Investigation on Non-Isothermal Crystallization Kinetics of Polyethylene Terephthalate-Polyethylene Naphthalate Blends
Abstract
1. Introduction
2. Experimental
2.1. Materials
2.2. Sample Preparation
2.2.1. Raw Material Pretreatment
2.2.2. Blending Ratio Design and Premixing
2.2.3. Twin-Screw Extrusion Blending Granulation
2.2.4. Drying After Granulation and Preparation of Test Samples
2.3. Intrinsic Viscosity Test
2.4. Carboxyl End-Group Test
2.5. Diethylene Glycol Test
2.6. Fourier-Transform Infrared Spectroscopy (FTIR)
2.7. Differential Scanning Calorimetry (DSC)
3. Results and Discussion
3.1. Preliminary Characterization of Sample Molecular Structure
3.2. FTIR
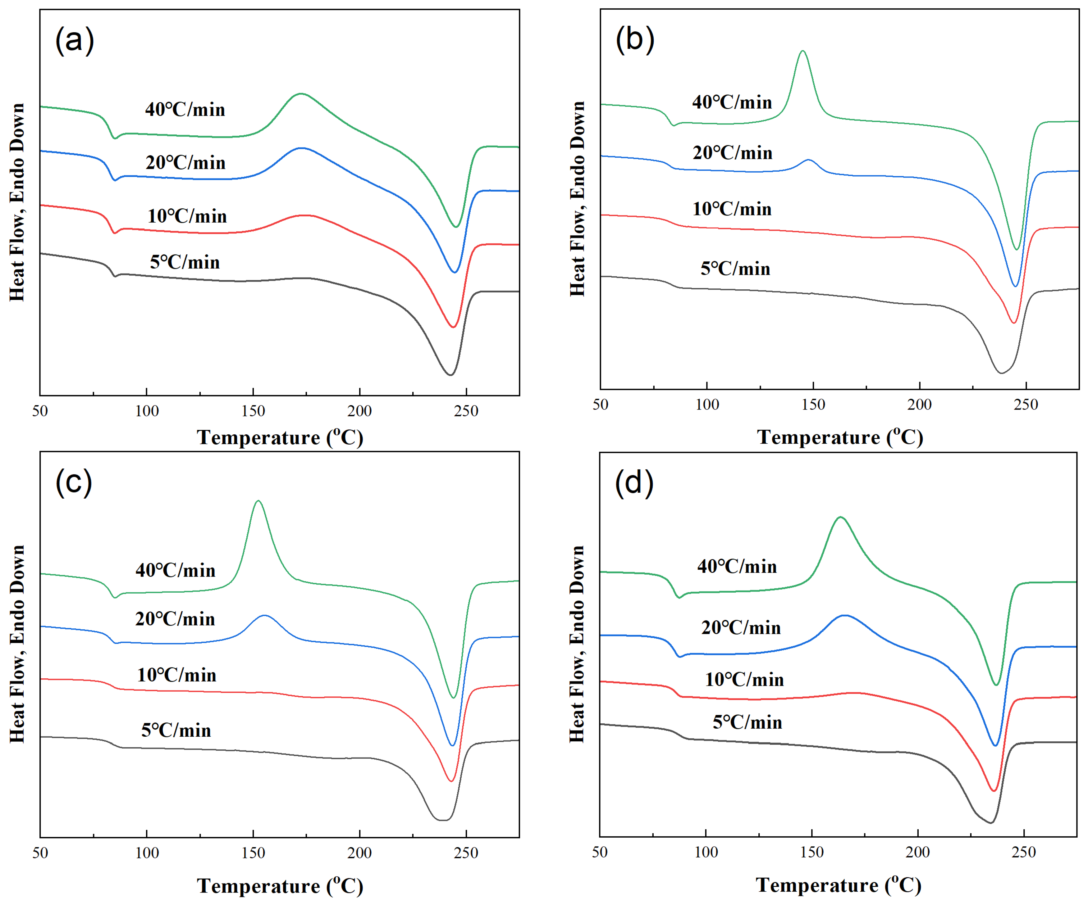
3.3. DSC Measurement
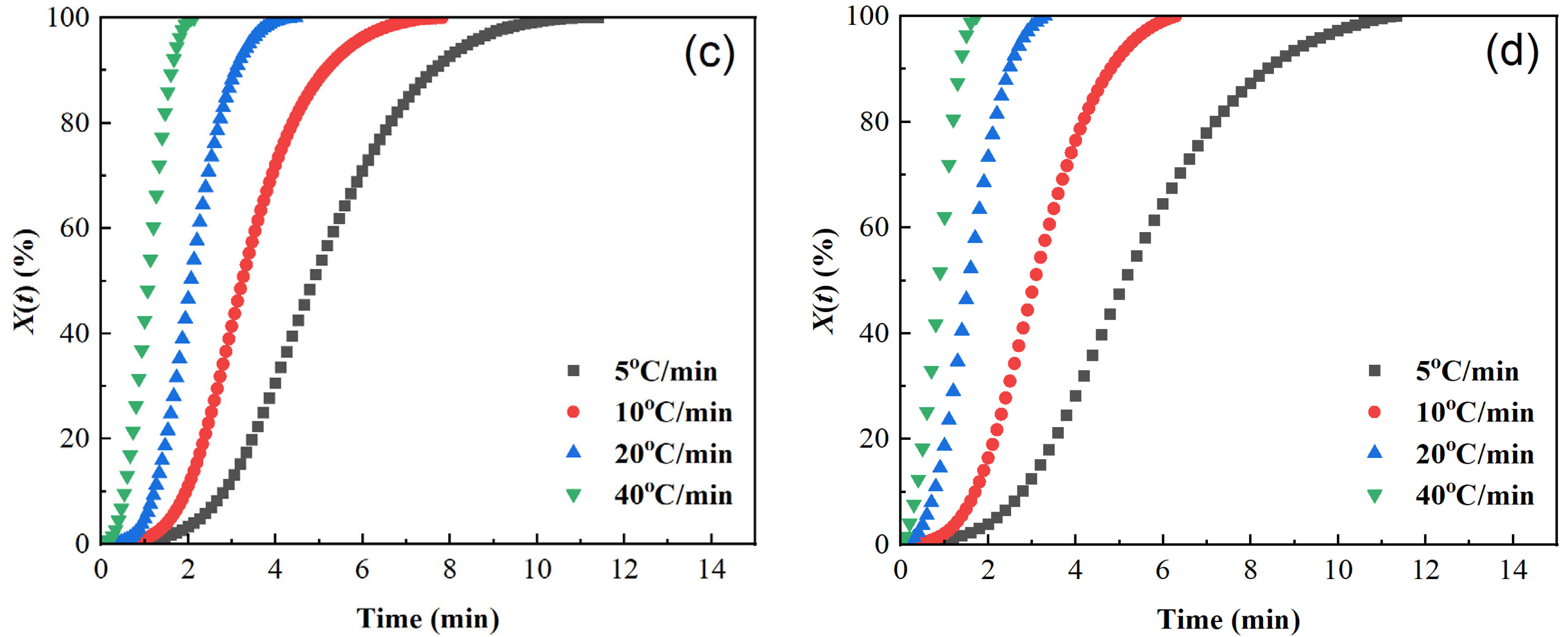
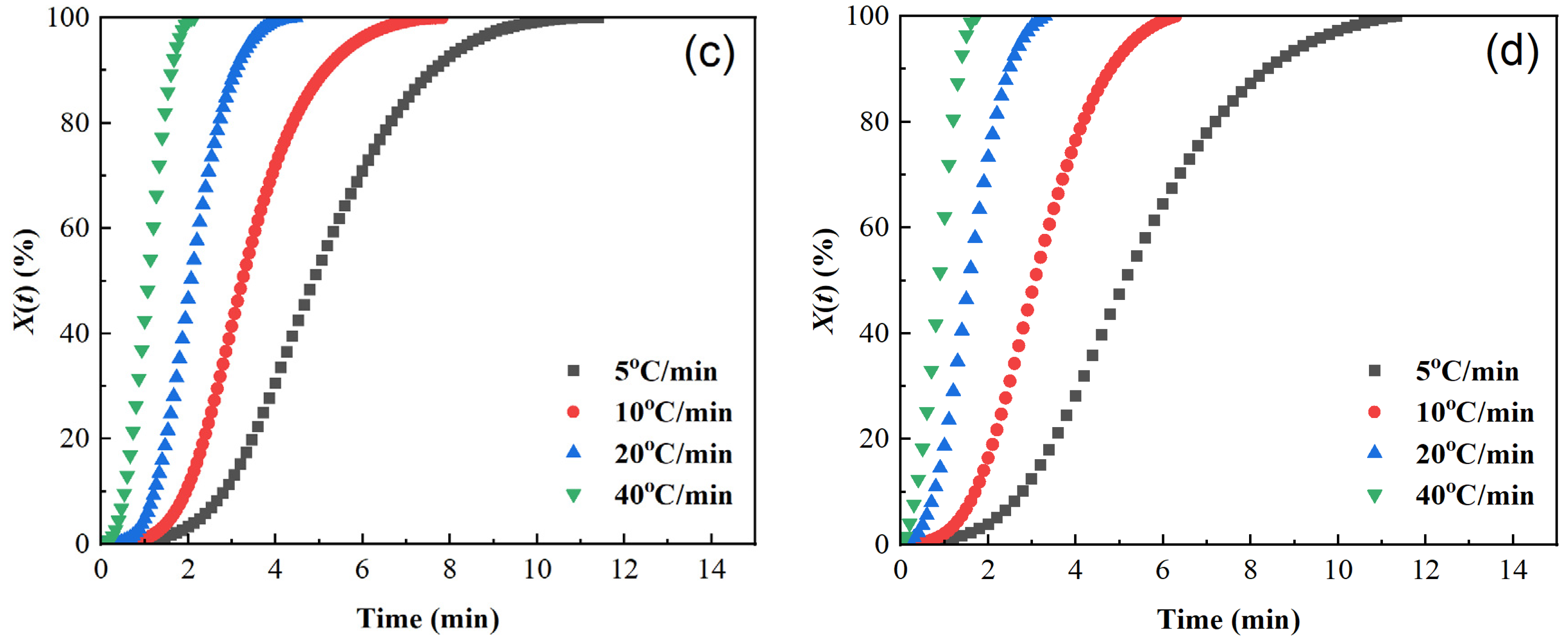
3.4. Non-Isothermal Crystallization Kinetics
- (1)
- Decreased starting temperature T0 and peak temperature Tc of crystallization: As shown in Figure 3 and Table 4, at a cooling rate of 10 °C/min, when the PEN content increases from 0% to 9%, T0 decreases from 230.3 °C to 194.5 °C and Tc decreases from 211.1 °C to 166.5 °C, indicating that the introduction of PEN makes crystallization more difficult and reduces the temperature required to initiate crystallization.
