Geochemical Characteristics and Genetic Origin of Tight Sandstone Gas in the Daning–Jixian Block, Ordos Basin
Abstract
1. Introduction
2. Geological Setting
3. Sampling and Analytical Methods
4. Discussion
4.1. Natural Gas Composition Characteristics
4.2. Stable Isotopic Characteristics
4.3. Analysis of Origin and Genetic
4.3.1. Genetic Analysis
4.3.2. Origin Analysis
4.4. Stable Carbon Isotope Series
5. Conclusions
- (1)
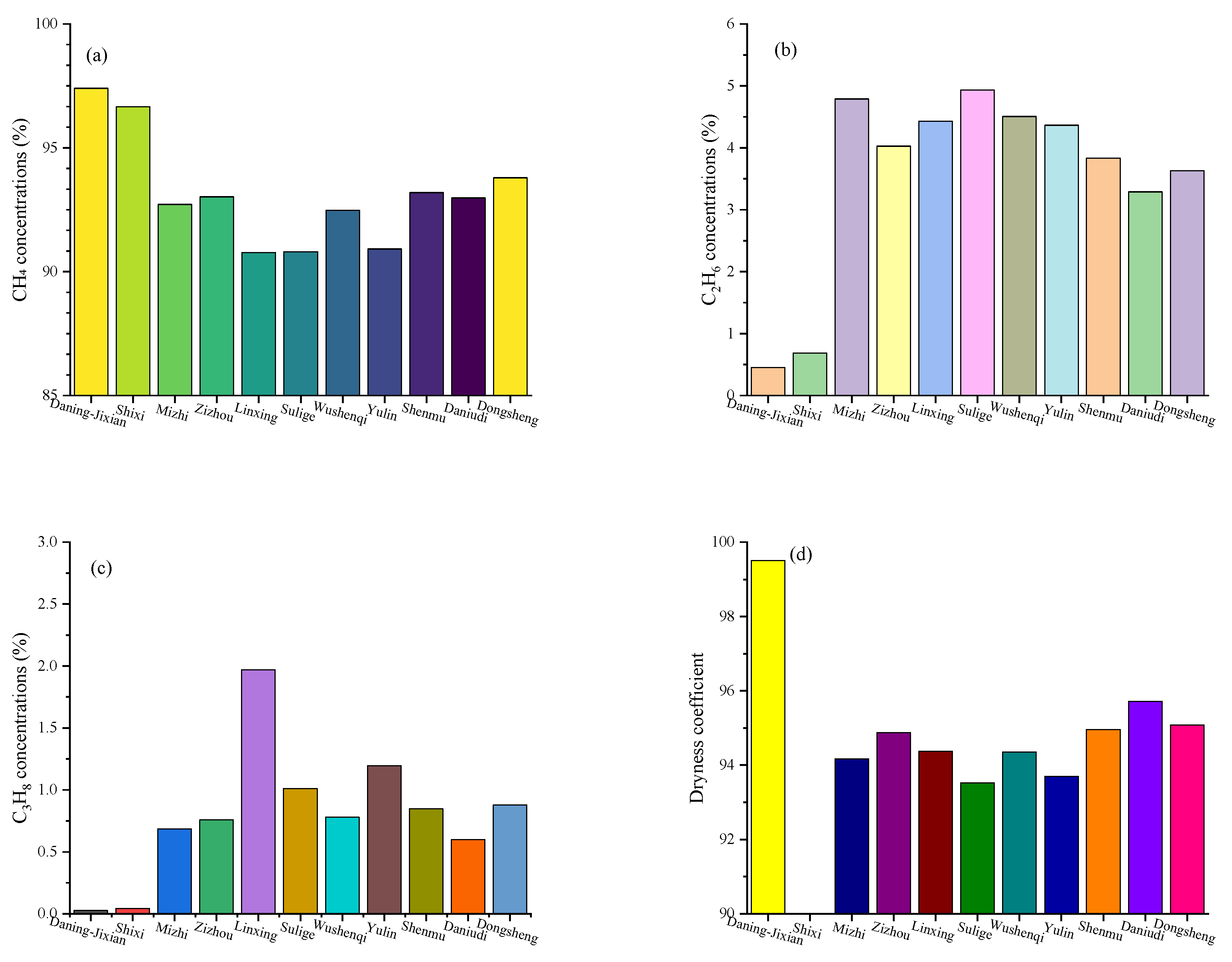
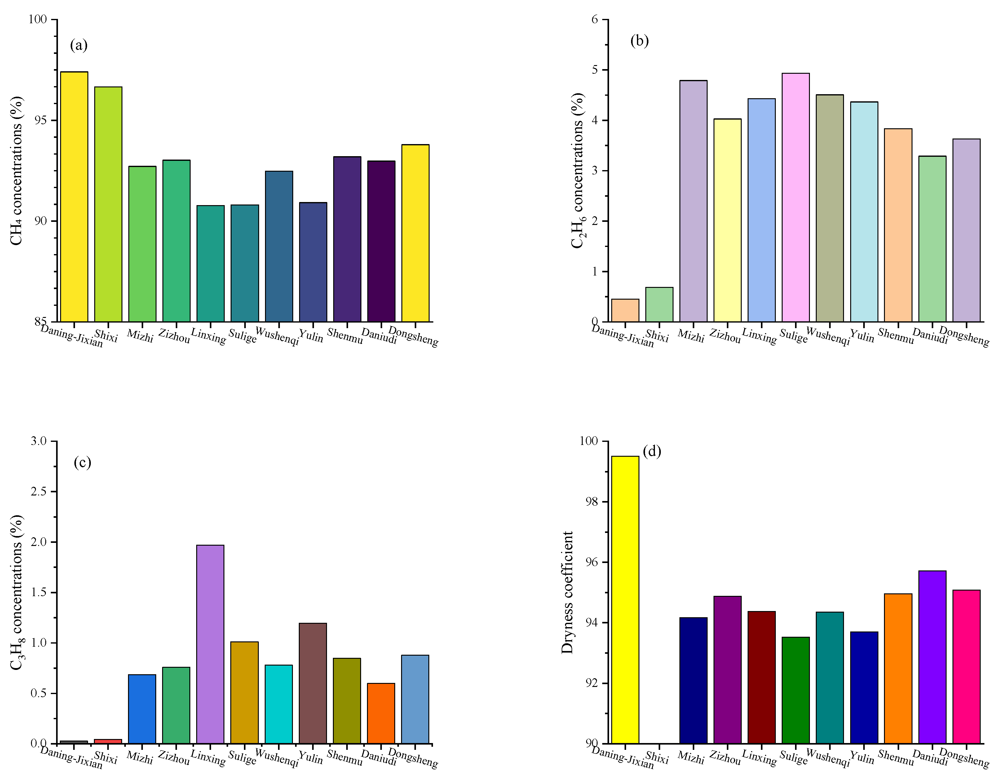
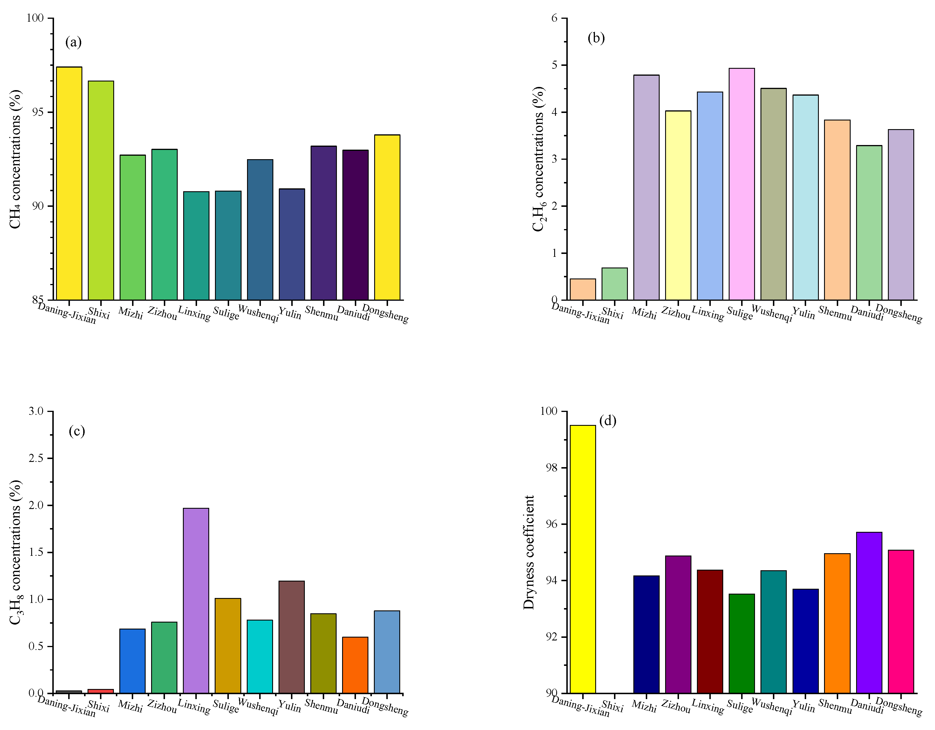
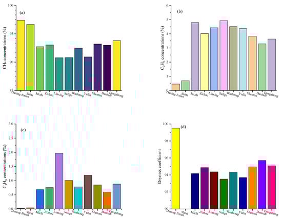
- Comparative assessment with other gas fields across the Ordos Basin indicates that the Daning–Jixian Block exhibits a comparatively higher average methane concentration. The average ethane and propane concentrations in the Daning–Jixian Block are notably lower than those in other gas fields. Furthermore, the dryness coefficient of the gas in the Daning–Jixian Block is significantly greater than that observed in other gas fields. The generally lower CO2 and higher N2 content observed in He8 Member and Shan1 Member suggest vertical migration of natural gas into these intervals.
