Multifunctional Bamboo Fiber/Epoxy Composites Featuring Integrated Superhydrophobicity and Enhanced Mechanical–Thermal Performance
Abstract
1. Introduction
2. Materials and Methods
3. Results and Discussion
3.1. Structural Characterization
3.2. Mechanical Properties of Alkali-Treated Bamboo Composites
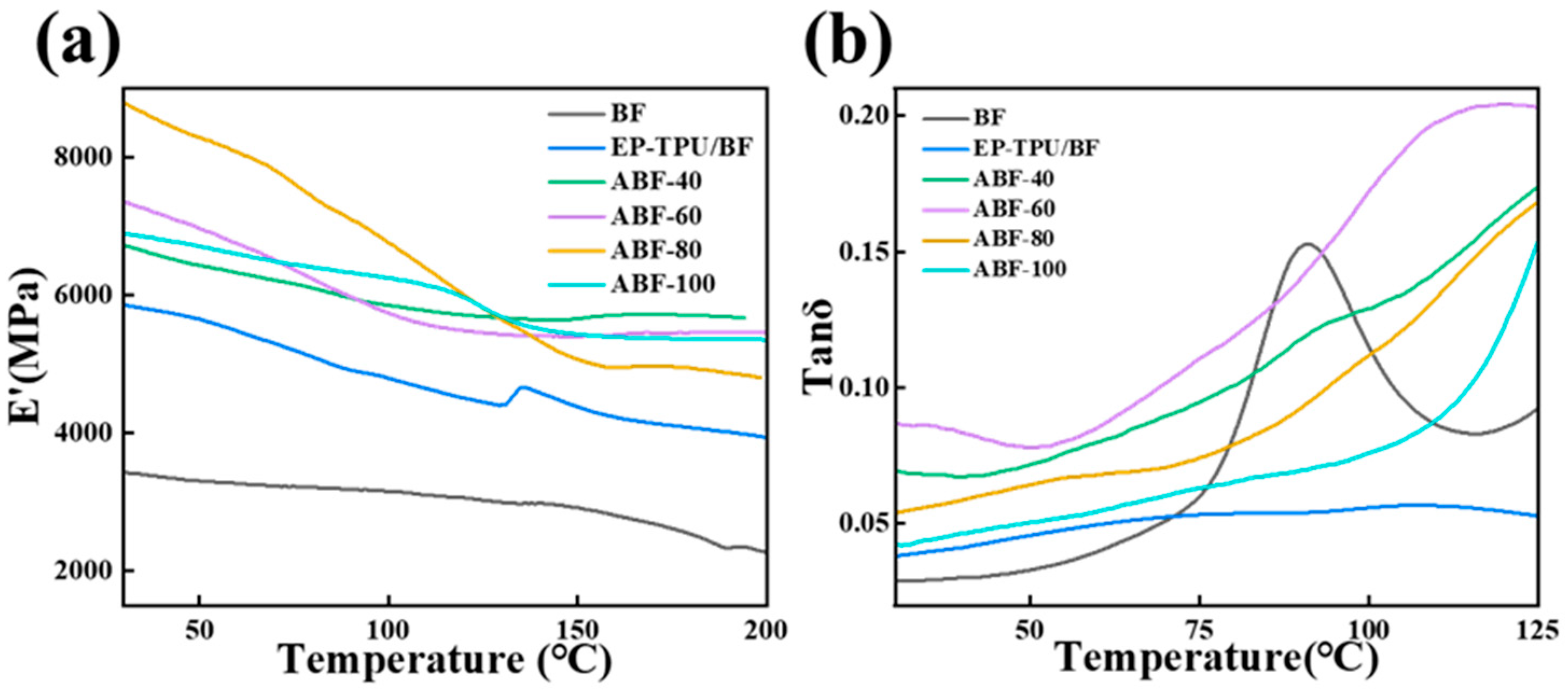
3.3. Dynamic Mechanical Analysis (DMA)
3.4. Thermal Stability and TGA Analysis
3.5. Hydrophobic Performance of Alkali-Treated Bamboo Composites
4. Conclusions
Supplementary Materials
Author Contributions
Funding
Data Availability Statement
Conflicts of Interest
References
- Dong, J.; Liu, Y.; Yuan, S.; Li, K.; Zhang, F.; Guan, Z.; Chai, H.K.; Wang, Q. Mechanical behavior and impact resistance of rubberized concrete enhanced by basalt fiber-epoxy resin composite. Constr. Build. Mater. 2024, 435, 136836. [Google Scholar] [CrossRef]
- Bergner, K.; Tosch, M.; Zauer, M.; Spickenheuer, A.; Wagenführ, A.; Heinrich, G. Process development for the manufacture of fiber reinforced wood composites (FRWC). Constr. Build. Mater. 2018, 180, 275–284. [Google Scholar] [CrossRef]
- Hadrup, N.; Frederiksen, M.; Sharma, A.K. Toxicity of boric acid, borax and other boron containing compounds: A review. Regul. Toxicol. Pharmacol. 2021, 121, 104873. [Google Scholar] [CrossRef]
- Saini, K.; Matsagar, V.A.; Kodur, V.R. Recent advances in the use of natural fibers in civil engineering structures. Constr. Build. Mater. 2024, 411, 134364. [Google Scholar] [CrossRef]
- Rivera, J.L.V.; Reyes, C.R.V.; Wachtendorff, A.A.Q.; Soto, A.R.; Fernández, M.V.; Abarzúa, R.I.; Ortega, A.G.; del Pino, G.G.; Diaz, F.R.V. Influence of bentonite particles on the mechanical properties of polyester–sisal fiber composites. Polymers 2023, 15, 3963. [Google Scholar] [CrossRef]
- Wang, B.; Yan, L.; Kasal, B. A review of coir fibre and coir fibre reinforced cement-based composite materials (2000–2021). J. Clean. Prod. 2022, 338, 130676. [Google Scholar] [CrossRef]
- Wang, Y.-Y.; Li, Y.-Q.; Xue, S.-S.; Zhu, W.-B.; Wang, X.-Q.; Huang, P.; Fu, S.-Y. Superstrong, lightweight, and exceptional environmentally stable SiO2@ GO/bamboo composites. ACS Appl. Mater. Interfaces 2022, 14, 7311–7320. [Google Scholar] [CrossRef] [PubMed]
- Zhang, J.; Chevali, V.S.; Wang, H.; Wang, C.-H. Current status of carbon fibre and carbon fibre composites recycling. Compos. Part B Eng. 2020, 193, 108053. [Google Scholar] [CrossRef]
