Research on Factors Affecting the Anchoring Performance of Self-Drilling Anchor Bolts in Sandy Gravel Strata
Abstract
1. Introduction
2. Analysis of On-Site Test Results
2.1. Project Overview
2.2. Experimental Materials and Equipment
2.3. Experimental Plan
2.4. Analysis of Test Results
| Serial Number | Anchor Rod Length (m) | Drilling Depth (m) | Grouting Depth (m) | Clay Grouting Depth (m) | Gravel Grouting Depth (m) | Ultimate Tensile Bearing Capacity (kn) | Displacement Corresponding to Ultimate Tensile Strength (mm) |
|---|---|---|---|---|---|---|---|
| 3-1 | 4 | 2.75 | 2.25 | 0.00 | 2.25 | 165 | 6.18 |
| 3-2 | 3 | 1.84 | 1.34 | 0.30 | 1.04 | 54 | 2.22 |
| 3-3 | 3 | 2.43 | 1.93 | 0.00 | 1.93 | 80 | 2.22 |
| 3-4 | 4 | 3.23 | 2.73 | 2.73 | 0.00 | 40 | 3.82 |
| 5-1 | 5 | 4.21 | 3.71 | 1.00 | 2.71 | 182 | 8.27 |
| 5-2 | 5 | 4.25 | 3.75 | 0.00 | 3.75 | 187 | 4.36 |
| 5-3 | 5 | 4.08 | 3.58 | 0.00 | 3.58 | 204 | 7.34 |
| 7-2 | 7 | 6.15 | 5.65 | 0.00 | 5.65 | 207 | 5.02 |
| 7-3 | 7 | 6.16 | 5.66 | 0.30 | 5.36 | 204 | 7.28 |
3. Indoor Tests
3.1. Experimental Materials and Equipment
3.2. Preparation of Test Specimens
3.3. Experimental Plan
4. Analysis of Laboratory Test Results
4.1. Analysis of Test Results
4.2. Range Analysis
4.3. Analysis of Variance
4.4. Variable Sensitivity Analysis
5. Conclusions
Author Contributions
Funding
Data Availability Statement
Acknowledgments
Conflicts of Interest
References
- Sun, Y.; Zhao, Y.; Zhang, D. Surface subsidence of pit-in-pit foundation in sand–cobble stratum in the Beijing area. Proc. Inst. Civ. Eng. -Ground Improv. 2019, 172, 96–107. [Google Scholar] [CrossRef]
- Huang, J.; Xu, P.; Huang, Z. Settlement Analysis of Mud-Water Shield Passing Full-Face Water-Rich Sand and Cobble Stratum Under Luo River. Geotech. Geol. Eng. 2023, 42, 535–542. [Google Scholar] [CrossRef]
- Song, X.; Tan, Y.; Liu, J.; Liu, Y.; Ma, G. Mesoscopic mechanisms of collaborative working of composite soil nail-anchor supporting wall subjected to tension. Chin. J. Rock Mech. Eng. 2019, 38, 591–605. [Google Scholar]
- Zhang, S.; Yu, Z.; Liu, K. Instability analysis and reinforcement treatment of a soft soil foundation pit with composite soil nailing wall support structure. Build. Struct. 2022, 52, 2419–2422. [Google Scholar]
- Ma, Y.; Xiong, H.; Wang, C.; Fu, Y.; Kong, G. Application of Self-drilling Anchor in Foundation Excavation with Deep Filling Soil. Constr. Technol. 2020, 49, 171–173. [Google Scholar]
- Huang, Z.; Zeng, N.; Zhang, D.; Argyroudis, S.; Mitoulis, S.-A. Resilience Models for Tunnel Recovery After Earthquakes. Engineering 2025, 54, 320–345. [Google Scholar] [CrossRef]
- Knox, G.; Hadjigeorgiou, J. Performance of Conventional and Energy-Absorbing Self-Drilling Hollow Core Rockbolts Under Controlled Laboratory Conditions. Rock Mech. Rock Eng. 2023, 56, 4363–4378. [Google Scholar] [CrossRef]
