Sign in to use this feature.

Years

Between: -

Subjects

remove_circle_outline
remove_circle_outline
remove_circle_outline
remove_circle_outline
remove_circle_outline
remove_circle_outline
remove_circle_outline
remove_circle_outline
remove_circle_outline

Journals

remove_circle_outline
remove_circle_outline
remove_circle_outline
remove_circle_outline
remove_circle_outline
remove_circle_outline
remove_circle_outline
remove_circle_outline
remove_circle_outline
remove_circle_outline
remove_circle_outline

Article Types

Countries / Regions

remove_circle_outline
remove_circle_outline
remove_circle_outline
remove_circle_outline

Search Results (703)

Search Parameters:
Keywords = isothermal crystallization

Order results
Result details
Results per page
Select all
Export citation of selected articles as:
20 pages, 3294 KB  
Article
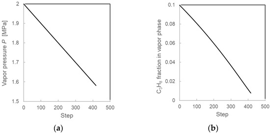
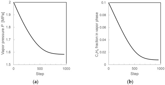
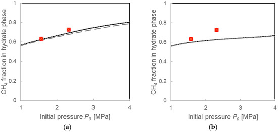
Modeling of Methane + Propane Mixed-Gas Hydrate Formation Processes in a Batch-Type Reactor Under Isothermal Condition
by Takahiro Teraoka, Ren Sugibuchi, Motoi Oshima and Tsutomu Uchida
Processes 2026, 14(2), 261; https://doi.org/10.3390/pr14020261 - 12 Jan 2026
Viewed by 205
Abstract
When mixed-gas hydrates are formed in a closed system, such as in a batch reactor, the gas-phase composition changes during formation due to a preferred enclathration of one of the guest molecules. To understand this complex process, we developed two numerical models that [...] Read more.
When mixed-gas hydrates are formed in a closed system, such as in a batch reactor, the gas-phase composition changes during formation due to a preferred enclathration of one of the guest molecules. To understand this complex process, we developed two numerical models that we compare to experimental data obtained for a methane + propane mixed-gas system. The models are thermodynamic yet include kinetic processes such as the gas-consumption and composition heterogeneity in the crystal. Because we can calculate the time evolution of the gas-phase composition during crystal growth, which is difficult to measure experimentally, we can show that the rate-determining process of methane + propane mixed-gas hydrate formation is the enclathration rate of propane. Full article
(This article belongs to the Section Chemical Processes and Systems)
Show Figures

Figure 1

23 pages, 14353 KB  
Article
Photocatalytic Performance of Zr-Modified TS-1 Zeolites: Structural, Textural and Kinetic Studies
by Hristina Lazarova, Borislav Barbov, Elena Tacheva, Rusi Rusew, Stela Atanasova-Vladimirova and Boris Shivachev
Molecules 2026, 31(2), 209; https://doi.org/10.3390/molecules31020209 - 7 Jan 2026
Viewed by 405
Abstract
TS-1 zeolite and a series of Zr-modified samples (TS-1/xZr) were synthesized and systematically characterized to investigate the influence of zirconium incorporation on structural, textural, and photocatalytic properties. The structural and textural properties of the samples were examined by XRD and nitrogen adsorption isotherms. [...] Read more.
TS-1 zeolite and a series of Zr-modified samples (TS-1/xZr) were synthesized and systematically characterized to investigate the influence of zirconium incorporation on structural, textural, and photocatalytic properties. The structural and textural properties of the samples were examined by XRD and nitrogen adsorption isotherms. Elemental analysis (EDXRF, SEM/EDS) and FTIR confirmed successful incorporation of Zr into the TS-1 framework. Photocatalytic tests under white light irradiation using crystal violet (CV), methylene blue (MB), rhodamine B (RhB) and methyl orange (MO) dyes revealed enhanced degradation efficiency for the Zr-containing samples, particularly TS-1/10Zr. Kinetic modeling using pseudo-first-order (PFO) and pseudo-second-order (PSO) approaches indicated that dye degradation followed mainly PSO kinetics. Reusability studies demonstrated sustained stability and recyclability of the catalysts. The improved photocatalytic performance is attributed to synergistic electronic effects between Ti and Zr species, which enhance charge separation and light absorption. Full article
(This article belongs to the Special Issue 30th Anniversary of Molecules: Recent Advances in Photochemistry)
Show Figures

