Sign in to use this feature.

Years

Between: -

Subjects

remove_circle_outline
remove_circle_outline
remove_circle_outline
remove_circle_outline
remove_circle_outline
remove_circle_outline
remove_circle_outline
remove_circle_outline
remove_circle_outline

Journals

remove_circle_outline
remove_circle_outline
remove_circle_outline
remove_circle_outline

Article Types

Countries / Regions

remove_circle_outline
remove_circle_outline
remove_circle_outline
remove_circle_outline

Search Results (473)

Search Parameters:
Keywords = hydrothermal resources

Order results
Result details
Results per page
Select all
Export citation of selected articles as:
27 pages, 9620 KB  
Article
Stochastic Inversion of Hydrothermal Properties in Heterogeneous Porous Media
by Doan Thi Thanh Thuy, Chuen-Fa Ni, Nguyen Hoang Hiep, Hong-Son Vo, Thai-Vinh-Truong Nguyen, Le Nhu Y and Minh-Quan Dang
Water 2025, 17(24), 3544; https://doi.org/10.3390/w17243544 - 14 Dec 2025
Abstract
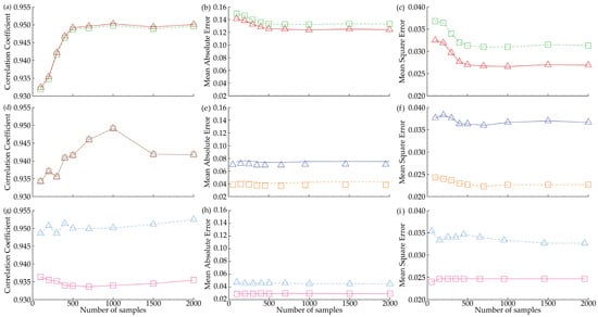
Permeability, thermal conductivity, and porosity distribution are key factors to control groundwater flow and heat transport in porous media. The parameter estimation procedure is widely used to understand flow and transport behavior in geothermal systems. As recognized in most studies, this parameter estimation [...] Read more.
Permeability, thermal conductivity, and porosity distribution are key factors to control groundwater flow and heat transport in porous media. The parameter estimation procedure is widely used to understand flow and transport behavior in geothermal systems. As recognized in most studies, this parameter estimation relies on the quality and quantity of spatiotemporal measurements. With the typically limited resources for conducting field investigations, understanding suitable sampling strategies is crucial before applying a model to site-specific conditions. This study aims to quantify uncertainties in hydro-thermal properties using Monte Carlo Simulation (MCS) and Ensemble Kalman Filter (EnKF). A synthetic two-dimensional aquifer profile is used to evaluate the accuracy of the estimated hydrothermal properties in accounting for variations in groundwater temperature resulting from cross-hole pumping and injection events. Based on the calculations of the mean absolute and squared errors for estimated hydrothermal properties, EnKF generally leads to more accurate estimates of hydrothermal properties than MCS. Furthermore, EnKF strikes a balance between accuracy and efficiency, making it the most effective method. This study highlights the strengths and limitations of each method, providing valuable insights for selecting appropriate inversion techniques to quantify uncertainties in geothermal systems. Additionally, well spacing and open screen locations are recommended to obtain optimal thermal energy in the geothermal system Full article
Show Figures

Figure 1

14 pages, 2253 KB  
Article
Geochemical Characteristics and Genetic Origin of Tight Sandstone Gas in the Daning–Jixian Block, Ordos Basin
by Bo Wang, Ming Chen, Haonian Tian, Junyi Sun, Lei Liu, Xing Liang, Benliang Chen, Baoshi Yu, Zhuo Zhang and Zhenghui Qu
Processes 2025, 13(12), 4019; https://doi.org/10.3390/pr13124019 - 12 Dec 2025
Viewed by 100
Abstract
Tight sandstone gas constitutes a strategically significant resource in the exploration of unconventional hydrocarbon systems. Current understanding of the geochemical composition and genesis of tight sandstone gas in the Daning–Jixian Block, southeastern Ordos Basin, is insufficient, which hampers a comprehensive assessment of its [...] Read more.
Tight sandstone gas constitutes a strategically significant resource in the exploration of unconventional hydrocarbon systems. Current understanding of the geochemical composition and genesis of tight sandstone gas in the Daning–Jixian Block, southeastern Ordos Basin, is insufficient, which hampers a comprehensive assessment of its resource potential. This study is the first to systematically investigate the geochemical characteristics and genetic origin of high-maturity tight sandstone gas in the southeastern Ordos Basin’s Daning–Jixian Block. Gas specimens were systematically acquired from multiple stratigraphic units within the reservoir interval and subjected to compositional and carbon–hydrogen isotope analysis. Compared with other gas fields in the Ordos Basin, the Daning–Jixian Block has higher average methane concentration, and notably lower ethane and propane concentrations; its average δ13C1 and δ2H-CH4 is heavier, while δ13C2 and δ13C3 are lighter. Based on the δ13C12H-CH4 diagram, all gas samples from the block and other basin gas fields fall into the geothermal, hydrothermal and crystalline gas domain, indicating gas genesis associated with over-mature organic matter interacting with external hydrogen. Milkov genetic diagram analysis reveals that the natural gas consists of primarily early-stage kerogen-cracking gas, with a minor contribution from crude oil-derived gas originating from Carboniferous–Permian source rocks. Notably, samples from Daning–Jixian exhibit a unique δ13C1 > δ13C2 reversal, attributed to mixing effects between gas from highly mature kerogen and gas from secondary cracking of crude oil. Consequently, ethane carbon isotopes alone are insufficient for definitive genetic classification. These findings provide a new geochemical interpretation framework for analogous high-maturity tight gas reservoirs. Full article
(This article belongs to the Special Issue Applications of Intelligent Models in the Petroleum Industry)
Show Figures

