Sign in to use this feature.

Years

Between: -

Subjects

remove_circle_outline
remove_circle_outline
remove_circle_outline
remove_circle_outline
remove_circle_outline
remove_circle_outline
remove_circle_outline
remove_circle_outline
remove_circle_outline

Journals

remove_circle_outline
remove_circle_outline
remove_circle_outline
remove_circle_outline
remove_circle_outline
remove_circle_outline
remove_circle_outline
remove_circle_outline
remove_circle_outline
remove_circle_outline
remove_circle_outline
remove_circle_outline
remove_circle_outline
remove_circle_outline

Article Types

Countries / Regions

remove_circle_outline
remove_circle_outline
remove_circle_outline
remove_circle_outline
remove_circle_outline
remove_circle_outline

Search Results (2,794)

Search Parameters:
Keywords = epoxy compositions

Order results
Result details
Results per page
Select all
Export citation of selected articles as:
13 pages, 3176 KB  
Article
Multifunctional Bamboo Fiber/Epoxy Composites Featuring Integrated Superhydrophobicity and Enhanced Mechanical–Thermal Performance
by Yanchao Liu, Ze Yu, Rumin Li, Xiaodong Wang and Yingjie Qiao
Nanomaterials 2026, 16(1), 8; https://doi.org/10.3390/nano16010008 - 19 Dec 2025
Abstract
Developing sustainable, high-performance biomass composites is crucial for replacing non-renewable structural materials. In this study, a “bamboo steel” composite was fabricated using a multilevel modification strategy involving alkali pretreatment, toughened resin impregnation, and surface functionalization. Bamboo fibers were treated to remove hemicellulose and [...] Read more.
Developing sustainable, high-performance biomass composites is crucial for replacing non-renewable structural materials. In this study, a “bamboo steel” composite was fabricated using a multilevel modification strategy involving alkali pretreatment, toughened resin impregnation, and surface functionalization. Bamboo fibers were treated to remove hemicellulose and lignin, enhancing porosity and interfacial bonding. The bamboo scaffold was subsequently impregnated with a thermo-plastic polyurethane-modified epoxy resin to create a robust, interpenetrating network. The optimized composite (treated at 80 °C) exhibited a flexural strength of 443.97 MPa and a tensile strength of 324.14 MPa, demonstrating exceptional stiffness and toughness. Furthermore, a superhydrophobic coating incorporating silica nanoparticles was applied, achieving a water contact angle exceeding 150° and excellent self-cleaning properties. This work presents a scalable strategy for producing bio-based structural materials that balance mechanical strength with environmental durability. Full article
(This article belongs to the Section Nanocomposite Materials)
16 pages, 1715 KB  
Article
Aging Effects on Flexural Behavior of Glass Fiber-Reinforced Stone-Cork Composite Panels for External Facade Elements
by João Marques, Madalena Barata Garcia, Virgínia Infante, Pedro Miguel Amaral and Arménio Correia
Fibers 2025, 13(12), 167; https://doi.org/10.3390/fib13120167 - 18 Dec 2025
Abstract
The building sector faces sustainability issues due to its substantial resource demand, prompting the exploration of alternative materials of natural origin. Given the diverse environmental conditions buildings experience, assessing the impact of these conditions on the mechanical characteristics of alternative materials becomes crucial. [...] Read more.
The building sector faces sustainability issues due to its substantial resource demand, prompting the exploration of alternative materials of natural origin. Given the diverse environmental conditions buildings experience, assessing the impact of these conditions on the mechanical characteristics of alternative materials becomes crucial. This study focuses on a composite comprising stone, agglomerate cork core and glass fiber-reinforced epoxy skins, designed for ventilated facades. The composite underwent an aging cycle commonly applied in the evaluation of construction building materials to evaluate its flexural behavior. To that end, bending tests on unaged and aged samples were carried out to investigate both the bending strength and stiffness. The composite panels were tested in two configurations: (i) stone facing up and (ii) stone facing down. The results indicated that higher bending strength was found in samples where the stone was facing up, regardless of the aging condition. In the stone facing up configuration, the predominant failure mode was stone crushing, whereas the samples in the stone facing down configuration evidenced a failure mechanism of fiber breakage. Despite the observed morphological differences between aged and unaged specimens, no significant difference was found regarding the bending strength and failure modes in both tested configurations. However, a flexural stiffness reduction of at least 21% was found for every aged specimen. Full article
18 pages, 1798 KB  
Article
Mild Two-Step Thermochemical Recovery of Clean Glass Fibers from Wind-Blade GFRP
by AbdulAziz AlGhamdi, Imtiaz Ali and Salman Raza Naqvi
Polymers 2025, 17(24), 3344; https://doi.org/10.3390/polym17243344 - 18 Dec 2025
Abstract
End-of-life wind turbine blade accumulation is a growing global materials management problem and current industrial recycling routes for glass fiber-reinforced polymer composites remain limited in material recovery value. There is limited understanding on how to recover clean glass fibers while keeping thermal exposure [...] Read more.
End-of-life wind turbine blade accumulation is a growing global materials management problem and current industrial recycling routes for glass fiber-reinforced polymer composites remain limited in material recovery value. There is limited understanding on how to recover clean glass fibers while keeping thermal exposure and energy input low, and existing studies have not quantified whether very short isothermal thermal residence can still result in complete matrix removal. The hypothesis of this study is that a mild two-step thermochemical sequence can recover clean glass fibers at lower temperature and near zero isothermal dwell if pyrolysis and oxidation are separated. We used wind-blade epoxy-based GFRP in a step-batch reactor and combined TGA-based thermodynamic mapping, short pyrolysis at 425 °C, and mild oxidation at 475 °C with controlled dwell from zero to thirty minutes. We applied model-free kinetics and machine learning methods to quantify activation energy trends as a function of conversion. The thermal treatment of 425 °C for zero minutes in nitrogen, followed by 475 °C for fifteen minutes in air, resulted in mechanically sound, visually clean white fibers. These fibers retained 76% of the original tensile strength and 88% of the Young’s modulus, which indicates the potential for energy-efficient GFRP recycling. The activation energy was found to be approximately 120 to 180 kJ mol−1. These findings demonstrate energy lean recycling potential for GFRP and can inform future industrial scale thermochemical designs. Full article
Show Figures

