Next Article in Journal
A Quantitative Framework for Process Control in the Structural Bonding of Aerospace Composites with MGS L418 Epoxy
Next Article in Special Issue
Statistical Analysis of Tensile Damage of Basalt Fiber Foam Concrete Based on DBSCAN Clustering Method
Previous Article in Journal
EB Radiation Processing of HDPE/Rice Husk Ash Composites
Previous Article in Special Issue
Effect of Rubber Fiber Content on the Mechanical Properties of Calcareous Sand
 
 
Font Type:
Arial Georgia Verdana
Font Size:
Aa Aa Aa
Line Spacing:
Column Width:
Background:
Article

Influence of Interface Roughness and Hygrothermal Environment on the Flexural Performance of Prestressed CFRP-Strengthened Cracked Steel Beams

1
School of Civil Engineering and Transportation, Foshan University, Foshan 528225, China
2
Guangdong Hualu Transport Technology Co., Ltd., Guangzhou 510006, China
*
Authors to whom correspondence should be addressed.
J. Compos. Sci. 2025, 9(11), 602; https://doi.org/10.3390/jcs9110602
Submission received: 12 September 2025 / Revised: 22 October 2025 / Accepted: 31 October 2025 / Published: 3 November 2025
(This article belongs to the Special Issue Composite Materials for Civil Engineering Applications)

Abstract

To meet the strengthening requirements of damaged steel beams in hygrothermal environments, this study conducted four-point bending tests on nine pre-cracked steel beam specimens. The coupled effects of surface roughness, end anchorage, prestressing level of carbon fiber-reinforced polymer (CFRP), and hygrothermal aging on the flexural behavior of the strengthened beams were systematically investigated. Results show that high-grade sandblasting (Sa3) significantly enhances interfacial bond strength through a synergistic “mechanical interlock-adhesion” mechanism, increasing the cracking load of the adhesive layer by 8.2–16.8% compared with Sa2, while partially mitigating the performance degradation caused by hygrothermal aging. The use of end anchorages effectively suppresses CFRP debonding at the beam ends, improving the ultimate load capacity and deformation performance. When a prestress equivalent to 25% of the CFRP’s ultimate tensile strength was applied, the load capacity of the strengthened beams further increased by 10.5–19.3%, interfacial cracking was effectively delayed, and the CFRP utilization efficiency reached 96.8–98.5%. Although hygrothermal exposure accelerated interfacial deterioration and reduced the interfacial cracking load, its influence on the ultimate load was relatively limited. These results offer valuable scientific and engineering insights for the design and interface treatment of CFRP-strengthened steel bridges in hygrothermal regions.

1. Introduction

Steel bridges, characterized by long spans, high load-bearing efficiency, and short construction periods, are widely employed in highway, railway, and urban transportation infrastructure. However, during long-term service, factors such as environmental exposure, increased loads, and functional changes often induce cracking and damage in existing steel structures, necessitating strengthening to ensure operational safety and durability [1]. Consequently, the development of efficient and reliable strengthening techniques for damaged steel bridges has become a critical research focus in the field of civil engineering [2].
Carbon fiber-reinforced polymer (CFRP) has been widely employed for steel structure strengthening due to its high strength-to-weight ratio, corrosion resistance, and excellent fatigue performance [3]. Compared with welding or bolted strengthening, CFRP avoids issues such as heat-affected zone embrittlement or stress concentration around bolt holes, thereby preventing secondary damage to the original structure [4]. However, the effectiveness of CFRP strengthening largely depends on the bonding performance at the CFRP–steel interface [5], and interfacial failure often limits the utilization of CFRP strength to less than 50% for the purely bonding method, hindering its high-strength potential [6].
To improve interfacial performance, physical treatments such as sandblasting and mechanical grinding have been proposed, with sandblasting being widely adopted due to its ease of application and moderate cost [7,8]. Increased surface roughness enhances the “mechanical interlock” effect, significantly improving interfacial resistance to debonding [9]. However, most existing studies focus on the short-term effects of different roughness levels on interfacial performance, while research on the influence of surface roughness on the long-term performance of strengthened beams in service environments remains insufficient. Under high-temperature and high-humidity conditions, the adhesive is prone to aging, leading to interfacial degradation and premature failure [10], but the differences in the ability of bonding interfaces with distinct bonding mechanisms (e.g., “pure bonding” or “mechanical interlocking + bonding”) to resist hygrothermal deterioration and maintain long-term stability remain unclear.
In addition, the development of prestressed CFRP technology offers another means to enhance strengthening effectiveness [11]. By applying a pre-tension force, CFRP can partially counteract stresses induced by external loads, reducing the stress intensity factor at crack tips and suppressing crack propagation rates [12,13]. Simultaneously, it optimizes the synergistic behavior between CFRP and steel, significantly improving the utilization efficiency of CFRP materials. It also alleviates the concentration of interfacial shear stress, thereby delaying interfacial debonding [14]. Extensive research and engineering applications have demonstrated that prestressed CFRP strengthening can substantially improve both the static and fatigue performance of steel beams [15,16,17].
Despite the significant advantages of prestressed CFRP technology in steel bridge strengthening, several key issues need to be clarified when applying this technology to engineering practice. Specifically, the comprehensive influence of laws of critical processes and parameters—such as steel surface treatment, CFRP prestress level, end anchorage, and service environment—on the strengthened system has not been fully addressed in existing studies. Although it is known that hygrothermal environments can accelerate adhesive aging and interfacial degradation, thereby impairing the mechanical performance of the strengthened structure [18,19,20], the long-term stability of interfaces with different steel surface roughness levels and their effects on the strengthening effectiveness of prestressed CFRP remain unclear. Therefore, it is essential to investigate the impacts of these parameters on the strengthened system to optimize the flexural performance and environmental adaptability of the system.
Against this background, this study focuses on the flexural performance of cracked steel beams strengthened with CFRP and considers four factors: steel surface roughness, end anchor, CFRP prestress, and hygrothermal durations. Nine pre-cracked steel beam specimens were designed, and four-point bending tests were conducted to explore the influence of each parameter on the flexural performance of the strengthened system, providing a scientific basis and practical guidance for the design of CFRP strengthening for damaged steel bridges in hygrothermal regions.

