Sign in to use this feature.

Years

Between: -

Subjects

remove_circle_outline
remove_circle_outline
remove_circle_outline
remove_circle_outline
remove_circle_outline
remove_circle_outline
remove_circle_outline
remove_circle_outline
remove_circle_outline

Journals

Article Types

Countries / Regions

remove_circle_outline
remove_circle_outline
remove_circle_outline
remove_circle_outline

Search Results (275)

Search Parameters:
Keywords = grid-connected voltage source converter

Order results
Result details
Results per page
Select all
Export citation of selected articles as:
31 pages, 6313 KB  
Article
Adaptive Virtual Impedance Fault Overcurrent Suppression Method and Reactive Power Support Method with Frozen Reactive Power–Voltage Droop Control for Grid-Forming Converters
by Chengshuai Li, Zirui Dong, Shuolin Zhang, Longfei Mu, Jiahao Liu, Jiafei Liu and Qian Kai
Processes 2026, 14(1), 9; https://doi.org/10.3390/pr14010009 - 19 Dec 2025
Abstract
With the rapid development of new energy, high-proportion new energy power systems have significantly reduced inertia and voltage support capacity, facing severe stability challenges. Virtual Synchronous Generator (VSG) control, which simulates the inertia and voltage source characteristics of traditional synchronous generators, enables friendly [...] Read more.
With the rapid development of new energy, high-proportion new energy power systems have significantly reduced inertia and voltage support capacity, facing severe stability challenges. Virtual Synchronous Generator (VSG) control, which simulates the inertia and voltage source characteristics of traditional synchronous generators, enables friendly grid connection of new energy converters and has become a key technology for large-scale new energy applications. This paper addresses two key issues in low-voltage ride through (LVRT) of grid-forming converters under VSG control: (1) converter overcurrent suppression during LVRT; (2) reduced reactive power support due to retaining voltage-reactive power droop control during faults. It proposes an adaptive virtual impedance-based overcurrent suppression method and a frozen reactive power–voltage droop-based reactive support method. Based on the converter’s mathematical model, a DIgSILENT/PowerFactory simulation model is built. Time-domain simulations verify the converter’s operating characteristics and the improved LVRT strategy’s effect, providing theoretical and technical support for large-scale applications of grid-forming converters. Full article
(This article belongs to the Topic Power System Dynamics and Stability, 2nd Edition)
Show Figures

Figure 1

27 pages, 1139 KB  
Article
Stability Analysis of Electricity Grids with High Renewable Penetration Using a Grid-Forming Approach
by María García-Hoyos, Raquel Villena-Ruiz, Andrés Honrubia-Escribano and Emilio Gómez-Lázaro
Electronics 2025, 14(24), 4871; https://doi.org/10.3390/electronics14244871 - 10 Dec 2025
Viewed by 273
Abstract
The ongoing decarbonisation of power systems is displacing synchronous generators (SGs) with converter-based plants, requiring a consistent assessment of grid-following inverters (GFLIs) and grid-forming inverters (GFMIs). Using an openly available four-bus root-mean-square (RMS) benchmark modelled in DIgSILENT PowerFactory, this work compares three generation [...] Read more.
The ongoing decarbonisation of power systems is displacing synchronous generators (SGs) with converter-based plants, requiring a consistent assessment of grid-following inverters (GFLIs) and grid-forming inverters (GFMIs). Using an openly available four-bus root-mean-square (RMS) benchmark modelled in DIgSILENT PowerFactory, this work compares three generation configurations: (i) a single local SG connected at the point of common coupling; (ii) the same generator combined with a GFLI; and (iii) the generator combined with a GFMI. These configurations are evaluated under three disturbance scenarios: (1) a balanced load step, (2) an unbalanced double line-to-ground fault at low short-circuit ratio (SCR) with temporary islanding and single-shot auto-reclose, and (3) full islanding with under-frequency load shedding (UFLS), partial resynchronisation, and staged restoration. For the tested tuning ranges and within this RMS benchmark, the grid-forming configuration behaves as a low-impedance source at the point of common coupling in the phasor sense, yielding higher frequency nadirs during active-power disturbances and faster positive-sequence voltage recovery under weak and unbalanced conditions than the SG-only and SG+GFLI cases. During islanding, it supports selective UFLS, secure resynchronisation, and orderly load restoration. Rather than introducing new control theory, this work contributes a reproducible RMS benchmarking framework that integrates low-SCR operation, unbalance, and restoration sequences with a documented cross-technology tuning procedure. The findings indicate system-level improvements in frequency resilience and voltage recovery for the tested benchmark relative to the alternative configurations, while recognising that instantaneous device-level effects and broader generality will require electromagnetic-transient (EMT) or hybrid EMT/RMS validation in future work. Full article
Show Figures