- Chernyatin, D.; Kharichkin, A.; Galimov, I. Interaction of loaded anchor models using self-drilling bars of different lengths with soil. Int. J. Phys. Model. Geotech. 2026, 26, 1–11. [Google Scholar] [CrossRef]
- Li, J.; Zhang, X.; Li, G. Research on the Self-Drilling Anchor Pull-Out Test Model and the Stability of an Anchored Slope. Appl. Sci. 2025, 15, 5132. [Google Scholar] [CrossRef]
- Li, Y. Application on Self-drilling Anchor in Slope of Sand and Gravel Layer. Site Investig. Sci. Technol. 2012, 24–25, 29. [Google Scholar] [CrossRef]
- Wu, H. Analysis of self-drilling anchor technique in deep foundation pit support of a site in the mountainous area of southern Anhui Province. Nonferrous Met. Abstr. 2023, 38, 79–82. [Google Scholar]
- Chen, X.; Gao, X.; Song, Y.; Yang, H.; Zhao, M.; Wang, C. Field test study on anchoring performance of self-drilling anchor bolt in sandy cobble stratum. Archit. Technol. 2024, 55, 464–467. [Google Scholar]
- Xiong, L.; Yu, L. Analyses of uniaxial compressive mechanical properties and anisotropic characteristics of anchored rock mass. Hydrogeol. Eng. Geol. 2018, 45, 52–58. [Google Scholar]
- Zi, X.; Wang, B.; Yu, W.; Zhong, G. Distribution Characteristics of Prestressed Field of End-Anchored Bolts. Tunn. Constr. 2023, 43, 1750–1759. [Google Scholar]
- Tao, W.; Wu, P.; Chen, T.; Xie, C.; Zhao, H.; Tang, B.; Li, F. Experimental research on optimization of anchorage bearing characteristics based on bolt pull-out test. Coal Sci. Technol. 2022, 50, 10–19. [Google Scholar]
- Zhuo, Z.; Rentai, L. Theoretical and experimental study on one dimensional fracture grouting in soil medium. Sādhanā 2020, 45. [Google Scholar] [CrossRef]
- Cheng, S.; Yang, F.; Dai, Y.; Yang, Z.; Shi, Y. An Experimental Research on Crack Propagation Regularity During Fracture Grouting. IOP Conf. Ser. Earth Environ. Sci. 2021, 651, 032047. [Google Scholar] [CrossRef]
- Gao, X.; Zhao, M.; Wang, C.; Chen, X.; Zhang, Y. Study on the Influencing Factors of Grouting Anchorage for Self-Drilling Bolts in Sandy Pebble Strata. Appl. Sci. 2025, 15. [Google Scholar] [CrossRef]
- JGJ 120-2012; Technical Specification for Retaining and Protection of Building Foundation Excavations. China Building Industry Press: Beijing, China, 2012.
- Chen, X. Study on the Anchoring Performance and Load Transfer Mechanism of Self-Drilling Anchors in Sand and Pebble Formations. Master’s Thesis, Henan University of Science and Technology, Luoyang, China, 2024. [Google Scholar]
- Yin, J. Study on Rheological Properties of Sandy Cobbly Soil and Its Application. Master’s Thesis, Central South University, Changsha, China, 2014. [Google Scholar]
- Huang, X.; Zheng, Z.; Feng, C.; Luo, X. Test Analysis and Study on Groutability of Sandy Cobble Stratum. Hunan Hydro Power 2023, 42–45. Available online: http://223.220.252.164:888/KCMS/detail/detail.aspx?filename=HNSL202301008&dbcode=CJFD&dbname=CJFD2023 (accessed on 14 January 2026).
