Due to scheduled maintenance work on our servers, there may be short service disruptions on this website between 11:00 and 12:00 CEST on March 28th.
Sign in to use this feature.

Years

Between: -

Subjects

remove_circle_outline
remove_circle_outline
remove_circle_outline
remove_circle_outline
remove_circle_outline
remove_circle_outline
remove_circle_outline
remove_circle_outline

Journals

Article Types

Countries / Regions

Search Results (24)

Search Parameters:
Keywords = equivalent anchorage

Order results
Result details
Results per page
Select all
Export citation of selected articles as:
17 pages, 1840 KB  
Article
Research on Factors Affecting the Anchoring Performance of Self-Drilling Anchor Bolts in Sandy Gravel Strata
by Fengjun Liu, Kui Li, Mingchong Zhao, Xiaojuan Gao, Chaosheng Wang, Xianglin Chen and Yugang Zhang
Buildings 2026, 16(5), 1058; https://doi.org/10.3390/buildings16051058 - 7 Mar 2026
Viewed by 203
Abstract
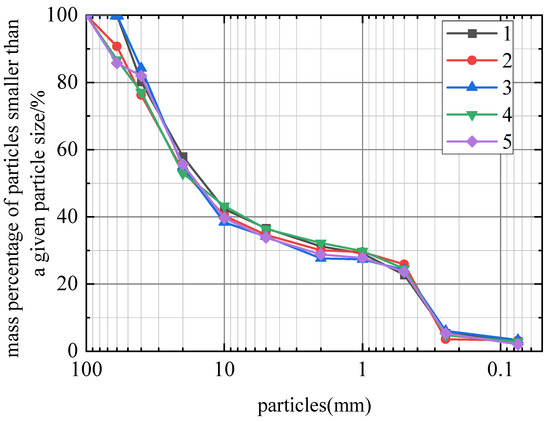
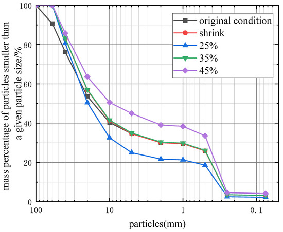
To study the anchoring performance of a self-drilling anchor in sandy gravel strata, the influence of different anchoring lengths on the ultimate pull-out resistance of the self-drilling anchor was carried out through field tests, and the load-displacement curve was obtained. Based on this, [...] Read more.
To study the anchoring performance of a self-drilling anchor in sandy gravel strata, the influence of different anchoring lengths on the ultimate pull-out resistance of the self-drilling anchor was carried out through field tests, and the load-displacement curve was obtained. Based on this, combined with the indoor grouting test, an indoor orthogonal test scheme in line with the construction technology of the self-drilling anchor was designed, and the effects of different fine particle proportions, grouting pressures, and water-cement ratios on the pull-out peak, ultimate displacement, anchor diameter, and equivalent bond strength were analyzed. The results indicate a critical value of the self-drilling anchor in the sandy gravel strata. In the field test and indoor test, the failure mode of the bolt is the failure of the interface between the anchor body and the soil, and the trend of the load-displacement curve of the bolt is the same. Through an orthogonal test, it was found that the proportion of fine particles has the greatest influence on the anchorage performance of the self-drilling bolt. With the increase in the proportion of fine particles, the peak value of pull-out decreases, indicating that the self-drilling bolt exhibits better anchorage performance in soft soil layers, such as sandy gravel strata. Full article
Show Figures

