), 1891; https://doi.org/10.3390/nano15241891 - 17 Dec 2025
Abstract
The influence of ZnO nanolayers as a passivating layer prevents electrons from recombining with the electrolyte or oxidized dye molecules at the interface by acting as a blocking layer for semiconducting materials. At 300 °C, it was observed that FTO-ZnO 500-cycle samples recorded [...] Read more.
The influence of ZnO nanolayers as a passivating layer prevents electrons from recombining with the electrolyte or oxidized dye molecules at the interface by acting as a blocking layer for semiconducting materials. At 300 °C, it was observed that FTO-ZnO 500-cycle samples recorded the lowest Rq and Ra values of 1210 nm and 0.877 nm, respectively, resulting in homogeneous, crystalline, and smooth surface thin films. SEM images of FTO-ZnO 500 cycles-300 °C (150.00 KX) show a much more crystalline and homogeneous layer, while FTO-ZnO 500 cycles-100 °C (150.00 KX) show an irregular and agglomerated surface. Energy-dispersive spectroscopy also revealed that ALD successfully deposited ZnO on the FTO glass substrates, especially at 300 °C, resulting in uniform layers. In visible light wavelength (400 nm–800 nm), FTO-ZnO 500 cycles-300 °C exhibited the highest stable transmittance value of 0.78 a.u. However, it can be observed that the temperature with the slowest grain growth at 500 cycles of ZnO deposition was 200 °C, with a layer thickness of 60 nm. The device efficiency increased progressively with deposition temperature, reaching a maximum power conversion efficiency of 4.63% for ZnO films deposited at 300 °C with 500 ALD cycles. The observed enhancement is attributed to improved crystallinity, grain growth, and film uniformity at elevated deposition temperatures, which collectively enhance charge transport and reduce recombination losses. These results demonstrate that optimizing the ALD temperature is a key factor in achieving high-quality ZnO films and improved DSSC performance. Full article
Show Figures

Figure 1

30 pages, 10487 KB  
Article
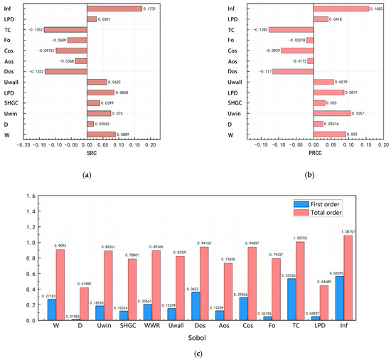
Comparative Sensitivity Analysis of Cooling Energy Factors in West- and South-Facing Offices in Chinese Cold Regions
by Hua Zhang, Xueyi Wang, Kunming Li and Boxin Sun
Buildings 2025, 15(24), 4545; https://doi.org/10.3390/buildings15244545 - 16 Dec 2025
Abstract
This study selects typical existing office buildings in Zhengzhou, a region with a cold climate, as the research object and conducts a comparative analysis of the influencing factors of cooling energy consumption in west-facing and south-facing office spaces. A multi-stage sensitivity analysis methodology [...] Read more.
This study selects typical existing office buildings in Zhengzhou, a region with a cold climate, as the research object and conducts a comparative analysis of the influencing factors of cooling energy consumption in west-facing and south-facing office spaces. A multi-stage sensitivity analysis methodology integrating global and local sensitivity methods is systematically applied to evaluate 13 key parameters across four categories: building morphology, envelope structure, shading measures, and active design strategies. Five parameters are consistently ranked among the top seven most sensitive parameters for both west- and south-facing orientations: the infiltration rate, the window-to-wall ratio, the cooling setpoint temperature, the number of shading boards, and building width. Two parameters exhibit orientation-specific differences, namely lighting power density and the external wall heat transfer coefficient in west-facing spaces, whereas shading board width and the external window heat transfer coefficient play a greater role in south-facing spaces. Local sensitivity analysis further reveals that within the parameter variation range, the five parameters with higher energy-saving rates for both orientations are air tightness, the window-to-wall ratio, the cooling setpoint temperature, the number of horizontal shading boards, and horizontal shading board width. By increasing the cooling setpoint temperature, south-facing spaces can achieve an energy-saving rate of 25.32%, which is significantly higher than the 21.77% achieved by west-facing spaces. Horizontal shading board width exhibits the most pronounced orientation difference, with south-facing spaces achieving an energy-saving rate of 16.69%, while west-facing spaces only reach 2.97%. The research findings offer quantitative scientific evidence for formulating targeted energy-saving retrofit strategies for existing office buildings in cold climate regions, thereby contributing to the meticulous development of building energy efficiency technologies. Full article
(This article belongs to the Section Building Energy, Physics, Environment, and Systems)
Show Figures