Figure 1

50 pages, 78972 KB  
Article
Comparison of Direct and Indirect Control Strategies Applied to Active Power Filter Prototypes
by Marian Gaiceanu, Silviu Epure, Razvan Constantin Solea, Razvan Buhosu, Ciprian Vlad and George-Andrei Marin
Energies 2025, 18(23), 6337; https://doi.org/10.3390/en18236337 - 2 Dec 2025
Viewed by 302
Abstract
The proliferation of power converters in modern energy production systems has led to increased harmonic content due to the commutation of active switching devices. This increase in harmonics contributes to lower system efficiency, reduced power factor, and consequently, a higher reactive power requirement. [...] Read more.
The proliferation of power converters in modern energy production systems has led to increased harmonic content due to the commutation of active switching devices. This increase in harmonics contributes to lower system efficiency, reduced power factor, and consequently, a higher reactive power requirement. To address these issues, this paper presents both simulation and experimental results of various control strategies implemented on Parallel Voltage Source Inverters (PVSI) for harmonic mitigation. The proposed control strategies are categorized into direct and indirect control methods. The direct control techniques implemented include the instantaneous power method (PQ), the synchronous algorithm (DQ), the maximum principle method (MAX), the algorithm based on synchronization of current with the voltage positive-sequence component (SEC-POZ), and two methods employing the separating polluting components approach using a band-stop filter and a low-pass filter. The main innovation in these active power filter (APF) control strategies, compared to traditional or existing technologies, is the real-time digital implementation on high-speed platforms, specifically FPGAs. Unlike slower microcontroller-based systems with limited processing capabilities, FPGA-based implementations allow parallel processing and high-speed computation, enabling the execution of complex control algorithms with minimal latency. Additionally, the enhanced reference current generation achieved through the seven applied methods provides precise harmonic compensation under highly distorted and nonlinear load conditions. Another key advancement is the integration with Smart Grid functionalities, allowing IoT connectivity and remote diagnostics, which enhances system monitoring and operational flexibility. Following validation on an experimental test bench, these algorithms were implemented and tested on industrial APF prototypes powered by a standardized three-phase network supply. All control strategies demonstrated an effective reduction in total harmonic distortion (THD) and improvement in power factor. Experimental findings were used to provide recommendations for choosing the most effective control solution, focusing on minimizing THD and enhancing system performance. Full article
Show Figures