2. Experimental Program

2.1. Materials

For the testing in this work, hot-rolled H-section (HM150 × 100) of Q235B steel beams were chosen as the strengthening objectives, with a total length of 1.4 m. Two types of CFRP plates (Nanjing Hitech Composites Co., Ltd., Nanjing, China) were used to accommodate both non-prestressed and prestressed strengthening schemes. For non-prestressed specimens, plain CFRP plates without end anchors were employed, with a length of 1220 mm, width of 50 mm, and thickness of 2 mm. For prestressed specimens, customized CFRP plates with end anchors were used to facilitate the application of prestress. One end of the CFRP plate was fitted with a fixed anchor for anchorage, while the other end was equipped with a prestressing anchor featuring two longitudinal bolt holes, as shown in Figure 1. The prestressed CFRP plate has a length of 1600 mm, with the same width (50 mm) and thickness (2 mm) as the non-prestressed plate. The adhesive used was Lica-131 CFRP adhesive (Nanjing Hitech Composites Co., Ltd., Nanjing, China), consisting of components A (white) and B (black) mixed at a weight ratio of 2:1 and thoroughly stirred before application.
To evaluate material properties, the mechanical behavior of steel beams, adhesive, and CFRP plates was tested using a DDL electronic universal testing machine in accordance with Chinese standards GB/T 2975-2018 [21], GB/T 2567-2021 [22], and GB/T 1447-2005 [23]. The average values of the main mechanical properties are summarized in Table 1.

2.2. Specimen Design

To systematically investigate the effects of surface roughness, end anchors, prestress level, and hygrothermal exposure on the flexural performance of damaged steel beams, a total of nine specimens were designed (Table 2). Notably, specimens for evaluating the hygrothermal effect on non-prestressed CFRP-strengthened beams were not included in this study. This design rationale is supported by the authors’ previous study [24], which has clearly demonstrated that non-prestressed CFRP-strengthened beams with a pure bonding configuration (without end anchorage) exhibit significant reductions in interfacial cracking load and ultimate load under hygrothermal cycling. In contrast, the present work focuses on the flexural behavior of prestressed CFRP-strengthened beams with end anchors under the same environmental conditions. The exclusion of non-prestressed specimens is therefore reasonable, ensuring a focused evaluation of the combined effects of CFRP prestress and end anchors.
The naming of the specimens follows the following principles: Specimen B0, without strengthening, serves as the reference beam; Specimens B1 and B2 correspond to sandblasting grades Sa2 and Sa3, respectively; P0 and P2 denote the absence of prestress and a prestress level of 25%, respectively; and “H” indicates specimens subjected to 90 days of hygrothermal cycling. According to the GB/T 8923.1-2011 [25], the definitions of Sa2 and Sa3 sandblasting grades are as follows. The Sa2 sandblasting grade refers to thorough blast cleaning, which is characterized by the absence of visible oil, grease, and dirt on the surface when observed without magnification, with almost no scale, rust, coating, and foreign impurities (minimal roughness). The Sa3 sandblasting grade refers to blast cleaning that leaves the steel surface visually clean, which is characterized by the absence of visible oil, grease, and dirt on the surface when observed without magnification, as well as no scale, rust, coating, and foreign impurities; the surface shall have a uniform metallic luster (moderate surface roughness).
To simulate service-induced cracks, initial cracks were prefabricated at the midspan tensile flange and web of the beams. The crack depth was characterized by the relative ratio a/h (where a is the crack depth and h is the beam section height) [18]; in this study, a/h = 0.12, corresponding to an initial crack depth of 18 mm. Detailed dimensions of the beams and cracks are shown in Figure 1. To prevent the local premature buckling of the steel beam, 8 stiffeners (10 × 47 × 132 mm) were arranged at the cross sections of the steel beam corresponding to its supports and loading points. Additionally, eight bolt holes were drilled at the ends of the tensile flange for connecting end anchors to secure the CFRP plates. The end anchors, fabricated from Q235 steel plates, have a design dimension of 10 mm (thickness) × 200 mm (length) × 100 mm (width) and are connected to the steel beam using M12 high-strength bolts of grade 8.8. During installation, the bonding adhesive was applied to both sides of the CFRP plate: one side bonded to the steel beam surface, and the other side in contact with the end anchor. The mechanical clamping effect of the high-strength bolts further enhanced the anchorage, ensuring effective composite action between the CFRP plate and the steel beam.

2.3. Specimen Fabrication

Prior to strengthening, the bonding surfaces of the steel beams were sandblasted according to the designed sandblasting grades. The surfaces of the sandblasted steel beams are shown in Figure 2. It can be seen that the specimens with Sa3 sandblasting grade exhibited exposed metallic steel surfaces and noticeable roughness, whereas those with Sa2 sandblasting grade had almost no surface roughness.
To facilitate prestress application in the laboratory, a custom prestressing device was developed (Figure 3), comprising a specimen placement section and a prestress application section [18]. The placement section, consisting of vertical plates, compression rods, and adjustable supports allowing horizontal and vertical movement of the steel beam, was used to position and support the beam. The prestress application section, composed of vertical plates, a jack, tie rods, and a stopper plate, connected to the prestressing anchor of the CFRP plate. The jack pushes the baffle, transmitting tensile force through the tie rod to apply prestress.
The strengthening procedure for prestressed CFRP-strengthened damaged steel beams was as follows: First, strain gauges were attached to the non-bonded surface of the CFRP plate to monitor prestress. The steel beam was placed on the adjustable supports, and the strengthening region was marked. The CFRP plate was installed in the prestressing device and connected via tie rods to the prestressing anchor and stopper plate, with non-strengthened areas and the non-bonded surface of the plate protected by tape. A small initial tensile force was applied via the jack to straighten the CFRP plate, the adjustable supports were used to set a 1 mm gap between the strengthened flange and the CFRP plate and align the strengthening zone. After fixing the steel beam, the jack was released, and the CFRP plate was removed for cleaning the bonding surface with anhydrous ethanol. Next, the Lica-131 adhesive was proportionally measured and mixed with 1% by mass of 1 mm glass beads at low speed to ensure uniform dispersion. The adhesive was evenly applied to the strengthening region of the steel beam, the CFRP plate was reinstalled, and the jack was used to gradually apply the designed prestress, locking the tie rod nuts. End anchor plates were then installed with a pre-tightening torque of 85 N·m, and any excess adhesive was removed. After 24 h of adhesive curing, the tie rod nuts were loosened, the jack unloaded, and the CFRP plate end anchors were cut off, completing the strengthening process.
Accelerated hygrothermal aging of the specimens was conducted using a large-scale hygrothermal cycling system [14,26]. A 3.5% sodium chloride solution was prepared to simulate a marine environment. Each hygrothermal cycle consisted of the following steps: the NaCl solution was heated to 40 °C in a constant-temperature water tank and then pumped into the specimen chamber, immersing the specimens for 10 h. Subsequently, the solution was returned to the water tank, and the specimens were dried in air for 14 h, during which fans at the top of the specimen chamber were activated to accelerate drying. Each cycle lasted 24 h, with a temperature control accuracy of ±1 °C. In this study, the specimens were subjected to 90 hygrothermal cycles.