- (2)
- A slower crystallization rate and a reduced amount of crystallization: Figure 4 shows that at the same cooling rate, the higher the PEN content, the longer it takes for the relative crystallinity to reach 100%. As shown in Table 4, at 10 °C/min, the t1/2 (3.06 min) of PEN-9% was 57.7% longer than that of PET (1.94 min), and ΔHc (20.01 J/g) was 47.1% lower than that of pure PET (37.85 J/g), confirming that PEN hindered the migration and regular arrangement of PET molecular chains towards the crystal nucleus through the steric hindrance effect of the rigid naphthalene rings, resulting in a slower crystallization rate and a reduced amount of crystallization [47,48].
3.5. Analysis of Non-Isothermal Cold Crystallization Behavior
3.6. Non-Isothermal Crystallization Kinetics
3.6.1. Jeziory Method
3.6.2. Mo Method
3.6.3. Crystallization Activation Energy ΔE
4. Conclusions
Author Contributions
Funding
Institutional Review Board Statement
Data Availability Statement
Acknowledgments
Conflicts of Interest
References
- Sagong, H.-Y.; Seo, H.; Kim, T.; Son, H.F.; Joo, S.; Lee, S.H.; Kim, S.; Woo, J.-S.; Hwang, S.Y.; Kim, K.-J. Decomposition of the PET Film by MHETase Using Exo-PETase Function. ACS Catal. 2020, 10, 4805–4812. [Google Scholar] [CrossRef]
- Deshmukh, R.R.; Bhat, N.V. The mechanism of adhesion and printability of plasma processed PET films. Mater. Res. Innov. 2003, 7, 283–290. [Google Scholar] [CrossRef]
- Galdi, M.R.; Nicolais, V.; Di Maio, L.; Incarnato, L. Production of active PET films: Evaluation of scavenging activity. Packag. Technol. Sci. 2008, 21, 257–268. [Google Scholar] [CrossRef]
- Gupta, S.; Dixit, M.; Sharma, K.; Saxena, N.S. Mechanical study of metallized polyethylene terephthalate (PET) films. Surf. Coat. Technol. 2009, 204, 661–666. [Google Scholar] [CrossRef]
- Pandiyaraj, K.N.; Selvarajan, V.; Deshmukh, R.R.; Bousmina, M. The effect of glow discharge plasma on the surface properties of Poly (ethylene terephthalate) (PET) film. Surf. Coat. Technol. 2008, 202, 4218–4226. [Google Scholar] [CrossRef]
- Navaneetha Pandiyaraj, K.; Selvarajan, V.; Deshmukh, R.R.; Gao, C. Adhesive properties of polypropylene (PP) and polyethylene terephthalate (PET) film surfaces treated by DC glow discharge plasma. Vacuum 2008, 83, 332–339. [Google Scholar] [CrossRef]
- Fávaro, S.L.; Rubira, A.F.; Muniz, E.C.; Radovanovic, E. Surface modification of HDPE, PP, and PET films with KMnO4/HCl solutions. Polym. Degrad. Stab. 2007, 92, 1219–1226. [Google Scholar] [CrossRef]
- Kogler, L.; Stellnberger, S.; Schwingenschlögl-Maisetschläger, V.; Aichinger, L.; Kopatz, V.; Teuschl-Woller, A.H.; Kenner, L.; Pichler, V. Production of detergent-free PET and biodegradable PBAT micro- and nanoplastics. J. Hazard. Mater. 2025, 493, 138371. [Google Scholar] [CrossRef]
- Szykiedans, K.; Credo, W.; Osiński, D. Selected Mechanical Properties of PETG 3-D Prints. Procedia Eng. 2017, 177, 455–461. [Google Scholar] [CrossRef]
- Latko-Durałek, P.; Dydek, K.; Boczkowska, A. Thermal, Rheological and Mechanical Properties of PETG/rPETG Blends. J. Polym. Environ. 2019, 27, 2600–2606. [Google Scholar] [CrossRef]
- Dupaix, R.B.; Boyce, M.C. Finite strain behavior of poly(ethylene terephthalate) (PET) and poly(ethylene terephthalate)-glycol (PETG). Polymer 2005, 46, 4827–4838. [Google Scholar] [CrossRef]
- An, J.; Zhang, Y.; Zhang, X.; He, M.; Zhou, J.; Zhou, J.; Liu, Y.; Chen, X.; Hu, Y.; Song, X.; et al. Structure and Properties of Epoxy Resin/Graphene Oxide Composites Prepared from Silicon Dioxide-Modified Graphene Oxide. ACS Omega 2024, 9, 17577–17591. [Google Scholar] [CrossRef]
