Stochastic Inversion of Hydrothermal Properties in Heterogeneous Porous Media
Abstract
1. Introduction
2. Methodologies
2.1. Governing Equation
2.2. Monte Carlo Simulation
2.3. Ensemble Kalman Filter
2.4. Evaluation Metrics for the Performance of the Model Simulation
3. Illustrative Examples
3.1. Generation of the Synthetic Aquifer Parameters
3.2. Generation of Synthetic Observations
4. Results and Discussions
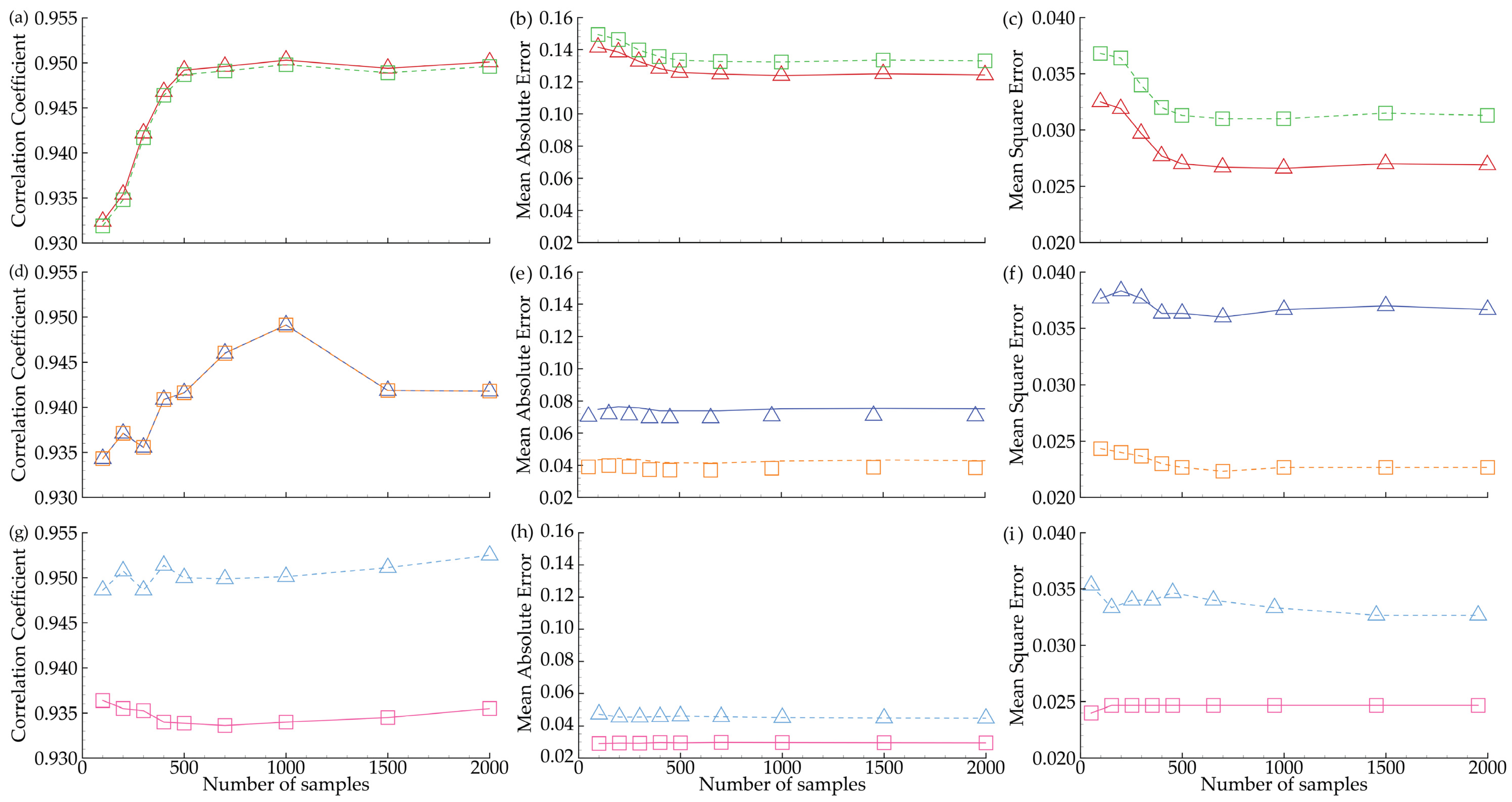
4.1. Parameter Estimation
4.2. Model Uncertainties
4.2.1. Optimal Network of Monitoring Wells
4.2.2. Optimal Correlation Length of Stochastic Inversion Model
5. Practical Applications and Future Research Perspectives
6. Conclusions
- (a)
- Hydro-thermal properties are fully captured by implementing both MCS and EnKF, including permeability, porosity, and thermal conductivity. EnKF generally performs better than MCS because it uses simultaneous observational data to update parameter estimates and can perform calculations up to six times faster than MCS.