2.4. Loading and Measurement Scheme

Four-point bending tests were conducted using an SDS500 electro-hydraulic servo universal testing machine. The loading setup and data acquisition system are shown in Figure 4. The span between the loading points was 300 mm, with a clear span of 1300 mm. All bending tests were performed under displacement control at a loading rate of 0.05 mm/s.
During loading, high-resolution photographs of the interface at midspan cracks were taken to monitor CFRP debonding (Figure 4a,d). The camera was set to automatically capture one image every 2 s, and the time of the first photograph was recorded. By subsequently matching the recorded load data (with corresponding timestamps) from the data acquisition system, the interfacial cracking load at the onset of debonding can be determined. To obtain the yield and cracking loads of the prefabricated crack in the steel beams, two strain gauges were placed at the crack tips (Figure 5); the load at which a crack-tip strain gauge failed was defined as the web cracking load. To capture the strain distribution along the CFRP plate during loading, eleven strain gauges were arranged along its longitudinal axis. Since the interfacial stress is more complex at midspan cracks, the strain gauges were positioned more densely in this region (Figure 5).

3. Experimental Results and Discussion

3.1. Load–Deflection Response

The load-deflection response of all specimens is presented in Figure 6. The load–deflection curve of the reference beam (B0) exhibited the typical “elastic–plastic–brittle failure” behavior, which reflects the evolution of the initial web cracks. In the elastic stage, the internal stresses did not exceed the steel yield limit, and the load–deflection relationship remained approximately linear. Once the load surpassed the elastic threshold, stress concentration at the crack tip induced plastic deformation, causing a marked increase in deflection rate. Ultimately, at the ultimate load, the crack rapidly propagated through the section, significantly reducing the effective cross-sectional area and leading to sudden brittle failure. This behavior serves as a baseline for evaluating the performance of strengthened specimens.
Non-prestressed CFRP-strengthened specimens effectively extended the elastic stage and significantly enhanced stiffness through the synergistic action between the CFRP plate and the steel beam. The key mechanism lies in the CFRP sharing tensile stresses and inhibiting early crack plasticization. The presence of end anchors constrained the slip at the CFRP plate ends, promoting a more uniform interfacial shear stress distribution, thereby delaying adhesive layer cracking and maintaining residual load-carrying capacity after partial CFRP debonding. In contrast, specimens without anchors exhibited load–deflection behavior that rapidly approached that of B0 after debonding. Sandblasting grade also substantially influenced the interfacial bonding mechanism: Sa3 sandblasting formed a “mechanical interlock + adhesion” composite interface, providing superior shear resistance compared with the adhesion-only Sa2 interface. Consequently, Sa3 specimens (B2, B2P0) showed delayed adhesive cracking and debonding. However, due to errors in the experimental arrangement for specimen fabrication and loading, specimen B2 did not receive sufficient curing time for the adhesive layer. Consequently, it exhibited a lower peak load compared to specimen B1. This also indirectly indicates that in the practical application of engineering reinforcement, sufficient curing of the interface requires focused attention.
Prestressed specimens (B1P2, B2P2) demonstrated a more stable linear elastic stage because the CFRP plates were already in tension at the early loading stage, enhancing the synergistic action with the steel beam and slowing the load drop after debonding, thereby improving structural ductility relative to non-prestressed specimens. Hygrothermal cycling (B1P2H, B2P2H) accelerated adhesive aging and interfacial degradation, shortening the elastic stage, advancing debonding, and promoting brittle failure modes (e.g., CFRP rupture at ultimate load in B2P2H). Notably, Sa3 sandblasting partially mitigated the detrimental effects of the hygrothermal environment. The “mechanical interlock” interface exhibited enhanced resistance to degradation, resulting in higher first debonding load and ultimate load for B2P2H compared with B1P2H with Sa2 treatment. This indicates that high-roughness surface treatment can delay the degradation of CFRP-strengthened systems under hygrothermal service conditions.

