Synthesis and Application of Thiourea–Poly(Acrylic Acid)–Formaldehyde Composites for Removal of Crystal Violet Dye
Abstract
1. Introduction
2. Materials and Methods
2.1. Materials
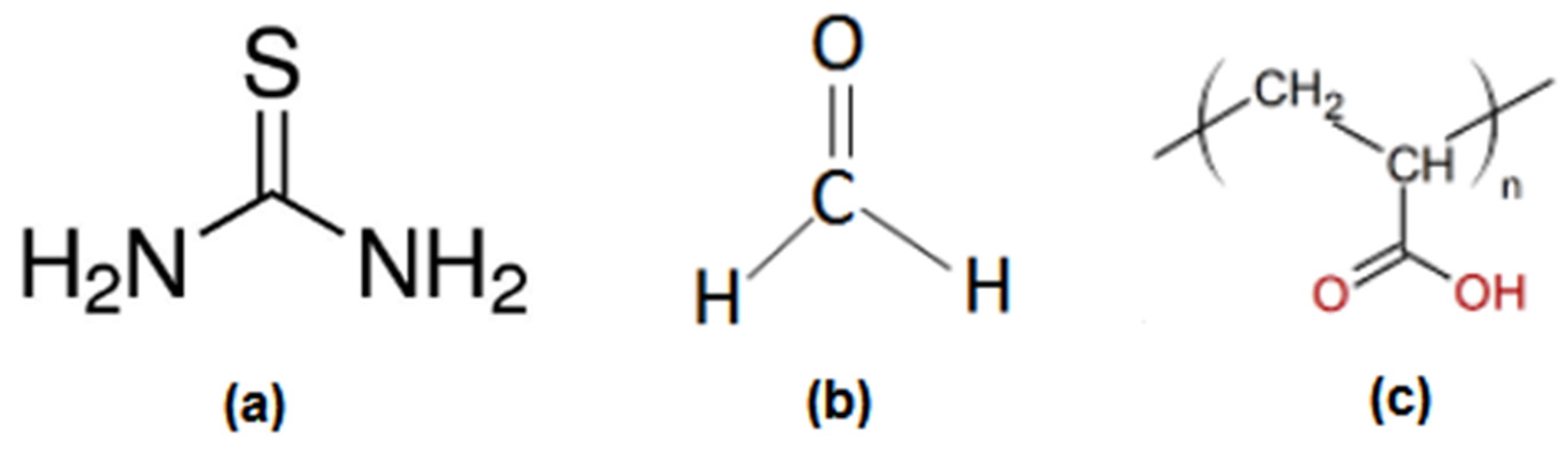
2.2. Synthesis of Composites
2.2.1. Preparation of TU/FA Composite
2.2.2. Preparation of TU/PAA/FA Composites
2.3. Characterization Techniques
2.3.1. Scanning Electron Microscopy
2.3.2. X-Ray Diffraction
2.3.3. Fourier-Transform Infrared Spectroscopy (FT-IR)
2.3.4. Light Scattering (LS)
2.3.5. Zeta Potential and Conductivity
2.3.6. TGA/DTG
2.4. Batch Adsorption Study
3. Results
3.1. Morphology
3.2. Structural Analysis
3.3. Functional Group Analysis
- 3500–3200 cm−1 (O–H/N–H): PAA-containing samples exhibit broadening, shifts, and partial intensity reduction relative to TU/FA, reflecting hydrogen bonding between PAA –COOH/–OH groups and thiourea –NH groups. The pre-mixing of PAA with thiourea before FA addition results in shifting and broadening of O–H/N–H bands (3500–3200 cm−1), confirming hydrogen bond formation between PAA and thiourea.
- This is also confirmed by the gradual emergence and intensification of the 1720–1700 cm−1 (C=O, PAA carboxylic) band as PAA content increases.
- ~1650–1550 cm−1 (N–H scissoring, C=N, possible amides): Observed shifts suggest the formation of new bonds or modifications in the chemical environment, likely associated with partial condensation between TU and FA.
- 3000–2850 cm−1 (C–H, CH2): Variations in this region indicate potential formation of methylene bridges via crosslinking with formaldehyde.
- 1300–1000 cm−1 (C–O/fingerprint, C–N/C–S): Changes in shape and intensity reflect either increased PAA incorporation or modifications of the C–N/C–S bonds in thiourea.
- <900–700 cm−1 (C–S/thiocarbonyl): Alterations may indicate changes in the thiocarbonyl environment.
