Experimental Study on the Flexural Performance of Grooved-Connected Truss-Reinforced Concrete Composite Slabs
Abstract
1. Introduction
2. Test Overview
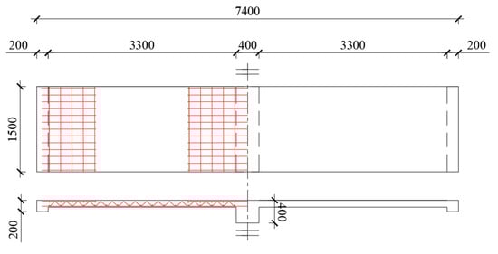
2.1. Specimen Design
2.2. Material Properties
2.3. Specimen Fabrication
2.4. Test Setup and Loading Protocol
2.5. Instrumentation Layout
3. Results
3.1. Crack Patterns
Additional Remarks for Clarity
3.2. Load–Deflection Response
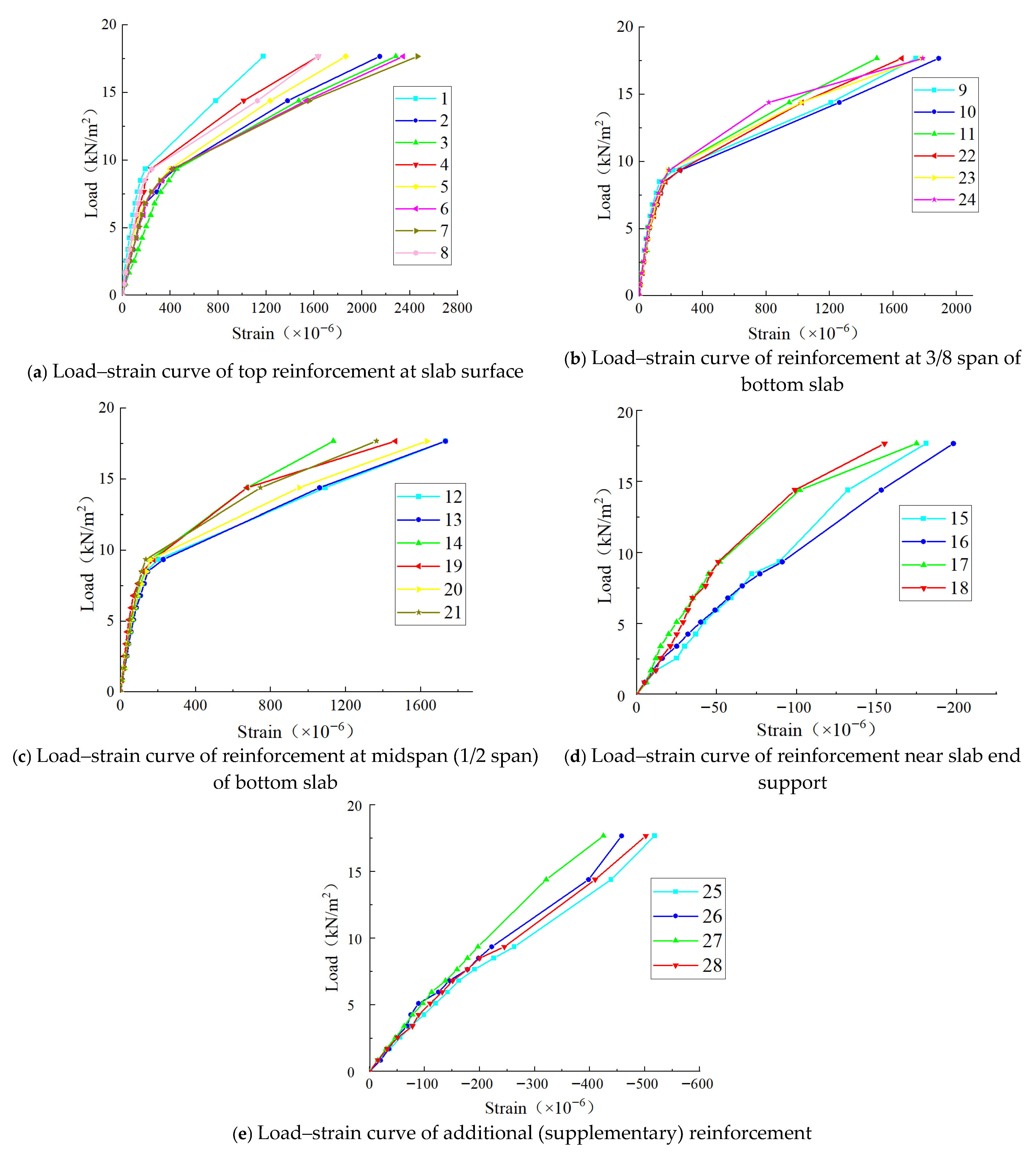
3.3. Reinforcement Strain Analysis
3.4. Comparative Analysis of Load Values
4. Discussion
4.1. Failure Mechanism Analysis
4.2. Risks and Limitations
4.3. Comparative Analysis with Existing Studies
5. Conclusions
- (1)
- Compared with conventional protruding-rebar (dowel) composite slabs, the proposed grooved connection system optimizes slab geometry and the lapping/anchorage of additional reinforcement. The experimental results verify the feasibility of the grooved connection composite slab configuration.
- (2)
- The new configuration satisfies relevant code requirements for load-carrying capacity. Its failure mode and crack evolution are comparable to those of conventional cast-in-place one-way slabs, demonstrating favorable global performance and deformation capacity.
- (3)
- Under the design load, the measured midspan deflection was L/110, which is less than the code limit of L/50. The measured serviceability load capacity was 11.35 kN/m2, exceeding the design value of 10 kN/m2 and indicating a margin of safety.
Author Contributions
Funding
Data Availability Statement