Figure 1

22 pages, 7537 KB  
Article
Dynamic Response of Droop-Controlled Grid-Forming Inverters Under Varying Grid Impedances for Enhanced Stability in Microgrids
by Mohib Ullah, Yajuan Guan, Manuel A. Barrios, Juan C. Vasquez and Josep M. Guerrero
Appl. Sci. 2025, 15(23), 12562; https://doi.org/10.3390/app152312562 - 27 Nov 2025
Viewed by 540
Abstract
The fast-growing integration of renewable energy sources into the utility grids jeopardizes the system’s performance and stability at risk. Particularly, the increasing tendency of power electronics converters in the current renewables-based power generation and their integration to utility grids through long sub-sea cables [...] Read more.
The fast-growing integration of renewable energy sources into the utility grids jeopardizes the system’s performance and stability at risk. Particularly, the increasing tendency of power electronics converters in the current renewables-based power generation and their integration to utility grids through long sub-sea cables compromises the grid strength and amplifies the risk of system instability during disturbances. To sustain grid stability and ensure effective regulation during transients, grid-following (GFL) and grid-forming (GFM) control approaches have been extensively proposed for power systems with inverter-based resources (IBRs). The former approach is solely based on a phase-locked loop (PLL) to track the phase angle of grid voltage, which reduces the system stability margin, particularly in weak-grid scenarios. Consequently, grid-forming control is increasingly recognized for its ability to maintain stability and ensure reliable operation under weak-grid conditions. Droop control is one of the most widely used grid-forming control strategies owing to its capability to emulate the behavior of synchronous machines, achieve autonomous power sharing, and ensure stable voltage and frequency regulation even under varying grid conditions. This paper aims to evaluate the impact of grid impedance and its characteristics (i.e., resistive or inductive grid impedance) on the dynamic performance of a droop control GFM grid-connected converter. To that end, first, a detailed MATLAB/Simulink model of a voltage source converter implementing the proposed droop-based GFM control is developed. Then, the overall system will be validated by performing on distinct case studies including weak and stiff power grids with inductive, resistive and nonlinear impedances in response to various grid disturbances. Full article
Show Figures

Figure 1

25 pages, 15402 KB  
Article
Voltage Balancing of a Bipolar DC Microgrid with Unbalanced Unipolar Loads and Sources
by Mateus Pinheiro Dias, Debora P. Damasceno, Eliabe Duarte Queiroz, Kristian P. dos Santos, Jose C. U. Penã and José A. Pomilio
Processes 2025, 13(11), 3734; https://doi.org/10.3390/pr13113734 - 19 Nov 2025
Viewed by 284
Abstract
This paper presents the validation of a voltage balancing converter for a bipolar DC microgrid designed to ensure reliable operation in both grid-connected and islanded modes. This microgrid includes unipolar constant power loads (CPL), a unipolar Battery Energy Storage System (BESS), and local [...] Read more.
This paper presents the validation of a voltage balancing converter for a bipolar DC microgrid designed to ensure reliable operation in both grid-connected and islanded modes. This microgrid includes unipolar constant power loads (CPL), a unipolar Battery Energy Storage System (BESS), and local PV generation. The BESS converter employs a V–I droop strategy using only inductor current feedback, reducing sensing requirements while maintaining plug-and-play capability and ensuring smooth transitions between connected and islanded modes. In such a microgrid, the voltage balancing converter regulates the differential voltages under severe unbalanced load conditions and during transients caused by changes in unipolar loads and sources. The experimental results validate the voltage balancing strategy across various scenarios in a small-scale prototype. The results show tight voltage regulation under unbalanced conditions, and smooth transitions during load transients and unintentional islanding, even if there is no dc voltage source in one of the poles of the bipolar dc bus. For both conditions, the imbalance between the unipolar voltages is less than 0.5% of the total bipolar voltage. Full article
(This article belongs to the Special Issue Advances in Power Converters in Energy and Microgrid Systems)
Show Figures