- (b)
- An optimal network of monitoring wells is proposed, with an appropriate distance between the injection and the pumping wells of at least half the length of the area. Additionally, an observation well is located between these two wells to ensure the observations are evenly distributed across the domain.
- (c)
- The monitoring network to capture hydrothermal properties in a heterogeneous aquifer relies on information about the geostatistical structure for the target hydrothermal properties. The monitoring distance needs to be smaller than the correlation lengths of the hydrothermal properties. However, due to limited resources for developing a monitoring network, geophysical surveys might be helpful in supporting its design.
- (d)
- Further approaches, such as data assimilation and machine learning techniques, should be considered for solving forward and inverse problems in geothermal systems in heterogeneous porous media. Quantum computing has the potential to address the challenges posed by high computational demands.
Author Contributions
Funding
Data Availability Statement
Acknowledgments
Conflicts of Interest
References
- Shortall, R.; Davidsdottir, B.; Axelsson, G. Geothermal energy for sustainable development: A review of sustainability impacts and assessment frameworks. Renew. Sustain. Energy Rev. 2015, 44, 391–406. [Google Scholar] [CrossRef]
- Idroes, G.M.; Hardi, I.; Hilal, I.S.; Utami, R.T.; Noviandy, T.R.; Idroes, R. Economic growth and environmental impact: Assessing the role of geothermal energy in developing and developed countries. Innov. Green Dev. 2014, 3, 100144. [Google Scholar] [CrossRef]
- Liu, G.; Zhou, B.; Liao, S. Inverting methods for thermal reservoir evaluation of enhanced geothermal system. Renew. Sustain. Energy Rev. 2018, 82, 471–476. [Google Scholar] [CrossRef]
- Piechowski, M. Heat and mass transfer model of a ground heat exchanger: Validation and sensitivity analysis. Int. J. Energy Res. 1998, 22, 965–979. [Google Scholar] [CrossRef]
- Jia, G.S.; Ma, Z.D.; Xia, Z.H.; Wang, J.W.; Zhang, Y.P.; Jin, L.W. Influence of groundwater flow on the ground heat exchanger performance and ground temperature distributions: A comprehensive review of analytical, numerical and experimental studies. Geothermics 2022, 100, 102342. [Google Scholar] [CrossRef]
- Kim, D.; Kim, G.; Kim, D.; Baek, H. Experimental and numerical investigation of thermal properties of cement-based grouts used for vertical ground heat exchanger. Renew. Energy 2017, 112, 260–267. [Google Scholar] [CrossRef]
- Zhang, Z.; Jafarpour, B.; Li, L. Inference of permeability heterogeneity from joint inversion of transient flow and temperature data. Water Resour. Res. 2014, 50, 4710–4725. [Google Scholar] [CrossRef]
- Suzuki, A.; Fukui, K.I.; Onodera, S.; Ishizaki, J.; Hashida, T. Data-driven geothermal reservoir modeling: Estimating permeability distributions by machine learning. Geosciences 2022, 12, 130. [Google Scholar] [CrossRef]
- Liu, Q.; Wang, M. Numerical investigation of water migration in a closed unsaturated expansive clay system. Bull. Eng. Geol. Environ. 2023, 82, 202. [Google Scholar] [CrossRef]
- Manzella, A. Technological challenges in exploration and investigation of EGS and UGR. In Proceedings of the 2010 World Geothermal Congress, Bali, Indonesia, 25–30 April 2010; Horne, R., Ed.; International Geothermal Association: Bochum, Germany, 2010. [Google Scholar]