Conflicts of Interest
References
- Ferdous, W.; Bai, Y.; Ngo, T.D.; Manalo, A.; Mendis, P. New advancements, challenges and opportunities of multi-storey modular buildings—A state-of-the-art review. Eng. Struct. 2019, 183, 883–893. [Google Scholar] [CrossRef]
- Qi, Y.; He, X.; Li, Y.; Jia, Y. Threshold effect study on the development of prefabricated buildings for energy conservation and emission reduction in the construction industry. Sci. Rep. 2025, 15, 27269. [Google Scholar] [CrossRef]
- Roxas, C.L.C.; Bautista, C.R.; Dela Cruz, O.G.; Dela Cruz, R.L.C.; De Pedro, J.P.Q.; Dungca, J.R.; Lejano, B.A.; Ongpeng, J.M.C. Design for Manufacturing and Assembly (DfMA) and Design for Deconstruction (DfD) in the Construction Industry: Challenges, Trends and Developments. Buildings 2023, 13, 1164. [Google Scholar] [CrossRef]
- Dou, Y.; Sun, X.; Ji, A.; Wang, Y.; Xue, X. Development strategy for prefabricated construction projects: A tripartite evolutionary game based on prospect theory. Eng. Constr. Archit. Manag. 2023, 30, 105–124. [Google Scholar] [CrossRef]
- Zhu, J. Significance and Challenges of Prefabricated Building Development. Sustain. Environ. 2024, 9, 100. [Google Scholar] [CrossRef]
- Deng, F. Research on the Construction and Development of Prefabricated Building Industry Chain from the Perspective of Ecological Niche. Front. Econ. Manag. 2025, 6, 271–278. [Google Scholar] [CrossRef]
- JGJ 1-2014; Technical Specification for Prefabricated Concrete Structures. China Architecture & Building Press: Beijing, China, 2014.