- Chen, Q.; Dai, C.; Fang, C.; Chen, M.; Zhang, S.; Liu, R.; Liu, X.; Fei, B. Mode I interlaminar fracture toughness behavior and mechanisms of bamboo. Mater. Des. 2019, 183, 108132. [Google Scholar] [CrossRef]
- Dai, F.; Wang, Z.; Wang, H.; Zhang, W.; Zhong, T.; Tian, G. Vascular bundle characteristics and mechanical properties of Dendrocalamus sinicus. Constr. Build. Mater. 2023, 363, 129858. [Google Scholar] [CrossRef]
- Bai, Y.; Wang, W.; Zhang, Y.; Wang, X.; Wang, X.; Shi, J. Effects of different delignification and drying methods on fiber properties of moso bamboo. Polymers 2022, 14, 5464. [Google Scholar] [CrossRef]
- Hailemariam, E.K.; Hailemariam, L.M.; Amede, E.A.; Nuramo, D.A. Identification of barriers, benefits and opportunities of using bamboo materials for structural purposes. Eng. Constr. Archit. Manag. 2023, 30, 2716–2738. [Google Scholar] [CrossRef]
- Minakshi, M.; Mujeeb, A.; Whale, J.; Evans, R.; Aughterson, R.; Shinde, P.A.; Ariga, K.; Shrestha, L.K. Synthesis of Porous Carbon Honeycomb Structures Derived from Hemp for Hybrid Supercapacitors with Improved Electrochemistry. ChemPlusChem 2024, 89, e202400408. [Google Scholar] [CrossRef]
- Hameed, N.; Bavishi, J.; Parameswaranpillai, J.; Salim, N.V.; Joseph, J.; Madras, G.; Fox, B.L. Thermally flexible epoxy/cellulose blends mediated by an ionic liquid. RSC Adv. 2015, 5, 52832–52836. [Google Scholar] [CrossRef]
- Zielinski, D.; Szpecht, A.; Maciejewski, H.; Smiglak, M. Cellulose dissolved in ionic liquids as in situ generated filler in epoxy biocomposites with simultaneous curing initiated by ionic liquids. Cellulose 2024, 31, 6747–6760. [Google Scholar] [CrossRef]
- Wu, Y.; Wang, Y.; Yang, F.; Wang, J.; Wang, X. Study on the properties of transparent bamboo prepared by epoxy resin impregnation. Polymers 2020, 12, 863. [Google Scholar] [CrossRef] [PubMed]
- Somarathna, Y.; Herath, M.; Epaarachchi, J.; Islam, M.M. Formulation of Epoxy Prepregs, Synthesization Parameters, and Resin Impregnation Approaches—A Comprehensive Review. Polymers 2024, 16, 3326. [Google Scholar] [CrossRef] [PubMed]
- Feng, L.; He, X.; Zhang, Y.; Qu, D.; Chai, C. Triple roles of thermoplastic polyurethane in toughening, accelerating and enhancing self-healing performance of thermo-reversible epoxy resins. J. Polym. Environ. 2021, 29, 829–836. [Google Scholar] [CrossRef]
- Pan, D.; Li, Q.; Zhang, W.; Dong, J.; Su, F.; Murugadoss, V.; Liu, Y.; Liu, C.; Naik, N.; Guo, Z. Highly thermal conductive epoxy nanocomposites filled with 3D BN/C spatial network prepared by salt template assisted method. Compos. Part B Eng. 2021, 209, 108609. [Google Scholar] [CrossRef]