- Yang, R.; Zhang, S.; Liu, J.; Tao, H.; Tian, H. Application Research on Polymer Material Grouting in Loose Sand Soil Reinforcement. China Munic. Eng. 2021, 95–97+114. [Google Scholar] [CrossRef]
- You, Z.; Fu, H.; You, C.; Zhang, J.; Shao, H.; Bi, D.; Shi, J. Stress transfer mechanism of soil anchor body. Rock Soil Mech. 2018, 39, 85–92+102. [Google Scholar]
- Zhao, N.; Tao, W.; Shen, R.; Hu, Y.; Li, H.; Tang, B. Study on numerical simulation test of bolt pull-out. Fujian Build. Mater. 2024, 10–13. Available online: https://qikan.cqvip.com/Qikan/Article/Detail?id=7111386966&from=Qikan_Search_Index (accessed on 14 January 2026).
- Qu, H.; Liu, Z.; Chen, S.; Wang, L.; Huang, W. Study on the Effect of Rock Bolting Parameters on Rock Explosion Prevention. Chin. J. Undergr. Space Eng. 2023, 19, 326–333+342. [Google Scholar]










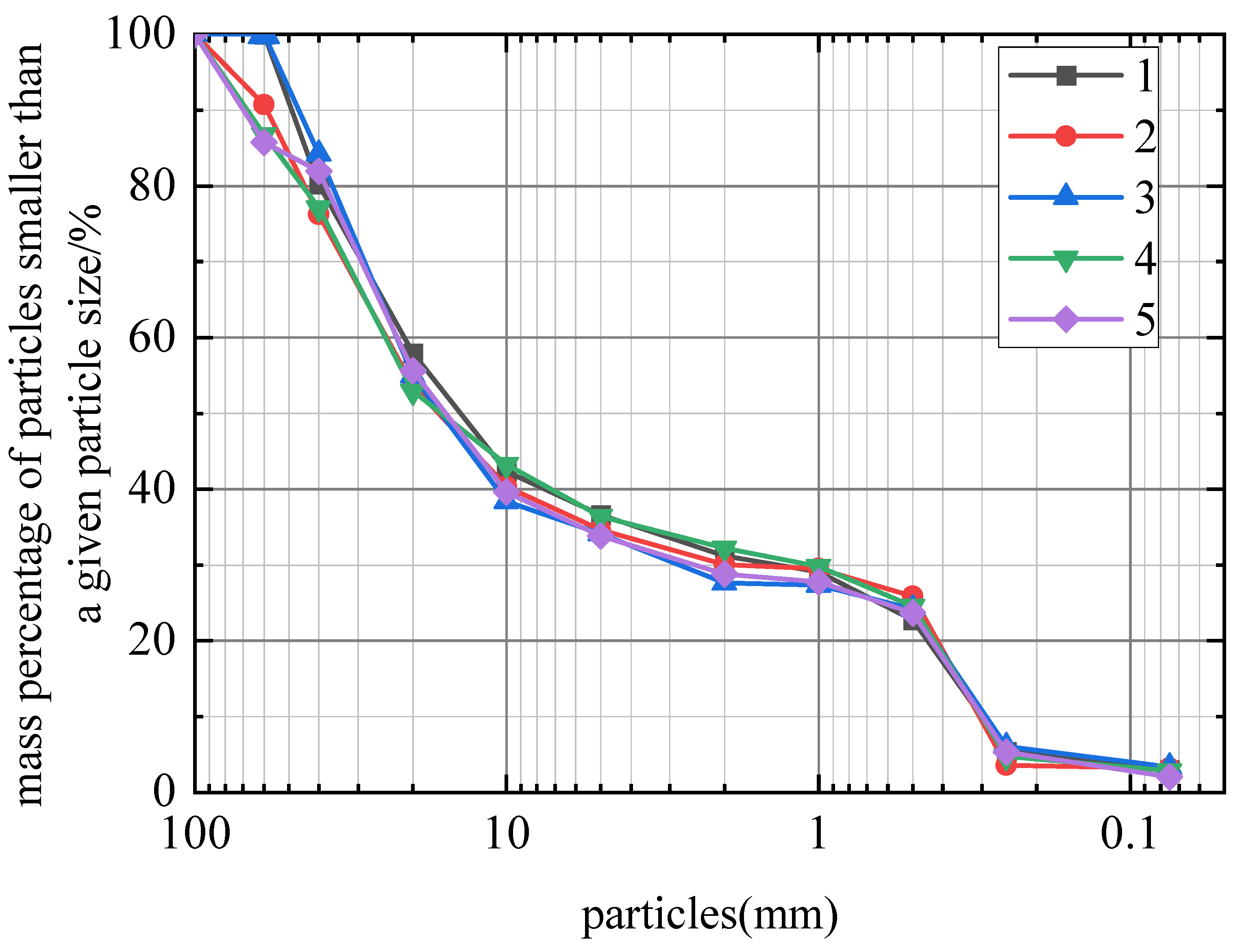
| Sample Number | Percentage of Particle Mass Smaller Than A Given Particle Size (%) | Cu | Cc | ||||||||||
|---|---|---|---|---|---|---|---|---|---|---|---|---|---|
| 100 mm | 60 mm | 40 mm | 20 mm | 10 mm | 5 mm | 2 mm | 1 mm | 0.5 mm | 0.25 mm | 0.075 mm | |||
| 1 | 100 | 100 | 80.2 | 58 | 42.3 | 36.6 | 31.2 | 29.1 | 22.7 | 5.4 | 3 | 68.9 | 0.3 |
| 2 | 100 | 90.75 | 76.25 | 53.67 | 40.32 | 34.64 | 30.07 | 29.56 | 25.87 | 3.6 | 3.2 | 79.6 | 0.4 |
| 3 | 100 | 100 | 84.19 | 55 | 38.38 | 34.12 | 27.64 | 27.32 | 24.17 | 6.07 | 3.37 | 77.0 | 1.3 |
| 4 | 100 | 86.75 | 77.13 | 52.94 | 43.31 | 36.41 | 32.24 | 29.8 | 24.57 | 4.78 | 2.88 | 81.8 | 0.1 |
| 5 | 100 | 85.75 | 81.93 | 55.62 | 39.63 | 33.84 | 28.79 | 27.75 | 23.65 | 5.37 | 2.02 | 74.5 | 1.0 |
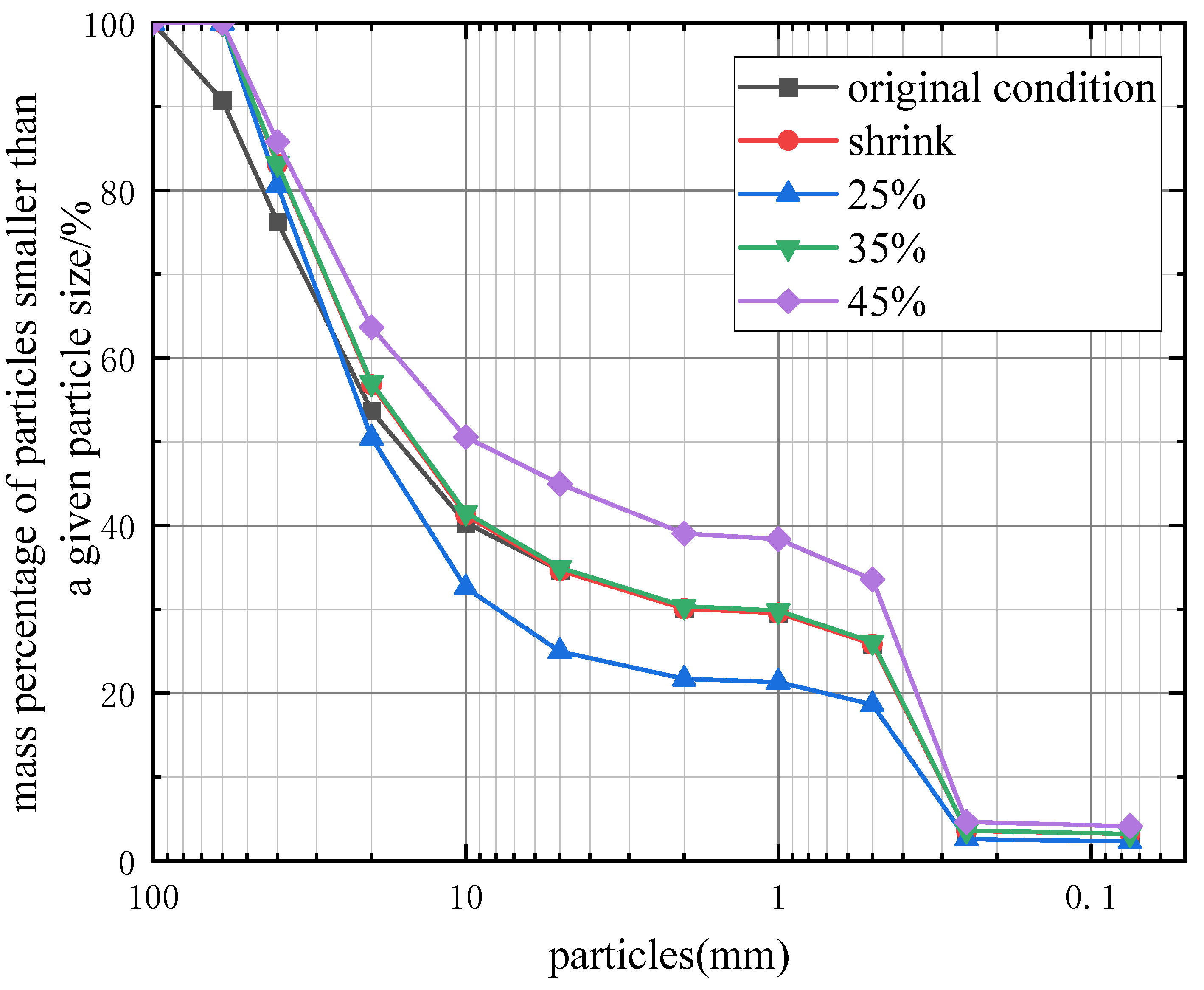