Figure 1

25 pages, 11596 KB  
Article
A Region-Adaptive Phenology-Aware Network for Perennial Cash Crop Mapping Using Multi-Source Time-Series Remote Sensing
by Yujuan Yang, Shi Cao, Xia Lu, Lina Ping, Xiang Fan, Meiling Liu, Qin Yang and Xiangnan Liu
Remote Sens. 2025, 17(24), 4011; https://doi.org/10.3390/rs17244011 - 12 Dec 2025
Viewed by 76
Abstract
Monitoring and identifying perennial cash crops is essential for optimizing agricultural resource allocation and supporting sustainable rural development. However, cross-regional recognition remains challenging due to cloud contamination, irregular mountainous topography, and climatic-driven phenological shifts. To address these issues, we propose a Region-Adaptive Multi-Head [...] Read more.
Monitoring and identifying perennial cash crops is essential for optimizing agricultural resource allocation and supporting sustainable rural development. However, cross-regional recognition remains challenging due to cloud contamination, irregular mountainous topography, and climatic-driven phenological shifts. To address these issues, we propose a Region-Adaptive Multi-Head Phenology-Aware Network (RAM-PAMNet) that incorporates three key innovations. First, a Multi-source Temporal Attention Fusion (MTAF) module dynamically fuses Sentinel-1 SAR and Sentinel-2 optical time series to enhance temporal consistency and cloud robustness. Second, a Region-Aware Module (RAM) encodes topographic and climatic factors to adaptively adjust phenological windows across regions. Third, a Multi-Head Phenology-Aware Module (MHA-PAM) captures short-, mid-, and long-term phenological rhythms while integrating region-modulated attention for adaptive feature learning. The model was trained and validated in Changde, Hunan (694 patches; augmented to 2776; 70%/15%/15% split) and independently tested in Yaan, Sichuan (574 patches), two regions with contrasting elevation, terrain complexity, and hydrothermal regimes. RAM-PAMNet achieved an OA of 83.3%, mean F1 of 78.8%, and mIoU of 65.4% in Changde, and maintained strong generalization in Yaan with an mIoU of 59.2% and a DecayRate of 9.5, outperforming all baseline models. These results demonstrate that RAM-PAMNet effectively mitigates regional phenological mismatches and improves perennial crop mapping across heterogeneous environments. The proposed framework provides an interpretable and region-adaptive solution for large-scale monitoring of tea, citrus, and grape. Full article
Show Figures