Figure 1

26 pages, 8555 KB  
Article
Investigation on Multi-Load Reaction Characteristics and Field Synergy of a Diesel Engine SCR System Based on an Eley-Rideal and Langmuir-Hinshelwood Dual-Mechanism Coupled Model
by Muxin Nian, Jingyang Liao, Weihuang Zhong, Linfeng Zheng, Shengfeng Luo and Haichuan Zhang
Energies 2025, 18(24), 6571; https://doi.org/10.3390/en18246571 - 16 Dec 2025
Abstract
The selective catalytic reduction (SCR) system is a key component for addressing NOx emissions from internal combustion engines. To resolve the issues of modeling distortion in SCR systems and the difficulty in characterizing the local reaction mechanism, a multi-dimensional SCR reaction model based [...] Read more.
The selective catalytic reduction (SCR) system is a key component for addressing NOx emissions from internal combustion engines. To resolve the issues of modeling distortion in SCR systems and the difficulty in characterizing the local reaction mechanism, a multi-dimensional SCR reaction model based on the coupling of Eley-Rideal (E-R) and Langmuir-Hinshelwood (L-H) dual mechanisms was established and conducted by experiment. The SCR catalytic characteristics and the dual-mechanism reaction process were systematically investigated. Additionally, based on the combined analysis of species concentration distribution coupled with temperature characteristics, a calculation method for the synergy of concentration-temperature fields was developed, and the synergistic characteristics of the concentration-temperature fields were explored. The results showed that high load accelerated the light-off speed, but this effect was counteracted by the negative impact of high flow rate. A strong negative correlation was maintained between temperature and NOx concentration across the full load range, and the axial consistency increased with load increasing. The results provide important theoretical support for the mechanism analysis of diesel engine SCR reactions and the optimization of thermal management. Full article
Show Figures

Figure 1

16 pages, 4651 KB  
Article
Evaluating the Carbon Budget and Seeking Alternatives to Improve Carbon Absorption Capacity at Pinus rigida Plantations in South Korea
by Chang Seok Lee, Jieun Seok, Gyu Tae Kang, Bong Soon Lim and Seung Jin Joo
Forests 2025, 16(12), 1860; https://doi.org/10.3390/f16121860 - 16 Dec 2025
Abstract
This study was carried out to investigate stand structure, growth dynamics, and carbon fluxes in Pinus rigida plantations of varying ages in South Korea. Field measurements across four mountain sites quantified diameter-class distributions, net primary productivity (NPP), soil respiration, and net ecosystem production [...] Read more.
This study was carried out to investigate stand structure, growth dynamics, and carbon fluxes in Pinus rigida plantations of varying ages in South Korea. Field measurements across four mountain sites quantified diameter-class distributions, net primary productivity (NPP), soil respiration, and net ecosystem production (NEP). P. rigida exhibited normally distributed diameter structures in larger classes, whereas Quercus spp. showed reverse J-shaped patterns, indicating active regeneration and ongoing succession toward mixed broadleaved stands. Individual NPP was highest in P. densiflora (4.77 kg yr−1) and P. rigida (4.31 kg yr−1), while Quercus spp. displayed lower growth due to light limitation. Stand-level NPP peaked in 20–40-year-old stands (4.27–4.88 ton C ha−1 yr−1) and declined with age (2.30 ton C ha−1 yr−1). Soil respiration averaged 1.0 ton C ha−1 yr−1 and was strongly temperature dependent (R2 = 0.56; Q10 = 2.70). NEP on Mt. Galmi reached 4.38 ton C ha−1 yr−1, demonstrating substantial carbon sink capacity. These findings indicate that aging P. rigida plantations maintain ecosystem-level carbon uptake through successional compensation. Policy efforts should prioritize adaptive thinning, assisted natural regeneration, and long-term monitoring frameworks to accelerate the transition toward climate-resilient mixed forests and to strengthen national forest carbon neutrality strategies. Future research should integrate long-term carbon flux observations, species interaction modeling, and assessments of climate-driven disturbance regimes to refine management pathways for resilient mixed-forest landscapes. Full article
(This article belongs to the Section Forest Ecology and Management)
Show Figures