Figure 1

17 pages, 963 KB  
Article
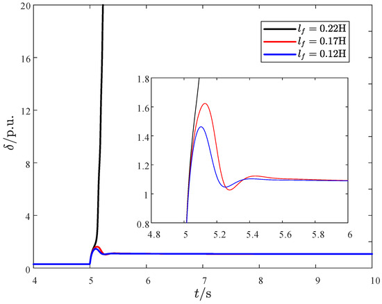
Impact of Filter Inductance on Transient Synchronization Stability of Grid-Connected Systems with Grid-Following Converters Under Voltage Sag Faults
by Qianying Mou, Jingxiu Yuan, Yuhan Wu, Shumin Sun and Jiawei Xing
Sustainability 2025, 17(19), 8634; https://doi.org/10.3390/su17198634 - 25 Sep 2025
Viewed by 410
Abstract
As renewable energy sources become more prevalent, maintaining the sustainable and reliable operation of power systems has become as a major challenge. Modern grid-connected converter systems are particularly prone to losing synchronization when encountering large disturbances, which is a huge threat to the [...] Read more.
As renewable energy sources become more prevalent, maintaining the sustainable and reliable operation of power systems has become as a major challenge. Modern grid-connected converter systems are particularly prone to losing synchronization when encountering large disturbances, which is a huge threat to the stability of the power grid, which is mainly based on renewable energy. This paper studies the impact of filter inductors on the synchronous stability of grid-connected converter systems, hoping to help us better connect renewable energy to the power grid. First, the existing synchronization stability model of grid-following (GFL) converters is extended by incorporating filter inductance modeling. Based on this model, a mathematical relationship between the phase-locked loop’s (PLL) frequency deviation and the filter inductance at the moment of fault is established, and a predictive method for GFL frequency deviation considering filter inductance is proposed. Furthermore, the impact of filter inductance on synchronization stability is systematically investigated through two key indicators: power angle overshoot and critical fault voltage, revealing the variation trends of transient stability under different operating conditions. Finally, the analytical results are validated through Matlab/Simulink simulations, providing theoretical guidance for the design of sustainable and robust renewable energy grid integration strategies. Full article
Show Figures

Figure 1

18 pages, 9662 KB  
Article
Isolated Bipolar Bidirectional Three-Port Converter with Voltage Self-Balancing Capability for Bipolar DC Microgrids
by Shusheng Wang, Chunxing Lian, Zhe Li, Zhenyu Zheng, Hai Zhou and Binxin Zhu
Electronics 2025, 14(18), 3672; https://doi.org/10.3390/electronics14183672 - 17 Sep 2025
Viewed by 509
Abstract
Bipolar DC microgrids gain significant attention for their flexible structure, high power supply reliability, and strong compatibility with distributed power sources. However, inter-pole voltage imbalance undermines system operational stability. An isolated bipolar bidirectional three-port converter with voltage self-balancing capability is proposed in this [...] Read more.
Bipolar DC microgrids gain significant attention for their flexible structure, high power supply reliability, and strong compatibility with distributed power sources. However, inter-pole voltage imbalance undermines system operational stability. An isolated bipolar bidirectional three-port converter with voltage self-balancing capability is proposed in this paper, which can serve as the interface between the energy storage system and bipolar bus while achieving automatic voltage balance between poles. Unlike traditional bidirectional grid-connected voltage balancers (VBs), the proposed converter requires no additional voltage monitoring or complex control systems. The operating modes, soft-switching boundary conditions, and inter-pole voltage self-balancing mechanism are elaborated. A 1 kW experimental prototype has been built to validate the theoretical analysis of the proposed converter. Full article
Show Figures

Figure 1

32 pages, 9092 KB  
Article
Model Reduction for Multi-Converter Network Interaction Assessment Considering Impedance Changes
by Tesfu Berhane Gebremedhin
Electronics 2025, 14(16), 3285; https://doi.org/10.3390/electronics14163285 - 19 Aug 2025
Viewed by 1020
Abstract
This paper addresses stability issues in modern power grids arising from extensive integration of power electronic converters, which introduce complex multi-time-scale interactions. A symbolic simplification method is proposed to accurately model grid-connected converter dynamics, significantly reducing computational complexity through transfer function approximations and [...] Read more.
This paper addresses stability issues in modern power grids arising from extensive integration of power electronic converters, which introduce complex multi-time-scale interactions. A symbolic simplification method is proposed to accurately model grid-connected converter dynamics, significantly reducing computational complexity through transfer function approximations and yielding efficient reduced-order models. An impedance-based approach utilizing impedance ratio (IR) is developed for stability assessment under active-reactive (PQ) and active power-AC voltage (PV) control strategies. The impacts of Phase-Locked Loop (PLL) and proportional-integral (PI) controllers on system stability are analysed, with a particular focus on quantifying remote converter interactions and delineating stability boundaries across varying network strengths and configurations. Furthermore, time-scale separation effectively simplifies Multi-Voltage Source Converter (MVSC) systems by minimizing inner-loop dynamics. Validation is conducted through frequency response evaluations, IR characterizations, and eigenvalue analyses, demonstrating enhanced accuracy, particularly with the application of lead–lag compensators within the critical 50–250 Hz frequency band. Time-domain simulations further illustrate the adaptability of the proposed models and reduction methodology, providing an effective and computationally efficient tool for stability assessment in converter-dominated power networks. Full article
Show Figures