- An, J.; Chen, Z.; Xie, Z.; Zhou, J.; He, M.; Liu, Y.; Zhang, Y.; Han, L.; Kang, J.; Wu, T.; et al. Preparation and properties of flexible dual-network high-performance epoxy composites. Polymer 2024, 312, 127621. [Google Scholar] [CrossRef]
- Rodríguez-Hernández, A.G.; Muñoz-Tabares, J.A.; Aguilar-Guzmán, J.C.; Vazquez-Duhalt, R. A novel and simple method for polyethylene terephthalate (PET) nanoparticle production. Environ. Sci. Nano 2019, 6, 2031–2036. [Google Scholar] [CrossRef]
- Gorenšek, M.; Gorjanc, M.; Bukošek, V.; Kovač, J.; Jovančić, P.; Mihailović, D. Functionalization of PET Fabrics by Corona and Nano Silver. Text. Res. J. 2010, 80, 253–262. [Google Scholar] [CrossRef]
- Behzadian, R.; Shahrajabian, H. Experimental Study of the Effect of Nano-silica on the Mechanical Properties of Concrete/PET Composites. KSCE J. Civ. Eng. 2019, 23, 3660–3668. [Google Scholar] [CrossRef]
- Weng, Y.-X.; Jin, Y.-J.; Meng, Q.-Y.; Wang, L.; Zhang, M.; Wang, Y.-Z. Biodegradation behavior of poly(butylene adipate-co-terephthalate) (PBAT), poly(lactic acid) (PLA), and their blend under soil conditions. Polym. Test. 2013, 32, 918–926. [Google Scholar] [CrossRef]
- Liu, J.; Jiang, Z.; Zhou, Y.; Wang, B.; Chen, J.; Li, J.; Huang, L.; Wang, C. Hydrophilic and Biodegradable PBAT Copolyesters Prepared from Chemically Recycled Resources. ACS Appl. Polym. Mater. 2024, 6, 5235–5245. [Google Scholar] [CrossRef]
- Ke, Y.; Long, C.; Qi, Z. Crystallization, properties, and crystal and nanoscale morphology of PET–clay nanocomposites. J. Appl. Polym. Sci. 1999, 71, 1139–1146. [Google Scholar] [CrossRef]
- Tonelli, A.E. PET versus PEN: What difference can a ring make? Polymer 2002, 43, 637–642. [Google Scholar] [CrossRef]
- Arkhireyeva, A.; Hashemi, S. Fracture behaviour of polyethylene naphthalate (PEN). Polymer 2002, 43, 289–300. [Google Scholar] [CrossRef]
- Lillwitz, L.D. Production of dimethyl-2,6-naphthalenedicarboxylate: Precursor to polyethylene naphthalate. Appl. Catal. A Gen. 2001, 221, 337–358. [Google Scholar] [CrossRef]
- Lechat, C.; Bunsell, A.R.; Davies, P.; Piant, A. Mechanical behaviour of polyethylene terephthalate & polyethylene naphthalate fibres under cyclic loading. J. Mater. Sci. 2006, 41, 1745–1756. [Google Scholar] [CrossRef]
- Hine, P.J.; Astruc, A.; Ward, I.M. Hot compaction of polyethylene naphthalate. J. Appl. Polym. Sci. 2004, 93, 796–802. [Google Scholar] [CrossRef]
- Welsh, G.E.; Blundell, D.J.; Windle, A.H. A transient mesophase on drawing polymers based on polyethylene terephthalate (PET) and polyethylene naphthoate (PEN). J. Mater. Sci. 2000, 35, 5225–5240. [Google Scholar] [CrossRef]
- Gonzalez, E., II; Barankin, M.D.; Guschl, P.C.; Hicks, R.F. Remote Atmospheric-Pressure Plasma Activation of the Surfaces of Polyethylene Terephthalate and Polyethylene Naphthalate. Langmuir 2008, 24, 12636–12643. [Google Scholar] [CrossRef]
- Slepička, P.; Neděla, O.; Sajdl, P.; Kolská, Z.; Švorčík, V. Polyethylene naphthalate as an excellent candidate for ripple nanopatterning. Appl. Surf. Sci. 2013, 285, 885–892. [Google Scholar] [CrossRef]
- Neděla, O.; Slepička, P.; Kolská, Z.; Slepičková Kasálková, N.; Sajdl, P.; Veselý, M.; Švorčík, V. Functionalized polyethylene naphthalate for cytocompatibility improvement. React. Funct. Polym. 2016, 100, 44–52. [Google Scholar] [CrossRef]