Figure 1

21 pages, 4770 KB  
Article
Novel Phosphorylethanolamine-Modified ZIF-67 for Crystal Violet Dye Removal
by Mohamad A. S. Ebrahim, Sagheer A. Onaizi and Muhammad S. Vohra
ChemEngineering 2026, 10(1), 6; https://doi.org/10.3390/chemengineering10010006 - 5 Jan 2026
Viewed by 191
Abstract
The elimination of toxic and long-lasting dyes like crystal violet (CV) from wastewater continues to be a major environmental challenge. Considering this, in this study, a novel amine-modified adsorbent was synthesized by functionalizing ZIF-67 with phosphorylethanolamine (PEA@ZIF-67) nanocomposite to enhance dye removal efficiency. [...] Read more.
The elimination of toxic and long-lasting dyes like crystal violet (CV) from wastewater continues to be a major environmental challenge. Considering this, in this study, a novel amine-modified adsorbent was synthesized by functionalizing ZIF-67 with phosphorylethanolamine (PEA@ZIF-67) nanocomposite to enhance dye removal efficiency. Comprehensive characterization of PEA@ZIF-67 nanocomposite using FTIR, XRD, TGA, and BET techniques confirmed the successful incorporation of PEA into ZIF-67 without compromising the structural integrity of the ZIF-67. The BET specific surface area of PEA@ZIF-67 nanocomposite was noted to be 145.3 m2/g. Furthermore, the application of PEA@ZIF-67 nanocomposite for CV adsorption was investigated and optimized using the Response Surface Methodology (RSM) technique, with the adsorbent dosage, initial dye concentration, and temperature as the operational variables. Under optimized conditions, qmax was 4348 mg/g. Adsorption kinetic studies showed the Avrami model to best fit the respective CV adsorption results, suggesting a heterogeneous and time-dependent mechanism. On the other hand, the Redlich–Peterson adsorption isotherm, which signifies a hybrid adsorption behavior, was noted to be effective. The thermodynamic studies confirmed that the CV adsorption onto PEA@ZIF-67 is spontaneous, endothermic, and entropy-driven. The post-adsorption FTIR and XRD analyses indicated that the used PEA@ZIF-67 was stable, thus supporting its reuse capability. Full article
Show Figures

Graphical abstract

15 pages, 2803 KB  
Article
Analysis of the Regulatory Effect of Semi-Solid Isothermal Treatment Time on Crystallization and Plasticity of Amorphous Composites
by Xinhua Huang, Guang Wang, Bin Chen, Chenghao Wei, Jintao Zhao, Longguang Wu, Qi Li and Yuejun Ouyang
Metals 2025, 15(12), 1363; https://doi.org/10.3390/met15121363 - 11 Dec 2025
Viewed by 238
Abstract
Ti48Zr27Cu6Nb5Be14 amorphous composites were prepared by copper mold suction casting to obtain as-cast specimens. Subsequently, the as-cast specimens were held at 900 °C for different durations (5, 10, 20, 30, and 40 min) and [...] Read more.
Ti48Zr27Cu6Nb5Be14 amorphous composites were prepared by copper mold suction casting to obtain as-cast specimens. Subsequently, the as-cast specimens were held at 900 °C for different durations (5, 10, 20, 30, and 40 min) and then water quenched to cool, yielding treated specimens. Room-temperature compression tests were conducted to characterize the mechanical properties of the materials before and after the treatment. X-ray diffraction (XRD), optical microscopy (OM), and scanning electron microscopy (SEM) were used to detect and observe the microstructure of the specimens (before and after treatment) as well as the morphology of the side surface of compressed fractured specimens. Results show that the as-cast specimens are amorphous matrix composites, with dendrites (identified as β-Ti) predominantly distributed in the amorphous matrix. When the treatment duration increased from 5 to 40 min, two key phenomena were observed. The dendrites gradually disappeared and evolved into curved crystals first; subsequently, the curved crystals transformed into elongated crystals. Finally, the elongated crystals evolved into short and thick rod-like crystals, which further transformed into near-spherical crystals or spherical crystals. Furthermore, as the treatment duration prolonged, the average equivalent size of the crystals increased continuously, reaching 23.1 μm. Additionally, the plasticity of the specimens first increased, reached a maximum value of 16.2% when held for 30 min, and then decreased. Full article
(This article belongs to the Special Issue Research Progress of Crystal in Metallic Materials)
Show Figures