Figure 1

26 pages, 9230 KB  
Article
Seismic Behavior of Precast Beam–Column Joint Assembled by High-Strength Bottom Reinforcement of U-Shaped Anchor
by Zhiqi Wang, Guangyao Zhang, Luming Li, Wenliang Ma, Zhipeng Xu, Yuxia Suo, Qinghui Liu, Wen Cheng and Xun Li
Buildings 2026, 16(2), 374; https://doi.org/10.3390/buildings16020374 - 16 Jan 2026
Viewed by 490
Abstract
This study proposes a high-strength bottom-bar interlocking and anchorage precast beam–column joint (HSRU-PBCJ), which utilizes high-strength longitudinal reinforcement combined with U-shaped anchorage at the beam bottom. Low-cycle reversed loading tests were conducted on two precast specimens and one cast-in-place specimen to evaluate their [...] Read more.
This study proposes a high-strength bottom-bar interlocking and anchorage precast beam–column joint (HSRU-PBCJ), which utilizes high-strength longitudinal reinforcement combined with U-shaped anchorage at the beam bottom. Low-cycle reversed loading tests were conducted on two precast specimens and one cast-in-place specimen to evaluate their seismic performance. Based on these results, parametric analyses were conducted through numerical simulations to investigate the effects of axial compression ratio, concrete strength, beam-end longitudinal reinforcement strength, and beam-end longitudinal reinforcement ratio on the seismic performance. The results indicate that the proposed joint exhibits stable and full hysteresis loops, cumulative energy dissipation comparable to that of the cast-in-place joint, and a 23.94–26.39% increase in equivalent viscous damping after yielding, achieving a displacement ductility coefficient of 4.14, which confirms its substantially improved seismic performance. The parametric study shows that maintaining a moderate axial compression ratio (≤0.6) enhances both load-bearing capacity and energy dissipation, whereas excessive values result in strength reduction. Increasing the beam-end longitudinal reinforcement strength significantly improves load-bearing capacity but may reduce energy dissipation. In addition, improving concrete strength and appropriately increasing the reinforcement ratio can further enhance both load-bearing capacity and energy dissipation, although a balance between seismic performance and economic considerations is recommended. Full article
Show Figures

Figure 1

28 pages, 7160 KB  
Article
Evaluation of the Seismic Behavior of Carbon-Grid-Reinforced Walls with Varying Anchorage and Axial Load Ratios
by Kyung-Min Kim, Sung-Woo Park, Bhum-Keun Song, Kyung-Jae Min and Seon-Hee Yoon
Polymers 2026, 18(1), 144; https://doi.org/10.3390/polym18010144 - 5 Jan 2026
Viewed by 354
Abstract
Fiber-reinforced polymers (FRPs) are being increasingly used to replace rebars as reinforcements for concrete. This study evaluated the seismic behavior of concrete walls reinforced with grid-type carbon FRP (CFRP; carbon grid) through quasi-static cyclic tests and compared the results with that of the [...] Read more.
Fiber-reinforced polymers (FRPs) are being increasingly used to replace rebars as reinforcements for concrete. This study evaluated the seismic behavior of concrete walls reinforced with grid-type carbon FRP (CFRP; carbon grid) through quasi-static cyclic tests and compared the results with that of the reinforced concrete (RC) wall. The experimental variables were the ratio of the carbon-grid anchorage length in the foundation to the wall length and the axial force ratio. Based on the results of the quasi-static cyclic tests, the ratio of the equivalent stiffness at the crushing of the compression-edge cover concrete to the initial stiffness of the carbon-grid-reinforced concrete specimens was 0.14 on average. This indicates that the specimens reached their maximum load due to the crushing of the compression-edge cover concrete after a significant reduction in stiffness due to cracking. The skeleton curve for the carbon-grid-reinforced concrete specimens was found to be bilinear, with reduced stiffness due to cracking and failure due to the crushing of the compression-edge cover concrete, making it definable and predictable. Additionally, in specimens with a high axial force or small ratio of the anchorage length in the foundation to the wall length, some of the longitudinal CFRP strands fractured at the same time as they reached the failure load. Moreover, the load at the crushing of the compression-edge cover concrete of the carbon-grid-reinforced concrete specimen increased by 1.10 times with the increase in the axial force ratio and decreased by 0.96 times with the decrease in the ratio of the anchorage length in the foundation to the wall length. It was found to be 0.73–0.80 times the flexural strength based on the assumption of plane sections remaining plane. In comparison with RC specimen, the cumulative absorbed energy of the carbon-grid-reinforced concrete specimen began to decrease after a story drift ratio of 1%, and the cumulative absorbed energy up to the target story drift ratio of 3.0% was found to be 0.60–0.62 times that of the RC specimen. Full article
(This article belongs to the Special Issue Polymer Composites in Construction Materials)
Show Figures