Figure 1

19 pages, 9483 KB  
Article
Application of Portable X-Ray Fluorescence Analysis in Mineral Exploration: A Case Study from Cimabanshuo Porphyry Copper Deposit
by Zheming Li, Naiying Wei, Miao Li, Song Wu, Hao Li and Peng Liu
Minerals 2025, 15(12), 1286; https://doi.org/10.3390/min15121286 - 7 Dec 2025
Viewed by 183
Abstract
The Cimabanshuo deposit, situated in the western Gangdese Belt, is a recently discovered porphyry Cu deposit formed in a post-collisional setting, approximately 10 km from the giant Zhunuo porphyry Cu deposit. Despite its proximity to Zhunuo, Cimabanshuo remains poorly studied, and the current [...] Read more.
The Cimabanshuo deposit, situated in the western Gangdese Belt, is a recently discovered porphyry Cu deposit formed in a post-collisional setting, approximately 10 km from the giant Zhunuo porphyry Cu deposit. Despite its proximity to Zhunuo, Cimabanshuo remains poorly studied, and the current exploration depth of 600 m leaves the potential for deeper resources uncertain. In this study, 840 samples from four drill holes along the NW-SE section (A-A′) were analyzed using portable X-ray fluorescence (pXRF). Based on the geochemical characteristics of primary halos, the deep mineralization potential of Cimabanshuo was evaluated. The results show that Co, Pb, and Ag are near-ore indicator elements; Zn, Cs, Hg, Sb, As, and Ba represent the frontal elements; and Te, Sn, and Bi occur as tail elements. Based on these distributions, a 14-element zoning sequence is defined along the A-A′ profile according to Gregorian’s zoning index, showing Mo-Co-Cu-Pb-Bi-Ag-Sn-Te-Sb-Hg-Cs-Zn-Ba-As from shallow to deep. This sequence shows a distinct reverse zonation pattern, in which tail elements occur in the middle and frontal elements appear at depth, suggesting the existence of a concealed ore body in the lower part of the deposit. Horizontally, the geochemical ratios Ag/Mo and Ag/Cu decrease from northwest to southeast along the profile, implying hydrothermal flow from southeast to northwest. Vertically, the ratios As/Bi, (As × Cs)/(Bi × Te), (As × Ba)/(Bi × Sn), and (As × Ba × Cs)/(Bi × Sn × Te) display a downward-decreasing then upward-increasing trend, further indicating hidden mineralization at depth. This inference is supported by the predominance of propylitic alteration and the deep polarization anomaly revealed by audio-magnetotelluric imaging. pXRF analysis provides a fast, efficient, and environmentally friendly approach, showing strong potential for rapid geochemical evaluation in porphyry Cu exploration. Full article
(This article belongs to the Section Mineral Exploration Methods and Applications)
Show Figures

Figure 1

21 pages, 13381 KB  
Article
Research on Grassland Classification Method in Water Conservation Areas of the Qinghai–Tibet Plateau Based on Multi-Source Data Fusion
by Kexin Yan, Yueming Hu, Lu Wang, Xiaoyan Huang, Runyan Zou, Liangjun Zhao, Fan Yang and Taibin Wen
Agriculture 2025, 15(23), 2503; https://doi.org/10.3390/agriculture15232503 - 1 Dec 2025
Viewed by 258
Abstract
The Qinghai–Tibet Plateau is a crucial ecological security barrier in China and Asia. Its grassland ecosystem has high ecological service value. Scientific assessments and classifications of grasslands are crucial for determining the value of grassland resources and implementing refined management. Traditional grassland classification [...] Read more.
The Qinghai–Tibet Plateau is a crucial ecological security barrier in China and Asia. Its grassland ecosystem has high ecological service value. Scientific assessments and classifications of grasslands are crucial for determining the value of grassland resources and implementing refined management. Traditional grassland classification methods have used expert knowledge and linear models, which are subjective and cannot describe complex nonlinear relationships. We conducted a case study in Hongyuan County, Sichuan Province, in the water conservation area of the Qinghai–Tibet Plateau, using multi-source data including Landsat 8 (15 m/30 m), MOD15A2 (500 m), ALOS imagery (12.5 m), and 435 field survey samples, combined with machine learning models such as convolutional neural network (CNN), extreme gradient boosting (XGBoost), light gradient boosting machine (LightGBM), histogram gradient boosting (HistGradientBoosting), and random forest (RF). The objective was to develop a novel grassland classification method that integrates multi-source remote sensing data with machine learning algorithms. Based on the evaluation metrics of SHAP values, mean annual precipitation (MAP, 0.675), >0 °C Accumulated Temperature (AT, 0.591), and aspect (ASPECT, 0.548) were the most critical factors influencing alpine grasslands, revealing a driving mechanism characterized by climate dominance, topographic regulation, soil support, and vegetation response. The XGBoost model demonstrated the best performance (with an accuracy of 0.829, Precision of 0.818, Recall of 0.829, weighted F1-score of 0.820, and an AUC value of 0.870). The pixel-by-pixel absolute difference calculation between the model-predicted and the actual classification results showed that regions with no discrepancy (absolute value = 0) accounted for 75.82%, those with a minor discrepancy (absolute value = 1) accounted for 23.63%, and regions with a major discrepancy (absolute value = 2) accounted for only 0.54%. This study has established a replicable paradigm for the precise management and conservation of alpine grassland resources. Through the synergistic application of deep learning and machine learning, it generated superior baseline data, quantitatively uncovered a grassland differentiation mechanism dominated by hydrothermal factors and fine-tuned by topography in the complex Qinghai–Tibet Plateau, and delivered high-precision spatial distribution maps of grassland classes. Full article
Show Figures