3.4. Particle Size Distribution
- TU/PAA-1/FA: Number peak at 1.28 µm (18.03%) and volume peak at 98.1 µm (6.2%). D50 values confirm this trend (number = 1.586 µm; volume = 114.2 µm). Large aggregates remain, but are smaller than in TU/FA.
- TU/PAA-2.5/FA: Number peak in the submicron range (0.31 µm—17.16%) and volume peak at 45.6 µm (5.83%). D50 values (number = 0.411 µm; volume = 61.46 µm) indicate efficient fine nucleation and limited growth.
- TU/PAA-5/FA: Number peak at 0.214 µm (24.64%) and volume peak at 40.1 µm (5.45%). D50 values (number = 0.2902 µm; volume = 44.42 µm) demonstrate the optimal effect of intermediate PAA content on particle size reduction and suppression of large aggregates.
- TU/PAA-7.5/FA: Number peak at 0.35 µm (19.05%) and bimodal volume distribution with maxima at 24.1 µm (3.73%) and 240 µm (4.42%). D50 values (number = 0.4524 µm; volume = 71.3 µm) reveal increased polydispersity at high PAA content, where fine nucleation and aggregation coexist.
3.5. Surface Charge and Stability
- TU/PAA-1/FA (low PAA content): The zeta potential shifted to a slightly positive value (1.39 ± 0.69 mV), while conductivity slightly decreased (0.02 ± 0.006 mS/cm). Partial adsorption of carboxylate groups from PAA on particle surfaces induced a weak positive charge, promoting finer dispersion and reducing aggregation through moderate electrostatic interactions.
- TU/PAA-2.5/FA (intermediate PAA): The zeta potential was close to neutrality (−1.18 ± 0.40 mV), whereas conductivity increased to 0.05 ± 0.001 mS/cm. These values indicate a balance between partial charge neutralization and ionization of PAA groups, favoring homogeneous dispersion and suppression of large aggregates [28].
- TU/PAA-5/FA and TU/PAA-7.5/FA (high PAA content): The zeta potential became strongly negative (−37.3 ± 1.66 mV and −41.4 ± 0.3 mV, respectively), accompanied by a substantial increase in conductivity (0.15 ± 0.002 and 0.15 ± 0.001 mS/cm). Enhanced adsorption and ionization of carboxylate groups generated strong electrostatic repulsion, which stabilized the particles and prevented aggregation even at higher viscosities [29].
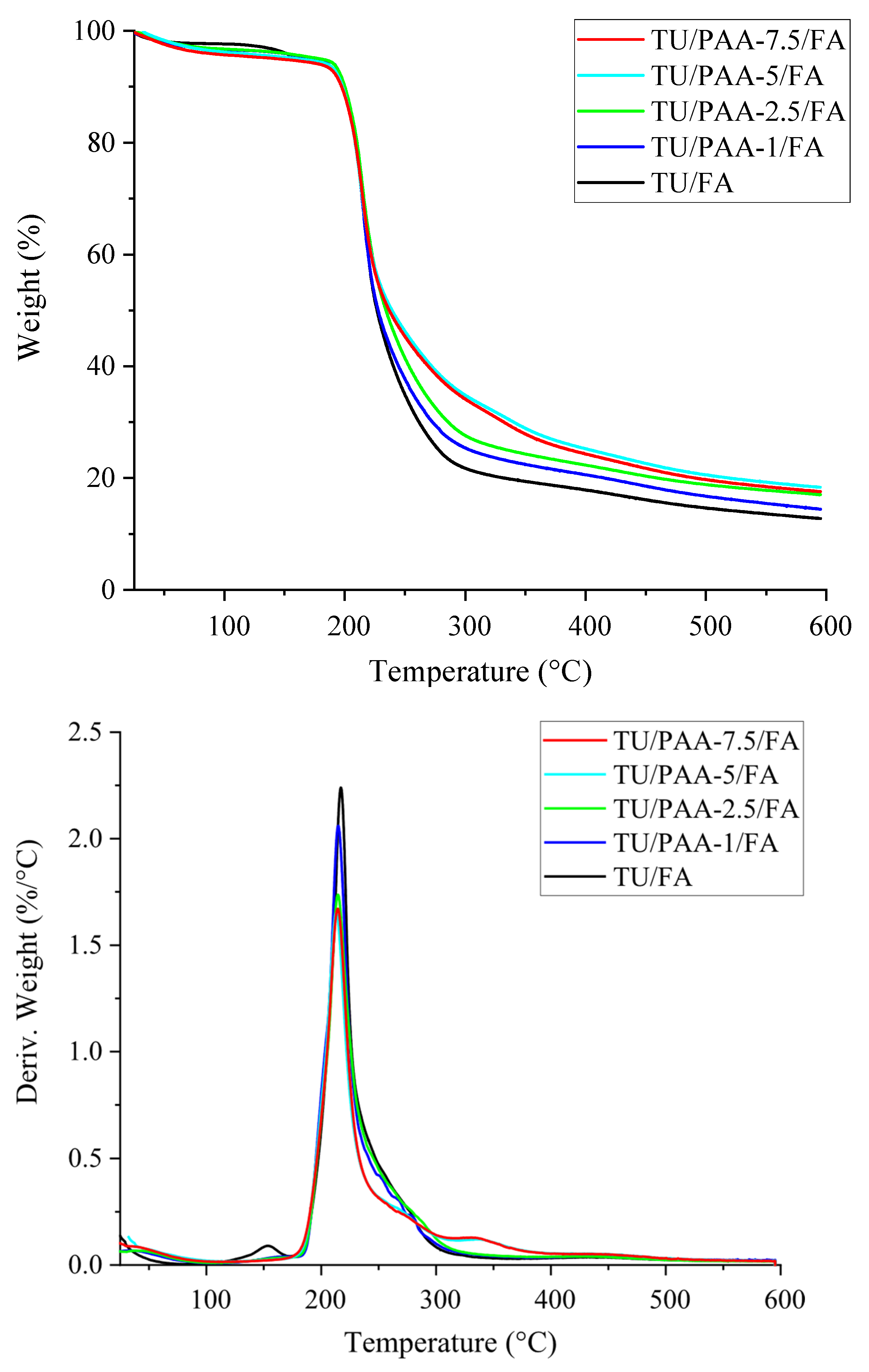
3.6. Thermal Stability
4. Application in Adsorption of Crystal Violet Dye
4.1. Effect of Experimental Parameters
4.2. Kinetic Modeling
4.3. Isotherm Modeling and Thermodynamic Studies
5. Conclusions
Author Contributions
Funding
Institutional Review Board Statement
Informed Consent Statement
Data Availability Statement
Conflicts of Interest
References
- Yaseen, D.A.; Scholz, M. Textile Dye Wastewater Characteristics and Constituents of Synthetic Effluents: A Critical Review. Int. J. Environ. Sci. Technol. 2019, 16, 1193–1226. [Google Scholar] [CrossRef]