Figure 1

16 pages, 3631 KB  
Article
Experimental Study on the Flexural Performance of Grooved-Connected Truss-Reinforced Concrete Composite Slabs
by Ting Liu, Qingjun Guo, Ruixuan Wang, Jin Lu and Guanqi Lan
Buildings 2025, 15(22), 4189; https://doi.org/10.3390/buildings15224189 - 19 Nov 2025
Viewed by 575
Abstract
To address the conflicts between traditional composite slab reinforcement layouts and supports—which adversely affect construction quality and efficiency—and to fill the theoretical gap regarding end connections without projecting bars in terms of interface shear transfer, staged flexural behavior, and anchorage reliability, a grooved [...] Read more.
To address the conflicts between traditional composite slab reinforcement layouts and supports—which adversely affect construction quality and efficiency—and to fill the theoretical gap regarding end connections without projecting bars in terms of interface shear transfer, staged flexural behavior, and anchorage reliability, a grooved end-connection configuration for composite slabs is proposed. In this configuration, the longitudinal bars of the precast slab do not extend beyond the slab end. The precast slab end is formed with a recessed–protruding profile; the longitudinal bars are exposed within the groove, where additional reinforcement is pre-embedded (with a diameter not less than the area-equivalent of the longitudinal bars that would otherwise extend into the support). After erection, the additional bars are extended using straight-thread sleeves; short longitudinal bars within the groove are tied to the bottom longitudinal bars. Both the extended additional bars and the short longitudinal bars are anchored into the support by at least 5d and pass the support centerline. To evaluate the global flexural behavior of slabs with grooved end-connections, a two-span, full-scale specimen was tested under static loading. Failure characteristics, crack initiation and propagation, ultimate capacity, deflection, and ductility were investigated. The results indicate that, in the full-scale two-span test, the service load was 11.35 kN/m2 (approximately 13.5% higher than the design value of 10.0 kN/m2); the midspan deflection was about L/110 (smaller than the L/50 limit); the first cracking and the pronounced nonlinearity inflection point occurred at approximately 4.25 kN/m2 and ≥9.35 kN/m2, respectively; and the maximum crack width was 1.66 mm. The test was terminated prior to reaching the durability and deformation limits, after which the load was increased to 22.20 kN/m2. The specimen exhibited a ductile flexural failure governed by tensile reinforcement yielding; the top concrete did not crush, no shear failure was observed at the ends, and no delamination occurred at the composite interface, demonstrating favorable global flexural performance. Full article
Show Figures

Figure 1

17 pages, 11138 KB  
Article
Influence of Interface Roughness and Hygrothermal Environment on the Flexural Performance of Prestressed CFRP-Strengthened Cracked Steel Beams
by Junhui Li, Kun Wu and Min Yang
J. Compos. Sci. 2025, 9(11), 602; https://doi.org/10.3390/jcs9110602 - 3 Nov 2025
Cited by 1 | Viewed by 600
Abstract
To meet the strengthening requirements of damaged steel beams in hygrothermal environments, this study conducted four-point bending tests on nine pre-cracked steel beam specimens. The coupled effects of surface roughness, end anchorage, prestressing level of carbon fiber-reinforced polymer (CFRP), and hygrothermal aging on [...] Read more.
To meet the strengthening requirements of damaged steel beams in hygrothermal environments, this study conducted four-point bending tests on nine pre-cracked steel beam specimens. The coupled effects of surface roughness, end anchorage, prestressing level of carbon fiber-reinforced polymer (CFRP), and hygrothermal aging on the flexural behavior of the strengthened beams were systematically investigated. Results show that high-grade sandblasting (Sa3) significantly enhances interfacial bond strength through a synergistic “mechanical interlock-adhesion” mechanism, increasing the cracking load of the adhesive layer by 8.2–16.8% compared with Sa2, while partially mitigating the performance degradation caused by hygrothermal aging. The use of end anchorages effectively suppresses CFRP debonding at the beam ends, improving the ultimate load capacity and deformation performance. When a prestress equivalent to 25% of the CFRP’s ultimate tensile strength was applied, the load capacity of the strengthened beams further increased by 10.5–19.3%, interfacial cracking was effectively delayed, and the CFRP utilization efficiency reached 96.8–98.5%. Although hygrothermal exposure accelerated interfacial deterioration and reduced the interfacial cracking load, its influence on the ultimate load was relatively limited. These results offer valuable scientific and engineering insights for the design and interface treatment of CFRP-strengthened steel bridges in hygrothermal regions. Full article
(This article belongs to the Special Issue Composite Materials for Civil Engineering Applications)
Show Figures