Figure 1

13 pages, 4990 KB  
Article
Effect of the Alkali Pretreatment on the Structure and Properties of Bamboo-Based Porous Molding Materials
by Baoyong Liu, Weichen Li, Xiaowei Zhuang, Xin Pan, Hui Qiao and Yongshun Feng
Polymers 2025, 17(23), 3166; https://doi.org/10.3390/polym17233166 - 28 Nov 2025
Viewed by 346
Abstract
The development of novel materials from biomass is a potential alternative to replace traditional petrochemical resources. In accordance with the “Bamboo Substitute Plastic” initiative, bamboo-based lightweight porous materials are a class of foam materials fully prepared from biomass resources with a lightweight and [...] Read more.
The development of novel materials from biomass is a potential alternative to replace traditional petrochemical resources. In accordance with the “Bamboo Substitute Plastic” initiative, bamboo-based lightweight porous materials are a class of foam materials fully prepared from biomass resources with a lightweight and high-strength structure. However, issues such as excessive lignin content and uneven pore structure distribution within these materials hinder their application. This study utilized bamboo powder as a raw material to prepare lightweight, porous molding materials through a hydrothermal grinding process. The influence of different concentrations of alkaline pretreatment was investigated. The fabricated molding material had a density of 0.36–0.49 g/cm3 at 80 °C and 0.32–0.38 g/cm3 at 105 °C. Samples dried at 80 °C had a water absorption of 161% to 304%, while those dried at 105 °C had a water absorption of 223% to 305%. The wet swelling was characterized by volume expansion from 6.2% to 7.7%. The surface of the molding materials became increasingly homogeneous without any cracks due to the alkali pretreatment. FTIR data showed that more surface hydroxyl groups were observed after alkaline pretreatment, and some carbonyl groups in the hemicellulose structure were removed; meanwhile, the crystallinity index after alkaline pretreatment was higher than that of untreated bamboo. The alkali solution was proposed to remove part of the lignin and improve the fibrillation degree of the bamboo fibers. The highest tensile strength of the samples was 9.63 MPa, while the highest compressive strength obtained was 0.92 MPa under the alkali treatment. With lightweight and fully degradable properties, the bamboo-based porous molding materials have promising application prospects in environmental protection, construction, packaging, and related fields. Full article
Show Figures

Figure 1

38 pages, 13323 KB  
Review
Pockmark Distribution and Genesis in the Mediterranean and Black Seas: A Regional Synthesis
by Daniele Spatola, Martin Torvald Hovland, Daniele Casalbore, Marzia Rovere, Francesco Latino Chiocci, Stéphanie Dupré, Gemma Ercilla, Aaron Micallef, George Papatheodorou, Attilio Sulli and Juan Tomás Vázquez
Geosciences 2025, 15(12), 448; https://doi.org/10.3390/geosciences15120448 - 27 Nov 2025
Viewed by 430
Abstract
Pockmarks are ubiquitous seafloor depressions formed by the fluid/gas seepage through marine sediments, with implications for geohazards, benthic ecosystems, and climate-related processes. Despite extensive research, the mechanisms controlling the formation and spatial distribution of pockmarks are not completely understood, owing to the diverse [...] Read more.
Pockmarks are ubiquitous seafloor depressions formed by the fluid/gas seepage through marine sediments, with implications for geohazards, benthic ecosystems, and climate-related processes. Despite extensive research, the mechanisms controlling the formation and spatial distribution of pockmarks are not completely understood, owing to the diverse and site-specific geo-environmental conditions. In this study, we provide a first review of over 7500 pockmarks mapped across the Mediterranean and Black seas, showing their relationship with depth range, slope gradient, seafloor lithology, proximity to tectonic faults, and sediment thickness. Our analysis reveals that pockmarks are predominantly located at intermediate water depths (100–700 m), with two main clusters around 100–200 and 500–700 m. They are commonly found on gently sloping seafloor (<4°), often clustering around slope breaks. In detail, two slope-related peaks around 1.5° and 3.5° suggest distinct geological settings for pockmark formation: sediment-rich and low-energy environments versus more dynamic slope domains. Fault proximity plays a critical role, with over 40% of pockmarks occurring within 1 km of mapped faults, indicating that structural discontinuities act as preferential fluid pathways. Pockmarks concentrate in areas with moderate Plio-Quaternary sediment thickness (300–600 m), suggesting an optimal window for overpressure generation and fluid expulsion. A strong lithological control is evident: 74% of pockmarks occur on muddy sand or sand-rich substrates. In terms of ongoing to recent seepage/activity, ~27% of pockmarks show evidence of ongoing fluid seepage (e.g., acoustic gas flares, seismic wipeouts), particularly in regions such as the Black Sea, Aegean, and Central Tyrrhenian, where faulting, salt tectonics, or hydrothermal systems enhance permeability. Conversely, pockmarks in the Western Mediterranean appear to be generally inactive and buried. These findings underscore the influence of tectono-sedimentary architecture on seafloor fluid escape and provide essential insight into methane seepage, slope stability, and benthic habitats. This pedagogic review enhances our understanding of pockmark systems and establishes a foundation for future geohazard assessment, climate studies, and marine resource exploration. Full article
Show Figures