Figure 1

46 pages, 12610 KB  
Article
Performance Assessment of Current Feedback-Based Active Damping Techniques for Three-Phase Grid-Connected VSCs with LCL Filters
by Mustafa Ali, Abdullah Ali Alhussainy, Fahd Hariri, Sultan Alghamdi and Yusuf A. Alturki
Mathematics 2025, 13(16), 2592; https://doi.org/10.3390/math13162592 - 13 Aug 2025
Cited by 2 | Viewed by 1508
Abstract
The voltage source converters convert the DC to AC in order to interface distributed generation units with the utility grid, typically using an LCL filter to smooth the modulated wave. However, the LCL filter can introduce resonance, potentially cause instability, and necessitate the [...] Read more.
The voltage source converters convert the DC to AC in order to interface distributed generation units with the utility grid, typically using an LCL filter to smooth the modulated wave. However, the LCL filter can introduce resonance, potentially cause instability, and necessitate the use of damping techniques, such as active damping, which utilizes feedback from the current control loop to suppress resonance. This paper presents a comprehensive performance assessment of four current-feedback-based active damping (AD) techniques—converter current feedback (CCF), CCF with capacitor current feedback (CCFAD), grid current feedback (GCF), and GCF with capacitor current feedback (GCFAD)—under a broad range of realistic grid disturbances and low switching frequency conditions. Unlike prior works that often analyze individual feedback strategies in isolation, this study highlights and compares their dynamic behavior, robustness, and total harmonic distortion (THD) in eight operational scenarios. The results reveal the severe instability of GCF in the absence of damping and the superior inherent damping property of CCF while demonstrating the comparable effectiveness of GCFAD. Moreover, a simplified yet robust design methodology for the LCL filter is proposed, enabling the filter to maintain stability and performance even under significant variations in grid impedance. Additionally, a sensitivity analysis of switching frequency variation is included. The findings offer valuable insights into selecting and implementing robust active damping methods for grid-connected converters operating at constrained switching frequencies. The effectiveness of the proposed methods has been validated through both MATLAB/Simulink simulations and hardware-in-the-loop (HIL) testing. Full article
Show Figures

Figure 1

22 pages, 6031 KB  
Article
Enhancement of Power Quality in Photovoltaic Systems for Weak Grid Connections
by Pankaj Kumar Sharma, Pushpendra Singh, Sharat Chandra Choube and Lakhan Singh Titare
Energies 2025, 18(15), 4066; https://doi.org/10.3390/en18154066 - 31 Jul 2025
Viewed by 840
Abstract
This paper proposes a novel control strategy for a dual-stage grid-connected solar photovoltaic (PV) system designed to ensure reliable and efficient operation under unstable grid conditions. The strategy incorporates a Phase-Locked Loop (PLL)-based positive sequence estimator for accurate detection of grid voltage disturbances, [...] Read more.
This paper proposes a novel control strategy for a dual-stage grid-connected solar photovoltaic (PV) system designed to ensure reliable and efficient operation under unstable grid conditions. The strategy incorporates a Phase-Locked Loop (PLL)-based positive sequence estimator for accurate detection of grid voltage disturbances, including sags, swells, and fluctuations in solar irradiance. A dynamic DC-link voltage regulation mechanism is employed to minimize converter power losses and enhance the performance of the Voltage Source Converter (VSC) under weak grid scenarios. The control scheme maintains continuous maximum power point tracking (MPPT) and unity power factor (UPF) operation, thereby improving overall grid power quality. The proposed method is validated through comprehensive simulations and real-time hardware implementation using the OPAL-RT OP4510 platform. The results demonstrate compliance with IEEE Standard 519, confirming the effectiveness and robustness of the proposed strategy. Full article
(This article belongs to the Section A1: Smart Grids and Microgrids)
Show Figures