Figure 1

17 pages, 9781 KB  
Article
Research on the Tensile-Bending Dynamic Response of the Half-Through Arch Bridge Short Suspender Considering Vehicle-Bridge Coupling Vibration
by Lianhua Wang, Guowen Yao and Xuanbo He
Vibration 2025, 8(3), 51; https://doi.org/10.3390/vibration8030051 - 4 Sep 2025
Viewed by 717
Abstract
The half-through arch bridge short suspender is more prone to damage due to its high linear stiffness and special force characteristics. To analyze the vehicle-induced vibration characteristics of the short suspender during service, a half-through arch bridge finite element model and a three-axis [...] Read more.
The half-through arch bridge short suspender is more prone to damage due to its high linear stiffness and special force characteristics. To analyze the vehicle-induced vibration characteristics of the short suspender during service, a half-through arch bridge finite element model and a three-axis vehicle model were established to realize the coupled vibration of the suspender axle under bridge deck unevenness excitation. The suspender was simulated using LINK element and BEAM element and separated along its axial and radial directions, and its tension-bending response characteristics was studied. The study found that the short suspender’s amplitude and frequency are higher than those of the long suspender as vehicle critical duration increases. Influenced by the tensile bending effect, the vibration, cross-section equivalent force amplitude, and impact coefficient at the anchorage end are larger than those at the center, and the lower anchorage end’s cross-section peak stress is biased towards the direction of the side column. The internal force of the short suspender is consistent with the deformation trend; its internal force coincides with the deformation trend; and its axial alternating load is generated by the axial relative deformation between the arch rib and the bridge deck, while the bending alternating load originates from the rotational deformation of the short suspender. Full article
Show Figures

Figure 1

14 pages, 1995 KB  
Article
Mechanical and Bond-Slip Properties of Steel-Fiber-Reinforced Geopolymer Recycled-Aggregate Concrete
by Jianhua Ji, Zening Zhang, Yi Zhang and Xi Liu
Buildings 2025, 15(13), 2179; https://doi.org/10.3390/buildings15132179 - 22 Jun 2025
Viewed by 1034
Abstract
Steel-fiber-reinforced geopolymer recycled-aggregate concrete (SFGRC) represents a promising low-carbon building material, yet data on its bond behavior remains scarce, limiting its structural application. To study the mechanical properties and bond strength of SFGRC, five groups of different mix proportions were designed. The main [...] Read more.
Steel-fiber-reinforced geopolymer recycled-aggregate concrete (SFGRC) represents a promising low-carbon building material, yet data on its bond behavior remains scarce, limiting its structural application. To study the mechanical properties and bond strength of SFGRC, five groups of different mix proportions were designed. The main variation parameters were the content of recycled aggregate and the volume content of steel fiber. The cube compressive strength, splitting tensile strength, and flexural strength tests of SFGRC were completed. The influence law of different anchorage lengths on the bond strength between steel bars and SFGRC was studied through the central pull-out test. A multi-parameter probability prediction model of bond strength based on Bayesian method was established. The results show that with the increase of the content of recycled aggregate, the compressive strength of the specimen shows a downward trend, but the tension-compression ratio is increased by 18–22% compared to concrete with natural aggregates at equivalent strength grades. The content of steel fiber can significantly improve the mechanical properties of SFGRC. The bond strength between steel bars and SFGRC is 14.82–17.57 MPa, and the ultimate slip is 0.30–0.38 mm. A probability prediction model of ultimate bond strength is established based on 123 sets of bond test data. The mean and covariance of the ratio of the predicted value of the probability model to the test value are 1.14 and 2.61, respectively. The model has high prediction accuracy, and continuity and can reasonably calculate the bond strength between steel bars and SFGRC. The developed Bayesian model provides a highly accurate and reliable tool for predicting SFGRC bond strength, facilitating its safe and optimized design in sustainable construction projects. Full article
(This article belongs to the Section Building Materials, and Repair & Renovation)
Show Figures