- (2)
- The natural gas in the Upper Paleozoic tight sandstone gas reservoirs of the Daning–Jixian Block exhibits average δ13C1, δ13C2, and δ13C3 values of −28.20‰, −33.64‰, and −33.77‰, respectively. The average δ13C1 value is heavier compared to other gas fields, while the average δ13C2 and δ13C3 values are significantly lighter. The average δ2H-CH4 value is heavier than that of other gas fields. The relatively heavier isotopic values observed in He8 Member and Shan1 Member compared to other layers suggest a complex scenario involving both dynamic fractionation and migration fractionation effects.
- (3)
- The high maturity of kerogen in the Daning–Jixian area limits the application of some commonly used genetic identification diagrams. The classical Whiticar diagram based on δ13C1 and δ2H-CH4 was employed, revealing that all gas samples from the Daning–Jixian Block and other gas fields across the Ordos Basin fall into the domain of geothermal, hydrothermal, and crystalline gases, which suggests that the gas genesis is associated with the interaction of over-mature organic matter with external hydrogen. The Milkov diagram indicates that natural gases sampled from the other producing fields in the Ordos Basin consistently fall within the canonical coal-derived gas field with relatively lower maturity, with some samples from fields like Daniudi and Zizhou also exhibiting characteristics of oil-associated gas. In contrast, the study area contains thermogenic gas with higher maturity. The Daning–Jixian Block gas accumulations originate from early-stage kerogen cracking in Carboniferous–Permian source rocks, with a subordinate contribution from crude-oil cracking.
- (4)
- The Daning–Jixian Block exhibits characteristics distinct from other gas fields. All samples from this block display a δ13C1 > δ13C2 reversal. This is interpreted to be associated with the elevated thermal maturity of the kerogen and mixing with crude oil-cracking gas. This process causes the reversal and lighter values of ethane carbon isotopes. Consequently, the ethane carbon isotope value alone cannot be reliably used for delineation of the natural gas provenance in the study area.
Author Contributions
Funding
Data Availability Statement
Conflicts of Interest
References
- Li, S.K.; Liu, J.; Zhu, Y.M.; Ma, Y.J.; Liu, X.M. A study on the characteristics of unconventional natural gas reservoirs in the Julu block of northwestern Linqing Depression, Bohai Bay Basin. Nat. Gas Geosci. 2025, 36, 221–239. [Google Scholar]
- Li, S.Z. Research on Forming Conditions and Regionalization of Tight Gas in Turpan-Hami Basin. Master’s Thesis, China University of Petroleum (East China), Beijing, China, 2015. [Google Scholar]
- Li, P.Y.; He, X.D.; Zhou, C.J.; Xie, Y.G.; Shi, H. Mineral compositions and microstructural characteristics of the tight sandstone reservoir in the Sulige area and their potential influence on hydraulic fracturing. Hydrogeol. Eng. Geol. 2023, 50, 1–11. [Google Scholar]
- Jiang, Y.D.; Xie, C.L.; Song, X.; Liu, Z.J. Physical Simulation and Acoustic Emission Characteristics of Sandstone Hydraulic Fracturing under True Triaxial. Chin. J. Undergr. Space Eng. 2024, 20, 1145–1151+1159. [Google Scholar]