Figure 1

15 pages, 3473 KB  
Article
Heat Extraction Optimization of Well Clusters for Hydrothermal Reservoir Development
by Xiangchun Li, Junlin Yi, Gaosheng Wang, Qian Wei, Shuang Li, Qiliang Cui and Jialin Zhao
Processes 2025, 13(12), 3791; https://doi.org/10.3390/pr13123791 - 24 Nov 2025
Viewed by 308
Abstract
In recent years, hydrothermal geothermal resources have been predominantly exploited through well cluster systems, achieving extensive commercial implementation. The efficient development of such systems remains critically dependent on the comprehensive characterization of regional geological conditions, as multiple subsurface parameters—including stratal thickness, structural relief, [...] Read more.
In recent years, hydrothermal geothermal resources have been predominantly exploited through well cluster systems, achieving extensive commercial implementation. The efficient development of such systems remains critically dependent on the comprehensive characterization of regional geological conditions, as multiple subsurface parameters—including stratal thickness, structural relief, porosity–permeability distribution, and fault architecture—exert substantial control over reservoir performance. However, the effective integration of these geological factors to optimize well network configurations, balancing economic viability, power output, and other evaluation metrics to enhance heat extraction efficiency and delay thermal breakthrough, remains unresolved. This study aimed to identify the optimal well cluster for hydrothermal geothermal resources in the X region. Geological, drilling, and well-logging data were compiled to construct a region-specific geological model. A coupled numerical model of fluid flow and heat transfer was developed for a five-spot well pattern. System performances under two commonly applied injection-to-production ratios (2:3 and 1:4) and spatial configurations between injection and production wells were quantified. A multi-criteria evaluation framework integrating heat extraction power, injection–production pressure difference, and production temperature decline was implemented to holistically assess well cluster. An integrated weighting strategy combining subjective expertise and objective analytical criteria was implemented alongside the TOPSIS method to systematically identify the optimal wellfield configuration. Results demonstrate that Pattern 11, comprising three injection wells and two production wells, achieved superior comprehensive performance among 15 patterns, with heat extraction power 24.13 MW, and production temperature decline <1 °C and injection–production pressure difference <3 MPa. Full article
(This article belongs to the Section Energy Systems)
Show Figures

Figure 1

17 pages, 2215 KB  
Article
Hydrothermal Treatment of Sewage Sludge Under Different Process Conditions with a Focus on Energy Properties and Resource Recovery
by Klaudia Szkadłubowicz, Joanna Mikusińska, Artur Pozarlik and Małgorzata Wilk
Energies 2025, 18(22), 6071; https://doi.org/10.3390/en18226071 - 20 Nov 2025
Viewed by 410
Abstract
Hydrothermal carbonization (HTC) is an effective method for processing wet sewage sludge without prior drying. This study investigates the influence of temperature (200 °C and 210 °C), residence time (15 and 30 min), and pH (neutral and acidic, pH = 2) on the [...] Read more.
Hydrothermal carbonization (HTC) is an effective method for processing wet sewage sludge without prior drying. This study investigates the influence of temperature (200 °C and 210 °C), residence time (15 and 30 min), and pH (neutral and acidic, pH = 2) on the properties of hydrochar and the liquid fraction. Increasing process severity enhanced carbonization, increasing carbon content from 36% in raw sludge to 43% in acidified samples. Under neutral HTC conditions, ash content exceeded 40%, while acidic conditions reduced it to 28%, indicating mineral dissolution and transfer into the liquid phase. Hydrogen and nitrogen contents remained within 3–6%, contributing to the fuel characteristics. The solid yield decreased from 1.04% in raw sludge to 0.22–0.37% after HTC, confirming intensified organic matter conversion. Acidic conditions significantly improved nutrient release to the liquid phase. PO43− concentration increased from 337 to 375 mg/L under neutral conditions to over 675 mg/L, while P2O5 exceeded 509 mg/L. Conductivity rose from approximately 2.0 to 4.25 mS/cm, reflecting high ionic content. These results highlight the potential of the liquid fraction as a nutrient-rich stream that can be used for fertilizer recovery, particularly via struvite precipitation, and confirm that precise HTC parameter control supports resource recovery in line with circular economy principles. Full article
(This article belongs to the Special Issue Biomass, Biofuels and Waste: 3rd Edition)
Show Figures