- Vogt, C.; Marquart, G.; Kosack, C.; Wolf, A.; Clauser, C. Estimating the permeability distribution and its uncertainty at the EGS demonstration reservoir Soultz-sous-Forêts using the ensemble Kalman filter. Water Resour. Res. 2012, 48, W08517. [Google Scholar] [CrossRef]
- Shi, C.; Wang, Y. Data-driven construction of Three-dimensional subsurface geological models from limited Site-specific boreholes and prior geological knowledge for underground digital twin. Tunn. Undergr. Space Technol. 2022, 126, 104493. [Google Scholar] [CrossRef]
- Franssen, H.H.; Alcolea, A.; Riva, M.; Bakr, M.; Van der Wiel, N.; Stauffer, F.; Guadagnini, A. A comparison of seven methods for the inverse modelling of groundwater flow. Application to the characterisation of well catchments. Adv. Water Resour. 2009, 32, 851–872. [Google Scholar] [CrossRef]
- Shcherbakov, R. A stochastic model for induced seismicity at the geothermal systems: A case of the Geysers. Seismol. Res. Lett. 2024, 95, 3545–3556. [Google Scholar] [CrossRef]
- de Beer, A.; Bjarkason, E.K.; Gravatt, M.; Nicholson, R.; O’Sullivan, J.P.; O’Sullivan, M.J.; Maclaren, O.J. Ensemble Kalman inversion for geothermal reservoir modelling. Geophys. J. Int. 2025, 241, 580–605. [Google Scholar] [CrossRef]
- Vogt, C.; Mottaghy, D.; Wolf, A.; Rath, V.; Pechnig, R.; Clauser, C. Reducing temperature uncertainties by stochastic geothermal reservoir modelling. Geophys. J. Int. 2010, 181, 321–333. [Google Scholar] [CrossRef]
- Vogt, C.; Kosack, C.; Marquart, G. Stochastic inversion of the tracer experiment of the enhanced geothermal system demonstration reservoir in Soultz-sous-Forêts—Revealing pathways and estimating permeability distribution. Geothermics 2012, 42, 1–12. [Google Scholar] [CrossRef]
- Kaplan, D. On the quantification of model uncertainty: A Bayesian perspective. Psychometrika 2021, 86, 215–238. [Google Scholar] [CrossRef]
- Acar, E.; Bayrak, G.; Jung, Y.; Lee, I.; Ramu, P.; Ravichandran, S.S. Modeling, analysis, and optimization under uncertainties: A review. Struct. Multidiscip. Optim. 2021, 64, 2909–2945. [Google Scholar] [CrossRef]
- Berardi, M.; Andrisani, A.; Lopez, L.; Vurro, M. A new data assimilation technique based on ensemble Kalman filter and Brownian bridges: An application to Richards’ equation. Comput. Phys. Commun. 2016, 208, 43–53. [Google Scholar] [CrossRef]
- Jamal, A.; Linker, R. Inflation method based on confidence intervals for data assimilation in soil hydrology using the ensemble Kalman filter. Vadose Zone J. 2020, 19, e20000. [Google Scholar] [CrossRef]
- Zhou, D.; Tatomir, A.; Sauter, M. Thermo-hydro-mechanical modelling study of heat extraction and flow processes in enhanced geothermal systems. Adv. Geosci. 2021, 54, 229–240. [Google Scholar] [CrossRef]
- Crestani, E.; Camporese, M.; Baú, D.; Salandin, P. Ensemble Kalman filter versus ensemble smoother for assessing hydraulic conductivity via tracer test data assimilation. Hydrol. Earth Syst. Sci. 2013, 17, 1517–1531. [Google Scholar] [CrossRef]
- Keller, J.; Rath, V.; Bruckmann, J.; Mottaghy, D.; Clauser, C.; Wolf, A.; Seidler, R.; Bücker, H.M.; Klitzsch, N. SHEMAT-Suite: An open-source code for simulating flow, heat and species transport in porous media. SoftwareX 2020, 12, 100533. [Google Scholar] [CrossRef]