Figure 1

19 pages, 7895 KB  
Article
Langmuir and Langmuir–Blodgett Monolayers from 20 nm Sized Crystals of the Metal–Organic Framework MIL-101(Cr)
by Asen Dimov, George R. Ivanov, Leonard Keil, Andreas Terfort, Jinxuan Liu and Velichka Strijkova
Coatings 2025, 15(12), 1449; https://doi.org/10.3390/coatings15121449 - 8 Dec 2025
Viewed by 720
Abstract
Metal–Organic Frameworks (MOFs) have diverse applications due to their tunable porosity, large surface area, and diverse chemical functionalities. Among them, one of the most researched MOFs is MIL-101(Cr), which, in addition, is very stable in water. We have used a commercially available substance [...] Read more.
Metal–Organic Frameworks (MOFs) have diverse applications due to their tunable porosity, large surface area, and diverse chemical functionalities. Among them, one of the most researched MOFs is MIL-101(Cr), which, in addition, is very stable in water. We have used a commercially available substance with approximately 300 nm large crystals for the preparation of a sensing nano-thin layer for the emerging water contaminant PFOS, due to its high selectivity towards this compound. Here, we have synthesized 20 nm sized crystals of MIL-101(Cr), which are among the smallest reported, and compared them to the same material with 300 nm sized crystals. The material was characterized by TEM and XPS. It was possible to prepare insoluble monolayers at the air–water interface (Langmuir films), which were characterized with film compression isotherms, Brewster angle microscopy, and surface potential measurements. The Langmuir–Blodgett (LB) method was used to deposit monolayers on Si wafers and 434 MHz Surface Acoustic Wave resonator simultaneously. The LB layers were very stable over time. The smaller-sized MIL-101 (Cr) crystals exhibit denser, more homogeneous water coverage and packing upon compression, with no observable 10–100 µm aggregates. LB monolayers from the 20 nm particles have approximately six times lower surface roughness. The LB monolayer is far from being smooth, but this will allow excellent access to the MOF pores by the tested analyte in a chemical sensing application. The lack of research on depositing presynthesized MOFs using probably the best method for nanoarchitectonics—the LB method—is addressed. The 20 nm sized MOF crystals are the smallest deposited by this method so far. Full article
Show Figures

Graphical abstract

23 pages, 4646 KB  
Article
Synthesis and Application of Thiourea–Poly(Acrylic Acid)–Formaldehyde Composites for Removal of Crystal Violet Dye
by Adel Elamri, Khmais Zdiri, Kamila Bourkaib, Mahjoub Jabli, Adnane Labed, Sophie Bistac and Omar Anis Harzallah
Materials 2025, 18(23), 5462; https://doi.org/10.3390/ma18235462 - 4 Dec 2025
Viewed by 452
Abstract
Textile dye effluents, particularly cationic dyes, pose a major environmental challenge, demanding efficient and sustainable adsorbent materials to remove harmful synthetic dyes. In this study, a reference thiourea–formaldehyde (TU/FA) composite and a series of thiourea–poly(acrylic acid)–formaldehyde (TU/PAA/FA) composites were synthesized and systematically characterized. [...] Read more.
Textile dye effluents, particularly cationic dyes, pose a major environmental challenge, demanding efficient and sustainable adsorbent materials to remove harmful synthetic dyes. In this study, a reference thiourea–formaldehyde (TU/FA) composite and a series of thiourea–poly(acrylic acid)–formaldehyde (TU/PAA/FA) composites were synthesized and systematically characterized. The composites were prepared by varying the volume of poly(acrylic acid) PAA (from 1 to 7.5 mL) to assess how PAA incorporation influences morphology, crystallinity, surface chemistry, charge, and thermal stability. Analytical techniques including SEM, XRD, FT-IR, particle size distribution, zeta potential, and TGA/DTG revealed that increasing PAA content induced more porous and amorphous microstructures, intensified carbonyl absorption, reduced particle size (optimal at 2.5–5 mL PAA), and shifted the zeta potential from near-neutral to highly negative values (−37 to −41 mV). From TU/PAA/FA composite analysis, it was depicted that the TU/PAA-5/FA material has the better characteristics as a potential cationic dye absorbent. Thus, the adsorption performance of this composite toward crystal violet dye was subsequently investigated and compared to the reference material thiourea–formaldehyde (TU/FA). The TU/PAA-5/FA material exhibited the highest capacity (145 mg/g), nearly twice that of TU/FA (74 mg/g), due to the higher density of carboxylic groups facilitating electrostatic attraction. Adsorption was pH-dependent, maximized at pH 6, and decreased with temperature, confirming an exothermic process. Kinetic data followed a pseudo-second-order model (R2 = 0.99), implying chemisorption as the rate-limiting step, while Langmuir isotherms (R2 > 0.97) indicated monolayer adsorption. Thermodynamic analysis (ΔH° < 0, ΔS° < 0, ΔG° > 0) further supported an exothermic, non-spontaneous mechanism. Overall, the TU/PAA-5/FA composite combines enhanced structural stability with high adsorption efficiency, highlighting its potential as a promising, low-cost material for the removal of cationic dyes from textile effluents. Full article
Show Figures