Figure 1

30 pages, 20231 KB  
Article
Effect of Sedimentary Environment on Mudrock Lithofacies and Organic Matter Enrichment in a Freshwater Lacustrine Basin: Insight from the Triassic Chang 7 Member in the Ordos Basin, China
by Meizhou Zhang, Xiaomin Zhu, Wenming Ji, Xingyue Lin and Lei Ye
Sustainability 2025, 17(22), 10248; https://doi.org/10.3390/su172210248 - 16 Nov 2025
Viewed by 323
Abstract
Gradually replacing fossil fuels with renewable energy constitutes a long-term strategy for achieving sustainable development. In the short term, it is necessary to explore unconventional oil and gas resources to support current economic sustainability and to secure essential time for the energy transition. [...] Read more.
Gradually replacing fossil fuels with renewable energy constitutes a long-term strategy for achieving sustainable development. In the short term, it is necessary to explore unconventional oil and gas resources to support current economic sustainability and to secure essential time for the energy transition. With the continuous growth in global energy demand, unconventional resources such as shale oil and shale gas have become important alternative energy sources. Lacustrine mudrock successions demonstrate significant potential for unconventional oil and gas resources. However, the unclear understanding of how paleoenvironmental evolution influences lithofacies and organic matter enrichment restricts the optimization of shale oil reservoirs and evaluation of shale oil resources, thereby hindering the progress of lacustrine shale oil exploration and development. The mudrocks in the Chang 7 Member of the Triassic Yanchang Formation, Ordos Basin, were deposited in a pro-delta to a deep lacustrine environment and are rich in shale oil resources. Through petrographic, sedimentological, sequence stratigraphic, and geochemical analyses, this study reveals how the evolution of the paleoenvironment controlled the development of mudrocks and the enrichment of organic matter, and establishes a sedimentary model for freshwater lacustrine systems. Six lithofacies have been identified within the mudrock interval of the Chang 7 Member. According to the T-R (transgressive–regressive) sequence model, the Chang 7 Member can be subdivided into three fourth-order sequences, termed Parasequence Set 1–3 (PPS1–3). Mudrock is predominantly developed in the fourth-order sequences PSS1 and PSS2. The PSS1 and the lower part of PSS2 consist of lithofacies 1–4, representing semi-deep to deep lacustrine deposits. The upper part of PSS2 develops lithofacies 5, representing shallow lacustrine to pro-delta deposits. Fluctuations of the lake level controlled the vertical stacking of lithofacies and the transition in depositional mechanisms. During lake-level rise, bottom currents shifted to suspension settling, whereas the opposite occurred during lake-level fall. The organic matter is derived from algae, and its enrichment is jointly controlled by productivity and the redox conditions. Volcanic–hydrothermal activity and a humid climate promoted high productivity in the water body. This high productivity promotes dyoxic conditions in the bottom water. Fourth-order relative lake-level fluctuations also influence organic matter enrichment. During lake-level rise, increased productivity coupled with reduced consumption and dilution favors organic matter enrichment. Conversely, organic matter accumulation is inhibited during lake-level fall. Ultimately, a depositional model for a freshwater lacustrine basin under a humid to semi-humid climatic background was established. This paper elucidates the influence of sedimentary environment on mudrock lithofacies and organic matter enrichment, providing a theoretical basis for optimizing shale oil reservoir selection and resource assessment, thereby promoting efficient exploration and low-carbon development of shale oil in lacustrine basins. Full article
Show Figures

