Simplified Modeling Method for Prefabricated Shear Walls Considering Sleeve Grouting Defects
Abstract
1. Introduction
2. Simplified Model of Sleeve Grouting Connector with Defects
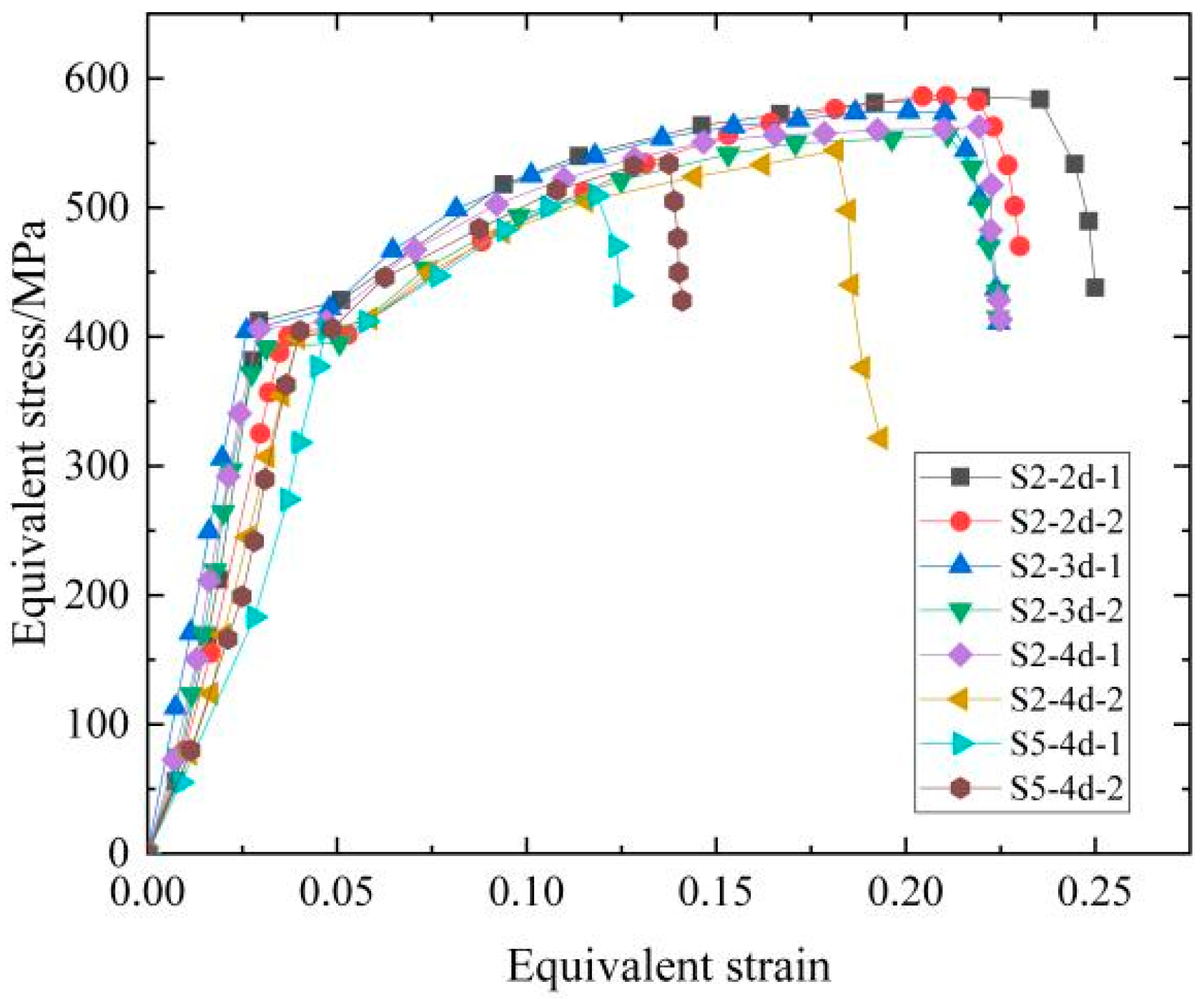
2.1. Equivalent Constitutive Model of Sleeve Grouting Connector with Defects
2.2. Simplified Model of Sleeve Grouting Connector
3. Finite Element Modeling of Prefabricated Shear Wall Considering Sleeve Grouting Defects
3.1. Element Type and Meshing
3.2. Constitutive Model of Materials
3.2.1. Concrete
3.2.2. Steel Reinforcement
3.3. Simulation of Horizontal Seaming
3.4. Boundary Conditions and Loads
4. Comparison and Verification of Simplified Methods for Prefabricated Shear Wall Considering Sleeve Grouting Defects
4.1. Verification Test Overview
4.2. Comparison and Verification of Numerical Simulation Results
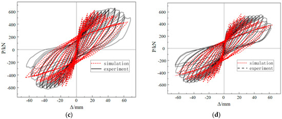
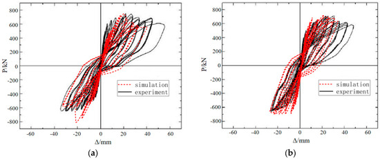
4.2.1. Hysteretic Curve
4.2.2. Skeleton Curve
4.2.3. Failure Mode
5. Conclusions
- (1)
- The finite element model modeling method of sleeve grouting connection prefabricated shear wall for different defects proposed in this paper can better simulate the seismic performance of shear walls, such as yield-bearing capacity, peak bearing capacity, and failure mode. It can also better reflect the ‘pinching’ characteristics of the hysteresis curve. However, it is important to note that the unloading stiffness is lower than the actual stiffness due to the continuous accumulation of plastic damage in concrete under horizontal cyclic loading;
- (2)
- In this paper, the trilinear constitutive model suitable for sleeve grouting defect connectors is constructed by classifying and analyzing the existing test data. It is related to sleeve end defect and anchorage length defect without considering other defects, which can be investigated in future studies;
- (3)
- The proposed modeling method can reduce the number of meshes and reduce the complexity of the model by simplifying the solid element into the truss element, which can provide a method for subsequent research on the performance of prefabricated shear walls with sleeve grouting defects and provide a reference for the performance evaluation and design optimization of the structure.
Author Contributions
Funding
Data Availability Statement
Conflicts of Interest
References
- Cao, X.; Li, X.; Zhu, Y.; Zhang, Z. A comparative study of environmental performance between prefabricated and traditional residential buildings in China. J. Clean. Prod. 2015, 109, 131–143. [Google Scholar] [CrossRef]