- Clauser, C. (Ed.) Numerical Simulation of Reactive Flow in Hot Aquifers—SHEMAT and Processing SHEMAT; Springer: New York, NY, USA, 2003. [Google Scholar] [CrossRef]
- Beardsmore, G.R.; Cull, J.P. Crustal Heat Flow; Cambridge University Press: Cambridge, UK, 2001. [Google Scholar] [CrossRef]
- Clauser, C. Thermal storage and transport properties of rocks, II: Thermal conductivity and diffusivity. In Encyclopedia of Solid Earth Geophysics; Gupta, H.K., Ed.; Springer: Berlin/Heidelberg, Germany, 2011; Volume 2, pp. 1431–1448. [Google Scholar]
- Phillips, S.L.; Igbene, A.; Fair, J.A.; Ozbek, H.; Tavana, M. A Technical Data Book for Geothermal Energy Utilization; Technical Report 12810 UC-66a; Lawrence Berkeley Laboratory, University of California: Berkeley, CA, USA, 1981. [Google Scholar] [CrossRef]
- Zyvoloski, G.A.; Robinson, B.A.; Dash, Z.V.; Trease, L.L. Models and Methods Summary for the FEHMN Application; No. LA-UR-94-3787-Rev. 1; Los Alamos National Lab (LANL): Los Alamos, NM, USA, 1996. [Google Scholar] [CrossRef]
- Lynch, D.R. Numerical Partial Differential Equations for Environmental Scientists and Engineers: A First Practical Course; Springer: New York, NY, USA, 2005. [Google Scholar] [CrossRef]
- Huyakorn, P.S.; Pinder, G.F. Computational Methods in Subsurface Flow; Academic Press: Cambridge, MA, USA, 2012. [Google Scholar] [CrossRef]
- Deutsch, C.V.; Journel, A.G. GSLIB: Geostatistical Software Library And User’s Guide, 2nd ed.; Oxford University Press: New York, NY, USA, 1998; p. 369. [Google Scholar] [CrossRef]
- Rath, V.; Wolf, A.; Bücker, H.M. Joint three-dimensional inversion of coupled groundwater flow and heat transfer based on automatic differentiation: Sensitivity calculation, verification, and synthetic examples. Geophys. J. Int. 2006, 167, 453–466. [Google Scholar] [CrossRef]
- Chen, Y.; Zhang, D. Data assimilation for transient flow in geologic formations via ensemble Kalman filter. Adv. Water Resour. 2006, 29, 1107–1122. [Google Scholar] [CrossRef]
- Kalman, R.E. A new approach to linear filtering and prediction problems. J. Basic Eng. 1960, 82, 35–45. [Google Scholar] [CrossRef]
- Aanonsen, S.I.; Nævdal, G.; Oliver, D.S.; Reynolds, A.C.; Vallès, B. The Ensemble Kalman filter in reservoir engineering—A review. SPE J. 2009, 14, 393–412. [Google Scholar] [CrossRef]
- Oliver, D.S.; Chen, Y. Recent progress on reservoir history matching: A review. Comput. Geosci. 2011, 15, 185–221. [Google Scholar] [CrossRef]
- Burgers, G.; Jan van Leeuwen, P.; Evensen, G. Analysis scheme in the ensemble Kalman filter. Mon. Weather Rev. 1998, 126, 1719–1724. [Google Scholar] [CrossRef]
- Evensen, G. The Ensemble Kalman Filter: Theoretical formulation and practical implementation. Ocean Dyn. 2003, 53, 343–367. [Google Scholar] [CrossRef]
- Franssen, H.H.; Kinzelbach, W. Ensemble Kalman filtering versus sequential self-calibration for inverse modelling of dynamic groundwater flow systems. J. Hydrol. 2008, 365, 261–274. [Google Scholar] [CrossRef]
- Krymskaya, M.V.; Hanea, R.G.; Verlaan, M. An iterative ensemble Kalman filter for reservoir engineering applications. Comput. Geosci. 2008, 13, 235–244. [Google Scholar] [CrossRef]
- Bauer, J.F.; Krumbholz, M.; Luijendijk, E.; Tanner, D.C. A numerical sensitivity study of how permeability, porosity, geological structure, and hydraulic gradient control the lifetime of a geothermal reservoir. Solid Earth 2019, 10, 2115–2135. [Google Scholar] [CrossRef]