Figure 1

17 pages, 1724 KB  
Article
Adsorption of Crystal Violet Using Kaolin-Based Geopolymer
by Joshua Nosa Edokpayi
Chemistry 2025, 7(6), 189; https://doi.org/10.3390/chemistry7060189 - 26 Nov 2025
Cited by 1 | Viewed by 593
Abstract
The removal of synthetic dyes from water resources is essential for environmental protection and sustainable water management. This study aimed to develop and evaluate a kaolin-based geopolymer (KBG) for the adsorption of crystal violet (CV) dye from aqueous solutions. Natural kaolin, an abundant [...] Read more.
The removal of synthetic dyes from water resources is essential for environmental protection and sustainable water management. This study aimed to develop and evaluate a kaolin-based geopolymer (KBG) for the adsorption of crystal violet (CV) dye from aqueous solutions. Natural kaolin, an abundant aluminosilicate material in South Africa, was activated using an alkaline solution to form the geopolymer. The synthesized material was characterized using Fourier Transform Infrared Spectroscopy, Scanning Electron Microscopy coupled with Energy Dispersive X-ray Spectroscopy, and Brunauer–Emmett–Teller (BET) surface area analysis. Batch adsorption experiments were conducted to investigate the effects of contact time (5–180 min), adsorbent dosage (0.05–1.0 g), initial dye concentration (10–150 mg/L), temperature (30–50 °C), pH (2–12), and water chemistry on CV removal efficiency. Characterization results confirmed the successful conversion of kaolin to geopolymer, exhibiting a BET surface area of 11.18 m2/g. The optimum adsorption occurred at pH 10.2, where electrostatic attraction between the negatively charged geopolymer surface and the cationic dye molecules was maximized. Kinetic data fitted best to the pseudo-second-order model, while the Langmuir isotherm provided the best description of the equilibrium data. The adsorption mechanism was attributed to electrostatic attraction, hydrogen bonding, and π–π interactions between CV molecules and the geopolymer surface. Thermodynamic analysis confirmed that the adsorption process was spontaneous and endothermic, indicating enhanced dye uptake at elevated temperatures. Full article
(This article belongs to the Section Green and Environmental Chemistry)
Show Figures

Figure 1

13 pages, 4036 KB  
Article
Thermal Analysis and Crystallization of Bioactive Glass “1d” in the SiO2-CaO-MgO-P2O5-CaF2-Na2O Compositional System
by Valentina Rigano, Dilshat U. Tulyaganov, Konstantinos Dimitriadis, Simeon Agathopoulos and Francesco Baino
Ceramics 2025, 8(4), 145; https://doi.org/10.3390/ceramics8040145 - 26 Nov 2025
Viewed by 582
Abstract
The crystallization behavior of the bioactive silicate glass “1d” was analyzed using non-isothermal conditions through differential scanning calorimetry (DSC). The plots carried out at different heating rates showed only one crystallization peak. The activation energy for crystallization was calculated through the equations proposed [...] Read more.
The crystallization behavior of the bioactive silicate glass “1d” was analyzed using non-isothermal conditions through differential scanning calorimetry (DSC). The plots carried out at different heating rates showed only one crystallization peak. The activation energy for crystallization was calculated through the equations proposed in the Kissinger and Matusita–Sakka models. The Johnson–Mehl–Avrami coefficient (n) was estimated by applying Ozawa and Augis–Bennet methods, resulting in a two-dimensional crystal growth. Crystalline phases which developed during high-temperature treatment were analyzed by X-ray diffraction and scanning electron microscopy. The activation energy for viscous flow was estimated to be 513 kJ/mol, which is lower than the activation energy for crystallization (539 kJ/mol). The Malek test highlighted that the crystallization process was more complex than a simple nucleation-growth mechanism. The sinterability parameter and Hruby coefficient showed the high stability of 1d glass against crystallization, which makes this bioactive material highly appealing for producing well-sintered products of biomedical interest, such as bioactive porous scaffolds for bone regeneration. Full article
(This article belongs to the Special Issue Advances in Ceramics, 3rd Edition)
Show Figures