- Hayashi, Y.; Shimizu, R.; Nakatsuka, T.; Suzuki, K. 2044 Bond stress-slip characteristic of reinforcing bar in grout-filled coupling steel sleeve. Proc. Jpn. Concr. Inst. 1993, 15, 271–276. [Google Scholar]
- Einea, A.; Yamane, T.; Tadros, M.K. Grout-filled pipe splices for precast concrete construction. J. PCI 1995, 40, 82–93. [Google Scholar] [CrossRef]
- Koushfar, K.; Rahman, A.B.A.; Ahmad, Y. Bond behavior of the reinforcement bar in glass fiber-reinforced polymer connector. J. Croat. Assoc. Civ. Eng. 2014, 66, 301–310. [Google Scholar]
- Ling, J.H.; Rahman, A.B.A.; Ibrahim, I.S. Feasibility study of grouted splice connector under tensile load. Constr. Build. Mater. 2014, 50, 530–539. [Google Scholar] [CrossRef]
- Ling, J.H.; Rahman, A.B.A.; Ibrahim, I.S.; Hamid, Z.A. Behaviour of grouted pipe splice under incremental tensile load. Constr. Build. Mater. 2012, 33, 90–98. [Google Scholar] [CrossRef]
- Zhang, P.; Yu, J.; Pang, Y.; Fan, J.; Guo, H.; Pan, Z. Experimental study on the mechanical properties of grouted sleeve joint with the fiber-reinforced grouting material. J. Build. Eng. 2021, 41, 102691. [Google Scholar] [CrossRef]
- Liu, C.; Pan, L.; Liu, H.; Tong, H.; Yang, Y.; Chen, W. Experimental and numerical investigation on mechanical properties of grouted-sleeve splices. Constr. Build. Mater. 2020, 260, 120441. [Google Scholar] [CrossRef]
- Ling, J.H.; Rahman, A.B.; Ibrahim, I.S.; Abdul Hamid, Z. An experimental study of welded bar sleeve wall panel connection under tensile, shear, and flexural loads. Int. J. Concr. Struct. Mater. 2017, 11, 525–540. [Google Scholar] [CrossRef]
- Du, X.; Wu, M.; Liu, H. The seismic performance of precast short-leg shear wall under cyclic loading. Adv. Struct. Eng. 2021, 24, 570–582. [Google Scholar] [CrossRef]
- Wu, M.; Liu, X.; Liu, H.; Du, X. Seismic performance of precast short-leg shear wall using a grouting sleeve connection. Eng. Struct. 2020, 208, 110338. [Google Scholar] [CrossRef]
- Lu, Z.; Wang, Y.; Li, J.; Fan, Q. Experimental study on seismic performance of L-shaped partly precast reinforced concrete shear wall with cast-in-situ boundary elements. Struct. Des. Tall. Spec. 2019, 28, e1602. [Google Scholar] [CrossRef]
- Li, J.; Wang, L.; Lu, Z.; Wang, Y. Experimental study of L-shaped precast RC shear walls with middle cast-in-situ joint. Struct. Des. Tall Spec. Build. 2018, 27, e1457. [Google Scholar] [CrossRef]
- Peng, Y.; Qian, J.; Wang, Y. Cyclic performance of precast concrete shear walls with a mortar–sleeve connection for longitudinal steel bars. Mater. Struct. 2016, 49, 2455–2469. [Google Scholar] [CrossRef]
- Peng, Y.; Wang, Y.; Qian, J. Mechanical behavior of precast building concrete walls with different connection technologies for seismic areas. Struct. Concr. 2020, 21, 1999–2010. [Google Scholar]