3.2. Analysis of Flexural Performance Indicators

To compare the effectiveness of different strengthening schemes under various conditions, the loads corresponding to steel beam crack-tip yielding, adhesive layer cracking, web cracking, and ultimate failure are summarized in Table 3. The load at crack-tip yielding was determined using strain gauges attached at the crack tips, while the loads for adhesive layer cracking and web cracking were identified from photographs taken during testing. The ultimate load is defined as the load at final failure of the specimen. Note that data for specimen B1P0 are not included in Table 3 due to strain gauge malfunction during the test.
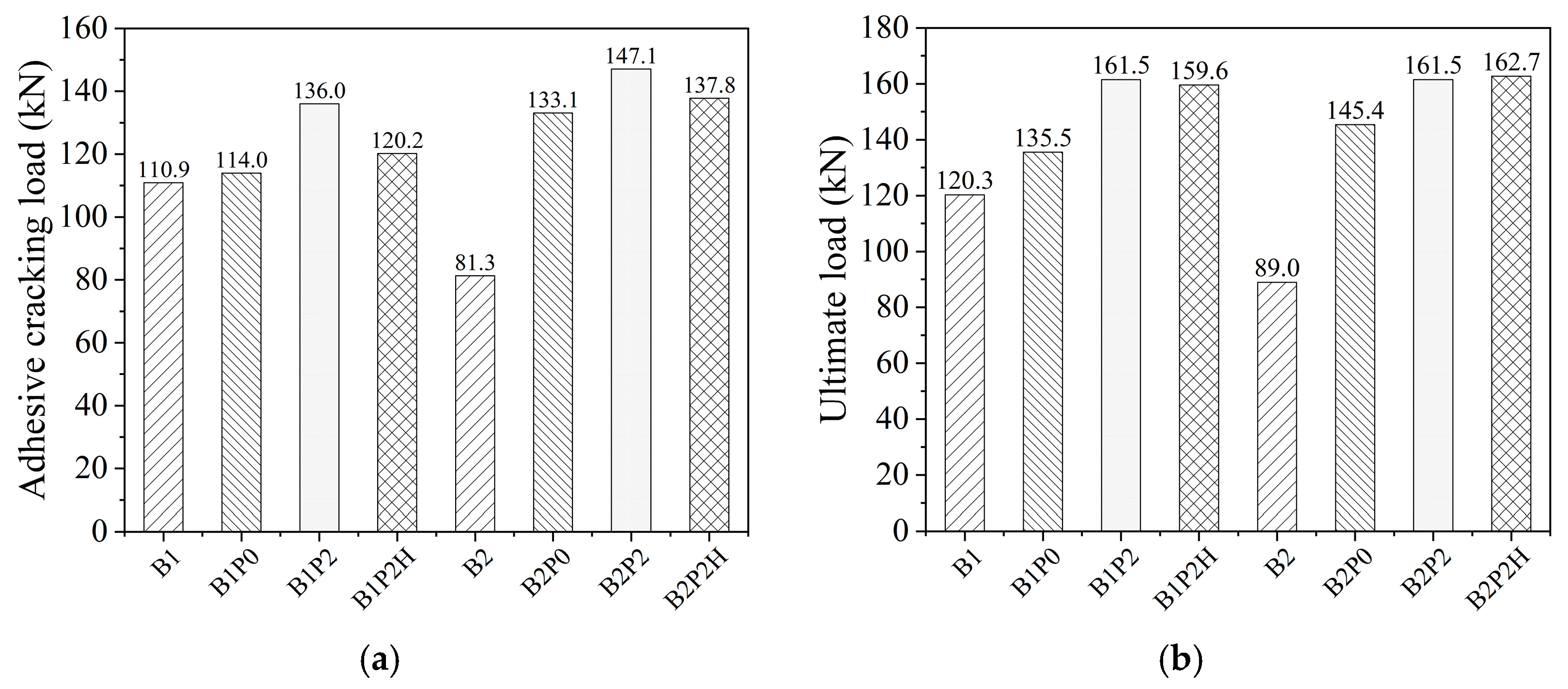
The adhesive cracking loads of different specimens are presented in Figure 7a. As previously noted, specimen B2 exhibited a lower cracking load due to insufficient adhesive curing. Comparison between non-prestressed and prestressed specimens indicates that the application of prestress significantly increased the adhesive cracking load and effectively delayed adhesive failure. Under the Sa2 sandblasting grade, the prestressed specimen B1P2 showed a 19.3% increase in adhesive cracking load compared with the non-prestressed B1P0, whereas after 90 hygrothermal cycles, B1P2H decreased by 11.6% relative to B1P2. Under the Sa3 sandblasting grade, the prestressed specimen B2P2 exhibited a 10.5% increase over B2P0, and B2P2H decreased by 6.3% after 90 hygrothermal cycles. Moreover, the variation in cracking load for Sa3 specimens was smaller than that for Sa2 specimens. Further comparison between specimens with different surface roughness under the same conditions shows that B2P0 increased the cracking load by 19.1 kN relative to B1P0, B2P2 increased by 11.1 kN relative to B1P2, and B2P2H increased by 17.6 kN relative to B1P2H. These results indicate that higher surface roughness effectively enhances interfacial bond strength and the corresponding adhesive cracking load, and better mitigates the deterioration of the interface under hygrothermal conditions.
The ultimate loads of different specimens are shown in Figure 7b. Under the Sa2 sandblasting grade, the specimen B1P0 with end anchors exhibited an ultimate load 12.2 kN higher than the unanchored specimen B1. This improvement is primarily attributed to the end anchors allowing the CFRP plate to continue carrying load after full-length debonding, thereby enhancing the safety reserve of the strengthened steel beam. Meanwhile, the prestressed specimen B1P2 showed an ultimate load increase of 26 kN compared with the non-prestressed B1P0, whereas the difference between B1P2H after 90 hygrothermal cycles and B1P2 was only 1.9 kN. Specimens under the Sa3 sandblasting grade exhibited similar trends (B2 was excluded due to insufficient adhesive curing). The prestressed B2P2 had an ultimate load 16.1 kN higher than the non-prestressed B2P0, with only a 1.2 kN reduction after 90 hygrothermal cycles (B2P2H). Overall, the hygrothermal environment has a significant effect on adhesive cracking load but a relatively minor effect on ultimate load. This indicates that hygrothermal aging primarily accelerates interfacial degradation; however, when end anchors are employed, its impact on the overall load-carrying capacity of the strengthened beams is limited.
In this study, stiffness is defined as the slope of the load–midspan deflection curve prior to the occurrence of interfacial cracks in the steel beam, representing the load-carrying stiffness of the strengthened beam during the elastic stage. The relevant parameters are listed in Table 3. The stiffness of all specimens is shown in Figure 8. Compared with the reference specimen B0, all strengthened specimens exhibited a significant increase in elastic-stage stiffness. Non-prestressed specimens with different surface roughness showed similar stiffness improvements, approximately 91.1%, whereas prestressed specimens exhibited an overall increase of about 112.7%. Notably, the additional contribution of prestress to stiffness was not significant compared with non-prestressed specimens, consistent with previous studies [27,28], indicating that the stiffness of CFRP-strengthened beams primarily depends on the geometry and mechanical properties of the CFRP rather than the prestress level when the elastic modulus of CFRP is comparable to that of steel. Furthermore, comparison between prestressed specimens with and without hygrothermal treatment shows that 90 hygrothermal cycles had a limited effect on stiffness, suggesting that under the experimental conditions of this study, the hygrothermal environment has minimal influence on the elastic-stage performance of CFRP-strengthened steel beams.
The ultimate deflections of the specimens are shown in Figure 9. Compared with the reference specimen B0, the ultimate deflections of unanchored specimens B1 and B2 increased by 112.3% and 10.8%, respectively. The lower ultimate deflection of B2 is attributed to premature interface debonding caused by insufficient adhesive curing. For unanchored strengthened beams, the CFRP plate tends to propagate debonding rapidly toward the plate ends, eventually resulting in complete end debonding and failure of the strengthening system. In contrast, strengthened beams with end anchors exhibited substantially higher ultimate deflections, regardless of prestress application, with increases ranging from 3.0 to 4.4 times. This indicates that end anchors effectively inhibit plate-end debonding and enhance the ductile reserve of the beams. The hygrothermal environment has a moderate adverse effect on the ultimate deflection of the strengthened beams. For Sa2 sandblasted specimens, the ultimate deflection of B1P2H decreased by 14.6% compared with B1P2, while for Sa3 specimens, B2P2H decreased by 8.7% relative to B2P2. These results demonstrate that higher steel surface roughness helps mitigate deflection degradation under hygrothermal conditions.