Figure 1

21 pages, 2210 KB  
Article
Iterative Learning Control for Virtual Inertia: Improving Frequency Stability in Renewable Energy Microgrids
by Van Tan Nguyen, Thi Bich Thanh Truong, Quang Vu Truong, Hong Viet Phuong Nguyen and Minh Quan Duong
Sustainability 2025, 17(15), 6727; https://doi.org/10.3390/su17156727 - 24 Jul 2025
Cited by 2 | Viewed by 2117
Abstract
The integration of renewable energy sources (RESs) into power systems, particularly in microgrids, is becoming a prominent trend aimed at reducing dependence on traditional energy sources. Replacing conventional synchronous generators with grid-connected RESs through power electronic converters has significantly reduced the inertia of [...] Read more.
The integration of renewable energy sources (RESs) into power systems, particularly in microgrids, is becoming a prominent trend aimed at reducing dependence on traditional energy sources. Replacing conventional synchronous generators with grid-connected RESs through power electronic converters has significantly reduced the inertia of microgrids. This reduction negatively impacts the dynamics and operational performance of microgrids when confronted with uncertainties, posing challenges to frequency and voltage stability, especially in a standalone operating mode. To address this issue, this research proposes enhancing microgrid stability through frequency control based on virtual inertia (VI). Additionally, the Iterative Learning Control (ILC) method is employed, leveraging iterative learning strategies to improve the quality of output response control. Accordingly, the ILC-VI control method is introduced, integrating the iterative learning mechanism into the virtual inertia controller to simultaneously enhance the system’s inertia and damping coefficient, thereby improving frequency stability under varying operating conditions. The effectiveness of the ILC-VI method is evaluated in comparison with the conventional VI (C-VI) control method through simulations conducted on the MATLAB/Simulink platform. Simulation results demonstrate that the ILC-VI method significantly reduces the frequency nadir, the rate of change of frequency (RoCoF), and steady-state error across iterations, while also enhancing the system’s robustness against substantial variations from renewable energy sources. Furthermore, this study analyzes the effects of varying virtual inertia values, shedding light on their role in influencing response quality and convergence speed. This research underscores the potential of the ILC-VI control method in providing effective support for low-inertia microgrids. Full article
Show Figures

Figure 1

32 pages, 10857 KB  
Article
Improved Fault Resilience of GFM-GFL Converters in Ultra-Weak Grids Using Active Disturbance Rejection Control and Virtual Inertia Control
by Monigaa Nagaboopathy, Kumudini Devi Raguru Pandu, Ashmitha Selvaraj and Anbuselvi Shanmugam Velu
Sustainability 2025, 17(14), 6619; https://doi.org/10.3390/su17146619 - 20 Jul 2025
Cited by 1 | Viewed by 1569
Abstract
Enhancing the resilience of renewable energy systems in ultra-weak grids is crucial for promoting sustainable energy adoption and ensuring a reliable power supply during disturbances. Ultra-weak grids characterized by a very low Short-Circuit Ratio, less than 2, and high grid impedance significantly impair [...] Read more.
Enhancing the resilience of renewable energy systems in ultra-weak grids is crucial for promoting sustainable energy adoption and ensuring a reliable power supply during disturbances. Ultra-weak grids characterized by a very low Short-Circuit Ratio, less than 2, and high grid impedance significantly impair voltage and frequency stability, imposing challenging conditions for Inverter-Based Resources. To address these challenges, this paper considers a 110 KVA, three-phase, two-level Voltage Source Converter, interfacing a 700 V DC link to a 415 V AC ultra-weak grid. X/R = 1 is controlled using Sinusoidal Pulse Width Modulation, where the Grid-Connected Converter operates in Grid-Forming Mode to maintain voltage and frequency stability under a steady state. During symmetrical and asymmetrical faults, the converter transitions to Grid-Following mode with current control to safely limit fault currents and protect the system integrity. After fault clearance, the system seamlessly reverts to Grid-Forming Mode to resume voltage regulation. This paper proposes an improved control strategy that integrates voltage feedforward reactive power support and virtual capacitor-based virtual inertia using Active Disturbance Rejection Control, a robust, model-independent controller, which rapidly rejects disturbances by regulating d and q-axes currents. To test the practicality of the proposed system, real-time implementation is carried out using the OPAL-RT OP4610 platform, and the results are experimentally validated. The results demonstrate improved fault current limitation and enhanced DC link voltage stability compared to a conventional PI controller, validating the system’s robust Fault Ride-Through performance under ultra-weak grid conditions. Full article
Show Figures