- Ni, C.F.; Yeh, T.C.J. Stochastic inversion of pneumatic cross-hole tests and barometric pressure fluctuations in heterogeneous unsaturated formations. Adv. Water Resour. 2008, 31, 1708–1718. [Google Scholar] [CrossRef]
- Ni, C.F.; Yeh, T.C.J.; Chen, J.S. Cost-effective hydraulic tomography surveys for predicting flow and transport in heterogeneous aquifers. Environ. Sci. Technol. 2009, 43, 3720–3727. [Google Scholar] [CrossRef] [PubMed]
- Yeh, T.C.J.; Gutjahr, A.L.; Jin, M. An iterative cokriging-like technique for groundwater flow modeling. Groundwater 1995, 33, 33–41. [Google Scholar] [CrossRef]
- Yeh, T.C.J.; Liu, S. Hydraulic tomography: Development of a new aquifer test method. Water Resour. Res. 2000, 36, 2095–2105. [Google Scholar] [CrossRef]
- Li, L.; Zhou, H.; Gómez-Hernández, J.J.; Franssen, H.H. Jointly mapping hydraulic conductivity and porosity by assimilating concentration data via ensemble Kalman filter. J. Hydrol. 2012, 428–429, 152–169. [Google Scholar] [CrossRef]
- Xu, T.; Gómez-Hernández, J.J. Joint identification of contaminant source location, initial release time, and initial solute concentration in an aquifer via ensemble Kalman filtering. Water Resour. Res. 2016, 52, 6587–6595. [Google Scholar] [CrossRef]
- Wang, Z.; Liu, S.; Li, H.; Liu, J.; Sun, W.; Xu, J.; Wang, X. CO2 storage in saline aquifers: A simulation on quantifying the impact of permeability heterogeneity. J. Clean. Prod. 2024, 471, 143415. [Google Scholar] [CrossRef]
- Catinat, M.; Fleury, M.; Brigaud, B.; Antics, M.; Ungemach, P. Estimating permeability in a limestone geothermal reservoir from NMR laboratory experiments. Geothermics 2023, 111, 102707. [Google Scholar] [CrossRef]
- Kristensen, L.; Hjuler, M.L.; Frykman, P.; Olivarius, M.; Weibel, R.; Nielsen, L.H.; Mathiesen, A. Pre-drilling assessments of average porosity and permeability in the geothermal reservoirs of the Danish area. Geotherm. Energy 2016, 4, 6. [Google Scholar] [CrossRef]
- Rajabi, M.M.; Chen, M. Dynamical modeling of a geothermal system to predict hot spring behavior. Model. Earth Syst. Environ. 2023, 9, 3085–3093. [Google Scholar] [CrossRef]
- Marquart, G.; Vogt, C.; Klein, C.; Widera, A. Estimation of geothermal reservoir properties using the Ensemble Kalman Filter. Energy Procedia 2013, 40, 117–126. [Google Scholar] [CrossRef]
- Godoy, V.A.; Napa-García, G.F.; Gómez-Hernández, J.J. Ensemble smoother with multiple data assimilation as a tool for curve fitting and parameter uncertainty characterization: Example applications to fit nonlinear sorption isotherms. Math. Geosci. 2022, 54, 807–825. [Google Scholar] [CrossRef]
- Ye, Z.; Wang, J.G. Uncertainty analysis for heat extraction performance from a stimulated geothermal reservoir with the diminishing feature of permeability enhancement. Geothermics 2022, 100, 102339. [Google Scholar] [CrossRef]
- Abrasaldo, P.M.B. Machine Learning and Time-Series Analytics Applied to Geothermal Energy Operations. Doctoral Dissertation, The University of Auckland, Auckland, New Zealand, 2024. [Google Scholar]
- Yan, B.; Xu, Z.; Gudala, M.; Tariq, Z.; Sun, S.; Finkbeiner, T. Physics-informed machine learning for reservoir management of enhanced geothermal systems. Geoenergy Sci. Eng. 2024, 234, 212663. [Google Scholar] [CrossRef]
- Wu, H.; Fu, P.; Hawkins, A.J.; Tang, H.; Morris, J.P. Predicting thermal performance of an enhanced geothermal system from tracer tests in a data assimilation framework. Water Resour. Res. 2021, 57, e2021WR030987. [Google Scholar] [CrossRef]