Figure 1

17 pages, 6227 KB  
Article
A Novel Vaccine for Bovine Diarrhea Complex Utilizing Recombinant Enterotoxigenic Escherichia coli and Salmonella Expressing Surface-Displayed Chimeric Antigens from Enterohemorrhagic Escherichia coli O157:H7
by Hernán Ramírez, Daniel A. Vilte, Daniela Hozbor, Eugenia Zurita, Daniela Bottero, María C. Casabonne, Ángel A. Cataldi, Andrés Wigdorovitz and Mariano Larzábal
Vaccines 2025, 13(2), 124; https://doi.org/10.3390/vaccines13020124 - 25 Jan 2025
Viewed by 2348
Abstract
Background/Objectives: Enterohemorrhagic Escherichia coli (EHEC) O157:H7, a zoonotic pathogen primarily found in cattle, causes Hemolytic Uremic Syndrome (HUS) in humans, often through contaminated food. Its Type Three Secretion System (T3SS) facilitates gut colonization. In contrast, neonatal calf diarrhea (NCD) is mainly caused by [...] Read more.
Background/Objectives: Enterohemorrhagic Escherichia coli (EHEC) O157:H7, a zoonotic pathogen primarily found in cattle, causes Hemolytic Uremic Syndrome (HUS) in humans, often through contaminated food. Its Type Three Secretion System (T3SS) facilitates gut colonization. In contrast, neonatal calf diarrhea (NCD) is mainly caused by pathogens like enterotoxigenic Escherichia coli (ETEC), Salmonella spp., Bovine Coronavirus (BCoV), and Bovine Rotavirus type A (BRoVA). This study engineered a chimeric protein combining EspB and Int280γ, two T3SS components, expressed in the membranes of Salmonella Dublin and ETEC. Methods: Immune responses in vaccinated mice and guinea pigs were assessed through ELISA assays. Results: Successful membrane anchorage and stability of the chimera were confirmed. Immune evaluations showed no enhancement from combining recombinant bacteria, indicating either bacterium suffices in a single formulation. Chimeric expression yielded immunogenicity equivalent to 10 µg of recombinant protein, with similar antibody titers. IgG1/IgG2a levels and Th1, Th2, and Th17 markers indicated a mixed immune response, providing broad humoral and cellular protection. Responses to BCoV, BRoVA, ETEC, and Salmonella antigens remained strong and did not interfere with chimera-specific responses, potentially boosting NCD vaccine efficacy. Conclusions: The chimera demonstrated robust immunogenicity, supporting its potential as a viable vaccine candidate against EHEC O157:H7. This approach could enhance NCD vaccine valency by offering broader protection against calf diarrhea while reducing HUS transmission risks to humans. Full article
(This article belongs to the Special Issue Vaccines and Passive Immune Strategies in Veterinary Medicine)
Show Figures

Figure 1

18 pages, 9961 KB  
Article
Bond Shear Tests to Evaluate Different CFRP Shear Strengthening Strategies for I-Shaped Concrete Cross-Sections
by Muhammad Arslan Yaqub, Christoph Czaderski and Stijn Matthys
Materials 2024, 17(13), 3342; https://doi.org/10.3390/ma17133342 - 5 Jul 2024
Cited by 1 | Viewed by 1514
Abstract
I-shaped concrete girders are widely used in precast bridge and roof construction, making them a common structural component in existing infrastructure. Despite well-established strengthening techniques using various innovative materials, such as externally bonded carbon fibre reinforced polymer (CFRP) reinforcement, the shear strengthening of [...] Read more.
I-shaped concrete girders are widely used in precast bridge and roof construction, making them a common structural component in existing infrastructure. Despite well-established strengthening techniques using various innovative materials, such as externally bonded carbon fibre reinforced polymer (CFRP) reinforcement, the shear strengthening of an I-shaped concrete girder is not straightforward. Several research studies have shown that externally bonded CFRP reinforcement might exhibit early debonding at the concave corners of the I-shape, resulting in a marginal increase in shear capacity. This research study aims to assess the performance of two different CFRP shear strengthening strategies for I-shaped concrete cross-sections. In the first strategy, CFRP was bonded along the I-shape of the cross-section with the provision of additional anchorage. In the second strategy, the I-shape was transformed into a rectangular shape by using in-fill blocks over which the CFRP was bonded in a U-configuration. In addition to the strengthening strategies, the investigated parameters included two different materials for the in-fill blocks (conventional and aerated concrete) and two different anchoring schemes (bolted steel plate anchor and CFRP spike anchor). To avoid testing on large-scale girders, a new test methodology has been implemented on concrete I-sections. The test results demonstrate the feasibility of comparing different shear strengthening configurations dedicated to I-sections. Among other findings, the results showed that the local transformation of the I-shape to an equivalent rectangular shape could be a viable solution, resulting in shear strength enhancement of 12% to 53% without and with the anchorages, respectively. Full article
(This article belongs to the Special Issue Strengthening, Repair, and Retrofit of Reinforced Concrete)
Show Figures