- Verma, A.K.; Dash, R.R.; Bhunia, P. A Review on Chemical Coagulation/Flocculation Technologies for Removal of Colour from Textile Wastewaters. J. Environ. Manag. 2012, 93, 154–168. [Google Scholar] [CrossRef] [PubMed]
- Gupta, V.K.; Suhas. Application of Low-Cost Adsorbents for Dye Removal—A Review. J. Environ. Manag. 2009, 90, 2313–2342. [Google Scholar] [CrossRef]
- Rápó, E.; Tonk, S. Factors Affecting Synthetic Dye Adsorption; Desorption Studies: A Review of Results from the Last Five Years (2017–2021). Molecules 2021, 26, 5419. [Google Scholar] [CrossRef]
- Zhou, Y.; Lu, J.; Zhou, Y.; Liu, Y. Recent Advances for Dyes Removal Using Novel Adsorbents: A Review. Environ. Pollut. 2019, 252, 352–365. [Google Scholar] [CrossRef]
- Salleh, M.A.M.; Mahmoud, D.K.; Karim, W.A.W.A.; Idris, A. Cationic and anionic dye adsorption by agricultural solid wastes: A comprehensive review. Desalination 2011, 280, 1–13. [Google Scholar] [CrossRef]
- Li, Q.; Wang, L.; Yu, X.; Xu, L. Highly Efficient Removal of Silver Nanoparticles by Sponge-like Hierarchically Porous Thiourea-Formaldehyde Resin from Water. J. Hazard. Mater. 2020, 400, 123184. [Google Scholar] [CrossRef]
- El-Bindary, A.A.; Kiwaan, H.A.; Shoair, A.G.F.; Hawas, A.R. A Novel Crosslinked Amphoteric Adsorbent Thiourea Formaldehyde Calcium Alginate: Preparation, Characterization and Adsorption Behaviors of Removing Color from Acidic and Basic Dyes. Desalination Water Treat. 2019, 151, 145–160. [Google Scholar] [CrossRef]
- Adeyi, A.A.; Jamil, S.N.A.M.; Abdullah, L.C.; Choong, T.S.Y.; Lau, K.L.; Abdullah, M. Adsorptive Removal of Methylene Blue from Aquatic Environments Using Thiourea-Modified Poly(Acrylonitrile-Co-Acrylic Acid). Materials 2019, 12, 1734. [Google Scholar] [CrossRef] [PubMed]
- Li, Y.; Wang, X.; Xia, J.; Zhou, G.; Wang, X.; Wang, D.; Zhang, J.; Cheng, J.; Gao, F. Flower-like Thiourea–Formaldehyde Resin Microspheres for the Adsorption of Silver Ions. Polymers 2023, 15, 2423. [Google Scholar] [CrossRef]
- Wiśniewska, M.; Chibowski, S. Influence of Temperature and Purity of Polyacrylic Acid on Its Adsorption and Surface Structures at the ZrO2/Polymer Solution Interface. Adsorpt. Sci. Technol. 2005, 23, 655–667. [Google Scholar] [CrossRef]
- Ni, C.; Yi, C.; Feng, Z. Studies of Syntheses and Adsorption Properties of Chelating Resin from Thiourea and Formaldehyde. J. Appl. Polym. Sci. 2001, 82, 3127–3132. [Google Scholar] [CrossRef]
- Mosaffa, E.; Patel, R.I.; Banerjee, A.; Basak, B.B.; Oroujzadeh, M. Comprehensive Analysis of Cationic Dye Removal from Synthetic and Industrial Wastewater Using a Semi-Natural Curcumin Grafted Biochar/Poly Acrylic Acid Composite Hydrogel. RSC Adv. 2024, 14, 7745–7762. [Google Scholar] [CrossRef] [PubMed]