Graphical abstract

17 pages, 3844 KB  
Article
Strategy Construction to Improve the Thermal Resistance of Polyimide-Matrix Composites Based on Fiber–Resin Compatibility
by Yu Xing, Hongjiang Ni, Daijun Zhang, Jun Li and Xiangbao Chen
Materials 2025, 18(24), 5685; https://doi.org/10.3390/ma18245685 - 18 Dec 2025
Abstract
Carbon-fiber-reinforced thermoset polyimide composites have found wide applications in various aerospace areas. In this paper, the influence of carbon-fiber sizing on the thermal properties of polyimide composites was studied. Nonlinear detriment of the epoxy sizing was found to affect the composite’s thermal resistance. [...] Read more.
Carbon-fiber-reinforced thermoset polyimide composites have found wide applications in various aerospace areas. In this paper, the influence of carbon-fiber sizing on the thermal properties of polyimide composites was studied. Nonlinear detriment of the epoxy sizing was found to affect the composite’s thermal resistance. Furtherly, the mechanism, possibly responsible for the nonlinear detrimental effect of the epoxy sizing, was investigated through curing kinetics analysis and chemical structure characterization. Thermal curing activation energy change was found, possibly arising from the insertion of a flexible segment into the polyimide chain by epoxy–amine reaction. Based on the proposed mechanism, a strategy to manipulate the thermal resistance was established and verified. By the precuring of the carbon-fiber sizing, the polyimide composite exhibited obvious thermal resistance improvement, indicated by an enhancement of the glass transition temperature by 20 °C, and a weight-loss reduction under thermal aging at 400 °C by 25%. Simultaneously, a good fiber-matrix interface was maintained. This strategy provides a new route to enhance the thermal properties of polyimide composites from the viewpoint of carbon-fiber-matrix compatibility. Full article
(This article belongs to the Special Issue Structure and Mechanical Properties of Composite Materials)
Show Figures