3.3. Load–Strain Analysis

Experimental results indicate that the strain distribution patterns of the CFRP plates are generally consistent across different surface roughness treatments. Figure 10 presents the strain distribution curves of the CFRP plates at various load levels for all specimens. It should be noted that one strain gauge near the end anchor of Specimen B2P2 failed in the later stage of loading; therefore, there is one missing data point in the curve under the failure load. As shown, all specimens exhibited stress concentration at the midspan crack. Under the same load, the CFRP strain gradually decreased from the midspan defect toward the plate ends. With increasing load, the stress concentration became more pronounced: when the load reached the adhesive cracking load at the CFRP–steel interface, the strains on both sides of the defect approached those at the midspan crack. As the load increased further, strains around the defect continued to rise, and the high-stress zone gradually extended toward the plate ends. When interfacial debonding approached the end anchor locations, strains farther from the midspan also increased significantly. However, due to the anchoring effect provided by the end anchors, the specimen can sustain the load continuously. At ultimate load, the CFRP plate was almost fully debonded along its length, and the strain distribution became relatively uniform. For the specimens without end anchors (B1 and B2), due to the long bonding length of the CFRP plates, after the first interfacial debonding occurred, the load dropped suddenly, but the CFRP plates did not debond completely, and the strengthened beams could still maintain their load-carrying capacity. However, when the load increased only slightly afterward, one end of the CFRP plates underwent complete debonding, and the strengthened beams finally lost their load-carrying capacity. As a result, the strain at the ultimate load showed a decreasing trend. In addition, compared with the specimens with end anchors, the high-strain areas of the specimens without end anchors were smaller and only concentrated in the mid-span region. These results demonstrate that end anchors effectively enhance the load-carrying capacity of the specimens and allow the high-strength potential of the CFRP plates to be fully utilized.

3.4. Failure Modes

The failure modes of strengthened beams with different surface roughness treatments were generally consistent. Taking the Sa3 sandblasted specimens as an example (Figure 11), all specimens initiated debonding from the midspan prefabricated crack. As the load increased, instantaneous debonding occurred at the adhesive interface, causing a temporary drop in load. This behavior is primarily attributed to the relatively long bonded length of the CFRP plate; after instantaneous debonding, the interfacial cracks had not yet propagated to the plate ends, allowing the strengthened system to continue carrying load. For non-prestressed specimens with end anchors, failure was characterized by the CFRP plate being pulled out from the end anchors. In contrast, prestressed specimens, regardless of environmental exposure, exhibited a mixed failure mode combining CFRP rupture and end-anchor pullout. These results indicate that prestressed strengthening enables CFRP plates to fail in the material rather than solely by interfacial debonding, thereby significantly enhancing the utilization of the CFRP’s high-strength capacity at ultimate load.
As shown in Table 3, the sandblasting grade has a significant influence on the interfacial debonding behavior of the strengthened beams. Figure 12 presents the local failure modes at the midspan crack: specimens with Sa2 treatment (B1P0, B1P2, B1P2H) primarily exhibited failure at the steel–adhesive interface, whereas specimens with Sa3 treatment (B2P0, B2P2, B2P2H) first experienced cohesive failure within the adhesive layer, followed by debonding at the CFRP–adhesive interface. From the perspective of interfacial formation mechanisms, the CFRP–adhesive interface constitutes a strong phase, whereas the steel–adhesive interface is a weak phase, making the steel/adhesive interface more susceptible to failure. Increasing the roughness of the steel bonding surface promotes the formation of an interlocking dentate structure between the adhesive and steel surface, thereby enhancing bond strength, improving interfacial cracking resistance, and altering the failure mode. After hygrothermal treatment, corrosive media penetrate more easily into the Sa2 interface compared with the higher-roughness Sa3 specimens, resulting in a more pronounced reduction in steel/adhesive bond strength and a decrease in adhesive cracking load. Comparison of the local failure in B1P2H and B2P2H shows rust formation at the bond interface in B1P2H, whereas B2P2H remained free of corrosion, indicating that a superior bonding interface helps resist the ingress of corrosive agents.