Figure 1

19 pages, 10104 KB  
Article
One-Stage Microwave-Assisted Carbonization and Phosphoric Acid Activation of Peanut Shell and Spruce Cone Biomass for Crystal Violet Adsorption
by Przemysław Pączkowski, Viktoriia Kyshkarova, Sergii Guzii, Inna Melnyk and Barbara Gawdzik
C 2025, 11(4), 86; https://doi.org/10.3390/c11040086 - 20 Nov 2025
Cited by 1 | Viewed by 1011
Abstract
This study focuses on a single-step microwave-assisted carbonization and activation method for biomasses derived from peanut shells and spruce cones. Using phosphoric acid as the activating agent, this process leads to carbon materials with a micro-mesoporous structure, favoring dye adsorption. Elemental and surface [...] Read more.
This study focuses on a single-step microwave-assisted carbonization and activation method for biomasses derived from peanut shells and spruce cones. Using phosphoric acid as the activating agent, this process leads to carbon materials with a micro-mesoporous structure, favoring dye adsorption. Elemental and surface analyses confirmed that the physicochemical properties of the obtained carbons are strongly dependent on the biomass’ source. The carbon materials obtained in this way, differing in porous structure and the presence of functional groups on their surfaces, were used for static adsorption of hazardous dye crystal violet from water. The adsorption behavior of both materials fits well with the Langmuir and Freundlich isotherms, indicating a combination of monolayer and heterogeneous surface adsorption, driven primarily by physical interactions. Of these two materials, carbon derived from spruce cones was characterized by better porosity, higher surface functionality, and higher adsorption capacity, demonstrating its potential as a cost-effective and sustainable material for wastewater treatment applications. Full article
(This article belongs to the Special Issue Carbons for Health and Environmental Protection (2nd Edition))
Show Figures

Graphical abstract

20 pages, 4746 KB  
Article
The Efficiency and Mechanism of FeOCl/Ce-Catalyzed Persulfate for the Degradation of Caffeine Under Visible Light
by Zhao Bai, Mingyue Hu, Minrui Li, Weidong Wu, Chi Zhou and Yuru Wang
Molecules 2025, 30(22), 4381; https://doi.org/10.3390/molecules30224381 - 13 Nov 2025
Viewed by 501
Abstract
Despite extensive work on FeOCl-based photocatalysts, few studies have explored rare-earth (Ce) doping to simultaneously tune bandgap, suppress charge recombination, and enhance visible light-driven persulfate (PS) activation for the degradation of emerging contaminants. This study synthesized FeOCl/Ce composite photocatalysts via a partial pyrolysis [...] Read more.
Despite extensive work on FeOCl-based photocatalysts, few studies have explored rare-earth (Ce) doping to simultaneously tune bandgap, suppress charge recombination, and enhance visible light-driven persulfate (PS) activation for the degradation of emerging contaminants. This study synthesized FeOCl/Ce composite photocatalysts via a partial pyrolysis method and systematically characterized their physicochemical properties. The results show that Ce doping significantly lowers the bandgap energy of the photocatalyst, enhances its visible light absorption ability, and effectively suppresses the recombination of photogenerated electron–hole pairs, thereby markedly improving photocatalytic performance under visible light. Analyses including XRD, EDS, XPS, and FT-IR confirm that Ce is incorporated into the FeOCl matrix and modulates the radial growth behavior of FeOCl without altering its intrinsic crystal structure. Morphological observations reveal that FeOCl/Ce exhibits a uniform nanosheet layered structure, with larger particles formed by the aggregation of smaller nanosheets. The nitrogen adsorption–desorption isotherm of FeOCl/Ce shows characteristics of Type IV with a relatively small BET surface area. The broadened optical absorption edge of FeOCl/Ce and the results of PL spectra and I-T curves further confirm its enhanced visible light absorption capacity and reduced electron–hole recombination compared to pure FeOCl. At an initial caffeine (CAF) concentration of 10 μM, FeOCl/Ce dose of 0.5 g/L, PS concentration of 1 mM, and initial pH of 5.06, the FeOCl/Ce-catalyzed PS system under visible light irradiation can degrade 91.2% of CAF within 30 min. An acidic environment is more favorable for CAF degradation, while the presence of SO42−, Cl, and NO3 inhibits the process performance to varying degrees, possibly due to competitive adsorption on the photocatalyst surface or quenching of reactive species. Cyclic stability tests show that FeOCl/Ce maintains good catalytic performance over multiple runs. Mechanistic analysis indicates that OH and holes are the dominant reactive species for CAF degradation, while PS mainly acts as an electron acceptor to suppress electron–hole recombination. Overall, the FeOCl/Ce photocatalytic system demonstrates high efficiency, good stability, and visible light responsiveness in CAF degradation, with potential applications for removing CAF and other emerging organic pollutants from aquatic environments. Full article
Show Figures