Graphical abstract

19 pages, 3317 KB  
Article
Cementitious Composites Reinforced with Multidimensional Epoxy-Coated Sisal/PET Braided Textile
by Lais Kohan, Carlos Alexandre Fioroni, Adriano G. S. Azevedo, Ivis de Aguiar Souza, Tais O. G. Freitas, Daniel V. Oliveira, Julia Baruque-Ramos, Raul Fangueiro and Holmer Savastano Junior
Textiles 2025, 5(4), 70; https://doi.org/10.3390/textiles5040070 - 18 Dec 2025
Abstract
Textile-reinforced concrete (TRC) is an alternative class of mechanical reinforcement for cement composites. The biaxial braided reinforcement structure in composite materials with diverse cross-sectional shapes offers high adaptability, torsional stability, and resistance to damage. In general, 3D textile reinforcements improve the mechanical properties [...] Read more.
Textile-reinforced concrete (TRC) is an alternative class of mechanical reinforcement for cement composites. The biaxial braided reinforcement structure in composite materials with diverse cross-sectional shapes offers high adaptability, torsional stability, and resistance to damage. In general, 3D textile reinforcements improve the mechanical properties of composites compared to 2D reinforcements. This study aimed to verify reinforcement behavior by comparing multidimensional braided textiles, 2D (one- and two-layer) reinforcements, and 3D reinforcement in composite cementitious boards. Experimental tests were performed to evaluate the effect of textile structures on cementitious composites using four-point bending tests, porosity measurements, and crack patterns. All textiles showed sufficient space between yarns, allowing the matrix (a commercial formulation) to infiltrate and influence the composite mechanical properties. All composites presented ductility behavior. The two layers of 2D textile composites displayed thicker cracks, influenced by shear forces. Three-dimensional textiles exhibited superior values in four-point bending tests for modulus of rupture (7.4 ± 0.5 MPa) and specific energy (5.7 ± 0.3 kJ/m2). No delamination or debonding failure was observed in the boards after the bending tests. The 3D textile structure offers a larger contact area with the cementitious matrix and creates a continuous network, enabling more uniform force distribution in all directions. Full article
(This article belongs to the Special Issue Advances in Technical Textiles)
Show Figures

Figure 1

25 pages, 5637 KB  
Article
Polyurethane Flexible Joints as an Advanced Adhesive Layer in Sustainable Prefabricated Small Bridge Structures
by Dorota Jasińska, Paweł Szeptyński, Jan Grzegorz Pochopień and Arkadiusz Kwiecień
Materials 2025, 18(24), 5659; https://doi.org/10.3390/ma18245659 - 17 Dec 2025
Viewed by 125
Abstract
This study presents an analysis of adhesively bonded reinforced concrete composite beams. Experimental results are compared with two computational approaches—an iterative algorithm based on an analytical solution and finite element analysis (FEA)—for simply supported composite beams subjected to four-point bending. The cross-section of [...] Read more.
This study presents an analysis of adhesively bonded reinforced concrete composite beams. Experimental results are compared with two computational approaches—an iterative algorithm based on an analytical solution and finite element analysis (FEA)—for simply supported composite beams subjected to four-point bending. The cross-section of the beam consists of two reinforced concrete beams bonded together with different adhesive layers: either flexible polyurethane or a stiff epoxy resin layer. This article begins by outlining the process used to determine the parameters for the flexible materials. The linear analytical model, based on the hypothesis of planar cross-sections for bent components and approximating the behavior of the adhesive layer by the pure shear state, leads to closed-form formulas for deflections and stresses in individual components of the system. These formulas are employed in an iterative procedure to evaluate the post-cracking behavior of composite beams. Conversely, the FEA model accounts for material non-linearity in both the adhesive and concrete, as well as the possibility of decohesion of the adhesive layer, providing a more detailed and accurate representation of the structure. The allowable loads, deflections, and stresses derived from both methods are evaluated and compared across various stages of structural performance: prior to cracking, and two serviceability limit states. The obtained results are validated through comparison with experimental data. The aim of this study is to evaluate the effectiveness of the analytical method for rapid assessment of the capacity of composite concrete structures in different work phases. The iterative procedure based on the analytical solution is found to provide reasonable approximations in terms of the deflection, stress distribution, and crack depth. Full article
(This article belongs to the Section Construction and Building Materials)
Show Figures