- Khormali, A.; Ahmadi, S.; Aleksandrov, A.N. Analysis of reservoir rock permeability changes due to solid precipitation during waterflooding using artificial neural network. J. Pet. Explor. Prod. Technol. 2025, 15, 17. [Google Scholar] [CrossRef]
- Wang, Q.; Zhang, W.; Jiang, N.; Qu, X.J.; Lei, T.; Luo, L.; Cai, X.Y.; Wang, J.; Zhang, M.K.; Tan, X.F. The control mechanism of deformable compositions on tight sandstone reservoirs: An example of the Shanxi Formation in the H well area of the Daniudi gas field in the Ordos Basin. Acta Petrol. Mineral. 2025, 44, 128–140. [Google Scholar]
- Zhong, J.Z. Research on Intelligent Lithology Identification Method Based on Sandstone THIN Section. Master’s Thesis, Taiyuan University of Technology, 2023. [Google Scholar]
- Wu, Y.; Wang, G.; Wang, Q.R. Difficulties and Development Direction of Medium and Low-rank Coalbed Methane Industry in Xinjiang Region. China Coalbed Methane 2023, 20, 3–5+20. [Google Scholar]
- Guo, Q.Q. Subject: Secondary Pore Development Pattern and Formation Mechanism of He 8 Member in Daning-Jixian Area of Ordos Basin, China. Master’s Thesis, Xi’an Shiyou University, Xi’an, China, 2023. [Google Scholar]
- Zhang, K.; Dou, S.J.; Gao, H.H.; Shi, S.; Li, T.; Tang, G.; Yang, B. Application of Spectral Recovery and Waveform Inversion in Thin Reservoir Prediction in Daning Jixian Block. J. Jilin Univ. Earth Sci. Ed. 2024, 54, 2142–2153. [Google Scholar]
- Sun, J.; Chen, M.; Wang, B.; Wang, G.; Tian, H.; Hou, J.; Zhu, B. Analysis of Factors Influencing Tight Sandstone Gas Production and Identification of Favorable Gas Layers in the Shan 23 Sub-Member of the Daning-Jixian Block, Eastern Ordos Basin. Processes 2024, 12, 1810. [Google Scholar] [CrossRef]
- Shi, S.W. Study on Comprehensive Evaluation Method of Tight Sandstone Gas Reservoir. Master’s Thesis, Xi’an Shiyou University, Xi’an, China, 2016. [Google Scholar]
- Zhao, L.M.; Wen, G.H.; Li, X.T.; Li, X.; Li, Y.Z.; Shi, X.S.; Yang, M.M. Evaluation of the “Sweet Spot Area” of Tight Sandstone Gas Reservoirs in the Shanxi Formation 2–3 Sub-member of the Daning-Jixian Block in the Ordos Basin. Nat. Gas Ind. 2018, 38, 5–10. [Google Scholar]
- Guo, L.L.; Li, Z.B.; Zhang, W.; Lin, W.J.; Yang, M.M.; Zhao, Y. Analysis of pore structure of main tight sandstone reservoirs in Daning-Jixian Block of Ordos Basin. Nat. Gas Ind. 2018, 38, 18–23. [Google Scholar]
- Shi, S.; Er, C.; Zhang, W.; Zhao, J.Z.; Zhang, Y.X.; Teng, Y.X. Pore Structure Characteristics of Upper Paleozoic Tight Reservoir in Daning—Jixian Area of Ordos Basin and Its Relationship with Clay Minerals. J. Xi’an Shiyou Univ. Nat. Sci. Ed. 2023, 38, 1–9. [Google Scholar]
- Liu, L. Study on the Tight Sandstone Gas Accumulation Law of Strata Bearing Coal in Linxing District of the Ordos Basin, China. PhD Thesis, China University of Geosciences, Beijing, China, 2017. [Google Scholar]
- Yong, L.I.; Weikai, X.U.; Jixian, G.; Peng, W.; Chuanqi, T.; Yang, T.; Yile, Z. Mechanism of coal measure gas accumulation under integrated control of “source reservoir-transport system”: A case study from east margin of Ordos Basin. J. China Coal Soc. 2021, 46, 2440–2453. [Google Scholar]