- İyim, T.B.; Acar, I.; Özgümüş, S. Removal of Basic Dyes from Aqueous Solutions with Sulfonated Phenol–Formaldehyde Resin. J. Appl. Polym. Sci. 2008, 109, 2774–2780. [Google Scholar] [CrossRef]
- Khan, M.I.; Sufian, S.; Hassan, F.; Shamsuddin, R.; Farooq, M. Phosphoric Acid Based Geopolymer Foam-Activated Carbon Composite for Methylene Blue Adsorption: Isotherm, Kinetics, Thermodynamics, and Machine Learning Studies. RSC Adv. 2025, 15, 1989–2010. [Google Scholar] [CrossRef]
- Batool, F.; Kanwal, S.; Kanwal, H.; Noreen, S.; Hodhod, M.S.; Mustaqeem, M.; Sharif, G.; Naeem, H.K.; Zahid, J.; Gaafar, A.-R.Z. Ecofriendly Synthesis of Magnetic Composites Loaded on Rice Husks for Acid Blue 25 Decontamination: Adsorption Kinetics, Thermodynamics, and Isotherms. Molecules 2023, 28, 7124. [Google Scholar] [CrossRef]
- Albert, M.; Clifford, A.; Zhitomirsky, I.; Rubel, O. Adsorption of Maleic Acid Monomer on the Surface of Hydroxyapatite and TiO2: A Pathway toward Biomaterial Composites. ACS Appl. Mater. Interfaces 2018, 10, 24382–24391. [Google Scholar] [CrossRef]
- Liu, S.-J.; Guo, Y.-P.; Yang, H.-Y.; Wang, S.; Ding, H.; Qi, Y. Synthesis of a Water-Soluble Thiourea-Formaldehyde (WTF) Resin and Its Application to Immobilize the Heavy Metal in MSWI Fly Ash. J. Environ. Manag. 2016, 182, 328–334. [Google Scholar] [CrossRef]
- Huang, S.-C.; Naka, K.; Chujo, Y. Effect of Molecular Weights of Poly(Acrylic Acid) on Crystallization of Calcium Carbonate by the Delayed Addition Method. Polym. J. 2008, 40, 154–162. [Google Scholar] [CrossRef]
- Adeyi, A.A.; Jamil, S.N.A.M.; Abdullah, L.C.; Choong, T.S.Y. Hydrophilic Thiourea-Modified Poly(Acrylonitrile-Co-Acrylic Acid) Adsorbent: Preparation, Characterization, and Dye Removal Performance. Iran. Polym. J. 2019, 28, 483–491. [Google Scholar] [CrossRef]
- Sudhavani, T.J.; Reddy, N.S.; Rao, K.M.; Rao, K.S.V.K.; Ramkumar, J.; Reddy, A.V.R. Development of Thiourea-Formaldehyde Crosslinked Chitosan Membrane Networks for Separation of Cu (II) and Ni (II) Ions. Bull. Korean Chem. Soc. 2013, 34, 1513–1520. [Google Scholar] [CrossRef]
- Essawy, H.A.; Ghazy, M.B.M.; El-Hai, F.A.; Mohamed, M.F. Superabsorbent Hydrogels via Graft Polymerization of Acrylic Acid from Chitosan-Cellulose Hybrid and Their Potential in Controlled Release of Soil Nutrients. Int. J. Biol. Macromol. 2016, 89, 144–151. [Google Scholar] [CrossRef]
- Maguire, C.M.; Rösslein, M.; Wick, P.; Prina-Mello, A. Characterisation of Particles in Solution—A Perspective on Light Scattering and Comparative Technologies. Sci. Technol. Adv. Mater. 2018, 19, 732–745. [Google Scholar] [CrossRef]
- Díaz-Soler, F.; Rodriguez-Navarro, C.; Ruiz-Agudo, E.; Neira-Carrillo, A. Stabilization of Calcium Oxalate Precursors during the Pre- and Post-Nucleation Stages with Poly(Acrylic Acid). Nanomaterials 2021, 11, 235. [Google Scholar] [CrossRef]