Figure 1

7 pages, 1671 KB  
Proceeding Paper
Prediction of the Magnetocaloric Effect of Ni42Mn46CoSn11 Heusler Alloy with a Phenomenological Model
by Karima Dadda, Lahcene Ghouari, Abdennour Elmohri, Mohamed Yacine Debili and El-Kebir Hlil
Mater. Proc. 2025, 25(1), 4; https://doi.org/10.3390/materproc2025025004 - 12 Nov 2025
Viewed by 459
Abstract
Intermetallic NiMn-based Heusler alloys (HAs) have garnered considerable attention due to their multifunctionality and applications in various fields, including sensors, actuation, refrigeration, and waste heat harvesters. Among the NiMn-based alloys, Ni-Mn-Sn alloys have gained considerable attention since their structural and magnetic transformations were [...] Read more.
Intermetallic NiMn-based Heusler alloys (HAs) have garnered considerable attention due to their multifunctionality and applications in various fields, including sensors, actuation, refrigeration, and waste heat harvesters. Among the NiMn-based alloys, Ni-Mn-Sn alloys have gained considerable attention since their structural and magnetic transformations were discovered. Many studies have been conducted with various compositions and shapes to investigate the physical properties of Ni-Mn-Sn alloys, which offer several advantages, including non-toxicity, low cost, and abundant constituents. The Co-doping effect on the physical properties of Ni-Mn-Sn alloys has been widely reported. This doping can rectify the ternary Ni-Mn-Sn Heusler compound’s brittleness by crystallizing a disordered face-centered cubic (fcc) γ-phase. In this study, a polycrystalline Ni42Mn46CoSn11 Heusler alloy was prepared by high-frequency fusion (HF), using a Lin Therm 600 device, from pure Ni, Mn, Sn, and Co elements with appropriate proportions. X-ray diffraction, scanning electron microscopy, and magnetic magnetometry devices were used to study the structural, microstructural, and magnetic properties. The XRD results revealed the coexistence of a disordered 7 M martensite phase (~88%) and a disordered cubic solid solution γ-phase (~12%). The alloy underwent a second-order ferromagnetic-to-paramagnetic phase transition at a Curie temperature of 350 K. Landau and Hamad’s theoretical models were used to plot the magnetic entropy change. The magnetocaloric properties (the maximum entropy change value, ΔSM, the full width at half maximum of the entropy change curve, δTFWHM, the relative cooling power, RCP, and the heat capacity, ΔCP,H) were calculated using isothermal magnetization curves with the phenomenological model of Hamad. Full article
(This article belongs to the Proceedings of The 5th International Online Conference on Nanomaterials)
Show Figures