- Chen, T.; Fang, L.; Lu, C.; Xu, Z. Effects of blended reversible epoxy domains on structures and properties of self-healing/shape-memory thermoplastic polyurethane. Macromol. Mater. Eng. 2020, 305, 1900578. [Google Scholar] [CrossRef]
- Karakaya, N.; Papila, M.; Özkoç, G. Effects of hot melt adhesives on the interfacial properties of overmolded hybrid structures of polyamide-6 on continuous carbon fiber/epoxy composites. Compos. Part A Appl. Sci. Manuf. 2020, 139, 106106. [Google Scholar] [CrossRef]
- Wang, X.-Z.; Wang, J.-W.; Wang, H.-Q.; Zhuang, G.-C.; Yang, J.-B.; Ma, Y.-J.; Zhang, Y.; Ren, H. Effects of a new compatibilizer on the mechanical properties of TPU/PEBA blends. Eur. Polym. J. 2022, 175, 111358. [Google Scholar] [CrossRef]
- Zhang, D.; Yang, H.; Pan, J.; Lewis, B.; Zhou, W.; Cai, K.; Benatar, A.; Lee, L.J.; Castro, J.M. Multi-functional CNT nanopaper polyurethane nanocomposite fabricated by ultrasonic infiltration and dip soaking processes. Compos. Part B Eng. 2020, 182, 107646. [Google Scholar] [CrossRef]
- Wang, Y.-Y.; Wang, X.-Q.; Li, Y.-Q.; Huang, P.; Yang, B.; Hu, N.; Fu, S.-Y. High-performance bamboo steel derived from natural bamboo. ACS Appl. Mater. Interfaces 2020, 13, 1431–1440. [Google Scholar] [CrossRef]
- Chen, X.; Wang, X.; Gu, S.; Huang, A.; Cheng, H. Effects of alkali treatment on the bending and fracture behavior of biomaterial bamboo. Polym. Test. 2025, 143, 108715. [Google Scholar] [CrossRef]
- Zou, Y.; Zhang, W.; Yuan, S.; Zhang, J.; Chen, H. Effects of Different Pretreatments Combined with Steam Explosion on the Properties of Bamboo Fibers. BioResources 2023, 18, 855–868. [Google Scholar] [CrossRef]
- Taliantzis, K.; Ellinas, K. Green hydrophobic and superhydrophobic coatings and surfaces for water related applications: A review. Adv. Colloid Interface Sci. 2025, 343, 103566. [Google Scholar] [CrossRef] [PubMed]
- Li, Y.; Chen, S.; Wu, M.; Sun, J. All spraying processes for the fabrication of robust, self-healing, superhydrophobic coatings. Adv. Mater. 2014, 26, 3344–3348. [Google Scholar] [CrossRef] [PubMed]
- Wei, J.; Li, B.; Tian, N.; Zhang, J.; Liang, W.; Zhang, J. Scalable robust superamphiphobic coatings enabled by self-similar structure, protective micro-skeleton, and adhesive for practical anti-icing of high-voltage transmission tower. Adv. Funct. Mater. 2022, 32, 2206014. [Google Scholar] [CrossRef]