Graphical abstract

34 pages, 9360 KB  
Review
Flame-Retardant Fiber-Reinforced Composites: Advances and Prospects in Multi-Performance Synergy
by Zihan Zhang, Feng Han, Haoran Li, Tianyu Li, Boran Yang, Jinhu Hu and Ye-Tang Pan
J. Compos. Sci. 2025, 9(12), 703; https://doi.org/10.3390/jcs9120703 - 16 Dec 2025
Viewed by 233
Abstract
Fiber-reinforced polymer composites, particularly carbon fiber and glass fiber reinforced composites, are widely used in cutting-edge industries due to their excellent properties, such as light weight and high strength. This review systematically compares and summarizes recent research advances in flame retardancy for carbon [...] Read more.
Fiber-reinforced polymer composites, particularly carbon fiber and glass fiber reinforced composites, are widely used in cutting-edge industries due to their excellent properties, such as light weight and high strength. This review systematically compares and summarizes recent research advances in flame retardancy for carbon fiber-reinforced polymers and glass fiber-reinforced polymers. Focusing on various polymer matrices, including epoxy, polyamide, and polyetheretherketone, the mechanisms and synergistic effects of different flame-retardant modification strategies—such as additive flame retardants, nanocomposites, coating techniques, intrinsically flame-retardant polymers, and advanced manufacturing processes—are analyzed with emphasis on improving flame retardancy and suppressing the “wick effect.” The review critically examines the challenges in balancing flame retardancy, mechanical performance, and environmental friendliness in current approaches, highlighting the key role of interface engineering in mitigating the “wick effect.” Based on this analysis, four future research directions are proposed: implementing green design principles throughout the material life cycle; promoting the use of natural fibers, bio-based resins, and bio-derived flame retardants; developing intelligent responsive flame-retardant systems based on materials such as metal–organic frameworks; advancing interface engineering through biomimetic design and advanced characterization to fundamentally suppress the fiber “wick effect”; and incorporating materials genome and high-throughput preparation technologies to accelerate the development of high-performance flame-retardant composites. This review aims to provide systematic theoretical insights and clear technical pathways for developing the next generation of high-performance, safe, and sustainable fiber-reinforced composites. Full article
(This article belongs to the Section Polymer Composites)
Show Figures