3.5. CFRP Strength Utilization

The strength utilization of CFRP plates is an important indicator for evaluating the effectiveness of CFRP in structural strengthening. In this study, the ratio of the midspan strain to the ultimate tensile strain of the CFRP plate (13,316 με, calculated from the data in Table 2) is defined as the debonding utilization and ultimate utilization. For non-prestressed specimens, the initial strain is taken as zero, while for prestressed specimens, it corresponds to the strain after prestress application. The results are summarized in Table 4. It should be noted that the calculation of CFRP ultimate utilization efficiency in Table 4 does not account for the prestress loss of specimens after construction. As confirmed by the authors’ previous study [6], specimens prestressed to 40% of the CFRP tensile capacity and anchored at the CFRP ends exhibited a negligible prestress loss of approximately 40 με over 100 days (corresponding to 0.73% of the initial prestress). The loss for specimens with 25% prestress in this study is expected to be even smaller and was therefore neglected. Although this omission may cause a slight overestimation, the results still reliably reflect the strengthening effect of CFRP prestress and end anchors under hygrothermal conditions.
In general, the surface roughness of steel has no significant effect on the strength utilization rate of CFRP plates in strengthened beams with end anchors. This is because the final failure mode of all strengthened beams in this study is determined by the end anchors. In the following sections, specimens with Sa3 surface roughness will be taken as an example to discuss the strength utilization rate of CFRP. For the specimen B2, the CFRP utilization at interface debonding was 41.5%, decreasing to 23.9% at complete debonding, due to the abrupt load drop after interface failure, which prevented the load from reaching the debonding threshold. In contrast, specimen B1, with more adequate adhesive curing, was able to sustain a load up to the ultimate capacity even after interface debonding, resulting in a significantly higher ultimate utilization. For specimens with end anchors, such as B2P0, the utilization at interface debonding and ultimate failure reached 58.4% and 76.0%, respectively, indicating that end anchors substantially enhance the ultimate utilization of CFRP plates. Prestressed strengthening further improved material efficiency: for specimen B2P2 with a 25% prestress level, CFRP utilization at interface debonding and ultimate load was 65.7% and 98.5%, representing increases of 12.5% and 29.6% compared with the non-prestressed specimen B2P0. This demonstrates that prestressing not only enhances utilization at interface debonding but also more significantly improves utilization of ultimate strength. After 90 days of hygrothermal cycling, specimen B2P2H exhibited utilizations of 65.7% and 95.1% at interface debonding and ultimate load, respectively. The decrease in utilization of ultimate strength is only 3.4% relative to B2P2, indicating that environmental effects have a limited impact on CFRP strength utilization.

4. Conclusions

This study investigated the flexural performance of CFRP-strengthened steel beams under hygrothermal conditions by conducting four-point bending tests on nine specimens with varying sandblasting grades (Sa2, Sa3), prestress levels (0%, 25% of CFRP ultimate tensile strength), and hygrothermal exposure durations (0 and 90 days). The effects and mechanisms of these variables on the strengthened beams were systematically analyzed, and the main findings are summarized as follows:
(1) End anchors effectively suppressed rapid failure following CFRP debonding, increasing the ductility coefficient by 3.1–3.7 times compared with unanchored specimens. When combined with 25% prestress of the CFRP ultimate tensile strength, the ultimate loads of specimens B1P2 (Sa2 grade) and B2P2 (Sa3 grade) increased by 26 kN and 16.1 kN, respectively, relative to non-prestressed specimens (specimens B1P0 and B2P0). The CFRP strength utilization reached 96.8–98.5%, fully exploiting the high-strength material properties and achieving a balance between structural safety and economic efficiency.
(2) Sa3 sandblasting created a “mechanical interlock + adhesive bonding” composite interface, resulting in adhesive cracking loads 11.1–19.1 kN higher than the purely adhesive Sa2 interface. After 90 days of hygrothermal aging, the cracking load of Sa3 specimens decreased by only 6.3%, considerably less than the 11.6% reduction observed for Sa2, and no interface corrosion occurred. In practice, for controllable steel beam damage, especially in hygrothermal environments, Sa3 grade sandblasting is recommended to enhance interfacial durability.
(3) Although hygrothermal cycling accelerates the degradation of the adhesive cracking load, its influence on ultimate load is minimal, with a maximum difference of only 1.9 kN, indicating that overall structural capacity remains controllable. In engineering applications, combining high-roughness surface treatment with end-anchored prestressed CFRP, together with enhanced interface sealing and protection measures, can further mitigate the adverse effects of hygrothermal exposure on interfacial performance.

Author Contributions

Conceptualization, J.L.; methodology, J.L.; validation, J.L. and M.Y.; formal analysis, M.Y.; investigation, K.W.; resources, M.Y.; data curation, J.L.; writing—original draft preparation, K.W.; writing—review and editing, J.L.; visualization, K.W.; supervision, J.L.; project administration, J.L.; funding acquisition, J.L. All authors have read and agreed to the published version of the manuscript.

Funding

This research was funded by Guangdong Province General Universities Young Innovative Talents Program (Grant No. 2024KQNCX148).

Institutional Review Board Statement

Not applicable.

Data Availability Statement

The original contributions presented in this study are included in the article. Further inquiries can be directed to the corresponding authors.

Conflicts of Interest

Author Min Yang was employed by the company Guangdong Hualu Transport Technology Co., Ltd., Guangzhou. The remaining declare that the research was conducted in the absence of any commercial or financial relationships that could be construed as a potential conflict of interest.