- Panáček, A.; Prucek, R.; Hrbáč, J.; Nevečná, T.; Šteffková, J.; Zbořil, R.; Kvítek, L. Polyacrylate-Assisted Size Control of Silver Nanoparticles and Their Catalytic Activity. Chem. Mater. 2014, 26, 1332–1339. [Google Scholar] [CrossRef]
- Zhou, M.; Bi, Y.; Zhou, H.; Chen, X.; Zhang, F.; Li, Y.; Qu, X. Aggregation Behavior of Poly(Acrylic acid-co-Octadecyl Methacrylate) and Bovine Serum Albumin in Aqueous Solutions. ChemistryOpen 2021, 10, 373–379. [Google Scholar] [CrossRef] [PubMed]
- Alsulami, Q.A.; Hussein, M.A.; Alsheheri, S.Z.; Elshehy, E.A.; El-Said, W.A. Unexpected Ultrafast and High Adsorption Performance of Ag(I) and Hg(II) Ions from Multiple Aqueous Solutions Using Microporous Functional Silica-Polymer Sponge-like Composite. J. Mater. Res. Technol. 2022, 17, 2000–2013. [Google Scholar] [CrossRef]
- Škrbić, J.; Spasojević, L.; Sharipova, A.; Aidarova, S.; Babayev, A.; Sarsembekova, R.; Popović, L.; Bučko, S.; Milinković Budinčić, J.; Fraj, J.; et al. Investigation of Silk Fibroin/Poly(Acrylic Acid) Interactions in Aqueous Solution. Polymers 2024, 16, 936. [Google Scholar] [CrossRef] [PubMed]
- Wiśniewska, M.; Nosal-Wiercińska, A.; Ostolska, I.; Sternik, D.; Nowicki, P.; Pietrzak, R.; Bazan-Wozniak, A.; Goncharuk, O. Nanostructure of Poly(Acrylic Acid) Adsorption Layer on the Surface of Activated Carbon Obtained from Residue After Supercritical Extraction of Hops. Nanoscale Res. Lett. 2017, 12, 2. [Google Scholar] [CrossRef]
- Hsieh, C.-T.; Huang, Y.-C.; Yu, T.-Y.; Wang, K.-S.; Cheng, Y.-W.; Wu, C.-H.; Jeng, R.-J. Eco-Friendly Hybrid Materials for Steel Protection Using a Water-Soluble Polyamic Acid as Chelating Agent. ACS Appl. Polym. Mater. 2025, 7, 6513–6522. [Google Scholar] [CrossRef]
- Magovac, E.; Vončina, B.; Jordanov, I.; Grunlan, J.C.; Bischof, S. Layer-by-Layer Deposition: A Promising Environmentally Benign Flame-Retardant Treatment for Cotton, Polyester, Polyamide and Blended Textiles. Materials 2022, 15, 432. [Google Scholar] [CrossRef]
- Sözügeçer, S.; Bayramgil, N.P. Preparation and Characterization of Polyacrylic Acid-Hydroxyapatite Nanocomposite by Microwave-Assisted Synthesis Method. Heliyon 2021, 7, e07226. [Google Scholar] [CrossRef]
- Grabowska, B.; Cukrowicz, S.; Kaczmarska, K.; Żymankowska-Kumon, S.; Bobrowski, A.; Tyliszczak, B.; Mrówka, N.M. Thermostability of Organobentonite Modified with Poly(Acrylic Acid). Materials 2023, 16, 3626. [Google Scholar] [CrossRef]
- Zarrik, B.; El Amri, A.; Bensalah, J.; Jebli, A.; Lebkiri, A.; Hsissou, R.; Hbaiz, E.M.; Rifi, E.H.; Lebkiri, A. Adsorption of crystal violet using a composite based on graphene Oxide-ED@Cellulose: Adsorption modeling, optimization and recycling. Inorg. Chem. Commun. 2024, 162, 112179. [Google Scholar] [CrossRef]