- Chen, C.; Deng, Y.; Ma, H.; Kang, X.; Ma, L.; Qian, J. Deep learning-based inversion framework by assimilating hydrogeological and geophysical data for an enhanced geothermal system characterization and thermal performance prediction. Energy 2024, 302, 131713. [Google Scholar] [CrossRef]
- Dashtgoli, D.S.; Giustiniani, M.; Busetti, M.; Cherubini, C. Artificial intelligence applications for accurate geothermal temperature prediction in the lower Friulian Plain (North-Eastern Italy). J. Clean. Prod. 2024, 460, 142452. [Google Scholar] [CrossRef]













| Mean | Variance | Correlation Lengths | ||
|---|---|---|---|---|
| x-Direction | z-Direction | |||
| Permeability | 1 × 10−12 | 0.5 | 240 (m) | 30 (m) |
| Thermal conductivity | 2.0 | 0.1 | 240 (m) | 30 (m) |
| Porosity | 0.3 | 0.1 | 240 (m) | 30 (m) |
| Parameters | Unit | Values |
|---|---|---|
| Porosity | - | 1 × 10−7 |
| Factor of permeability x-direction | - | 1.0 |
| Factor of permeability y-direction | - | 1.0 |
| Permeability z-direction | m2 | 1 × 10−20 |
| Compressibility | 1/Pa | 1 × 10−10 |
| Factor of thermal conductivity x-direction | - | 1.0 |
| Factor of thermal conductivity y-direction | - | 1.0 |
| Thermal conductivity z-direction | W/mK | 2.0 |
| Inherent heat production | W/m3 | 0.0 |
| Volumetric heat capacity | J/m3K | 2 × 106 |
| Dispersivity (dispersion length) | m | 10.0 |
| Electrical conductivity | S/m | 0.0 |
| Coupling coefficient | A/Pam | 0.0 |
| Brooks-Corey-Parameter (pore size distr. Index) | - | 2.0 |
| Capillary (Brooks Corey displacement) pressure | Pa | 1 × 103 |
| Residual saturation of wetting phase (s_wr) | - | 0.05 |
| Residual saturation of non-wetting phase (s_nr) | - | 0.2 |
Disclaimer/Publisher’s Note: The statements, opinions and data contained in all publications are solely those of the individual author(s) and contributor(s) and not of MDPI and/or the editor(s). MDPI and/or the editor(s) disclaim responsibility for any injury to people or property resulting from any ideas, methods, instructions or products referred to in the content. |
© 2025 by the authors. Licensee MDPI, Basel, Switzerland. This article is an open access article distributed under the terms and conditions of the Creative Commons Attribution (CC BY) license (https://creativecommons.org/licenses/by/4.0/).
Share and Cite
Thuy, D.T.T.; Ni, C.-F.; Hiep, N.H.; Vo, H.-S.; Nguyen, T.-V.-T.; Y, L.N.; Dang, M.-Q. Stochastic Inversion of Hydrothermal Properties in Heterogeneous Porous Media. Water 2025, 17, 3544. https://doi.org/10.3390/w17243544
Thuy DTT, Ni C-F, Hiep NH, Vo H-S, Nguyen T-V-T, Y LN, Dang M-Q. Stochastic Inversion of Hydrothermal Properties in Heterogeneous Porous Media. Water. 2025; 17(24):3544. https://doi.org/10.3390/w17243544
Chicago/Turabian StyleThuy, Doan Thi Thanh, Chuen-Fa Ni, Nguyen Hoang Hiep, Hong-Son Vo, Thai-Vinh-Truong Nguyen, Le Nhu Y, and Minh-Quan Dang. 2025. "Stochastic Inversion of Hydrothermal Properties in Heterogeneous Porous Media" Water 17, no. 24: 3544. https://doi.org/10.3390/w17243544
APA StyleThuy, D. T. T., Ni, C.-F., Hiep, N. H., Vo, H.-S., Nguyen, T.-V.-T., Y, L. N., & Dang, M.-Q. (2025). Stochastic Inversion of Hydrothermal Properties in Heterogeneous Porous Media. Water, 17(24), 3544. https://doi.org/10.3390/w17243544