Figure 1

26 pages, 40295 KB  
Article
Geothermal Reservoir Parameter Identification by Wellbore–Reservoir Integrated Fluid and Heat Transport Modeling
by Fengyu Li, Xia Guo, Zhenxiang Xing, Haitao Cui and Xi Zhang
Water 2025, 17(22), 3269; https://doi.org/10.3390/w17223269 - 15 Nov 2025
Viewed by 493
Abstract
Efficient development of karst geothermal resources relies on the accurate identification of thermophysical and hydrogeological parameters. In this paper, the integrated wellbore–reservoir model of fluid and heat transport is applied to identify hydrothermal parameters of the karst geothermal system in Tianjin, China, based [...] Read more.
Efficient development of karst geothermal resources relies on the accurate identification of thermophysical and hydrogeological parameters. In this paper, the integrated wellbore–reservoir model of fluid and heat transport is applied to identify hydrothermal parameters of the karst geothermal system in Tianjin, China, based on multi-type field test data. A natural state model is conducted by fitting steady-state borehole temperature measurement results to identify formation thermal conductivity, while reservoir permeability is determined via the Gauss–Marquardt–Levenberg optimization algorithm based on dynamic temperature and pressure data from pumping tests. The parameter identification results indicate a reservoir permeability of 5.25 × 10−14 m2 and a corrected bottom-hole temperature of 109 °C. Subsequently, productivity optimization for actual heating demands (1.33 × 105 m2) yields an optimal heat extraction efficiency of 6.17 MW, with a flow rate of 80 m3/h, an injection well perforated length of 388 m, and an injection temperature of 30 °C. Additionally, addressing reservoir heterogeneity, the study finds that high-permeability zones between wells significantly shorten the safe operation duration of geothermal doublets, and reducing flow rate can mitigate thermal breakthrough risk to a certain extent. Full article
(This article belongs to the Section Hydrogeology)
Show Figures

Figure 1

15 pages, 5406 KB  
Article
Synthesis of Straw-Based Hydrothermal Carbonation Carbon and Its Photocatalytic Removal of Cr(VI) and Microcystin-LR
by Yu Luo, Xunxian Chen, Zhen Wan and Yingming Chen
Molecules 2025, 30(22), 4399; https://doi.org/10.3390/molecules30224399 - 14 Nov 2025
Viewed by 342
Abstract
As a cost-effective and environmentally benign photocatalyst, hydrothermal carbonation carbon (HTCC) has been extensively studied in the fields of resource utilization and environmental remediation. In this study, HTCC photocatalysts with efficient photocatalytic performances were prepared from straw using acid modification under hydrothermal conditions. [...] Read more.
As a cost-effective and environmentally benign photocatalyst, hydrothermal carbonation carbon (HTCC) has been extensively studied in the fields of resource utilization and environmental remediation. In this study, HTCC photocatalysts with efficient photocatalytic performances were prepared from straw using acid modification under hydrothermal conditions. The as-prepared HTCC photocatalysts were applied to the degradation of microcystin-LR and the reduction of aqueous Cr(VI). The critical role of acid modification in the photocatalytic performances of the HTCC photocatalysts was systematically investigated. The results demonstrated that acid-modified photocatalysts exhibited a significantly enhanced removal efficiency for Cr(VI) and microcystin-LR under visible light irradiation. A series of characterization techniques, including Raman spectroscopy and N2 adsorption–desorption analysis, revealed that the superior photocatalytic activities of acid-modified HTCC could be attributed to its higher aromatization level, enhanced light-harvesting ability, and increased concentration of active sites compared with pristine HTCC. Furthermore, electron spin resonance (ESR) and trapping experiments indicated that hydrogen radicals (·H) served as the primary active species in the photocatalytic Cr(VI) reduction of straw-based HTCC. This work provides both practical and theoretical insights into the resource utilization of agricultural waste and the remediation of environmental pollution. Full article
(This article belongs to the Special Issue Photocatalysis for Organic Pollutants Degradation)
Show Figures

Figure 1

28 pages, 18713 KB  
Article
Sustainable Design of Artificial Ground Freezing Schemes Based on Thermal-Energy Efficiency Analysis
by Jun Hu, Hanyu Dang, Ying Nie, Junxin Shi, Zhaokui Sun, Dan Zhou and Yongchang Yang
Sustainability 2025, 17(22), 10143; https://doi.org/10.3390/su172210143 - 13 Nov 2025
Viewed by 423
Abstract
To enhance the design and construction efficiency of artificial ground freezing (AGF) in water-rich sandy strata, this study takes the No. 2 cross-passage of Zhengzhou Metro Line 8 as a case study and conducts an integrated analysis combining field monitoring and numerical simulation. [...] Read more.
To enhance the design and construction efficiency of artificial ground freezing (AGF) in water-rich sandy strata, this study takes the No. 2 cross-passage of Zhengzhou Metro Line 8 as a case study and conducts an integrated analysis combining field monitoring and numerical simulation. During the freezing process, a sensor network was deployed to capture real-time data on temperature distribution and pore water pressure evolution. Based on the collected measurements, a three-dimensional hydrothermal coupled model was developed using COMSOL Multiphysics 6.1 and validated against field data. The results demonstrate a distinct multi-stage evolution in the formation of the frozen curtain, with the highest heat exchange rate observed at the initial phase. Under a 50-day freezing schedule, increasing the average coolant temperature by 4 °C still yielded a frozen wall that meets the design thickness requirement. Additionally, several cost-effective freezing schemes were explored to accommodate varying construction timelines. This study supports sustainable urban infrastructure development by minimizing energy consumption during artificial ground freezing (AGF) processes. Full article
Show Figures