- Xue, L.; Sun, Q.; Ren, X. Numerical simulation of prefabricated shear wall based on cohesive element model. Earthq. Eng. Eng. Vib. 2020, 40, 174–182. [Google Scholar]
- Xu, F.; Wang, K.; Wang, S.; Li, W.; Liu, W.; Du, D. Experimental bond behavior of deformed rebars in half-grouted sleeve connections with insufficient grouting defect. Constr. Build. Mater. 2018, 185, 264–274. [Google Scholar] [CrossRef]
- Guo, H.; Zhang, J.; Wang, C. Experimental study on influence of connection defects on joint strength of half-grouted sleeve splicing of rebar. Adv. Civ. Eng. 2020, 2020, 5389861. [Google Scholar] [CrossRef]
- Espoir, K.K.; Xie, Z.; Desmond-Luke, M.A. Numerical study on the influence of defects in grouting on the mechanical properties of a full grouted sleeve connector. J. Adhes. 2022, 98, 2550–2581. [Google Scholar]
- Zheng, G.; Kuang, Z.; Xiao, J.; Pan, Z. Mechanical performance for defective and repaired grouted sleeve connections under uniaxial and cyclic loadings. Constr. Build. Mater. 2020, 233, 117233. [Google Scholar] [CrossRef]
- Xiao, S.; Wang, Z.; Li, X.; Harries, K.A.; Xu, Q.; Gao, R. Study of effects of sleeve grouting defects on the seismic performance of precast concrete shear walls. Eng. Struct. 2020, 236, 111833. [Google Scholar] [CrossRef]
- Yang, J.; Guo, T.; Wang, W.; Zhu, R. Experimental investigation on seismic behaviors of precast concrete shear walls with sleeve grouting defects. Adv. Struct. Eng. 2023, 26, 258–271. [Google Scholar] [CrossRef]
- Yan, H.; Song, B.; Xu, D.; Zhang, G. Seismic Performance of Assembled Shear Wall with Defective Sleeve Connection. CMES-Comp. Model. Eng. 2022, 131, 199–217. [Google Scholar] [CrossRef]
- Guo, T.; Yang, J.; Wang, W.; Li, C. Experimental investigation on connection performance of fully-grouted sleeve connectors with various grouting defects. Constr. Build. Mater. 2022, 327, 126981. [Google Scholar] [CrossRef]
- Xu, W.; Ma, B.; Huang, H.; Su, J.; Li, J.; Wang, R. The Seismic Performance of Precast Bridge Piers with Grouted Sleeves. Eng. Mech. 2020, 37, 93–104. [Google Scholar]
- Xue, L.; Sun, Q.; Ren, X.; Qin, X.; Xu, H. Reliability assessment of assembled shear wall structures considering stochastic defects in sleeve grouting. Earthq. Eng. Eng. Vib. 2024, 44, 14–24. [Google Scholar]
- Liu, H.; Yan, Q.; Du, X. Study of seismic performance of reinforced concrete frame beam-column joints connected withgrouted sleeves. Build. Struct. 2017, 18, 54–61. [Google Scholar]
- GB/T 50010-2010; Code for Design of Concrete Structures. China Architecture & Building Press: Beijing, China, 2011.