Figure 1

17 pages, 8805 KB  
Article
Effect of Electron Beam Irradiation on Friction and Wear Properties of Carbon Fiber-Reinforced PEEK at Different Injection Temperatures
by Yi Chen, Jiahong Li, Da Bian and Yongwu Zhao
Lubricants 2025, 13(12), 546; https://doi.org/10.3390/lubricants13120546 - 16 Dec 2025
Abstract
Polyetheretherketone (PEEK) is a high-performance engineering plastic widely used in aerospace, automotive, and other industries due to its heat resistance and mechanical strength. However, its high friction coefficient and low thermal conductivity limit its use in heavy-load environments. Existing studies have extensively explored [...] Read more.
Polyetheretherketone (PEEK) is a high-performance engineering plastic widely used in aerospace, automotive, and other industries due to its heat resistance and mechanical strength. However, its high friction coefficient and low thermal conductivity limit its use in heavy-load environments. Existing studies have extensively explored the individual effects of thermal processing or irradiation on PEEK. However, the synergistic mechanism between the initial microstructure formed by mold temperature and subsequent irradiation modification remains unclear. This paper investigates the coupled effects of injection molding temperature and electron beam irradiation on the tribology of carbon fiber-reinforced PEEK composites, with the aim of identifying process conditions that improve friction and wear performance under high load by controlling the crystal morphology and cross-linking network. Carbon fiber (CF) particles were mixed with PEEK particles at a 1:2 mass ratio, and specimens were prepared at injection molding temperatures of 150 °C, 175 °C, and 200 °C. Some specimens were irradiated with an electron beam dose of 200 kGy. The friction coefficient, wear rate, surface shape, and crystallinity of the material were obtained using friction and wear tests, white-light topography, SEM, and XRD. The results show that the injection molding temperature of the material influences the friction performance. Optimal performance is obtained at 175 °C with a friction coefficient of 0.12 and wear rate of 9.722 × 10−6 mm3/(N·m). After irradiation modification, the friction coefficient decreases to 0.10. This improvement is due to the moderate melt fluidity, adequate fiber infiltration, and dense crystallization at this temperature. In addition, cross-linking of chains occurs, and surface transfer films are created at this temperature. However, irradiation leads to a slight increase in wear rate to 1.013 × 10−5 mm3/(N·m), suggesting that chain segment fracture and embrittlement effects are enhanced at this dose. At 150 °C, there is weak interfacial bonding and microcrack development. At 200 °C, excessive thermal motion reduces crystallinity and adds residual stress, increasing wear sensitivity. Overall, while irradiation reduces the friction coefficient, the wear rate is affected by the initial microstructure at molding. At non-optimal temperatures, embrittlement tends to dominate the wear mode. This study uncovers the synergistic and competitive dynamics between the injection molding process and irradiation modification, offering an operational framework and a mechanistic foundation for applying CF/PEEK under heavy-load conditions. The present approach can be extended in future work to other reinforcement systems or variable-dose irradiation schemes to further optimize overall tribological performance. Full article
Show Figures

Figure 1

14 pages, 1672 KB  
Article
Tuning of Thermally Activated Delayed Fluorescence Properties in the N,N-Diphenylaminophenyl–Phenylene–Quinoxaline D–π–A System
by Masaki Nagaoka, Hiroaki Chihara, Shintaro Kodama, Takeshi Maeda, Shin-ichiro Kato and Shigeyuki Yagi
Compounds 2025, 5(4), 59; https://doi.org/10.3390/compounds5040059 - 16 Dec 2025
Abstract
Thermally activated delayed fluorescence (TADF) often achieves high device efficiencies in organic light-emitting diodes. Here we develop TADF dyes, 1-H and 1-Me, based on an N,N-diphenylaminophenyl–phenylene–quinoxaline donor–π–acceptor system, which contains an unsubstituted 1,4-phenylene and a 2,5-dimethyl-1,4-phenylene π-spacer, respectively. In [...] Read more.
Thermally activated delayed fluorescence (TADF) often achieves high device efficiencies in organic light-emitting diodes. Here we develop TADF dyes, 1-H and 1-Me, based on an N,N-diphenylaminophenyl–phenylene–quinoxaline donor–π–acceptor system, which contains an unsubstituted 1,4-phenylene and a 2,5-dimethyl-1,4-phenylene π-spacer, respectively. In UV–vis absorption spectra in toluene at room temperature, 1-H showed a relatively intense shoulder band at 400 nm, whereas 1-Me had a weak, blue-shifted shoulder at 386 nm, indicating 1-Me adopts a more twisted π-conjugation system. On the other hand, the photoluminescence (PL) wavelength of 1-MePL; 558 nm) under the same conditions was slightly red-shifted in comparison with that of 1-HPL; 552 nm), due to larger structural relaxation of 1-Me. From PL lifetime measurements, both the dyes showed TADF in 10 wt%-doped poly(methyl methacrylate) film, and their PL quantum yields were moderate (ΦPL; ca. 0.5 at 300 K). As for the photokinetics, 1-Me exhibited larger rate constants for intersystem crossing and reverse intersystem crossing than 1-H due to the small excited-state singlet–triplet energy gap (ΔEST) of 1-Me. Furthermore, theoretical calculations indicated the triplet state of 1-Me is destabilized by localization of the spin density, resulting in the reduced ΔEST to facilitate TADF. Full article
(This article belongs to the Special Issue Feature Papers in Compounds (2025))
Show Figures