- Sulyman, M.; Kucinska-Lipka, J.; Sienkiewicz, M.; Gierak, A. Development, characterization and evaluation of composite adsorbent for the adsorption of crystal violet from aqueous solution: Isotherm, kinetics, and thermodynamic studies. Arab. J. Chem. 2021, 14, 103115. [Google Scholar] [CrossRef]
- Najafi, H.; Asasian-Kolur, N.; Sharifian, S. Adsorption of chromium(VI) and crystal violet onto granular biopolymer-silica pillared clay composites from aqueous solutions. J. Mol. Liq. 2021, 344, 117822. [Google Scholar]
- Tahir, N.; Nawaz Bhatti, H.; Iqbal, M.; Nore, S. Biopolymers composites with peanut hull waste biomass and application for Crystal Violet adsorption. Int. J. Biol. Macromol. 2017, 94 Pt A, 210–220. [Google Scholar] [CrossRef]
- Du, C.; Sng, Y.; Shengnan, S.; Jiang, B.; Yang, J.; Xiao, S. Preparation and characterization of a novel Fe3O4-graphene-biochar composite for crystal violet adsorption. Sci. Total Environ. 2020, 711, 134662. [Google Scholar] [CrossRef] [PubMed]
- Nasuha, N.; Hameed, B.H.; Din, A.T.M. Rejected Tea as a Potential Low-Cost Adsorbent for the Removal of Methylene Blue. J. Hazard. Mater. 2010, 175, 126–132. [Google Scholar] [CrossRef]
- Sakin Omer, O.; Hussein, M.A.; Hussein, B.H.M.; Mgaidi, A. Adsorption Thermodynamics of Cationic Dyes (Methylene Blue and Crystal Violet) to a Natural Clay Mineral from Aqueous Solution between 293.15 and 323.15 K. Arab. J. Chem. 2018, 11, 615–623. [Google Scholar] [CrossRef]
- Largitte, L.; Pasquier, R. A review of the kinetics adsorption models and their application to the adsorption of lead by an activated carbon. Chem. Eng. Res. Des. 2016, 109, 495–504. [Google Scholar] [CrossRef]
- Treybal, R.E. Mass-Transfer Operations, 3rd ed.; Reissued; McGraw-Hill Chemical Engineering Series; McGraw-Hill: New York, NY, USA, 2004; ISBN 978-0-07-065176-0. [Google Scholar]













| Sample | TU (g)/100 mL | PAA (mL) | FA (mL) |
|---|---|---|---|
| TU/FA | 5.87 | 0.0 | 6 |
| TU/PAA-1/FA | 5.87 | 1.0 | 6 |
| TU/PAA-2.5/FA | 5.87 | 2.5 | 6 |
| TU/PAA-5/FA | 5.87 | 5 | 6 |
| TU/PAA-7.5/FA | 5.87 | 7.5 | 6 |
| Sample | Number Distribution | Volume Distribution | ||
|---|---|---|---|---|
| Peak (µm) | % | Peak1 (µm) | % | |
| TU/FA | 2.13 | 12.6 | 186 | 7.48 |
| TU/PAA-1/FA | 1.28 | 18.03 | 98.1 | 6.2 |
| TU/PAA-2.5/FA | 0.31 | 17.16 | 45.6 | 5.83 |
| TU/PAA-5/FA | 0.214 | 24.64 | 40.1 | 5.45 |
| TU/PAA-7.5/FA | 0.35 | 19.05 | 24.1 | 3.73 |
| Sample | Number Distribution | Volume Distribution | ||||||
|---|---|---|---|---|---|---|---|---|
| D10 (µm) | D50 (µm) | D90 (µm) | D32 (µm) | D10 (µm) | D50 (µm) | D90 (µm) | D32 (µm) | |