- Xiao, Y.; Li, X. Experimental study on flexural performance of a new no-extension joint composite slab. Build. Struct. 2023, 53, 83–89. (In Chinese) [Google Scholar] [CrossRef]
- Sun, P. Study on Mechanical Behavior of End Bearing of Reinforced Truss Laminated Slab. Master’s Thesis, Tsinghua University, Beijing, China, 2019. (In Chinese). [Google Scholar] [CrossRef]
- Cai, B.; Li, B.; Zhao, L. Reliability analysis of shear capacity of RC composite slabs. Concrete 2017, 166–168+172. (In Chinese) [Google Scholar] [CrossRef]
- Liu, H.; Wang, Z.; Du, X.; Shen, G.Q. The seismic behaviour of precast concrete interior joints with different connection methods in assembled monolithic subway station. Eng. Struct. 2021, 232, 111799. [Google Scholar] [CrossRef]
- Liu, J.; Liu, Y.; Yu, D. Experimental and Numerical Studies on the Seismic Performance of New Assembled Concrete Frame Beam–Column Joints. Buildings 2023, 13, 329. [Google Scholar] [CrossRef]
- Shang, X.; Zheng, M.; Guo, Y.; Zhuang, L.; Liang, H. Experimental Investigation on Static Performance of Novel Precast Concrete Composite Slab–Composite Shear Wall Connections. Buildings 2025, 15, 1935. [Google Scholar] [CrossRef]
- Wang, X.; Yang, Q.; Peng, X.; Xia, K.; Xu, B. A Review of Mechanical Performance Studies on Composite Concrete Beams and Slabs. Materials 2025, 18, 3259. [Google Scholar] [CrossRef] [PubMed]
- Chen, X.; Luo, B.; Liu, X. Experimental and Numerical Investigation of a New Type of Composite Slab with a Separate Join. Buildings 2024, 14, 1890. [Google Scholar] [CrossRef]
- He, Q.; Wu, Y.; Hu, C.; Yang, K.; Yi, W. Experimental Study of the Two-Way Mechanical Behavior of Tightly Spliced Prestressed Reinforced Concrete Laminated Slab. J. Struct. Eng. 2025, 151, 04025063. [Google Scholar] [CrossRef]
- Chen, D.; Zhang, X.; Xu, S.; Fu, L.; Zhu, X.; Li, H. Deflection calculation method for tightly spliced composite two-way slabs. Build. Struct. 2023, 53, 68–74. (In Chinese) [Google Scholar] [CrossRef]
- Deng, S.; Dong, B.; Bi, Q.; Wei, B.; Lei, Y.; Wu, J.; Xu, M. Direct shear performance and engineering application of tight-jointed composite slab seams. Build. Struct. 2022, 52, 7–14. (In Chinese) [Google Scholar] [CrossRef]
- He, Q.; Hu, C.; Yang, K.; Yi, W. Joint configuration and mechanical performance of tight-jointed composite slabs: Experimental study. J. Hunan Univ. Nat. Sci. 2022, 49, 111–122. (In Chinese) [Google Scholar] [CrossRef]
- Xiao, T.; Zhang, M.; Li, B.; Xu, Q.; Gong, S. Flexural performance of composite slab side-groove joints: Experimental study. J. Zhejiang Univ. Eng. Sci. 2023, 57, 842–854. (In Chinese) [Google Scholar] [CrossRef]
- Li, W.; Han, J.; Li, Y.; Zhao, W.; Chen, S.; Dai, A.; Qiang, X.; Shu, C. Long-term cracking resistance of tight-jointed truss-reinforced concrete composite slabs under sustained load. J. Build. Struct. 2025, 46, 43–50. (In Chinese) [Google Scholar] [CrossRef]
- Lin, Y.; Ni, H.; Zhao, Z.; Zhou, X. Flexural performance of slotted tight-jointed steel tube truss concrete composite slabs. China Civ. Eng. J. 2025, 58, 38–49. (In Chinese) [Google Scholar] [CrossRef]
- Zhang, J.; Zheng, Y.; Zhao, Y. Shear capacity analysis at slab ends of concrete composite slabs. Concr. Cem. Prod. 2015, 67–70. (In Chinese) [Google Scholar] [CrossRef]
- Zhang, X.; Zheng, S.; Shan, Y.; Zhou, X.; Chen, D. In-situ comparative loading test on tightly spliced no-extension two-way composite slabs. Build. Struct. 2019, 49, 113–117. (In Chinese) [Google Scholar] [CrossRef]
- Liu, W.; Guo, X.; Wen, Y.; Wang, B.; Zhou, S.; Xu, J.; Dai, K. Full-scale tests on load-bearing performance of L-shaped slot no-extension composite slabs. Eng. Sci. Technol. 2024, 57, 213–221. (In Chinese) [Google Scholar] [CrossRef]
- T/CECS 715-2020; Technical Specification for Application of Truss-Reinforced Concrete Composite Slabs. China Architecture & Building Press: Beijing, China, 2020.