| Sample Number | Percentage of Particle Mass Smaller Than a Given Particle Size (%) | ||||||||||
|---|---|---|---|---|---|---|---|---|---|---|---|
| 100 (mm) | 60 (mm) | 40 (mm) | 20 (mm) | 10 (mm) | 5 (mm) | 2 (mm) | 1 (mm) | 0.5 (mm) | 0.25 (mm) | 0.075 (mm) | |
| original condition | 100 | 90.75 | 76.25 | 53.67 | 40.32 | 34.64 | 30.07 | 29.56 | 25.87 | 3.6 | 3.2 |
| shrink | 100 | 100 | 83.11 | 56.81 | 41.26 | 34.64 | 30.07 | 29.56 | 25.87 | 3.6 | 3.2 |
| 25% | 100 | 100 | 80.63 | 50.44 | 32.59 | 25 | 21.7 | 21.33 | 18.66 | 2.59 | 2.29 |
| 35% | 100 | 100 | 83.21 | 57.05 | 41.58 | 35 | 30.38 | 29.86 | 26.13 | 3.62 | 3.21 |
| 45% | 100 | 100 | 85.79 | 63.66 | 50.57 | 45 | 39.06 | 38.39 | 33.6 | 4.65 | 4.13 |
| Test Piece Name | Fine Particle Content (%) | Grouting Pressure (MPa) | Water–Cement Ratio |
|---|---|---|---|
| 25-02-11 | 25 | 0.2 | 1.1 |
| 25-03-07 | 25 | 0.3 | 0.7 |
| 25-04-09 | 25 | 0.4 | 0.9 |
| 35-02-09 | 35 | 0.2 | 0.9 |
| 35-03-11 | 35 | 0.3 | 0.7 |
| 35-04-07 | 35 | 0.4 | 1.1 |
| 45-02-07 | 45 | 0.2 | 0.7 |
| 45-03-09 | 45 | 0.3 | 0.9 |
| 45-04-11 | 45 | 0.4 | 1.1 |
| Test Piece Name | Peak Pulling Force (KN) | Ultimate Displacement (mm) | Anchor Diameter (cm) | Average Bonding Strength (MPa) | Equivalent Adhesive Strength (MPa) |
|---|---|---|---|---|---|
| 25-02-11 | 105 | 7.80 | 21.5 | 0.311 | 1.013 |
| 25-03-07 | 84 | 5.38 | 27.5 | 0.195 | 0.811 |
| 25-04-09 | 130 | 5.60 | 29.3 | 0.283 | 1.255 |
| 35-02-09 | 52 | 3.67 | 13.6 | 0.244 | 0.502 |
| 35-03-11 | 38 | 4.65 | 14.7 | 0.165 | 0.367 |
| 35-04-07 | 34 | 3.96 | 14.3 | 0.151 | 0.328 |
| 45-02-07 | 18 | 5.27 | 9.6 | 0.119 | 0.174 |
| 45-03-09 | 24 | 3.68 | 8.6 | 0.177 | 0.232 |