| TU/FA | 1.66 | 2.228 | 4.58 | 1914 | 37.62 | 138,2 | 287.8 | 93.02 |
| TU/PAA-1/FA | 1.194 | 1.586 | 3.194 | 1.366 | 35.52 | 114.2 | 316.4 | 77.7 |
| TU/PAA-2.5/FA | 0.3242 | 0.411 | 0.7962 | 0.3634 | 14.90 | 61.46 | 164.8 | 37.62 |
| TU/PAA-5/FA | 0.225 | 0.2902 | 0.5508 | 0.2548 | 10.24 | 44.42 | 182.4 | 28.52 |
| TU/PAA-7.5/FA | 0.341 | 0.4524 | 0.8536 | 0.393 | 10.80 | 71.30 | 319.8 | 29.92 |
| Sample | ζ Potential ±SD (mV) | Conductivity ±SD (mS/cm) |
|---|---|---|
| TU/FA | −2.92 ± 0.67 | 0.03 ± 0.002 |
| TU/PAA-1/FA | 1.39 ± 0.69 | 0.02 ± 0.006 |
| TU/PAA-2.5/FA | −1.18 ± 0.40 | 0.05 ± 0.001 |
| TU/PAA-5/FA | −37.3 ± 1.66 | 0.15 ± 0.002 |
| TU/PAA-7.5/FA | −41.4 ± 0.3 | 0.15 ± 0.001 |
| Sample | Initial Weight Loss (%) | Temp. Range (°C) | Tmax (°C) | Main Weight Loss (%) | Temp. Range (°C) | Tmax (°C) | Residue at 600 °C (%) |
|---|---|---|---|---|---|---|---|
| TU/FA | 2.21 | 144–171 | 153.48 | 81.78 | 195- 314 | 217.13 | 12.76 |
| TU/PAA-1/FA | 3.40 | 145–176 | 159.01 | 82.16 | 197–322 | 214.77 | 14.43 |
| TU/PAA-2.5/FA | 3.295 | 145–173 | 156.55 | 79.65 | 199–331 | 214.54 | 17.05 |
| TU/PAA-5/FA | 4.219 | 146–174 | 154.17 | 77.43 | 197–321 | 212.99 | 18.35 |
| TU/PAA-7.5/FA | 4.464 | 147–173 | 155.71 | 77.93 | 198–342 | 214.47 | 17.60 |
| Adsorbent | Maximum Adsorption Capacity (mg/g) at Optimum Conditions | Reference |
|---|---|---|
| TU/PAA-5/FA composite | 145 | Current work |
| Ethylene diamine/reduced graphene oxide/cellulose composite | 260 | [34] |
| Tire rubber and polyurethane foam composite | 20.92 | [35] |
| Granular biopolymer–silica/clay composites | 208.9 | [36] |
| Chitosan aniline composite | 100.6 | [37] |
| Fe3O4–graphene–biochar composite | 157.3 | [38] |
| Kinetic equations | Constants | Crystal violet concentration (mg/L) | Isotherms | Parameters | Temperature (°C) | |||
| Pseudo-first-order | 40 | 80 | 22 | 35 | 45 | |||
| K1 (min−1) | 0.034 | 0.036 | qL (mg·g−1) | 83.33 | 78.74 | 74.07 | ||
| q (mg·g−1) | 9.54 | 11.30 | Langmuir | KL (L·g−1) | 0.026 | 0.016 | 0.01 | |
| R2 | 0.97 | 0.94 | R2 | 0.99 | 0.98 | 0.98 | ||
| Pseudo-second-order | K2 | 0.02 | 0.019 | Thermodynamic parameters | ΔH° (KJ mol−1) | −11.7 | ||
| q (mg·g−1) | 20.00 | 32.89 | ΔS° (J mol−1) | −49 | ||||
| R2 | 0.99 | 0.99 | ΔG° (KJ mol−1) | 2.76 | 3.4 | 3.89 | ||
| Freundlich | KF (L.g−1) | 27.54 | 5.01 | 7.87 | ||||
| Elovich | α (mg·g−1·min−1) | 132.69 | 1623.4 | n | 1.82 | 1.51 | 1.35 | |
| β (mg·g−1·min−1) | 0.42 | 0.32 | R2 | 0.92 | 0.94 | 0.93 | ||
| R2 | 0.86 | 0.76 | Temkin | bT (J.mol−1) | 180.87 | 208.52 | 261.50 | |
| Intraparticular diffusion | K (mg·g1·min1/2) | 1.78 | 2.86 | AT (L.g−1) | 1.49 | 2.09 | 2.63 | |
| R2 | 0.69 | 0.62 | R2 | 0.95 | 0.92 | 0.89 | ||