- Dang, J.C. Study on Natural Gas Enrichment Rules and Sweet Spot Evaluation of He8 Member in Daning-Jixian Area. Master’s Thesis, Xi’an Shiyou University, Xi’an, China, 2023. [Google Scholar]
- Dai, J.X.; Ni, Y.Y.; Hu, G.Y.; Huang, S.P.; Liao, F.R.; Yu, C.; Gong, D.Y.; Wu, W. Stable carbon and hydrogen isotopes of gases from the large tight gas fields in China. Sci. China Earth Sci. 2014, 44, 563–578. [Google Scholar] [CrossRef]
- Liu, C.; Lei, M.Y.; Sun, B.L.; Wang, X. Origin and process of carbon isotopic reversal of tight sandstone gas in the Shixi gas field, eastern margin of Ordos Basin. Int. J. Coal Geol. 2023, 276, 104327. [Google Scholar] [CrossRef]
- Tian, Y. Study on the Optimization of Tight Gas Reservoir Development Scheme in Daji Gas Field. Master’s Thesis, China University of Petroleum, Beijing, China, 2023. [Google Scholar]
- Shi, Z.; Zhao, J.Z.; Sun, X.W.; Shi, S.; Zhao, L.M.; Li, J. Characteristics and hydrocarbon generation potential of Upper Paleozoic coal measure source rocks in the southeastern Ordos Basin. Nat. Gas Geosci. 2023, 34, 1612–1626. [Google Scholar]
- Chen, M.; Wang, B.; Tian, H.; Sun, J.; Liu, L.; Liang, X.; Chen, B.; Yu, B.; Zhang, Z. Multilayer Gas-Bearing System and Productivity Characteristics in Carboniferous–Permian Tight Sandstones: Taking the Daning–Jixian Block, Eastern Ordos Basin, as an Example. Energies 2025, 18, 2398. [Google Scholar] [CrossRef]
- GB/T 13610-2020; Analysis of Natural Gas Composition—Gas Chromatography. State Administration for Market Regulation, National Standardization Administration: Beijing, China, 2020.
- Zheng, P.; Shi, Y.H.; Zou, C.Y.; Kong, L.M.; Wang, L.S.; Liu, J.Z. Natural gas sources in the Dengying and Longwangmiao Fms in the Gaoshiti-Maoxi area, Sichuan Basin. Natur. Gas Ind. 2014, 34, 50–54. [Google Scholar]
- SY/T 5238-2019; Analysis Method for Carbon and Oxygen Isotopes in Organic Matter and Carbonate. National Energy Administration: Beijing, China, 2019.
- SY/T 7313-2016; Analysis of Hydrogen Isotope in Petroleum, Rock Extracts, and Kerogen. National Energy Administration: Beijing, China, 2016.
- Dai, J.; Li, J.; Zhao, J. Giant Gas Fields and Gas Sources in China; Petroleum Industry Press: Beijing, China, 2024; pp. 157–170. [Google Scholar]
- Sun, J.N. The Gas Kitchen and the Origin of Natural Gas in the Daniudi Area and Surrounding Area of Ordos Basin. Master’s Thesis, China University of Petroleum, Beijing, China, 2023. [Google Scholar]
- Shen, J.; Li, K.X.; Zhang, H.W.; Shabbiri, K.; Hu, Q.J.; Zhang, C. The geochemical characteristics, origin, migration and accumulation modes of deep coal-measure gas in the west of Linxing block at the eastern margin of Ordos Basin. J. Nat. Gas Sci. Eng. 2021, 91, 103965. [Google Scholar] [CrossRef]
- Peng, W.; Hu, G.; Huang, S.; Fang, C.; Liu, D.; Feng, Z.; Han, W.; Jiang, R.; Chen, H. Natural gas geochemical characteristics and genetic analysis: A case study of the Dongsheng gas field in the Ordos basin of China. J. China Univ. Min. Technol. 2017, 46, 74–84. [Google Scholar]