Graphical abstract

14 pages, 6874 KB  
Article
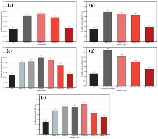
Preparation of Highly Uniform Silica Microspheres Recycled from Silicone Rubber and Their Application as Fillers in Epoxy Resin-Based Insulating Materials
by Zhiling Chen, Li Cheng, Wenlong Xu and Ruijin Liao
Materials 2025, 18(24), 5647; https://doi.org/10.3390/ma18245647 - 16 Dec 2025
Viewed by 148
Abstract
Silicone rubber from decommissioned composite insulators has become one of the major environmental challenges in the power industry due to its non-degradable nature. Therefore, the recycling and reuse of silicone rubber are of great environmental and economic significance. In this work, a method [...] Read more.
Silicone rubber from decommissioned composite insulators has become one of the major environmental challenges in the power industry due to its non-degradable nature. Therefore, the recycling and reuse of silicone rubber are of great environmental and economic significance. In this work, a method for preparing silica microspheres based on stepwise pyrolysis combined with post-treatment particle size fractionation is proposed. First, highly spherical silica microspheres were obtained by stepwise pyrolysis. Subsequently, glass fiber membrane filtration and aga-rose gel electrophoresis were employed as post-treatment methods to achieve particle size fractionation and enhanced uniformity. The results indicate that the post-treated silica microspheres exhibit high uniformity, high sphericity, and good dispersibility. This method significantly improves the structural uniformity and microscopic characteristics of the microspheres, making them promising high-value fillers for epoxy resin insulation modification. Comparative analysis with commercial nanosilica used as epoxy fillers shows that the recycled and fractionated silica microspheres achieve comparable improvements in breakdown strength and dielectric performance, confirming their potential for recycling and reuse in high-voltage insulation and electronic packaging applications. Full article
(This article belongs to the Section Green Materials)
Show Figures

Figure 1

15 pages, 3818 KB  
Article
Application of Physical and Quantum-Chemical Characteristics of Epoxy-Containing Diluents for Wear-Resistant Epoxy Compositions
by Andrii Kulikov, Kostyantyn Sukhyy, Oleksandr Yeromin, Marcel Fedak, Olena Prokopenko, Iryna Sukha, Oleksii Poloz, Oleh Mikats, Tomas Hrebik, Olha Kulikova and Martin Lopusniak
Materials 2025, 18(24), 5643; https://doi.org/10.3390/ma18245643 - 16 Dec 2025
Viewed by 136
Abstract
Low-viscosity epoxy-containing diluents are used to reduce the initial viscosity of highly filled, wear-resistant epoxy systems and to improve filler wetting and dispersion. This study determined physical parameters by an atomic-increment approach and electronic descriptors using the Parametric Method 3 (PM3) semi-empirical method. [...] Read more.
Low-viscosity epoxy-containing diluents are used to reduce the initial viscosity of highly filled, wear-resistant epoxy systems and to improve filler wetting and dispersion. This study determined physical parameters by an atomic-increment approach and electronic descriptors using the Parametric Method 3 (PM3) semi-empirical method. Clear relationships were established between the effective molar cohesion energy and the solubility parameter with van der Waals volume. Linear dependencies were also obtained between the diluent surface tension and spreading coefficients on model high-hardness fillers, including silicon carbide, boron carbide, and normal corundum. The activity of epoxy diluents depends on the lowest unoccupied molecular orbital energy. These diluents influence processing and the final physical and mechanical properties of composites, making their selection critical for strength, hardness, and wear resistance. Computational analysis enables prediction of diluent behavior, reducing experimental time and cost. Integrating physical and quantum-chemical data into epoxy diluent design accelerates the search for optimal components and improves production of durable, high-performance epoxy composites. Full article
Show Figures