Figure 1

19 pages, 8035 KB  
Article
Simplified Modeling Method for Prefabricated Shear Walls Considering Sleeve Grouting Defects
by Yanan Wang, Hongchen Wang and Fujie Wang
Buildings 2024, 14(6), 1813; https://doi.org/10.3390/buildings14061813 - 14 Jun 2024
Cited by 5 | Viewed by 1733
Abstract
The sleeve grouting connection is the most common form of vertical connection for prefabricated shear walls. However, during construction, this type of connection is prone to defects such as insufficient anchorage length of reinforcement, deviation of reinforcement, and insufficient amount of sleeve grouting, [...] Read more.
The sleeve grouting connection is the most common form of vertical connection for prefabricated shear walls. However, during construction, this type of connection is prone to defects such as insufficient anchorage length of reinforcement, deviation of reinforcement, and insufficient amount of sleeve grouting, which significantly impact the integrity and seismic performance of the prefabricated shear wall structure. The finite element analysis of the prefabricated shear wall with sleeve grouting connection is still based on solid element modeling. This method has the disadvantages of complex models and low computational efficiency. In this paper, a simplified modeling method for prefabricated shear walls considering sleeve grouting defects was proposed to address this issue. Firstly, the equivalent constitutive relationship of the sleeve grouting defect connector was constructed based on the uniaxial tensile test of the existing sleeve grouting defect connector, and the T3D2 element was used to simulate the sleeve grouting connector. Then, the mechanical behavior of the horizontal joint between the shear wall and the foundation beam was simulated by the cohesive force model, and the prefabricated shear wall models with sleeve grouting defects were established. The accuracy of the simplified modeling method was verified by comparing the experimental results and numerical simulation results of the seismic performance of the prefabricated shear wall with sleeve grouting defects. The results showed that the hysteresis curve, skeleton curve, and failure mode of the numerical simulation were in good agreement with the test results. However, the stiffness of the concrete degenerated rapidly due to the apparent development of plastic-damaged concrete, which made the falling section of the hysteresis curve of the numerical simulation different from that of the test. The proposed simplified modeling method can be further applied to the performance study of prefabricated shear walls with sleeve grouting defects and can provide a reference for structural performance evaluation, design optimization, and construction quality control to a certain extent. Full article
(This article belongs to the Special Issue Foundation Treatment and Building Structural Performance Enhancement)
Show Figures

Figure 1

15 pages, 6155 KB  
Article
Research on Anchorage Performance of the Foundation Ring for Wind Turbines
by Junjun Zhang, Hao Huang, Li Zhen, Linyuan Sun, Jiaxiang Yang, Kang Chen and Gaixin Chen
Materials 2024, 17(8), 1716; https://doi.org/10.3390/ma17081716 - 9 Apr 2024
Viewed by 2396
Abstract
The foundation ring (FR) is a steel component embedded within the concrete of a wind turbine foundation, playing a pivotal role in connecting the wind turbine tower to the foundation structure. In this paper, the FR–foundation connection is equivalent to the exposed foundation [...] Read more.
The foundation ring (FR) is a steel component embedded within the concrete of a wind turbine foundation, playing a pivotal role in connecting the wind turbine tower to the foundation structure. In this paper, the FR–foundation connection is equivalent to the exposed foundation and the shallow foundation by analyzing the anchorage characteristics of the foundation ring. Based on the ABAQUS concrete damaged plasticity model, full-scale modeling of the wind turbine foundation is carried out. The influence of embedment depth, ring radius and base flange width of the foundation ring on moment capacity is simulated. Based on the observed stress distributions under ultimate loads, analytical expressions were proposed to estimate the variation law of anchorage load-bearing capacity in the ultimate load state. Compared with the numerical simulation, the average errors under different influencing factors are 8.2%, 9.6% and 10.8%, respectively. The results indicate that the base flange provided the majority of the moment capacity, though the contribution of the sidewall increased to 25–50% that of the base flange in later stages. Full article
Show Figures