- Lechat, C.; Bunsell, A.R.; Davies, P. Tensile and creep behaviour of polyethylene terephthalate and polyethylene naphthalate fibres. J. Mater. Sci. 2011, 46, 528–533. [Google Scholar] [CrossRef]
- Bedia, E.L.; Murakami, S.; Kitade, T.; Kohjiya, S. Structural development and mechanical properties of polyethylene naphthalate/polyethylene terephthalate blends during uniaxial drawing. Polymer 2001, 42, 7299–7305. [Google Scholar] [CrossRef]
- Patcheak, T.D.; Jabarin, S.A. Structure and morphology of PET/PEN blends. Polymer 2001, 42, 8975–8985. [Google Scholar] [CrossRef]
- Fermeglia, M.; Cosoli, P.; Ferrone, M.; Piccarolo, S.; Mensitieri, G.; Pricl, S. PET/PEN blends of industrial interest as barrier materials. Part I. Many-scale molecular modeling of PET/PEN blends. Polymer 2006, 47, 5979–5989. [Google Scholar] [CrossRef]
- Wagner, M.H.; Wu, W.; Liu, Y.; Qian, Q.; Zhang, Y.; Mielke, W. Study on phase separation of PET/PEN blends by dynamic rheology. J. Appl. Polym. Sci. 2008, 110, 177–182. [Google Scholar] [CrossRef]
- Yoshioka, T.; Tsuji, M.; Kawahara, Y.; Kohjiya, S. Morphological study by TEM on uniaxially oriented thin films of PET, PEN and their blends. Polymer 2003, 44, 7997–8003. [Google Scholar] [CrossRef]
- Shen, B.; Hu, Y.; Song, X.; Song, Z.; Liu, J.; Sun, C.; Lu, S.; Kang, J.; Cao, Y.; Xiang, M.; et al. Study on the Evolution Mechanism of the Structure and Properties of ABS in Cycled Fused Deposition Molding (FDM). Ind. Eng. Chem. Res. 2023, 62, 13572–13580. [Google Scholar] [CrossRef]
- Jiang, W.; Sun, C.; Zhang, Y.; Xie, Z.; Zhou, J.; Kang, J.; Cao, Y.; Xiang, M. Preparation of well-dispersed graphene oxide-silica nanohybrids/ poly(lactic acid) composites by melt mixing. Polym. Test. 2023, 118, 107912. [Google Scholar] [CrossRef]
- GB/T 14190-2017; Testing Methods of Fiber Grade Polyester (PET) Chip. Standardization Administration of China: Beijing, China, 2017.
- Chen, S.; Chen, S.; Guang, S.; Zhang, X.; Chen, W. Film reaction kinetics for melt postpolycondensation of poly(ethylene terephthalate). J. Appl. Polym. Sci. 2020, 137, 48988. [Google Scholar] [CrossRef]
- Gao, F.; Liu, H.; Zhang, Y.; Liu, D.; Xie, Z.; Peng, W.; Song, Y.; Hu, R.; Chen, D.; Kang, J.; et al. Polyamide membrane with nanoscale stripes and internal voids for high-performance nanofiltration. J. Membr. Sci. 2023, 671, 121406. [Google Scholar] [CrossRef]
- Chen, D.; Hu, R.; Song, Y.; Gao, F.; Peng, W.; Zhang, Y.; Xie, Z.; Kang, J.; Zheng, Z.; Cao, Y.; et al. Hydrophilic modified polydopamine tailored heterogeneous polyamide in thin-film nanocomposite membranes for enhanced separation performance and anti-fouling properties. J. Membr. Sci. 2023, 666, 121124. [Google Scholar] [CrossRef]
- Rodríguez-Cabello, J.C.; Santos, J.; Merino, J.C.; Pastor, J.M. Thermally induced structural changes in low-shrinkage poly(ethylene terephthalate) fibers. J. Polym. Sci. Part B Polym. Phys. 1996, 34, 1243–1255. [Google Scholar] [CrossRef]
- Cheng, S.Z.D.; Wunderlich, B. Glass transition and melting behavior of poly(ethylene 2,6-naphthalenedicarboxylate). Macromolecules 1988, 21, 789–797. [Google Scholar] [CrossRef]
- Najmi, S.; Huang, D.; Duncan, A.; Slanac, D.; Hutchenson, K.; Hughes, J.; Poladi, R.; Vlachos, D.G. Closed-loop chemical recycling of polyethylene furan-2,5-dicarboxylate (PEF) under microwave-assisted heating. Green. Chem. 2025, 27, 5753–5763. [Google Scholar] [CrossRef]
- Zhao, L.; Yin, Y.; Xiao, W.; Li, H.; Feng, H.; Wang, D.; Qu, C. Rapid Crystallization and Fluorescence of Poly(ethylene terephthalate) Using Graphene Quantum Dots as Nucleating Agents. Polymers 2023, 15, 3506. [Google Scholar] [CrossRef]