Figure 1

21 pages, 8412 KB  
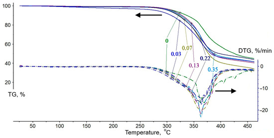
Article
Low-Flammability Hybrid Polymer Materials Based on Epoxy Oligomers and In Situ-Synthesized Zinc-Containing Microparticles
by Sergey Vladimirovich Borisov, Boris Andreevich Buravov, Daria Andreevna Kudryavtseva, Valentin Olegovich Kharlamov, Artem Aleksandrovich Kobelev, Stanislav Albertovich Trubachev, Marat Abdurakhmanovich Vaniev and Ivan Aleksandrovich Novakov
Polymers 2025, 17(24), 3291; https://doi.org/10.3390/polym17243291 - 11 Dec 2025
Viewed by 233
Abstract
This study addresses the drawbacks of traditional dispersed fire retardants—such as anisotropy, reduced strength, and poor filler impregnability—by developing in situ-formed hybrid epoxy composites. The materials, based on diglycidyl ether of bisphenol A and triethylenetetramine, were modified with a solution of zinc sulfate [...] Read more.
This study addresses the drawbacks of traditional dispersed fire retardants—such as anisotropy, reduced strength, and poor filler impregnability—by developing in situ-formed hybrid epoxy composites. The materials, based on diglycidyl ether of bisphenol A and triethylenetetramine, were modified with a solution of zinc sulfate heptahydrate in orthophosphoric acid. This approach yielded near-spherical microparticles (6–16 µm) within the polymer matrix. The scientific novelty lies in investigating how such in situ particle formation affects material properties. The modification significantly enhanced fire resistance: char residue increased 1.7–2.2-fold, while total heat release, peak heat release rate, and smoke release were reduced by up to 60.5%, 40.2%, and 70%, respectively. The observed increase in the mass loss rate suggests that accelerated thermal-oxidative degradation promotes char formation. These findings, supported by scanning electron microscopy, energy-dispersive X-ray spectroscopy, and Fourier-transform infrared spectroscopy data, demonstrate the efficacy of the in situ strategy for creating high-performance, fire-safe epoxy composites. Full article
(This article belongs to the Section Smart and Functional Polymers)
Show Figures

Graphical abstract

19 pages, 9529 KB  
Article
Comparative Analysis and Predictive Modeling of Wear Performance of Glass- and Bamboo Fiber-Reinforced Nanoclay–Epoxy Composites Using RSM and ANN
by Syed Mansoor Ahmad, Gowrishankar Mandya Channegowda, Manjunath Shettar and Ashwini Bhat
Polymers 2025, 17(24), 3286; https://doi.org/10.3390/polym17243286 - 11 Dec 2025
Viewed by 207
Abstract
This research contributes to the field of materials engineering through an analysis of the wear performance of both glass fiber-reinforced epoxy composites (GFEC) and bamboo fiber-reinforced epoxy composites (BFEC). This study aims to assess the wear performance, defined by mass loss, of the [...] Read more.
This research contributes to the field of materials engineering through an analysis of the wear performance of both glass fiber-reinforced epoxy composites (GFEC) and bamboo fiber-reinforced epoxy composites (BFEC). This study aims to assess the wear performance, defined by mass loss, of the composites under various factors: load, speed, time, nanoclay content, and composite type. Specimens are subjected to wear tests by a pin-on-disc tribometer. Composite wear performance is studied through Response Surface Methodology (RSM) and Artificial Neural Networks (ANN) as predictive models. Experimental runs are planned based on the Box–Behnken design of RSM to present a regression model that is then checked with an ANOVA analysis; afterwards, training and testing are performed using an ANN model to improve predictive accuracy. As per the results, GFEC exhibits lower mass loss compared to BFEC. For both of the composites, the mass loss is drastically reduced by the addition of nanoclay. The addition of nanoclay has more pronounced effects on BFECs than on GFECs. ANN predictions are found to be better in agreement with the experimental values compared to those derived from the RSM model. Scanning Electron Microscopy (SEM) analysis provides insight into wear mechanisms. This study demonstrates the effectiveness of a statistical and machine learning approach in optimizing wear performance in composite materials. Full article
(This article belongs to the Special Issue Modeling of Polymer Composites and Nanocomposites (2nd Edition))
Show Figures