| 45-04-11 | 20 | 3.54 | 10.3 | 0.124 | 0.193 |
| Parameter | Fine Particle Content | Grouting Pressure | Water-Cement Ratio | Error Column |
| K1 | 319.00 | 175.00 | 136.00 | 186.00 |
| K2 | 124.00 | 146.00 | 206.00 | 163.00 |
| K3 | 62.00 | 184.00 | 163.00 | 156.00 |
| 106.33 | 58.33 | 45.33 | 62.00 | |
| 41.33 | 48.67 | 68.67 | 54.33 | |
| 20.67 | 61.33 | 54.33 | 52.00 | |
| R | 85.67 | 12.67 | 23.33 | 10.00 |
| Range analysis of ultimate displacement for anchor bolts. | ||||
| Parameter | Fine Particle Content | Grouting Pressure | Water-Cement Ratio | Error Column |
| K1 | 18.78 | 16.74 | 14.61 | 15.52 |
| K2 | 12.28 | 13.71 | 12.95 | 15.44 |
| K3 | 12.49 | 13.10 | 15.99 | 12.59 |
| 6.26 | 5.58 | 4.87 | 5.17 | |
| 4.09 | 4.57 | 4.32 | 5.15 | |
| 4.16 | 4.37 | 5.33 | 4.20 | |
| R | 2.17 | 1.21 | 1.01 | 0.98 |
| Range analysis of anchor-solid diameter. | ||||
| Parameter | Fine Particle Content | Grouting Pressure | Water-Cement Ratio | Error Column |
| K1 | 78.30 | 51.80 | 45.40 | 52.50 |
| K2 | 42.60 | 43.70 | 52.60 | 50.40 |
| K3 | 28.50 | 53.90 | 51.40 | 46.50 |
| 26.10 | 17.27 | 15.13 | 17.50 | |
| 14.20 | 14.57 | 17.53 | 16.80 | |
| 9.50 | 17.97 | 17.13 | 15.50 | |
| R | 16.60 | 3.40 | 2.40 | 2.00 |
| Range analysis of equivalent bonding strength | ||||
| Parameter | Fine Particle Content | Grouting Pressure | Water-Cement Ratio | Error Column |
| K1 | 3.08 | 1.69 | 1.31 | 1.80 |
| K2 | 1.20 | 1.41 | 1.99 | 1.57 |
| K3 | 0.60 | 1.78 | 1.57 | 1.51 |
| 1.03 | 0.56 | 0.44 | 0.60 | |
| 0.40 | 0.47 | 0.66 | 0.52 | |
| 0.20 | 0.59 | 0.52 | 0.50 | |
| R | 0.83 | 0.12 | 0.23 | 0.10 |