References

  1. Zhang, Q.; Bu, Y.; Li, Q. Review on fatigue problems of orthotropic steel bridge deck. China J. Highw. Transp. 2017, 30, 14–30. [Google Scholar]
  2. Lyu, Z.; Jiang, X.; Qiang, X. State-of-the-art review on fatigue strengthening solutions in orthotropic steel bridge decks. Structures 2025, 79, 109597. [Google Scholar] [CrossRef]
  3. Miller, T.C.; Chajes, M.J.; Mertz, D.R.; Hastings, J.N. Strengthening of a steel bridge girder using CFRP plates. J. Bridge Eng. 2001, 6, 514–522. [Google Scholar] [CrossRef]
  4. Guo, D.; Wang, H.-P.; Liu, Y.-L.; Gao, W.-Y.; Dai, J.-G. Structural behavior of CFRP-strengthened steel beams at different service temperatures: Experimental study and FE modeling. Eng. Struct. 2023, 293, 116646. [Google Scholar] [CrossRef]
  5. Deng, J.; Lee, M.M.K.; Moy, S.S.J. Stress Analysis of Steel Beams Reinforced with a Bonded CFRP Plate. Compos. Struct. 2004, 65, 205–215. [Google Scholar] [CrossRef]
  6. Li, J.; Wang, Y.; Deng, J.; Jia, Y. Experimental study on the flexural behaviour of notched steel beams strengthened by prestressed CFRP plate with an end plate anchorage system. Eng. Struct. 2018, 171, 29–39. [Google Scholar] [CrossRef]
  7. Teng, J.G.; Yu, T.; Fernando, D. Strengthening of steel structures with fiber-reinforced polymer composites. J. Constr. Steel Res. 2012, 78, 131–143. [Google Scholar] [CrossRef]
  8. Yu, T.; Fernando, D.; Teng, J.G.; Zhao, X.L. Experimental study on CFRP-to-steel bonded interfaces. Compos. Part B Eng. 2012, 43, 2279–2289. [Google Scholar] [CrossRef]
  9. Bai, Y.; Nguyen, T.C.; Zhao, X.L.; Al-Mahaidi, R. Environment-Assisted Degradation of the Bond between Steel and Carbon-Fiber-Reinforced Polymer. J. Mater. Civ. Eng. 2014, 26, 04014054. [Google Scholar] [CrossRef]
  10. Gholami, M.; Sam, A.R.M.; Yatim, J.M.; Tahir, M.M. A review on steel/CFRP strengthening systems focusing environmental performance. Constr. Build. Mater. 2013, 47, 301–310. [Google Scholar] [CrossRef]
  11. Wang, H.-T.; Bian, Z.-N.; Chen, M.-S.; Hu, L.; Wu, Q. Flexural strengthening of damaged steel beams with prestressed CFRP plates using a novel prestressing system. Eng. Struct. 2023, 284, 115953. [Google Scholar] [CrossRef]
  12. Chen, T.; Gu, X.; Qi, M.; Yu, Q. Experimental study on fatigue behavior of cracked rectangular hollow-section steel beams repaired with prestressed CFRP plates. J. Compos. Constr. 2018, 22, 04018034. [Google Scholar] [CrossRef]
  13. Ni, H.; Chen, Z.; Liu, Y.; Zhang, B.; Peng, H. Fatigue behavior of the bonded interface of defective steel plate reinforced with self-bonded prestressed CFRP. Constr. Build. Mater. 2024, 484, 141837. [Google Scholar] [CrossRef]
  14. Deng, J.; Li, J.; Zhu, M. Fatigue behavior of notched steel beams strengthened by a prestressed CFRP plate subjected to wetting/drying cycles. Compos. Part B Eng. 2021, 230, 109491. [Google Scholar] [CrossRef]
  15. Chen, Z.; Liu, Y.; He, J.; Peng, H.; Zhang, B. Prestressing effect of self-bonded prestressed CFRP for repairing steel plates with defects. Structures 2025, 76, 108994. [Google Scholar] [CrossRef]
  16. Hosseini, A.; Ghafoori, E.; Al-Mahaidi, R.; Zhao, X.-L.; Motavalli, M. Strengthening of a 19th-century roadway metallic bridge using nonprestressed bonded and prestressed unbonded CFRP plates. Constr. Build. Mater. 2019, 209, 240–259. [Google Scholar] [CrossRef]
  17. Hosseini, A.; Ghafoori, E.; Motavalli, M.; Nussbaumer, A.; Zhao, X.-L.; Al-Mahaidi, R.; Terrasi, G. Development of prestressed unbonded and bonded CFRP strengthening solutions for tensile metallic members. Eng. Struct. 2019, 181, 550–561. [Google Scholar] [CrossRef]
  18. Li, J.; Zhu, M.; Deng, J. Flexural behaviour of notched steel beams strengthened with a prestressed CFRP plate subjected to fatigue damage and wetting/drying cycles. Eng. Struct. 2022, 250, 113430. [Google Scholar] [CrossRef]
  19. Guo, D.; Zhou, H.; Wang, H.-P.; Dai, J.-G. Effect of temperature variation on the plate-end debonding of FRP-strengthened steel beams: Coupled mixed-mode cohesive zone modeling. Eng. Fract. Mech. 2022, 270, 108583. [Google Scholar] [CrossRef]
  20. Guo, D.; Mao, W.-A.; Deng, J.; Zhong, M.-T.; Li, X.-D. Bond behavior of CFRP-to-steel interfaces with a typical ductile adhesive at low temperatures. J. Constr. Steel Res. 2025, 231, 109577. [Google Scholar]
  21. GB/T 2975-2018; Steel and Steel Products-Location and Preparation of Samples and Test Pieces for Mechanical Testing. Standardization Administration of the People’s Republic of China (SAC): Beijing, China, 2018.
  22. GB/T 2567-2021; Test Methods for Properties of Resin Casting Body. China National Administration for Standardization (SAC): Beijing, China; State Administration for Market Regulation (SAMR): Beijing, China, 2021.
  23. GB/T 1447-2005; Fiber-Reinforced Plastics Composites-Determination of Tensile Properties. China National Standardization Administration Committee: Beijing, China, 2005.
  24. Li, J.; Deng, J.; Wang, Y.; Guan, J.; Zheng, H. Experimental study of notched steel beams strengthened with a CFRP plate subjected to overloading fatigue and wetting/drying cycles. Compos. Struct. 2019, 209, 634–643. [Google Scholar] [CrossRef]
  25. GB/T 8923.1-2011; Preparation of Steel Substrates Before Application of Paints and Related Products—Visual Assessment of Surface Cleanliness—Part 1: Rust Grades and Preparation Grades of Uncoated Steel Substrates and of Steel Substrates After Overall Removal of Previous Coatings. Standardization Administration of China (SAC): Beijing, China, 2011.
  26. Wang, Y.; Li, J.; Deng, J.; Li, S. Bond behaviour of CFRP/steel strap joints exposed to overloading fatigue and wetting/drying cycles. Eng. Struct. 2018, 172, 1–12. [Google Scholar] [CrossRef]
  27. Ghafoori, E.; Motavalli, M. Flexural and interfacial behavior of metallic beams strengthened by prestressed bonded plates. Compos. Struct. 2013, 101, 22–34. [Google Scholar] [CrossRef]
  28. Kianmofrad, F.; Ghafoori, E.; Elyasi, M.; Motavalli, M.; Rahimian, M. Rahimian. Strengthening of metallic beams with different types of pre-stressed un-bonded retrofit systems. Compos. Struct. 2019, 159, 81–95. [Google Scholar] [CrossRef]
Figure 1. Specimen configuration.
Figure 1. Specimen configuration.
Jcs 09 00602 g001
Figure 2. Surface conditions of steel beams after sandblasting: (a) Sa2 grade; (b) Sa3 grade.
Figure 2. Surface conditions of steel beams after sandblasting: (a) Sa2 grade; (b) Sa3 grade.
Jcs 09 00602 g002
Figure 3. Prestressing setup for CFRP-strengthened steel beams.
Figure 3. Prestressing setup for CFRP-strengthened steel beams.
Jcs 09 00602 g003
Figure 4. Experimental loading and data acquisition setup: (a) loading apparatus; (b) schematic of the loading configuration; (c) data acquisition system; (d) Interface at notch position from camara perspective.
Figure 4. Experimental loading and data acquisition setup: (a) loading apparatus; (b) schematic of the loading configuration; (c) data acquisition system; (d) Interface at notch position from camara perspective.
Jcs 09 00602 g004
Figure 5. Strain gauge arrangement.
Figure 5. Strain gauge arrangement.
Jcs 09 00602 g005
Figure 6. Load–deflection curves of the specimens: (a) Sa2 sandblasting grade; (b) Sa3 sandblasting grade.
Figure 6. Load–deflection curves of the specimens: (a) Sa2 sandblasting grade; (b) Sa3 sandblasting grade.
Jcs 09 00602 g006
Figure 7. Characteristic loads of the specimens: (a) adhesive cracking load; (b) ultimate load.
Figure 7. Characteristic loads of the specimens: (a) adhesive cracking load; (b) ultimate load.
Jcs 09 00602 g007
Figure 8. Stiffness of the specimens.
Figure 8. Stiffness of the specimens.
Jcs 09 00602 g008
Figure 9. Ultimate deflection of the specimens.
Figure 9. Ultimate deflection of the specimens.
Jcs 09 00602 g009
Figure 10. Longitudinal strain distribution of CFRP plates in the strengthened beams. (a) specimen B1; (b) specimen B2; (c) specimen B1P0; (d) specimen B2P0; (e) specimen B1P2; (f) specimen B2P2; (g) specimen B1P2H; (h) specimen B2P2H.
Figure 10. Longitudinal strain distribution of CFRP plates in the strengthened beams. (a) specimen B1; (b) specimen B2; (c) specimen B1P0; (d) specimen B2P0; (e) specimen B1P2; (f) specimen B2P2; (g) specimen B1P2H; (h) specimen B2P2H.
Jcs 09 00602 g010aJcs 09 00602 g010b
Figure 11. Failure modes of strengthened beams with Sa3 sandblasting grade.
Figure 11. Failure modes of strengthened beams with Sa3 sandblasting grade.
Jcs 09 00602 g011
Figure 12. Interfacial debonding characteristics at the crack location of the strengthened beams (the red arrow means debonding propagation path).
Figure 12. Interfacial debonding characteristics at the crack location of the strengthened beams (the red arrow means debonding propagation path).
Jcs 09 00602 g012
Table 1. Mechanical properties of materials.
Table 1. Mechanical properties of materials.
MaterialUltimate Strength (MPa)Elastic Modulus (GPa)Yield Strength (MPa)
Q235 steel plate417.9 ± 7.4197.3 ± 7.5258.8 ± 1.8
CFRP plate2439.5 ± 63183.2 ± 19.9
Lica-131 adhesive39.2 ± 2.35.7 ± 0.6
Table 2. Specimen details.
Table 2. Specimen details.
SpecimenSurface Roughness
Grade
End AnchorsPrestress Level
(Fp/fu)
Hygrothermal Exposure
(Day)
B0-without00
B1Sa2 gradewithout00
B1P0with00
B1P2with25%0
B1P2Hwith25%90
B2Sa3 gradewithout00
B2P0with00
B2P2with25%0
B2P2Hwith25%90
Note: fu denotes the ultimate tensile strength of the CFRP plate.
Table 3. Experimental results of the specimens.
Table 3. Experimental results of the specimens.
SpecimenCrack-Tip Yield Load (kN)Adhesive Cracking Load (kN)Web Cracking Load (kN)Ultimate Load (kN)Bending Stiffness (kN/mm)Crack-Tip Yield Deflection (mm)Ultimate Deflection (mm)
B052.667.570.815.72.86.5
B194.5110.9117.6120.330.23.313.8
B1P0114.0135.531.319.4
B1P2120.0136.0149.2161.532.73.826.8
B1P2H101.3120.2138.5159.633.23.122.9
B274.381.385.089.029.82.67.2
B2P083.1133.1140.8145.432.72.420.3
B2P2113.3147.1156.5161.534.13.528.6
B2P2H114.6137.8148.7162.734.33.726.1
Table 4. Comparison of CFRP plate strength utilization.
Table 4. Comparison of CFRP plate strength utilization.
Initial Strain (με)Debonding Strain (με)Strain Sum (με)Debonding Utilization (%)Ultimate Strain (με)Strain Sum (με)Ultimate Utilization (%)
B105713571342.9 7284728454.7
B1P006055605545.5 10,30510,30577.4
B1P223765391776758.3 10,50912,88596.8
B1P2H24526549900167.6 10,40012,85296.5
B205531553141.5 3176317623.9
B2P007780778058.4 10,12410,12476.0
B2P222556500875565.7 10,86313,11898.5
B2P2H22736470874365.7 10,39212,66595.1
Disclaimer/Publisher’s Note: The statements, opinions and data contained in all publications are solely those of the individual author(s) and contributor(s) and not of MDPI and/or the editor(s). MDPI and/or the editor(s) disclaim responsibility for any injury to people or property resulting from any ideas, methods, instructions or products referred to in the content.