Figure 1

23 pages, 8989 KB  
Article
Characterization of Novel Composite Materials with Radiation Shielding Properties for Electronic Encapsulation
by Carla Ortiz Sánchez, Juan José Medina Del Barrio, Gonzalo Fernández Romero, Ángel Yedra Martínez, Paula Ruiz Losada and Luis Alejandro Arriaga Arellano
Materials 2025, 18(24), 5564; https://doi.org/10.3390/ma18245564 - 11 Dec 2025
Viewed by 245
Abstract
It is well known that the space radiation environment, which has contributions from the trapped particles within the Van Allen belts, solar energetic particles (SEPs) and galactic cosmic rays (GCRs), directly influences space systems. These systems rely on complex and fragile electronic devices, [...] Read more.
It is well known that the space radiation environment, which has contributions from the trapped particles within the Van Allen belts, solar energetic particles (SEPs) and galactic cosmic rays (GCRs), directly influences space systems. These systems rely on complex and fragile electronic devices, whose performance can be degraded because of the action of the radiation and its related phenomena: single-event effects (SEEs), displacement damages (DDs) and total ionizing dose (TID). This could cause failures to arise through various mechanisms, ranging from parametric drift failures, such as leakage current and threshold voltage, among others, to destructive effects, like single-event burnout (SEB) or single-event latch-up (SEL). These failures in electronics affect the system’s reliability and its performance, which could compromise the mission’s success. Considering this, the main objective of the SRPROTEC project is to develop and validate new composite materials with better shielding performance against space radiation to increase the radiation tolerance of microelectronic devices encapsulated with these materials. For this purpose, three composites will be synthesized using a liquid epoxy resin filled with silica as a matrix mixed in different proportions, with a high-Z filler. The presence of low-Z elements from the high hydrogen content in the polymer and the presence of high-Z fillers are expected to produce a material with good radiation shielding properties. The developed materials will be exhaustively characterized, subjecting the three composites and control samples to rheological outgassing; gamma radiation shielding; and thermal, electrical, thermomechanical and moisture absorption, among other tests. Finally, the composite with the best performance will be selected and subjected to degradation tests (thermal cycling in vacuum, thermal cycling, thermal shock and relative humidity tests) to determine its suitability for space packaging applications. Full article
(This article belongs to the Topic Advanced Composite Materials)
Show Figures

Figure 1

16 pages, 3165 KB  
Article
Synthesis of Halogen-Containing Methylenedianiline Derivatives as Curing Agents for Epoxy Resins and Evaluation of Mechanical Properties of Their Carbon-Fiber-Reinforced Polymers
by Anastasia Kondrateva, Oleg Morozov, Vladimir Terekhov, Ekaterina Kudriashova, Alexey Fedorov and Victor Avdeev
J. Compos. Sci. 2025, 9(12), 687; https://doi.org/10.3390/jcs9120687 - 11 Dec 2025
Viewed by 183
Abstract
Owing to their superior mechanical performance, strong adhesion, thermal resistance, and insulating properties, epoxy resins are commonly employed as protective coatings, electronic encapsulants, adhesives, and matrices in composites. The selection of the epoxy system components—the base resin and curing agent—along with the chosen [...] Read more.
Owing to their superior mechanical performance, strong adhesion, thermal resistance, and insulating properties, epoxy resins are commonly employed as protective coatings, electronic encapsulants, adhesives, and matrices in composites. The selection of the epoxy system components—the base resin and curing agent—along with the chosen curing protocol, directly determines the properties of the final cross-linked polymer. This study compares the influence of halogen substituents in 4,4′-methylenebis(2,6-diethylaniline) (MDEA), 4,4′-methylenebis(3-chloro-2,6-diethylaniline) (MCDEA) and 4,4′-methylenebis(3-bromo-2,6-diethylaniline) (MBDEA). The results of mechanical tests on plastics and composites demonstrated an increase in the strength properties and elastic modulus of the matrix, improved adhesive interactions with carbon fiber, and showed a reduction in moisture saturation across the series MDEA → MCDEA → MBDEA. Notably, the improvement in properties exceeded the increase in the density of the compositions, indicating an enhancement in the specific characteristics of the matrix. Full article
(This article belongs to the Section Carbon Composites)
Show Figures