Figure 1

22 pages, 2588 KB  
Article
Multi-Objective Optimization of the Multimodal Routing Problem Using the Adaptive ε-Constraint Method and Modified TOPSIS with the D-CRITIC Method
by Apichit Maneengam
Sustainability 2023, 15(15), 12066; https://doi.org/10.3390/su151512066 - 7 Aug 2023
Cited by 23 | Viewed by 4850
Abstract
This paper proposes a multi-criteria decision-making approach for the multimodal routing problem (MRP) of bulk transportation in Thailand to minimize the total cost, transportation time, and total carbon dioxide-equivalent (CO2e) emissions simultaneously. The proposed approach has three phases: The first phase [...] Read more.
This paper proposes a multi-criteria decision-making approach for the multimodal routing problem (MRP) of bulk transportation in Thailand to minimize the total cost, transportation time, and total carbon dioxide-equivalent (CO2e) emissions simultaneously. The proposed approach has three phases: The first phase is generating all nondominated solutions using Kirlik and Sayin’s adaptive ε-constraint method. In the second phase, the Distance Correlation-based Criteria Importance Through Inter-criteria Correlation (D-CRITIC) method is used to determine the weight of each objective function and assign it to the modified technique for order of preference by similarity to ideal solution (modified TOPSIS) model in next phase. The third phase consists of ranking Pareto solutions obtained from the first phase using the modified TOPSIS. This proposed approach is applied to a real-world problem to enable the selection of the best route for transporting goods from the anchorage area in the Gulf of Thailand to the destination factory throughout a multimodal transportation network in Thailand. The computational results indicate that the proposed approach is superior to the current approach utilizing the ε-constraint method (ECM) regarding the number of Pareto solutions obtained and the proportion of computational time to the number of Pareto solutions obtained. Finally, the proposed method can solve the MRP with three or more objective functions and provide a multimodal route selection approach that is suitable for decision makers to offer a multimodal route to customers in the negotiation process for outsourcing transportation. Full article
(This article belongs to the Special Issue Optimization of Sustainable Transport and Logistics Processes)
Show Figures

Figure 1

22 pages, 10672 KB  
Article
Study on Time-Dependent Failure Mechanisms and CBAG Differential Support Technology of Roadway in Steeply Inclined Coal Seam
by Zhengzheng Xie, Jin Wang, Nong Zhang, Feng Guo, Zhe He, Zhe Xiang and Chenghao Zhang
Processes 2023, 11(3), 866; https://doi.org/10.3390/pr11030866 - 14 Mar 2023
Cited by 7 | Viewed by 2127
Abstract
In Sichuan Province, China, most coal seams that are mined are steeply inclined; their roadways’ surrounding rocks are asymmetric, with non-equilibrium deformations and unstable anchorage structures, thus making major safety hazards highly likely. Using field observations and a universal distinct element code (UDEC) [...] Read more.
In Sichuan Province, China, most coal seams that are mined are steeply inclined; their roadways’ surrounding rocks are asymmetric, with non-equilibrium deformations and unstable anchorage structures, thus making major safety hazards highly likely. Using field observations and a universal distinct element code (UDEC) numerical simulation method, this paper analyzed the time-dependent failure of the ventilation roadway of Working Face 1961 of the Zhaojiaba Mine, revealing the preconditions for such damage and a bidirectional deterioration mechanism for the deformation as well as stress of surrounding rocks. Moreover, this paper built an anchorage mechanical model for the thick layer of the roadway roof and proposed a cross-boundary anchor-grouting (CBAG) differential support technique. Calculations proved that the new support was particularly effective in restraining the expansion of tension cracks, thus preventing the slipping and dislocation deformations of rock masses on the curved roof side. The feedback of engineering applications showed that the maximum development depths of cracks in the arc roof and straight inclined roof of the roadway 150 m behind the working face are only 1.5 m and 1.10 m, decreasing by 61.3% and 47.6%, respectively, compared with the primary support. The proposed technology offers an overall thick-layer bearing structure for the surrounding rocks of roadways, effectively restraining the non-equilibrium large deformations of roadways in steeply inclined coal seams. Full article
(This article belongs to the Special Issue Process Safety in Coal Mining)
Show Figures