- Gicheha, D.; Cisse, A.N.; Bhuiyan, A.; Shamim, N. Non-Isothermal Crystallization Kinetics of Poly (ɛ-Caprolactone) (PCL) and MgO Incorporated PCL Nanofibers. Polymers 2023, 15, 3013. [Google Scholar] [CrossRef]
- Yu, Y.; Liang, Y.; Zhang, Y.; Xie, Z.; Chen, J.; Zheng, Z.; Kang, J.; Yang, F.; Cao, Y.; Xiang, M. Characterizations and performances of polysulfone/graphene oxide with structural defects repaired by cellulose nanocrystals. Polym. Compos. 2022, 43, 3446–3456. [Google Scholar] [CrossRef]
- Xu, R.; Gao, F.; Wu, Y.; Ding, L.; Chen, D.; Liu, T.; Yu, Y.; Zhuo, W.; Chen, Z.; Zhang, Y.; et al. Influences of support layer hydrophilicity on morphology and performances of polyamide thin-film composite membrane. Sep. Purif. Technol. 2022, 281, 119884. [Google Scholar] [CrossRef]
- Jiang, W.; Liang, Y.; Zhang, Y.; Xie, Z.; Zhou, J.; Kang, J.; Cao, Y.; Xiang, M. Preparation of graphene oxide-silica nanohybrid/poly(lactic acid) biaxially oriented films with enhanced mechanical properties. Polymer 2022, 261, 125410. [Google Scholar] [CrossRef]
- Wang, D.; Li, S.; Lu, Y.; Wang, J.; Men, Y. Melt Memory Effect in Polyethylene Random Terpolymer with Small Amount of 1-Octene and 1-Hexene Co-Units: Non-Isothermal and Isothermal Investigations. Polymers 2023, 15, 1721. [Google Scholar] [CrossRef]
- Di Lorenzo, M.L. Crystallization of Poly(ethylene terephthalate): A Review. Polymers 2024, 16, 1975. [Google Scholar] [CrossRef] [PubMed]
- Vyazovkin, S.; Dranca, I. Isoconversional Analysis of Combined Melt and Glass Crystallization Data. Macromol. Chem. Phys. 2006, 207, 20–25. [Google Scholar] [CrossRef]
- Vyazovkin, S. Jeziorny Method Should Be Avoided in Avrami Analysis of Nonisothermal Crystallization. Polymers 2023, 15, 197. [Google Scholar]
- Qu, D.; Cai, J.; Huang, F.; Zhang, J.; Zuo, H.; Sun, S.; Liu, J.; Bai, Y. High-Performance Optical PET Analysis via Non-Isothermal Crystallization Kinetics. Polymers 2022, 14, 3044. [Google Scholar] [CrossRef] [PubMed]
- Barati, A.; Wang, P.; Liu, S.; Dashtimoghadam, E. Reactive Blending of Recycled Poly(ethylene terephthalate)/Recycled Polypropylene: Kinetics Modeling of Non-Isothermal Crystallization. ACS Omega 2023, 8, 15062–15074. [Google Scholar] [CrossRef] [PubMed]
- Wang, Z.; Wang, J.; Pang, Y.; Zhu, J.; Zheng, W. Comparing non-isothermal melt and cold crystallization behavior and kinetics of poly(ethylene 2,5-furandicarboxylate-co-ethylene terephthalate) copolyesters. J. Mater. Sci. 2022, 57, 17503–17516. [Google Scholar] [CrossRef]
- Gaonkar, A.A.; Murudkar, V.V.; Deshpande, V.D. Comparison of crystallization kinetics of polyethylene terephthalate (PET) and reorganized PET. Thermochim. Acta 2020, 683, 178472. [Google Scholar] [CrossRef]
- Wang, Y.; Shen, C.; Li, H.; Li, Q.; Chen, J. Nonisothermal melt crystallization kinetics of poly(ethylene terephthalate)/clay nanocomposites. J. Appl. Polym. Sci. 2004, 91, 308–314. [Google Scholar] [CrossRef]
- Kim Piew, C.; Gan, S.N.; Chee, K.K. Determination of avrami exponent by differential scanning calorimetry for non-isothermal crystallization of polymers. Polymer 1999, 40, 253–259. [Google Scholar] [CrossRef]
- Fu, Y.; Huo, C.; Liu, S.; Li, K.; Meng, Y. Non-Isothermal Crystallization Kinetics of Montmorillonite/Polyamide 610 Nanocomposites. Nanomaterials 2023, 13, 1814. [Google Scholar] [CrossRef]