Graphical abstract

15 pages, 1740 KB  
Article
The Influence of Zinc Oxide Nanoparticles on Dispersion, Rheology, and Mechanical Properties of Epoxy-Based Composites
by Tsz Ting Wong, Solange Amigues and Firas Awaja
Polymers 2025, 17(24), 3253; https://doi.org/10.3390/polym17243253 - 6 Dec 2025
Viewed by 323
Abstract
The impact of zinc oxide (ZnO) nanoparticles on the dispersion, rheological behaviour, and mechanical properties of epoxy-based composites was investigated. Through experimental examinations, we found that 100 nm ZnO with a 4 wt.% content, when incorporated into epoxy, demonstrated homogeneous dispersion. Conversely, an [...] Read more.
The impact of zinc oxide (ZnO) nanoparticles on the dispersion, rheological behaviour, and mechanical properties of epoxy-based composites was investigated. Through experimental examinations, we found that 100 nm ZnO with a 4 wt.% content, when incorporated into epoxy, demonstrated homogeneous dispersion. Conversely, an increase in ZnO nanoparticle content led to particle agglomeration within the composite’s core. Rheology tests revealed that the 4 wt.% ZnO/epoxy mixture exhibited the lowest shear stress value, surpassing even the neat epoxy. Additionally, theoretical models were employed to evaluate the stress–strain properties of the ZnO/epoxy with the hollow glass fibre composite system. The study demonstrates the critical role of ZnO nanoparticle content in achieving dispersion and mechanical strength without the need for chemical solvents or surface modifications. Furthermore, variations in ZnO content within the composite resulted in a differing Young’s Modulus and UV absorbability, highlighting the importance of nanoparticle concentration in determining material properties. The study also delves into the effects of core diameter, length of hollow glass fibres (HGF), and adhesive layer thickness on stress transfer and strain deformation mechanisms within the composite system. Full article
(This article belongs to the Section Polymer Composites and Nanocomposites)
Show Figures

Figure 1

18 pages, 8979 KB  
Article
Mechanical Behavior of Carbon-Fiber-Reinforced Polymer Composites (Towpreg) Under Various Temperature Conditions
by Yoonduck Seo, Jiming Sun, Amit Dixit, Da Hye Kim, Yuen Xia and Sung Kyu Ha
Polymers 2025, 17(24), 3241; https://doi.org/10.3390/polym17243241 - 5 Dec 2025
Viewed by 412
Abstract
As the hydrogen economy rapidly expands, carbon-fiber-reinforced polymer composites (Towpreg) have become key materials for next-generation hydrogen pressure vessels, offering superior processability, reproducibility, and storage stability compared to conventional wet-winding composites. Since hydrogen storage vessels are evaluated at three representative service temperatures (−40, [...] Read more.
As the hydrogen economy rapidly expands, carbon-fiber-reinforced polymer composites (Towpreg) have become key materials for next-generation hydrogen pressure vessels, offering superior processability, reproducibility, and storage stability compared to conventional wet-winding composites. Since hydrogen storage vessels are evaluated at three representative service temperatures (−40, 25, and 85 °C), Towpreg materials must maintain consistent mechanical performance across this range to meet certification standards. This study establishes an integrated methodology combining Towpreg panel fabrication, temperature-controlled tensile and fatigue testing, and quantitative assessment of thermo-mechanical stability using DM epoxy resin as the matrix. To address artifacts such as tab slippage at high temperatures and inefficiency at low temperatures, a “Localized Thermal Control” approach was developed. The HY-Mini Heater System enables localized heating at 85 °C, while the HY-Cooler System applies a Joule–Thomson-based Stirling cooler for efficient localized cooling at −40 °C. Quantitative evaluation showed tensile strengths of 2973.3 MPa (RT), 2767.3 MPa (HT, ~7% decrease), and 2907.7 MPa (LT, ~2% decrease). Under R = 0.1 fatigue testing, the Basquin slope (m) was 11.97 (RT), 9.98 (HT), and 10.6 (LT), while the intercept (log b ≈ 3.7) remained nearly constant. These results confirm the excellent thermo-mechanical stability of the carbon-fiber-reinforced polymer composites (Towpreg) for hydrogen tank applications. Full article
(This article belongs to the Special Issue Fiber Reinforced Polymeric Composites)
Show Figures

Figure 1

Back to TopTop