Share and Cite

MDPI and ACS Style

Li, J.; Wu, K.; Yang, M. Influence of Interface Roughness and Hygrothermal Environment on the Flexural Performance of Prestressed CFRP-Strengthened Cracked Steel Beams. J. Compos. Sci. 2025, 9, 602. https://doi.org/10.3390/jcs9110602

AMA Style

Li J, Wu K, Yang M. Influence of Interface Roughness and Hygrothermal Environment on the Flexural Performance of Prestressed CFRP-Strengthened Cracked Steel Beams. Journal of Composites Science. 2025; 9(11):602. https://doi.org/10.3390/jcs9110602

Chicago/Turabian Style

Li, Junhui, Kun Wu, and Min Yang. 2025. "Influence of Interface Roughness and Hygrothermal Environment on the Flexural Performance of Prestressed CFRP-Strengthened Cracked Steel Beams" Journal of Composites Science 9, no. 11: 602. https://doi.org/10.3390/jcs9110602

APA Style

Li, J., Wu, K., & Yang, M. (2025). Influence of Interface Roughness and Hygrothermal Environment on the Flexural Performance of Prestressed CFRP-Strengthened Cracked Steel Beams. Journal of Composites Science, 9(11), 602. https://doi.org/10.3390/jcs9110602

Article Metrics

Back to TopTop