| Kinetic equations | Constants | Crystal violet concentration (mg/L) | Isotherms | Parameters | Temperature (°C) | |||
| Pseudo-first-order | 40 | 80 | 22 | 35 | 45 | |||
| K1 (min−1) | 0.037 | 0.041 | qL (mg·g−1) | 161.29 | 156.25 | 156.25 | ||
| q (mg·g−1) | 22.86 | 41.49 | Langmuir | KL (L·g−1) | 0.027 | 0.018 | 0.011 | |
| R2 | 0.98 | 0.99 | R2 | 0.98 | 0.97 | 0.97 | ||
| Pseudo-second-order | K2 | 0.01 | 0.006 | Thermodynamic parameters | ΔH° (KJ mol−1) | −7.73 | ||
| q (mg·g−1) | 36.36 | 65.35 | ΔS° (J mol−1) | −30.088 | ||||
| R2 | 0.99 | 0.99 | ΔG° (KJ mol−1) | 1.14 | 1.53 | 1.83 | ||
| Freundlich | KF (L·g−1) | 184.07 | 39.81 | 7.80 | ||||
| Elovich | α (mg·g−1·min−1) | 361.94 | 513.96 | n | 1.96 | 1.61 | 1.36 | |
| β (mg·g−1·min−1) | 0.24 | 0.13 | R2 | 0.95 | 0.96 | 0.97 | ||
| R2 | 0.91 | 0.89 | Temkin | bT (J·mol−1) | 92.37 | 102.96 | 118.66 | |
| Intraparticular diffusion | K (mg·g1·min1/2) | 3.21 | 5.83 | AT (L·g−1) | 1.51 | 2.03 | 2.49 | |
| R2 | 0.69 | 0.69 | R2 | 0.95 | 0.92 | 0.89 | ||
Disclaimer/Publisher’s Note: The statements, opinions and data contained in all publications are solely those of the individual author(s) and contributor(s) and not of MDPI and/or the editor(s). MDPI and/or the editor(s) disclaim responsibility for any injury to people or property resulting from any ideas, methods, instructions or products referred to in the content. |
© 2025 by the authors. Licensee MDPI, Basel, Switzerland. This article is an open access article distributed under the terms and conditions of the Creative Commons Attribution (CC BY) license (https://creativecommons.org/licenses/by/4.0/).
Share and Cite
Elamri, A.; Zdiri, K.; Bourkaib, K.; Jabli, M.; Labed, A.; Bistac, S.; Harzallah, O.A. Synthesis and Application of Thiourea–Poly(Acrylic Acid)–Formaldehyde Composites for Removal of Crystal Violet Dye. Materials 2025, 18, 5462. https://doi.org/10.3390/ma18235462
Elamri A, Zdiri K, Bourkaib K, Jabli M, Labed A, Bistac S, Harzallah OA. Synthesis and Application of Thiourea–Poly(Acrylic Acid)–Formaldehyde Composites for Removal of Crystal Violet Dye. Materials. 2025; 18(23):5462. https://doi.org/10.3390/ma18235462
Chicago/Turabian StyleElamri, Adel, Khmais Zdiri, Kamila Bourkaib, Mahjoub Jabli, Adnane Labed, Sophie Bistac, and Omar Anis Harzallah. 2025. "Synthesis and Application of Thiourea–Poly(Acrylic Acid)–Formaldehyde Composites for Removal of Crystal Violet Dye" Materials 18, no. 23: 5462. https://doi.org/10.3390/ma18235462
APA StyleElamri, A., Zdiri, K., Bourkaib, K., Jabli, M., Labed, A., Bistac, S., & Harzallah, O. A. (2025). Synthesis and Application of Thiourea–Poly(Acrylic Acid)–Formaldehyde Composites for Removal of Crystal Violet Dye. Materials, 18(23), 5462. https://doi.org/10.3390/ma18235462