- Zhou, J.S.; Wang, N.X.; Zhao, Q.P.; Yin, X.; Lin, G.F.; Cao, Y.; Li, Y.Y.; Han, X.Q. Natural gas accumulation characteristics in the Upper Paleozoic in the Yanchang exploration block of southeastern Ordos Basin. Natur. Gas Ind. 2014, 34, 34–41. [Google Scholar]
- Liu, H.L.; Liu, S.B.; Zhou, D.; Liu, W.; Jin, S.D. Geochemical indicators for tracing the source and migration of the tight sandstone gas in western Sichuan Basin. Nat. Gas Geosci. 2021, 32, 1127–1141. [Google Scholar]
- Mou, X.; Wang, K.; Yao, X.L. Genesis Analysis of CBM in Daning-Jixian Region. China Coalbed Methane 2016, 13, 26–30. [Google Scholar]
- Chen, J.; Wang, X.; Chen, J.; Ni, Y.; Xiang, B.; Liao, F.; He, W.; Yao, L.; Li, E. New equation to decipher the relationship between carbon isotopic composition of methane and maturity of gas source rocks. Sci. China Earth Sci. 2021, 64, 470–493. [Google Scholar] [CrossRef]
- Dai, J.X.; Ni, Y.Y.; Huang, S.P.; Liao, F.R.; Yu, C.; Gong, D.Y.; Wu, W. Significant function of coal-derived gas study for natural gas industry development in China. Nat. Gas Geosci. 2014, 25, 1–22. [Google Scholar]
- Bernard, B.B.; Brooks, J.M.; Sackett, W.M. Natural gas seepage in the Gulf of Mexico. Earth Planet. Sci. Lett. 1976, 31, 48–54. [Google Scholar] [CrossRef]
- Whiticar, M.J. Carbon and hydrogen isotope systematics of bacterial formation and oxidation of methane. Chem. Geol. 1999, 161, 291–314. [Google Scholar] [CrossRef]
- Milkov, A.; Etiope, G. Revised genetic diagrams for natural gases based on a global dataset of >20,000 samples. Org. Geochem. 2018, 125, 109–120. [Google Scholar] [CrossRef]
- Qu, Z.Y. Shale Gas Generation and Variation in Stable Carbon and Hydrogen Isotope Compositions. Master’s Thesis, Guangzhou Institute of Geochemistry, University of Chinese Academy of Sciences, Guangzhou, China, 2015. [Google Scholar]
- Zheng, D.Y.; Jiang, F.J.; Liu, T.S.; Pang, X.Q.; Chen, X.Z.; Shao, X.H.; Li, L.L.; Huyan, Y.Y. Genetic Types and Sources of Natural Gas in Linxing Area, the Eastern Margin of Ordos Basin, China. J. Earth Sci. Environ. 2018, 40, 203–214. [Google Scholar]
- Chen, J.J.; Zhao, J.Z.; Li, J.; Cao, Q.; Wang, Z. Geochemical characteristics of upper paleozoic natural gas in southern Ordos Basin: A case study of Zhidan-Ganquan area. Sci. Technol. Eng. 2020, 20, 10598–10604. [Google Scholar]
- Zhang, J.Q.; Zhao, J.Z.; Li, J.; Yang, X. Characteristic of fluid inclusions in upper Paleozoic He 8 member of Daning-Jixian block, southeastern Ordos Basin and its significance for hydrocarbon accumulation. J. Xi’an Shiyou Univ. Nat. Sci. Ed. 2024, 39, 34–41+142. [Google Scholar]
- Dai, J.X.; Shi, X.; Wei, Y.Z. Summary of the abiogenic origin theory and the abiogenic gas pools (fields). Acta Pet. Sin. 2001, 6, 5–10. [Google Scholar]
- Li, J.; Zhao, J.Z.; Wang, D.X.; Sun, L.Y.; Ren, J.F.; Wu, C.Y.; Wu, W.T.; Zhao, Z.L.; Qu, F.T. Genesis and source of the Ordovician mid-assemblage natural gas in the east side of the central paleo-uplift, Ordos Basin. Acta Pet. Sin. 2016, 37, 821–831. [Google Scholar]