Figure 1

25 pages, 7875 KB  
Article
A Comparative Study of Direct Power Control Strategies for STATCOM Using Three-Level and Five-Level Diode-Clamped Inverters
by Diyaa Mustaf Mohammed, Raaed Faleh Hassan, Naseer M. Yasin, Mohammed Alruwaili and Moustafa Ahmed Ibrahim
Energies 2025, 18(13), 3582; https://doi.org/10.3390/en18133582 - 7 Jul 2025
Cited by 2 | Viewed by 1183
Abstract
For power electronic interfaces, Direct Power Control (DPC) has emerged as a leading control technique, especially in applications such as synchronous motors, induction motors, and other electric drives; renewable energy sources (such as photovoltaic inverters and wind turbines); and converters that are grid-connected, [...] Read more.
For power electronic interfaces, Direct Power Control (DPC) has emerged as a leading control technique, especially in applications such as synchronous motors, induction motors, and other electric drives; renewable energy sources (such as photovoltaic inverters and wind turbines); and converters that are grid-connected, such as Virtual Synchronous Generator (VSG) and Static Compensator (STATCOM) configurations. DPC accomplishes several significant goals by avoiding the inner current control loops and doing away with coordinating transformations. The application of STATCOM based on three- and five-level diode-clamped inverters is covered in this work. The study checks the abilities of DPC during power control adjustments during diverse grid operation scenarios while detailing how multilevel inverters affect system stability and power reliability. Proportional Integral (PI) controllers are used to control active and reactive power levels as part of the control approach. This study shows that combining DPC with Sinusoidal Pulse Width Modulation (SPWM) increases the system’s overall electromagnetic performance and control accuracy. The performance of STATCOM systems in power distribution and transient response under realistic operating conditions is assessed using simulation tools applied to three-level and five-level inverter topologies. In addition to providing improved voltage quality and accurate reactive power control, the five-level inverter structure surpasses other topologies by maintaining a total harmonic distortion (THD) below 5%, according to the main findings. The three-level inverter operates efficiently under typical grid conditions because of its straightforward design, which uses less processing power and computational complexity. Full article
Show Figures