- Sidoroff, F. Description of anisotropic damage application to elasticity. In Physical Non-Linearities in Structural Analysis: Proceedings of the International Union of Theoretical and Applied Mechanics, Senlis, France, 27–30 May 1980; Springer: Berlin/Heidelberg, Germany, 1981; pp. 237–244. [Google Scholar]
- Peng, Y. Experimental Study on Seismic Behavior of Pre-Cast Reinforced Concrete Shear Walls. Master’s Thesis, Tsinghua University, Beijing, China, 2010. [Google Scholar]
- Dang, X.; Lyu, X.; Qian, J.; Zhou, Y. Finite element simulation of self-centering pre-stressed shear walls with horizontal bottom slits. Eng. Mech. 2017, 34, 51–63. [Google Scholar]
- EN 1992-1-1; Eurocode 2: Design of Concrete Structures-Part 1-1: General Rules and Rules for Buildings. British Standard Institution: London, UK, 2004.
- Liu, P. Study on Behaviors of Hinge Joints for Fabricated Reinforced Concrete Simply-Supported Plate Girder Bridges. Master’s Thesis, Tsinghua University, Beijing, China, 2010. [Google Scholar]
- Wang, L.; Lin, Y.; Qian, Y. Experimental Research on Shear Properties of New-to-Old Concrete Interface. J. Southwest Jiaotong Univ. 2005, 5, 600–604. [Google Scholar]
- Wu, Y.; Chen, W. Cohesive zone model based analysis of bond strength between FRP and concrete. Eng. Mech. 2010, 27, 113–119. [Google Scholar]


















| Parameter | Dilation Angle φ/(°) | Eccentricity e | fc0/fc0 | Kc | Viscosity Parameter λ |
|---|---|---|---|---|---|
| value | 30 | 0.1 | 1.16 | 0.667 | 0.5 |
| Specimen | Specimen Size (mm) | Concrete Strength Grade | Axial Compression Ratio | Defect Type |
|---|---|---|---|---|
| PSW2 | 1700 × 200 × 2800 | C30 | 0.206 | The anchorage length of the two steel bars on the right side is shortened to 4d. |
| PSW4 | 1700 × 200 × 2800 | C30 | 0.206 | The anchorage length of 6 steel bars on the right side is shortened to 4d. |
| PW1 | 1400 × 200 × 2850 | C40 | 0.18 | The grouting defect of the two ends on the right side is 4d. |
| PW4 | 1400 × 200 × 2850 | C40 | 0.18 | The grouting defect of the four ends on the right side is 4d. |
| Test Conditions | Material | Category | Yield Strength /MPa | Ultimate Strength /MPa |
|---|---|---|---|---|
| test one | steel reinforcement | C14 | 427.3 | 608.7 |
| C10 | 494.6 | 583.9 | ||
| C8 | / | 584.9 | ||
| The defect of the sleeve grouting connector is that the anchorage length of the steel bar is shortened to 4d. | / | 411.27 | 536.64 | |
| test two | steel reinforcement | A16 | 439 | 616 |
| A10 | 459 | 641 | ||
| A8 | / | 684 | ||
| The defect of the sleeve grouting connector is that the anchorage length of the steel bar is shortened to 4d. | / | 487.5 | 553.66 |
| Specimens | Eigenvalue | FEA Result | Test Result | Average Error | ||||
|---|---|---|---|---|---|---|---|---|
| Forward Loading | Reverse Loading | Average Value | Forward Loading | Reverse Loading | Average Value | |||