- Liu, Q.; Li, R.; Fang, T. Investigating and modeling PET methanolysis under supercritical conditions by response surface methodology approach. Chem. Eng. J. 2015, 270, 535–541. [Google Scholar] [CrossRef]
- Montgomery, A.J.; Thielemans, K.; Mehta, M.A.; Turkheimer, F.; Mustafovic, S.; Grasby, P.M. Correction of Head Movement on PET Studies: Comparison of Methods. J. Nucl. Med. 2006, 47, 1936–1944. [Google Scholar]
- Wellen, R.M.R.; Canedo, E.L. On the Kissinger equation and the estimate of activation energies for non-isothermal cold crystallization of PET. Polym. Test. 2014, 40, 33–38. [Google Scholar] [CrossRef]
- Pilawka, R.; Paszkiewicz, S.; Rosłaniec, Z. Thermal degradation kinetics of PET/SWCNTs nanocomposites prepared by the in situ polymerization. J. Therm. Anal. Calorim. 2014, 115, 451–460. [Google Scholar] [CrossRef]
- Vyazovkin, S. Is the Kissinger Equation Applicable to the Processes that Occur on Cooling? Macromol. Rapid Commun. 2002, 23, 771–775. [Google Scholar] [CrossRef]












| Sample Name | PET (wt%) | PETN (wt%) |
|---|---|---|
| PET | 100 | 0 |
| PEN-0.9% | 90 | 10 |
| PEN-1.8% | 80 | 20 |
| PEN-9% | 0 | 100 |
| Sample | Intrinsic Viscosity (dL/g) | Carboxyl End-Group Content (mol/t) | Diethylene Glycol Content (%) |
|---|---|---|---|
| PET | 0.798 | 11.9 | 0.63 |
| PEN-0.9% | 0.601 | 20.7 | 0.73 |
| PEN-1.8% | 0.671 | 15.4 | 0.60 |
| PEN-9% | 0.588 | 9.9 | 0.60 |
| Sample | Tg (°C) | Tc (°C) | Tm (°C) | Xc (%) |
|---|---|---|---|---|
| PET | 80.9 | 210.0 | 256.8 | 49.4 |
| PEN-0.9% | 81.7 | 189.1 | 248.1 | 32.1 |
| PEN-1.8% | 82.4 | 179.4 | 246.3 | 29.1 |
| PEN-9% | 84.5 | 173.6 | 239.2 | 25.5 |
| Sample | Φ (°C/min) | T0 (°C) | Tc (°C) | Te (°C) | ΔHc * (J/g) | t1/2 (min) |
|---|---|---|---|---|---|---|
| PET | 5 | 233.4 | 215.1 | 201.7 | 39.9 | 3.52 |
| 10 | 230.3 | 211.1 | 188.0 | 37.8 | 1.94 | |
| 20 | 226.0 | 210.1 | 186.1 | 29.7 | 0.83 | |
| 40 | 222.0 | 202.2 | 156.4 | 9.8 | 0.54 | |
| PEN-0.9% | 5 | 209.7 | 190.2 | 158.0 | 32.6 | 4.39 |
| 10 | 208.7 | 181.9 | 136.3 | 31.1 | 3.00 | |
| 20 | 205.6 | 170.1 | 129.4 | 26.0 | 1.88 | |
| 40 | 192.5 | 155.6 | 99.9 | 21.2 | 1.05 | |
| PEN-1.8% | 5 | 206.7 | 185.1 | 149.9 | 31.1 | 4.86 |
| 10 | 203.9 | 174.5 | 125.9 | 26.7 | 3.25 | |
| 20 | 199.6 | 160.5 | 110.4 | 19.1 | 2.07 | |
| 40 | 188.1 | 140.6 | 102.6 | 10.3 | 1.10 | |
| PEN-9% | 5 | 198.6 | 176.0 | 142.0 | 28.0 | 5.13 |
| 10 | 194.5 | 166.5 | 131.6 | 20.0 | 3.06 | |
| 20 | 185.9 | 156.3 | 119.9 | 6.9 | 1.57 | |
| 40 | 177.4 | 139.1 | 108.4 | 4.1 | 0.88 |
| Sample | Φ (°C/min) | Tg (°C) | Tcc (°C) | ΔHcc * (J/g) | Tm (°C) | ΔHm * (J/g) |
|---|---|---|---|---|---|---|
| PET | 5 | 82.18 | 175.21 | 2.58 | 242.69 | 21.31 |
| 10 | 81.42 | 172.88 | 6.87 | 244.01 | 23.03 | |
| 20 | 81.45 | 172.47 | 12.77 | 244.68 | 23.39 | |
| 40 | 81.38 | 172.58 | 17.55 | 245.34 | 24.74 | |
| PEN-0.9% | 5 | 82.46 | / | / | 238.90 | 25.06 |
| 10 | 83.65 | / | / | 244.51 | 28.73 | |
| 20 | 82.62 | 147.98 | 2.84 | 245.10 | 31.01 | |
| 40 | 80.67 | 145.02 | 13.34 | 245.70 | 31.36 | |
| PEN-1.8% | 5 | 83.69 | / | / | 240.61 | 25.09 |
| 10 | 83.08 | / | / | 243.22 | 26.75 | |
| 20 | 82.28 | 155.36 | 7.89 | 243.84 | 27.52 | |
| 40 | 81.26 | 152.41 | 20.17 | 244.14 | 30.04 | |
| PEN-9% | 5 | 86.57 | / | / | 234.46 | 25.00 |
| 10 | 83.37 | 170.59 | 1.97 | 235.77 | 30.04 | |
| 20 | 83.71 | 165.63 | 12.99 | 236.77 | 26.10 | |
| 40 | 83.14 | 163.34 | 21.22 | 237.10 | 26.65 |
| Sample | Φ (°/min) | n1 | Zc1 | R21 | n2 | Zc2 | R22 |
|---|---|---|---|---|---|---|---|