Figure 1

25 pages, 5108 KB  
Article
In Situ Polymerization as an Effective Method, Compared to Melt Mixing, for Synthesis of Flexible Poly(lactic acid) Nanocomposites Based on Metal Nanoparticles
by Kyriaki Lazaridou, Rafail O. Ioannidis and Dimitrios N. Bikiaris
J. Compos. Sci. 2025, 9(11), 610; https://doi.org/10.3390/jcs9110610 - 5 Nov 2025
Viewed by 1056
Abstract
A comprehensive investigation was conducted focusing on two series of poly(lactic acid) (PLA)-based nanocomposites filled with small amounts (0.5 and 1.0%) of metal (Ag/Cu) nanoparticles (NPs). Our work aimed to synthesize PLA/Ag nanocomposites via in situ ring-opening polymerization (ROP), and for comparison purposes, [...] Read more.
A comprehensive investigation was conducted focusing on two series of poly(lactic acid) (PLA)-based nanocomposites filled with small amounts (0.5 and 1.0%) of metal (Ag/Cu) nanoparticles (NPs). Our work aimed to synthesize PLA/Ag nanocomposites via in situ ring-opening polymerization (ROP), and for comparison purposes, the same materials were also prepared via solution casting followed by melt mixing. PLA/Cu nanocomposites were also prepared via melt extrusion. Gel permeation chromatography (GPC) and intrinsic viscosity measurements [η] showed that the incorporation of Ag nanoparticles (AgNPs) resulted in a decrease in the molecular weight of the PLA matrix, indicating a direct effect of the AgNPs on its macromolecular structure. Fourier-transform infrared spectroscopy (FTIR) revealed no significant changes in the characteristic peaks of the nanocomposites, except for an in situ sample containing 1.0 wt% of AgNPs, where slight interactions in the C=O region were detected. Differential scanning calorimetry (DSC) analysis confirmed the semi-crystalline nature of the materials. Glass transition temperature was strongly affected by the presence of NPs in the case of the in situ-based samples. Melt crystallized studies suggested potential indirect polymer–NP interactions, while isothermal melt crystallization experiments confirmed the nucleation ability of the NPs. The mechanical performance was assessed via tensile and flexural measurements, revealing that the in situ-based samples exhibited remarkable flexibility. Moreover, during the three-point bending tests, none of the in situ nanocomposite samples broke. In this context, next-generation PLA-based nanocomposites have been proposed for advanced applications, including flexible printed electronics. Full article
(This article belongs to the Special Issue Feature Papers in Journal of Composites Science in 2025)
Show Figures

Graphical abstract

25 pages, 3914 KB  
Article
Geopolymers Based on Fly Ash for Organic Dye Removal from Water
by Dušan V. Trajković, Marina M. Maletić, Marija M. Vukčević, Đorđe N. Veljović, Aleksandra A. Perić Grujić and Dragana Z. Živojinović
Separations 2025, 12(11), 299; https://doi.org/10.3390/separations12110299 - 1 Nov 2025
Cited by 1 | Viewed by 1875
Abstract
The main goal of this study is to address the problem of environmental water pollution caused by organic dyes through waste valorization by synthesizing geopolymer-based adsorbents. In this work, geopolymers were synthesized using fly ash modified with chitosan and polyvinyl alcohol as a [...] Read more.
The main goal of this study is to address the problem of environmental water pollution caused by organic dyes through waste valorization by synthesizing geopolymer-based adsorbents. In this work, geopolymers were synthesized using fly ash modified with chitosan and polyvinyl alcohol as a starting material. The obtained materials were characterized by scanning electron microscopy, Fourier transform infrared spectroscopy, X-ray diffraction, and determination of the point of zero charge. We examined the adsorption potential for organic dye (methylene blue, brilliant green, crystal violet) removal through the influence of contact time, initial pH and concentration of adsorbate solution, and temperature on adsorption. The obtained results were analyzed using theoretical kinetics and isotherm models. Interpretation of the obtained results was performed using the Box–Behnken design and chemometric methods of multivariate analysis. The findings showed that modification with chitosan significantly enhanced the adsorption efficiency of the synthesized materials up to 95.9% for methylene blue adsorption. The parameters identified as having the greatest influence on the adsorption process were contact time, pH-value, initial dye concentration, and the type of dye being adsorbed. Full article
(This article belongs to the Special Issue Applications of Adsorbent Materials in Water and Wastewater Treatment)
Show Figures