Figure 1

22 pages, 3626 KB  
Article
Geochemical Fingerprints: Tracing the Origin and Evolution of the Teleghma Geothermal System, Northeastern Algeria
by Nour El Imane Benchabane, Foued Bouaicha and Ayoub Barkat
Earth 2025, 6(4), 145; https://doi.org/10.3390/earth6040145 - 11 Nov 2025
Viewed by 395
Abstract
Boreholes in the Teleghma region of northeastern Algeria discharge thermal water with temperatures between 40 and 49 °C and total dissolved solids (TDS) ranging from 570 to 940 mg/L. The stable isotope compositions range from –7.8‰ to –6.2‰ for δ18O and [...] Read more.
Boreholes in the Teleghma region of northeastern Algeria discharge thermal water with temperatures between 40 and 49 °C and total dissolved solids (TDS) ranging from 570 to 940 mg/L. The stable isotope compositions range from –7.8‰ to –6.2‰ for δ18O and –52.6‰ to –43.3‰ for δ2H, indicating a meteoric origin. Based on these isotopic signatures, the water is classified as immature and undersaturated with respect to the equilibrium line on the Giggenbach Na–K–Mg ternary diagram. The water exhibits a sodium–chloride (Na–Cl) facies, closely associated with Triassic formations rich in evaporitic deposits. This association was confirmed by the IIGR method, which illustrates the chemical evolution of the hydrothermal fluid as it ascends from the karstic carbonate reservoir through conduits and traverses clay formations. Consequently, computed saturation indices and applied inverse modeling significantly contributed to understanding the interactions between the hydrothermal water and the traversed rock. At the local scale, halite dissolution is the primary mineral phase driving chemical changes. Regionally, however, the processes are dominated by gypsum dissolution and cation exchange reactions between calcium and sodium ions. These findings offer valuable insights into the geochemical processes that shape the Teleghma geothermal system, with implications for resource management and potential applications. Full article
Show Figures

Figure 1

33 pages, 6786 KB  
Article
Spatial Distribution and Enrichment Mechanisms of Major Trace Elements in Budonquan Salt Lake from Hoh Xil Basin, Northern Tibetan Plateau
by Guang Han, Yan Hu, Qiangqiang Cui, Yuzhen Yang, Chao Lu and Jianjian Zhang
Water 2025, 17(22), 3210; https://doi.org/10.3390/w17223210 - 10 Nov 2025
Viewed by 393
Abstract
Salt lakes on the Tibetan Plateau (TP) are vital repositories of China’s strategic mineral resources, including boron and lithium. The Budongquan Salt Lake (BDQSL) in eastern Hoh Xil Basin (HXB) represents a hypersaline system with combined geothermal recharge and intense evaporation, yet its [...] Read more.
Salt lakes on the Tibetan Plateau (TP) are vital repositories of China’s strategic mineral resources, including boron and lithium. The Budongquan Salt Lake (BDQSL) in eastern Hoh Xil Basin (HXB) represents a hypersaline system with combined geothermal recharge and intense evaporation, yet its hydrochemical characteristics and B-Li enrichment mechanisms remain poorly understood. Through systematic hydrochemical and isotopic analysis (δD, δ18O, d-excess) of 69 surface samples, 14 depth-stratified profiles, and 131 regional water samples, we reveal that: (1) BDQSL exhibits extremely saline Na-Cl brines (TDS: 192,700–220,700 mg/L) significantly enriched in B and Li (45–54 mg/L), with overall spatial homogeneity and complete vertical mixing; (2) B and Li demonstrate strong correlation (R2 = 0.95), controlled by coupled hydrothermal input, water–rock interaction, and evaporative concentration, with hydrothermal delivery as the predominant source; (3) depleted isotopic signatures (δ18O = −1.4‰, d-excess = −5‰) confirm intense evaporation, while upstream cascade connectivity and climate warming drive lake expansion and brine dilution, indicating transition toward lower salinity; (4) a distinctive hydrothermal–evaporative composite mineralization model differentiates BDQSL from regional mono-evaporative systems. This study elucidates B-Li enrichment mechanisms in hydrothermally active plateau salt lakes, providing geochemical constraints for resource assessment and predictive frameworks for evaluating mineral evolution under climate change. Full article
Show Figures

Figure 1

Back to TopTop