- 15G310-1; Details for Connections in Prefabricated Concrete Floors and Stairs. China Planning Press: Beijing, China, 2015.
- JGJ/T 258-2011; Technical Specification for Ribbed Precast Concrete Composite Floor Slabs. China Architecture & Building Press: Beijing, China, 2011.
- Zhang, M.; Lv, H.; Jiang, Q.; Wu, Y.; Yang, Y.; Dai, H. Study on flexural behavior of laminated slabs constructed with composite limestone powder-tailings mixed sand concrete. Structures 2025, 77, 109169. [Google Scholar] [CrossRef]
- Liu, J.; Hu, H.; Li, J.; Chen, Y.F.; Zhang, L. Flexural behavior of prestressed concrete composite slab with precast inverted T-shaped ribbed panels. Eng. Struct. 2020, 215, 110687. [Google Scholar] [CrossRef]
- Lu, L.; Gao, M.; Guo, Y.; Wang, W.; Yan, H. Experiments on flexural behavior of the prefabricated RAC and NWC composite slab. Ain Shams Eng. J. 2022, 13, 101789. [Google Scholar] [CrossRef]
- Wu, H.; Qiao, G.; Qiao, Y.; Zhong, Z.; Zhou, Z.; Ye, T. Experimental and theoretical research on flexural performance of truss reinforced concrete two-way composite slab with prefabricated baseplate. Structures 2023, 58, 105470. [Google Scholar] [CrossRef]
- Luo, B.; Tang, Z.; Du, T.; Song, Y.; Cao, G. Experimental study on flexural performance of composite slab with UHPC layer. Constr. Build. Mater. 2025, 492, 143023. [Google Scholar] [CrossRef]
- Chen, X.; Luo, B.; Lou, F.; Chen, Z. Experimental and numerical investigation on the flexural behavior of a novel composite slab with a joint. Adv. Struct. Eng. 2024, 27, 2429–2443. [Google Scholar] [CrossRef]
- Jiang, Y.; Liu, L.; Wang, X.; Liu, R.; Yang, H. Study on Bending Performance of High-Ductility Composite Slab Floor with Composite Ribs. Materials 2025, 18, 658. [Google Scholar] [CrossRef]
- GB/T 50081-2019; Standard for Test Methods of Physical and Mechanical Properties of Concrete. China Architecture & Building Press: Beijing, China, 2019.
- GB/T 228.1-2021; Metallic Materials—Tensile Testing—Part 1: Method of Test at Room Temperature. China Standards Press: Beijing, China, 2021.
- GB/T 50152-2012; Standard for Test Methods of Concrete Structures. China Architecture & Building Press: Beijing, China, 2012.
- Liu, Z. Study on the Mechanical Properties of the Bearing Joints and Floor of New Type of Unilateral Reinforced Composite slab. Master’s Thesis, China University of Mining and Technology, Xuzhou, China, 2024. (In Chinese). [Google Scholar] [CrossRef]
- GB 50010-2010; Code for Design of Concrete Structures. China Architecture & Building Press: Beijing, China, 2011.