Figure 1

13 pages, 6802 KB  
Article
Improving the Anchorage in Textile Reinforced Cement Composites by 3D Spacer Connections: Experimental Study of Flexural and Cracking Behaviors
by Michael El Kadi, Danny Van Hemelrijck and Tine Tysmans
J. Compos. Sci. 2022, 6(12), 357; https://doi.org/10.3390/jcs6120357 - 23 Nov 2022
Cited by 3 | Viewed by 2227
Abstract
Textile-reinforced cement (TRC) composites can lead to significant material (and dimensional) savings compared to steel-reinforced concrete, particularly when applied in thin-walled structures such as façade panels, shells, etc. In conditions where the geometrical restrictions do not allow for sufficient anchorage, however, the exploitation [...] Read more.
Textile-reinforced cement (TRC) composites can lead to significant material (and dimensional) savings compared to steel-reinforced concrete, particularly when applied in thin-walled structures such as façade panels, shells, etc. In conditions where the geometrical restrictions do not allow for sufficient anchorage, however, the exploitation of this reinforcement may be suboptimal and the TRC’s mechanical properties may decrease. As shown in the literature, the use of 3D textile reinforcement can lead to an improved anchorage in the reinforcement points and superior post-cracking behavior in terms of bending. The question remains as to whether similar improvements can be achieved using 3D spacer connections, inserted post-manufacturing of the textiles. Therefore, this research experimentally investigated the effect of discretely inserted spacer connections on the flexural properties and cracking behavior of TRCs. Six different TRC beam configurations—varying in the placement of the spacer connections over the span—were investigated. Moreover, a comparison was made with two additional configurations: one equivalent 2D TRC system (using the same in-plane textiles but without through-thickness connections) and one 3D TRC system using knitted 3D textiles (with spacer yarns uniformly distributed). The four-point bending tests were monitored via digital image correlation (DIC) to visualize the full-field cracking pattern. The experimental results showed that the spacer connections could strongly improve the post-cracking bending stiffness and the modulus of rupture (MOR) when placed close to the free end of the sample and could also lead to reduced crack widths when placed around the midspan. Full article
(This article belongs to the Special Issue Feature Papers in Journal of Composites Science in 2022)
Show Figures

Figure 1

13 pages, 3938 KB  
Article
Bond Stress–Slip Model of BFRP Grid to ECC
by Langni Deng, Taisheng Li, Mengjun Zhong, Ling Liao and Hua Li
Materials 2022, 15(22), 7965; https://doi.org/10.3390/ma15227965 - 11 Nov 2022
Cited by 6 | Viewed by 2271
Abstract
The bonding performance between a basalt fiber-reinforced composite material (BFRP) grid and an engineering cementitious composite (ECC) is the basis that affects the synergy between the two. However, the research on the bonding behavior between the FRP grid and ECC is limited; in [...] Read more.
The bonding performance between a basalt fiber-reinforced composite material (BFRP) grid and an engineering cementitious composite (ECC) is the basis that affects the synergy between the two. However, the research on the bonding behavior between the FRP grid and ECC is limited; in particular, the theoretical study on the bond–slip intrinsic relationship model and a reliable anchorage length calculation equation is lacking. To study the bond–slip relationship between the BFRP grid and ECC material, we considered the parameters of BFRP grid thickness, anchorage length, ECC substrate protective layer thickness, and grid surface treatment, and conducted center pull-out tests on eight sets of specimens. By analyzing the characteristics of the bond–slip curve of the specimen, a bond–slip constitutive model between the BFRP grid and ECC was established. Combining the principle of equivalent strain energy, the calculation formula of the basic anchorage length of the BFRP grid in the ECC matrix was derived. Research shows that the bonding performance between the BFRP grid and ECC improves with the increase in the grid anchoring length, grid thickness, and ECC layer strength. Sand sticking on the surface of the BFRP grid can enhance the bonding force between the two. The established bond–slip constitutive model curve is in good agreement with the test curve. The bond–slip relationship between the BFRP grid and ECC can be described by the first two stages in the BPE model. The derived formula for calculating the basic anchorage length of the BFRP mesh in the ECC matrix is computationally verified to be reliable in prediction. Full article
Show Figures

Figure 1

Back to TopTop