- Zhang, M.; Song, D.F.; Wang, T.G.; He, F.Q.; Zhang, W.; An, C.; Liu, Y.; Lu, Z.G. Geochemical characteristics and sources of natural gas in Hangjinqi area of ordos Basin. Pet. Geol. Exp. 2024, 46, 124–135. [Google Scholar]
- Ni, Y.Y.; Zhang, J.C.; Yao, L.M.; Dong, G.L.; Wang, Y.; Wang, L.; Chen, J.P. Application of carbon and hydrogen isotopes in the natural gas origin study. Nat. Gas Geosci. 2024, 35, 1897–1909. [Google Scholar] [CrossRef]
- Dai, J.X.; Ni, Y.Y.; Gong, D.Y.; Feng, Z.Q.; Liu, D.; Peng, W.L.; Han, W.X. Geochemical characteristics of gases from the largest tight sand gas field (Sulige) and shale gas field (Fuling) in China. Mar. Pet. Geol. 2017, 79, 426–438. [Google Scholar] [CrossRef]
- Zhang, T.; Wang, X.F.; Jin, X.H.; Meng, Q.Q.; Wang, Y.R.; Chen, X.Y.; Zhang, W.; Zhang, J. Geochemical characteristics and genesis of Paleozoic natural gas in the southern Ordos Basin. Nat. Gas Geosci. 2024, 35, 1616–1625. [Google Scholar] [CrossRef]
- Peng, W.; Liu, Q.; Hu, G.; Lü, Y.; Meng, Q.; Guo, F.; Guan, H. A New Interpretation of Carbon Isotope Series Reverse of Highly-Over Mature Alkane Gases: Demethylation of Aromatic Hydrocarbons. Earth Sci. 2020, 45, 1308–1314. [Google Scholar]








| Formation | Type | CO2 | N2 | CH4 | C2H6 | C3H8 | i-C4H10 | n-C4H10 | i-C5H12 | n-C5H12 | C2+ | C1–5 | Dryness Index |
|---|---|---|---|---|---|---|---|---|---|---|---|---|---|
| Benxi Formation | min | 0.15 | 0.00 | 93.26 | 0.09 | 0.01 | 0.00 | 0.00 | 0.00 | 0.00 | 0.12 | 93.38 | 99.32 |
| max | 6.62 | 0.61 | 98.86 | 0.62 | 0.03 | 0.02 | 0.00 | 0.00 | 0.00 | 0.65 | 99.23 | 99.87 | |
| aver | 3.10 | 0.20 | 96.32 | 0.37 | 0.02 | 0.00 | 0.00 | 0.00 | 0.00 | 0.39 | 96.71 | 99.60 | |
| Taiyuan Formation | min | 1.52 | 0.00 | 97.51 | 0.20 | 0.01 | 0.00 | 0.00 | 0.00 | 0.00 | 0.21 | 97.76 | 99.63 |
| max | 2.24 | 0.28 | 98.06 | 0.34 | 0.02 | 0.00 | 0.00 | 0.00 | 0.00 | 0.36 | 98.39 | 99.79 | |
| aver | 1.85 | 0.08 | 97.78 | 0.28 | 0.02 | 0.00 | 0.00 | 0.00 | 0.00 | 0.30 | 98.07 | 99.70 | |
| Shan2 Member | min | 1.28 | 0.00 | 97.33 | 0.22 | 0.01 | 0.00 | 0.00 | 0.00 | 0.00 | 0.23 | 97.61 | 99.24 |
| max | 2.15 | 0.44 | 98.05 | 0.71 | 0.04 | 0.00 | 0.00 | 0.00 | 0.00 | 0.75 | 98.28 | 99.77 | |
| aver | 1.83 | 0.14 | 97.54 | 0.47 | 0.02 | 0.00 | 0.00 | 0.00 | 0.00 | 0.49 | 98.03 | 99.50 | |
| Shan1 Member | min | 0.48 | 0.00 | 97.64 | 0.30 | 0.01 | 0.00 | 0.00 | 0.00 | 0.00 | 0.31 | 98.08 | 99.11 |
| max | 1.64 | 0.70 | 98.45 | 0.79 | 0.06 | 0.01 | 0.01 | 0.01 | 0.00 | 0.88 | 99.00 | 99.68 | |
| aver | 1.03 | 0.39 | 98.01 | 0.53 | 0.04 | 0.00 | 0.00 | 0.00 | 0.00 | 0.58 | 98.58 | 99.42 | |
| He8 Member | min | 0.61 | 0.29 | 97.04 | 0.31 | 0.02 | 0.00 | 0.00 | 0.00 | 0.00 | 0.33 | 97.37 | 99.08 |
| max | 2.32 | 1.48 | 97.90 | 0.84 | 0.06 | 0.01 | 0.01 | 0.00 | 0.00 | 0.91 | 98.68 | 99.66 | |
| aver | 1.17 | 0.69 | 97.44 | 0.65 | 0.05 | 0.00 | 0.01 | 0.00 | 0.00 | 0.70 | 98.14 | 99.29 | |
| No. 8 Coal | min | 1.22 | 0.06 | 93.91 | 0.05 | 0.00 | 0.00 | 0.00 | 0.00 | 0.00 | 0.05 | 93.98 | 100 |
| max | 5.92 | 0.20 | 97.94 | 0.43 | 0.02 | 0.00 | 0.00 | 0.00 | 0.00 | 0.45 | 98.39 | 100 | |