| Factor | Sum of Squares Deviations | Degree of Freedom | Mean Square | F Value | Significance Level | p-Values | Effect Sizes |
| Proportion of fine particles | 11990.89 | 2 | 5995.44 | 73.02 | ** | 0.014 | 0.986 |
| Grouting pressure | 262.89 | 2 | 131.44 | 1.60 | — | 0.374 | 0.615 |
| Water-cement ratio | 830.89 | 2 | 415.44 | 5.06 | * | 0.158 | 0.853 |
| Error column | 164.22 | 2 | 82.11 | ||||
| Analysis of Variance for Ultimate Displacement of Anchor Bolts | |||||||
| Factor | Sum of Squares Deviations | Degree of Freedom | Mean Square | F Value | Significance Level | p-Values | Effect Sizes |
| Proportion of fine particles | 9.10 | 2 | 4.55 | 4.90 | * | 0.169 | 0.830 |
| Grouting pressure | 2.53 | 2 | 1.27 | 1.36 | — | 0.423 | 0.576 |
| Water-cement ratio | 1.54 | 2 | 0.77 | 0.83 | — | 0.546 | 0.452 |
| Error column | 1.86 | 2 | 0.93 | ||||
| Analysis of Variance for Anchor-Solid Diameter | |||||||
| Factor | Sum of Squares Deviations | Degree of Freedom | Mean Square | F Value | Significance Level | p-Values | Effect Sizes |
| Proportion of fine particles | 439.26 | 2 | 219.63 | 71.08 | ** | 0.013 | 0.986 |
| Grouting pressure | 19.34 | 2 | 9.67 | 3.1 | * | 0.246 | 0.757 |
| Water-cement ratio | 9.92 | 2 | 4.96 | 1.61 | * | 0.373 | 0.616 |
| Error column | 6.18 | 2 | 3.09 | ||||
| Analysis of variance of equivalent bond strength | |||||||
| Factor | Sum of Squares Deviations | Degree of Freedom | Mean Square | F Value | Significance Level | p-Values | Effect Sizes |
| Proportion of fine particles | 1.1168 | 2 | 0.5584 | 73.02 | ** | 0.014 | 0.986 |
| Grouting pressure | 0.0245 | 2 | 0.0122 | 1.60 | — | 0.374 | 0.615 |
| Water-cement ratio | 0.0774 | 2 | 0.0387 | 5.06 | * | 0.158 | 0.835 |