| PSW2 | Peak bearing capacity/kN | 753.7 | 796.7 | 775.2 | 765.6 | - | 765.6 | 1.2% |
| Peak displacement/mm | 19 | 19 | 19 | 26 | - | 26 | 26% | |
| Ultimate bearing capacity/kN | 581.4 | 592.2 | 586.8 | 613.9 | - | 613.9 | 4.5% | |
| Ultimate displacement/mm | 37 | 33 | 35 | 56 | - | 56 | 37.5% | |
| PSW4 | Peak bearing capacity/kN | 713.3 | 720.1 | 716.7 | 715.7 | - | 715.7 | 0.1% |
| Peak displacement/mm | 17 | 17 | 17 | 23 | - | 23 | 26% | |
| Ultimate bearing capacity/kN | 558.1 | 563.9 | 561 | 583.2 | - | 583.2 | 3.8% | |
| Ultimate displacement/mm | 32 | 28 | 30 | 48 | - | 48 | 37.5% | |
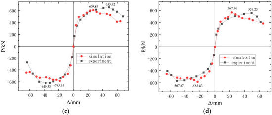
| PW1 | Peak bearing capacity/kN | 609.89 | 583.31 | 596.60 | 655.92 | 619.33 | 637.63 | 6.4% |
| Peak displacement/mm | 27.50 | 18.31 | 22.91 | 48.67 | 37.54 | 43.11 | 46.9% | |
| Ultimate bearing capacity/kN | 423.76 | 446.13 | 434.95 | 504.35 | 274.39 | 389.37 | 11.7% | |
| Ultimate displacement/mm | 64.18 | 64.18 | 64.18 | 67.95 | 63.31 | 65.63 | 2.2% | |
| PW2 | Peak bearing capacity/kN | 567.76 | 583.83 | 575.80 | 559.23 | 567.07 | 563.15 | 2.2% |
| Peak displacement/mm | 22.92 | 23.08 | 23.00 | 49.23 | 50.90 | 50.07 | 54.1% | |
| Ultimate bearing capacity/kN | 384.40 | 453.44 | 418.92 | 407.67 | 407.666 | 407.67 | 2.8% | |
| Ultimate displacement/mm | 64.63 | 64.63 | 64.63 | 61.2794 | 63.6897 | 62.48 | 3.4% | |
Disclaimer/Publisher’s Note: The statements, opinions and data contained in all publications are solely those of the individual author(s) and contributor(s) and not of MDPI and/or the editor(s). MDPI and/or the editor(s) disclaim responsibility for any injury to people or property resulting from any ideas, methods, instructions or products referred to in the content. |
© 2024 by the authors. Licensee MDPI, Basel, Switzerland. This article is an open access article distributed under the terms and conditions of the Creative Commons Attribution (CC BY) license (https://creativecommons.org/licenses/by/4.0/).
Share and Cite
Wang, Y.; Wang, H.; Wang, F. Simplified Modeling Method for Prefabricated Shear Walls Considering Sleeve Grouting Defects. Buildings 2024, 14, 1813. https://doi.org/10.3390/buildings14061813
Wang Y, Wang H, Wang F. Simplified Modeling Method for Prefabricated Shear Walls Considering Sleeve Grouting Defects. Buildings. 2024; 14(6):1813. https://doi.org/10.3390/buildings14061813
Chicago/Turabian StyleWang, Yanan, Hongchen Wang, and Fujie Wang. 2024. "Simplified Modeling Method for Prefabricated Shear Walls Considering Sleeve Grouting Defects" Buildings 14, no. 6: 1813. https://doi.org/10.3390/buildings14061813
APA StyleWang, Y., Wang, H., & Wang, F. (2024). Simplified Modeling Method for Prefabricated Shear Walls Considering Sleeve Grouting Defects. Buildings, 14(6), 1813. https://doi.org/10.3390/buildings14061813