| PET | 5 | 2.496 | 0.193 | 0.952 | 3.110 | 0.179 | 0.997 |
| 10 | 2.982 | 0.343 | 0.989 | 1.858 | 0.682 | 0.989 | |
| 20 | 3.367 | 1.017 | 0.985 | 2.250 | 1.225 | 0.992 | |
| 40 | 3.272 | 1.741 | 0.951 | 1.879 | 1.628 | 0.994 | |
| PEN-0.9% | 5 | 2.669 | 0.141 | 0.976 | 2.877 | 0.134 | 0.999 |
| 10 | 2.997 | 0.184 | 0.978 | 2.627 | 0.245 | 0.990 | |
| 20 | 3.207 | 0.312 | 0.973 | 3.443 | 0.310 | 0.991 | |
| 40 | 2.511 | 0.794 | 0.996 | 3.214 | 0.699 | 0.989 | |
| PEN-1.8% | 5 | 2.933 | 0.106 | 0.995 | 2.968 | 0.106 | 0.991 |
| 10 | 2.960 | 0.171 | 0.985 | 2.648 | 0.171 | 0.987 | |
| 20 | 2.981 | 0.309 | 0.985 | 3.165 | 0.309 | 0.992 | |
| 40 | 2.548 | 0.773 | 0.995 | 3.728 | 0.773 | 0.992 | |
| PEN-9% | 5 | 2.306 | 0.154 | 0.971 | 2.737 | 0.113 | 0.992 |
| 10 | 2.495 | 0.236 | 0.973 | 3.076 | 0.175 | 0.995 | |
| 20 | 2.108 | 0.547 | 0.973 | 3.002 | 0.435 | 0.995 | |
| 40 | 1.771 | 0.944 | 0.974 | 3.868 | 0.859 | 0.993 |
| Sample | X(t), % | F (T) | α | R2 |
|---|---|---|---|---|
| PET | 10 | 11.184 | 1.102 | 0.988 |
| 30 | 15.787 | 1.056 | 0.987 | |
| 50 | 19.016 | 1.063 | 0.986 | |
| 70 | 22.561 | 1.088 | 0.985 | |
| 90 | 29.229 | 1.159 | 0.981 | |
| PEN-0.9% | 10 | 20.098 | 1.297 | 0.953 |
| 30 | 33.171 | 1.397 | 0.979 | |
| 50 | 45.783 | 1.443 | 0.991 | |
| 70 | 61.301 | 1.463 | 0.996 | |
| 90 | 86.191 | 1.462 | 0.994 | |
| PEN-1.8% | 10 | 21.328 | 1.246 | 0.966 |
| 30 | 35.406 | 1.336 | 0.981 | |
| 50 | 48.405 | 1.381 | 0.987 | |
| 70 | 62.589 | 1.379 | 0.991 | |
| 90 | 81.306 | 1.325 | 0.988 | |
| PEN-9% | 10 | 15.089 | 0.978 | 0.989 |
| 30 | 25.517 | 1.123 | 0.996 | |
| 50 | 34.623 | 1.163 | 0.998 | |
| 70 | 43.848 | 1.157 | 0.999 | |
| 90 | 56.418 | 1.128 | 0.999 |
| Sample | ΔE (kJ/mol) |
|---|---|
| PET | −26.23 |
| PEN-0.9% | −13.09 |
| PEN-1.8% | −11.48 |
| PEN-9% | −12.21 |
Disclaimer/Publisher’s Note: The statements, opinions and data contained in all publications are solely those of the individual author(s) and contributor(s) and not of MDPI and/or the editor(s). MDPI and/or the editor(s) disclaim responsibility for any injury to people or property resulting from any ideas, methods, instructions or products referred to in the content. |
© 2025 by the authors. Licensee MDPI, Basel, Switzerland. This article is an open access article distributed under the terms and conditions of the Creative Commons Attribution (CC BY) license (https://creativecommons.org/licenses/by/4.0/).
Share and Cite
Liang, Q.; Wang, K.; Jiang, Y.; Li, G.; Yang, F.; Cao, Y.; Xiang, M. Investigation on Non-Isothermal Crystallization Kinetics of Polyethylene Terephthalate-Polyethylene Naphthalate Blends. Polymers 2025, 17, 2893. https://doi.org/10.3390/polym17212893
Liang Q, Wang K, Jiang Y, Li G, Yang F, Cao Y, Xiang M. Investigation on Non-Isothermal Crystallization Kinetics of Polyethylene Terephthalate-Polyethylene Naphthalate Blends. Polymers. 2025; 17(21):2893. https://doi.org/10.3390/polym17212893
Chicago/Turabian StyleLiang, Qianqian, Kexin Wang, Yong Jiang, Guilin Li, Feng Yang, Ya Cao, and Ming Xiang. 2025. "Investigation on Non-Isothermal Crystallization Kinetics of Polyethylene Terephthalate-Polyethylene Naphthalate Blends" Polymers 17, no. 21: 2893. https://doi.org/10.3390/polym17212893
APA StyleLiang, Q., Wang, K., Jiang, Y., Li, G., Yang, F., Cao, Y., & Xiang, M. (2025). Investigation on Non-Isothermal Crystallization Kinetics of Polyethylene Terephthalate-Polyethylene Naphthalate Blends. Polymers, 17(21), 2893. https://doi.org/10.3390/polym17212893