| Error column | 0.0153 | 2 | 0.0077 | ||||
Disclaimer/Publisher’s Note: The statements, opinions and data contained in all publications are solely those of the individual author(s) and contributor(s) and not of MDPI and/or the editor(s). MDPI and/or the editor(s) disclaim responsibility for any injury to people or property resulting from any ideas, methods, instructions or products referred to in the content. |
© 2026 by the authors. Licensee MDPI, Basel, Switzerland. This article is an open access article distributed under the terms and conditions of the Creative Commons Attribution (CC BY) license.
Share and Cite
Liu, F.; Li, K.; Zhao, M.; Gao, X.; Wang, C.; Chen, X.; Zhang, Y. Research on Factors Affecting the Anchoring Performance of Self-Drilling Anchor Bolts in Sandy Gravel Strata. Buildings 2026, 16, 1058. https://doi.org/10.3390/buildings16051058
Liu F, Li K, Zhao M, Gao X, Wang C, Chen X, Zhang Y. Research on Factors Affecting the Anchoring Performance of Self-Drilling Anchor Bolts in Sandy Gravel Strata. Buildings. 2026; 16(5):1058. https://doi.org/10.3390/buildings16051058
Chicago/Turabian StyleLiu, Fengjun, Kui Li, Mingchong Zhao, Xiaojuan Gao, Chaosheng Wang, Xianglin Chen, and Yugang Zhang. 2026. "Research on Factors Affecting the Anchoring Performance of Self-Drilling Anchor Bolts in Sandy Gravel Strata" Buildings 16, no. 5: 1058. https://doi.org/10.3390/buildings16051058
APA StyleLiu, F., Li, K., Zhao, M., Gao, X., Wang, C., Chen, X., & Zhang, Y. (2026). Research on Factors Affecting the Anchoring Performance of Self-Drilling Anchor Bolts in Sandy Gravel Strata. Buildings, 16(5), 1058. https://doi.org/10.3390/buildings16051058