| Concrete Location | Compressive Strength (MPa) |
|---|---|
| Precast slab concrete | 32.6 |
| Cast-in-place topping concrete | 35.5 |
| Rebar Specification | Yield Strength (MPa) | Ultimate Tensile Strength (MPa) |
|---|---|---|
| C8 | 421 | 665 |
| C16 | 443 | 630 |
| Loading Stage | Load (kN/m2) | Loading Stage | Load (kN/m2) | |
|---|---|---|---|---|
| Preloading | 1 | 0.60 | 2 | 0.80 |
| Formal loading | 1 | 0.85 | 8 | 6.80 |
| 2 | 1.70 | 9 | 7.65 | |
| 3 | 2.55 | 10 | 8.50 | |
| 4 | 3.40 | 11 | 9.35 | |
| 5 | 4.25 | 12 | 14.4 | |
| 6 | 5.10 | 13 | 17.68 | |
| 7 | 5.95 | 14 | 22.20 |
| Design Load (KN/m2) | Cracking Load (KN/m2) | Yield Load (KN/m2) |
|---|---|---|
| 10 | 7.25 | 12.35 |
| Location | Calculated Cracking Load (KN/m2) | Measured Cracking Load (KN/m2) |
|---|---|---|
| Top (slab surface) at support | 4.21 | 4.25 |
| Bottom of slab | 12.20 | 9.35 |
| Scheme | Advantages | Limitations |
|---|---|---|
| L-shaped groove without projecting bars | Eliminates bar projection and offers improved constructability; overall mechanical performance comparable to conventional practice | Requires precise fabrication and installation of the groove; interface shear resistance and local stress concentration must be controlled |
| Separated (split) joint | Rapid assembly; global integrity can be ensured through detailing and enhanced interface treatment | Codes often require a thicker topping layer, increasing self-weight and amplifying seismic demand |
| Groove-type connection | Simple fabrication with reduced lifting interference; flexural performance comparable to cast-in-place/conventional solutions | Local combined compression–shear effects at the groove must be controlled; performance is sensitive to the construction quality of mechanical couplers |
Disclaimer/Publisher’s Note: The statements, opinions and data contained in all publications are solely those of the individual author(s) and contributor(s) and not of MDPI and/or the editor(s). MDPI and/or the editor(s) disclaim responsibility for any injury to people or property resulting from any ideas, methods, instructions or products referred to in the content. |
© 2025 by the authors. Licensee MDPI, Basel, Switzerland. This article is an open access article distributed under the terms and conditions of the Creative Commons Attribution (CC BY) license (https://creativecommons.org/licenses/by/4.0/).
Share and Cite
Liu, T.; Guo, Q.; Wang, R.; Lu, J.; Lan, G. Experimental Study on the Flexural Performance of Grooved-Connected Truss-Reinforced Concrete Composite Slabs. Buildings 2025, 15, 4189. https://doi.org/10.3390/buildings15224189
Liu T, Guo Q, Wang R, Lu J, Lan G. Experimental Study on the Flexural Performance of Grooved-Connected Truss-Reinforced Concrete Composite Slabs. Buildings. 2025; 15(22):4189. https://doi.org/10.3390/buildings15224189
Chicago/Turabian StyleLiu, Ting, Qingjun Guo, Ruixuan Wang, Jin Lu, and Guanqi Lan. 2025. "Experimental Study on the Flexural Performance of Grooved-Connected Truss-Reinforced Concrete Composite Slabs" Buildings 15, no. 22: 4189. https://doi.org/10.3390/buildings15224189
APA StyleLiu, T., Guo, Q., Wang, R., Lu, J., & Lan, G. (2025). Experimental Study on the Flexural Performance of Grooved-Connected Truss-Reinforced Concrete Composite Slabs. Buildings, 15(22), 4189. https://doi.org/10.3390/buildings15224189