Figure 1

16 pages, 753 KB  
Review
Hormesis as a Particular Type of Plant Stress Response
by Agnieszka Siemieniuk, Małgorzata Rudnicka, Gabriela Jemioła and Eugeniusz Małkowski
Plants 2025, 14(24), 3815; https://doi.org/10.3390/plants14243815 - 15 Dec 2025
Abstract
Plants are continuously exposed to various abiotic and biotic stress factors, which influence their growth, productivity, and ecological fitness. This paper clarifies the concept of hormesis as a distinct low-dose stress response to toxic substances and presents its relationships with other plant stress [...] Read more.
Plants are continuously exposed to various abiotic and biotic stress factors, which influence their growth, productivity, and ecological fitness. This paper clarifies the concept of hormesis as a distinct low-dose stress response to toxic substances and presents its relationships with other plant stress phenomena. Based on evidence from the published literature, hormesis can be considered a particular type of acclimation because it involves temporary, non-heritable physiological adjustments to mild toxic stress. It is induced by low doses of toxic substances (e.g., cadmium (Cd), lead (Pb), and chromium (Cr)) and characterised by stimulated growth resulting from the moderate activation of defence mechanisms, including antioxidant activity, reactive oxygen species regulation and/or enhanced photosynthetic efficiency, as well as increased auxin content. We propose that the fundamental parameter for identifying hormetic responses should be plant growth, expressed as shoot biomass or elongation, as analyses of single physiological traits alone are insufficient. Furthermore, growth stimulation caused by factors with physiological functions (physiological factors) such as light, temperature or mineral nutrients should be regarded as forms of acclimation rather than hormesis. These assumptions provide a clearer framework for future studies on plant stress physiology. Full article
(This article belongs to the Section Plant Response to Abiotic Stress and Climate Change)
Show Figures

Figure 1

8 pages, 1476 KB  
Article
Reducing the Degradation of CsFAMA Perovskite Solar Cells
by Aleksandr Degterev, Aleksandr Tarasov, Mariya Degtereva, Marina Pavlova, Nikita Khorshev, Yevgeniy Levin, Ivan Mikhailov, Dmitriy Testov, Ivan Lamkin and Sergey Tarasov
Colloids Interfaces 2025, 9(6), 88; https://doi.org/10.3390/colloids9060088 - 15 Dec 2025
Abstract
Triple-cation perovskite solar cells, such as Cs0.05(FA0.83MA0.17)0.95Pb(I0.83Br0.17)3 (hereinafter referred to as CsFAMA) have high efficiency (>26%), but their stability is limited by phase segregation and defects at grain boundaries. In [...] Read more.
Triple-cation perovskite solar cells, such as Cs0.05(FA0.83MA0.17)0.95Pb(I0.83Br0.17)3 (hereinafter referred to as CsFAMA) have high efficiency (>26%), but their stability is limited by phase segregation and defects at grain boundaries. In this work, the effect of formic acid (HCOOH) on suppressing the degradation of perovskite films is investigated. It is shown that the addition of HCOOH to the precursor solution reduces the size of colloidal particles by 90%, which contributes to the formation of highly homogeneous films with a photoluminescence intensity deviation of ≤3%. Structural analysis and dynamic light scattering measurements confirmed that HCOOH suppresses iodide oxidation and cation deprotonation, reducing the defect density. Aging tests (ISOS-D) demonstrated an increase in the T80 lifetime (time to 80% efficiency decline) from 158 to 320 days for the modified cells under ambient conditions at room temperature and 40% relative humidity. The obtained results indicate a key role of HCOOH in stabilizing CsFAMA perovskite by controlling colloidal dynamics and defect passivation, which opens up prospects for the creation of commercially viable PSCs. Full article
(This article belongs to the Topic New Research on Thin Films and Nanostructures)
Show Figures

Figure 1

Back to TopTop