| aver | 4.74 | 0.10 | 95.00 | 0.11 | 0.00 | 0.00 | 0.00 | 0.00 | 0.00 | 0.11 | 95.11 | 100 |
| Formation | Type | δ 13C1 (‰) | δ 13C2 (‰) | δ 13C3 (‰) | δ 13CiC4 (‰) | δ 13CnC4 (‰) | δ 13CCO2 (‰) | δDC1 (‰) |
|---|---|---|---|---|---|---|---|---|
| Benxi Formation | min | −29.30 | −36.70 | −39.20 | −34.50 | −38.40 | −2.70 | −161.80 |
| max | −27.70 | −29.30 | −31.70 | −31.50 | −28.70 | 5.20 | −169.70 | |
| aver | −28.40 | −34.23 | −36.17 | −33.50 | −34.95 | 1.85 | −165.13 | |
| Taiyuan Formation | min | −29.30 | −35.50 | −32.90 | −39.50 | −27.30 | −4.50 | −165.80 |
| max | −28.30 | −32.80 | −30.60 | −22.50 | −23.00 | 1.30 | −169.50 | |
| aver | −28.78 | −34.36 | −32.00 | −29.90 | −25.10 | −0.58 | −167.54 | |
| Shan2 Member | min | −29.20 | −36.70 | −37.70 | −42.90 | −35.60 | −4.70 | −165.80 |
| max | −27.20 | −31.80 | −31.80 | −22.50 | −22.40 | −1.20 | −170.90 | |
| aver | −28.49 | −35.44 | −35.97 | −33.16 | −29.60 | −2.71 | −168.16 | |
| Shan1 Member | min | −28.70 | −30.90 | −31.40 | −30.00 | −29.50 | −7.80 | −166.40 |
| max | −26.20 | −28.60 | −27.90 | −15.70 | −24.60 | −2.70 | −169.60 | |
| aver | −27.70 | −30.13 | −29.88 | −24.75 | −26.93 | −5.00 | −168.40 | |
| He8 Member | min | −27.90 | −32.80 | −33.80 | −29.30 | −34.40 | −13.30 | −166.10 |
| max | −26.50 | −31.30 | −30.60 | −22.90 | −20.50 | −0.50 | −168.20 | |
| aver | −27.36 | −31.96 | −32.18 | −27.25 | −30.04 | −5.44 | −167.23 |
Disclaimer/Publisher’s Note: The statements, opinions and data contained in all publications are solely those of the individual author(s) and contributor(s) and not of MDPI and/or the editor(s). MDPI and/or the editor(s) disclaim responsibility for any injury to people or property resulting from any ideas, methods, instructions or products referred to in the content. |
© 2025 by the authors. Licensee MDPI, Basel, Switzerland. This article is an open access article distributed under the terms and conditions of the Creative Commons Attribution (CC BY) license (https://creativecommons.org/licenses/by/4.0/).
Share and Cite
Wang, B.; Chen, M.; Tian, H.; Sun, J.; Liu, L.; Liang, X.; Chen, B.; Yu, B.; Zhang, Z.; Qu, Z. Geochemical Characteristics and Genetic Origin of Tight Sandstone Gas in the Daning–Jixian Block, Ordos Basin. Processes 2025, 13, 4019. https://doi.org/10.3390/pr13124019
Wang B, Chen M, Tian H, Sun J, Liu L, Liang X, Chen B, Yu B, Zhang Z, Qu Z. Geochemical Characteristics and Genetic Origin of Tight Sandstone Gas in the Daning–Jixian Block, Ordos Basin. Processes. 2025; 13(12):4019. https://doi.org/10.3390/pr13124019
Chicago/Turabian StyleWang, Bo, Ming Chen, Haonian Tian, Junyi Sun, Lei Liu, Xing Liang, Benliang Chen, Baoshi Yu, Zhuo Zhang, and Zhenghui Qu. 2025. "Geochemical Characteristics and Genetic Origin of Tight Sandstone Gas in the Daning–Jixian Block, Ordos Basin" Processes 13, no. 12: 4019. https://doi.org/10.3390/pr13124019
APA StyleWang, B., Chen, M., Tian, H., Sun, J., Liu, L., Liang, X., Chen, B., Yu, B., Zhang, Z., & Qu, Z. (2025). Geochemical Characteristics and Genetic Origin of Tight Sandstone Gas in the Daning–Jixian Block, Ordos Basin. Processes, 13(12), 4019. https://doi.org/10.3390/pr13124019