Figure 1

27 pages, 14158 KB  
Article
Application of Repetitive Control to Grid-Forming Converters in Centralized AC Microgrids
by Hélio Marcos André Antunes, Ramon Ravani Del Piero and Sidelmo Magalhães Silva
Energies 2025, 18(13), 3427; https://doi.org/10.3390/en18133427 - 30 Jun 2025
Cited by 1 | Viewed by 777
Abstract
The electrical grid is undergoing increasing integration of decentralized power sources connected to the low-voltage network. In this context, the concept of a microgrid has emerged as a system comprising small-scale energy sources, loads, and storage devices, coordinated to operate as a single [...] Read more.
The electrical grid is undergoing increasing integration of decentralized power sources connected to the low-voltage network. In this context, the concept of a microgrid has emerged as a system comprising small-scale energy sources, loads, and storage devices, coordinated to operate as a single controllable entity capable of functioning in either grid-connected or islanded mode. The microgrid may be organized in a centralized configuration, such as a master-slave scheme, wherein the centralized converter, i.e., the grid-forming converter (GFC), plays a pivotal role in ensuring system stability and control. This paper introduces a plug-in repetitive controller (RC) strategy tuned to even harmonic orders for application in a three-phase GFC, diverging from the conventional approach that focuses on odd harmonics. The proposed control is designed within a synchronous reference frame and is targeted at centralized AC microgrids, particularly during islanded operation. Simulation results are presented to assess the microgrid’s power flow and power quality, thereby evaluating the performance of the GFC. Additionally, the proposed control was implemented on a Texas Instruments TMS320F28335 digital signal processor and validated through hardware-in-the-loop (HIL) simulation using the Typhoon HIL 600 platform, considering multiple scenarios with both linear and nonlinear loads. The main results highlight that the RC improves voltage regulation, mitigates harmonic distortion, and increases power delivery capability, thus validating its effectiveness for GFC operation. Full article
(This article belongs to the Special Issue Energy, Electrical and Power Engineering: 4th Edition)
Show Figures

Figure 1

28 pages, 9836 KB  
Article
Cascaded H-Bridge Multilevel Converter Topology for a PV Connected to a Medium-Voltage Grid
by Hammad Alnuman, Essam Hussain, Mokhtar Aly, Emad M. Ahmed and Ahmed Alshahir
Machines 2025, 13(7), 540; https://doi.org/10.3390/machines13070540 - 21 Jun 2025
Viewed by 1848
Abstract
When connecting a renewable energy source to a medium-voltage grid, it has to fulfil grid codes and be able to work in a medium-voltage range (>10 kV). Multilevel converters (MLCs) are recognized for their low total harmonic distortion (THD) and ability to work [...] Read more.
When connecting a renewable energy source to a medium-voltage grid, it has to fulfil grid codes and be able to work in a medium-voltage range (>10 kV). Multilevel converters (MLCs) are recognized for their low total harmonic distortion (THD) and ability to work at high voltage compared to other converter types, making them ideal for applications connected to medium-voltage grids whilst being compliant with grid codes and voltage ratings. Cascaded H-bridge multilevel converters (CHBs-MLC) are a type of MLC topology, and they does not need any capacitors or diodes for clamping like other MLC topologies. One of the problems in these types of converters involves the double-frequency harmonics in the DC linking voltage and power, which can increase the size of the capacitors and converters. The use of line frequency transformers for isolation is another factor that increases the system’s size. This paper proposes an isolated CHBs-MLC topology that effectively overcomes double-line frequency harmonics and offers isolation. In the proposed topology, each DC source (renewable energy source) supplies a three-phase load rather than a single-phase load that is seen in conventional MLCs. This is achieved by employing a multi-winding high-frequency transformer (HFT). The primary winding consists of a winding connected to the DC sources. The secondary windings consist of three windings, each supplying one phase of the load. This configuration reduces the DC voltage link ripples, thus improving the power quality. Photovoltaic (PV) renewable energy sources are considered as the DC sources. A case study of a 1.0 MW and 13.8 kV photovoltaic (PV) system is presented, considering two scenarios: variations in solar irradiation and 25% partial panel shedding. The simulations and design results show the benefits of the proposed topology, including a seven-fold reduction in capacitor volume, a 2.7-fold reduction in transformer core volume, a 50% decrease in the current THD, and a 30% reduction in the voltage THD compared to conventional MLCs. The main challenge of the proposed topology is the use of more switches compared to conventional MLCs. However, with advancing technology, the cost is expected to decrease over time. Full article
(This article belongs to the Special Issue Power Converters: Topology, Control, Reliability, and Applications)
Show Figures

Figure 1

Back to TopTop