Graphical abstract

18 pages, 1523 KB  
Article
The Effect of Zeolite Morphology and Loading on the Local Segmental Dynamics and Crystallisation Behaviour of PDMS–Zeolite Composites
by Tatjana Antonić Jelić, Damir Klepac, Leana Vratović, Dalibor Merunka, Jurica Jurec, Marin Tota, Kata Galić and Srećko Valić
Polymers 2025, 17(21), 2911; https://doi.org/10.3390/polym17212911 - 31 Oct 2025
Viewed by 470
Abstract
The local segmental mobility of polymer chains in polydimethylsiloxane (PDMS) plays a critical role in determining the material’s behaviour. Incorporation of zeolite particles can modify these local dynamics, which is crucial as they affect the overall performance of the resulting composite material with [...] Read more.
The local segmental mobility of polymer chains in polydimethylsiloxane (PDMS) plays a critical role in determining the material’s behaviour. Incorporation of zeolite particles can modify these local dynamics, which is crucial as they affect the overall performance of the resulting composite material with potential for various industrial applications. The aim of this study was to investigate the influence of zeolite addition on the local dynamic behaviour of PDMS chain segments in PDMS–zeolite composites. To investigate the effect of zeolite morphology and loading on the segmental dynamics and phase behaviour of PDMS, Zeolite A (with cubic and spherical morphologies) and Zeolite X were incorporated into the PDMS matrix at 20, 30, and 40 wt%. The electron spin resonance (ESR)-spin probe method was used to study molecular dynamics, while the thermal behaviour was analysed using differential scanning calorimetry (DSC). ESR results revealed that the presence of zeolites increases the isothermal crystallisation rate affecting segmental mobility in the amorphous phase below the crystallisation temperature. This effect was found to depend more strongly on zeolite morphology than on filler content. DSC measurements showed no change in glass transition temperature with the addition of zeolite; however, shifts in cold crystallisation and melting behaviour were observed, indicating changes in crystal structure and its degree of perfection. These findings suggest that zeolites act as heterogeneous nucleation agents, with their structural properties playing a critical role in the crystallisation behaviour of PDMS. Full article
(This article belongs to the Section Polymer Composites and Nanocomposites)
Show Figures

Figure 1

23 pages, 2635 KB  
Article
Investigation on Non-Isothermal Crystallization Kinetics of Polyethylene Terephthalate-Polyethylene Naphthalate Blends
by Qianqian Liang, Kexin Wang, Yong Jiang, Guilin Li, Feng Yang, Ya Cao and Ming Xiang
Polymers 2025, 17(21), 2893; https://doi.org/10.3390/polym17212893 - 29 Oct 2025
Viewed by 689
Abstract
This study aimed to solve two problems of polyethylene terephthalate (PET) films, namely, their slow crystallization rate and insufficient thermal stability, by using polyethylene naphthalate (PEN) as a modifier to prepare PET-PEN blends with varying PEN contents (0%, 0.9%, 1.8%, and 9%). Fourier-transform [...] Read more.
This study aimed to solve two problems of polyethylene terephthalate (PET) films, namely, their slow crystallization rate and insufficient thermal stability, by using polyethylene naphthalate (PEN) as a modifier to prepare PET-PEN blends with varying PEN contents (0%, 0.9%, 1.8%, and 9%). Fourier-transform infrared spectroscopy (FTIR), differential scanning calorimetry (DSC), and other methods were used to systematically investigate the effects of the PEN content and cooling rate (5–40 °C/min) on the non-isothermal crystallization behavior and kinetics of the blends. The results indicate that PET and PEN exhibit excellent compatibility. As the PEN content increases, the glass transition temperature (Tg) of the blend increases, while the melting point (Tm) and relative crystallinity decrease. PEN exerts an effect on the crystallization temperature (Tc)—“heterogeneous nucleation—diffusion control—steric hindrance effect”. The cold crystallization behavior depends on the PEN content and cooling rate. Samples with PEN content did not exhibit cold crystallization at low cooling rates. The observed non-isothermal crystallization kinetics show that PEN transforms the growth dimension of PET crystals from three-dimensional to two-dimensional, significantly reducing the absolute values of the crystallization rate constant (Zc) and crystallization activation energy (ΔE). ΔE tends to stabilize when the PEN content reaches or exceeds 1.8%. In summary, PEN achieves precise control of PET non-isothermal crystallization through the mechanism of “heterogeneous nucleation—diffusion control—steric hindrance effect”. The research results provide theoretical support for the optimization of processing technology for PET-PEN blend films in high-end fields such as food packaging and electronic insulation. Full article
(This article belongs to the Section Polymer Analysis and Characterization)
Show Figures

Figure 1

Back to TopTop