- Wang, X.; Pu, J.; Liu, Y.; Qin, C.; Yao, S.; Wang, S.; Liang, C. Unveiling the Dissolution Regularities of the Lignin–Carbohydrate Complex in Bamboo Cell Walls during Alkali Pretreatment. J. Agric. Food Chem. 2024, 72, 10206–10217. [Google Scholar] [CrossRef]
- Horikawa, Y.; Hirano, S.; Mihashi, A.; Kobayashi, Y.; Zhai, S.; Sugiyama, J. Prediction of lignin contents from infrared spectroscopy: Chemical digestion and lignin/biomass ratios of Cryptomeria japonica. Appl. Biochem. Biotechnol. 2019, 188, 1066–1076. [Google Scholar] [CrossRef] [PubMed]
- Yamashita, Y.; Shono, M.; Sasaki, C.; Nakamura, Y. Alkaline peroxide pretreatment for efficient enzymatic saccharification of bamboo. Carbohydr. Polym. 2010, 79, 914–920. [Google Scholar] [CrossRef]
- Zeng, F.; Wang, S.; Liang, J.; Cao, L.; Liu, X.; Qin, C.; Liang, C.; Si, C.; Yu, Z.; Yao, S. High-efficiency separation of hemicellulose from bamboo by one-step freeze–thaw-assisted alkali treatment. Bioresour. Technol. 2022, 361, 127735. [Google Scholar] [CrossRef]
- Minakshi, M.; Appadoo, D. Traditional salt-in-water electrolyte vs. water-in-salt electrolyte with binary metal oxide for symmetric supercapacitors: Capacitive vs. faradaic. Dalton Trans. 2020, 49, 11743–11755. [Google Scholar] [CrossRef]
- Chen, X.; Patankar, K.A.; Larive, M. Monitoring polyurethane foaming reactions using near-infrared hyperspectral imaging. Appl. Spectrosc. 2021, 75, 46–56. [Google Scholar] [CrossRef]
- Yang, H.; Shi, Z.; Xu, G.; Qin, Y.; Deng, J.; Yang, J. Bioethanol production from bamboo with alkali-catalyzed liquid hot water pretreatment. Bioresour. Technol. 2019, 274, 261–266. [Google Scholar] [CrossRef] [PubMed]
- Wang, H.; Sun, F.; Qu, Z.; Wang, K.; Wang, L.; Pi, X.; Gao, J.; Zhao, G. Oxygen functional group modification of cellulose-derived hard carbon for enhanced sodium ion storage. ACS Sustain. Chem. Eng. 2019, 7, 18554–18565. [Google Scholar] [CrossRef]
- Zhang, H.; An, X.; Liu, L.; Lu, Z.; Liu, H.; Ni, Y. Preparation of cellulose-based lithium ion battery membrane enhanced with alkali-treated polysulfonamide fibers and cellulose nanofibers. J. Membr. Sci. 2019, 591, 117346. [Google Scholar] [CrossRef]
- Bai, T.; Wang, D.; Yan, J.; Cheng, W.; Cheng, H.; Shi, S.Q.; Wang, G.; Han, G. Wetting mechanism and interfacial bonding performance of bamboo fiber reinforced epoxy resin composites. Compos. Sci. Technol. 2021, 213, 108951. [Google Scholar] [CrossRef]
- Chen, L.-Y.; Meng, X.-G.; Yu, W.-W.; Zhang, Y.-L.; Gan, Z.-Y.; Yang, C. Efficient separation of cellulose from bamboo by organic alkali. Cellulose 2023, 30, 1369–1379. [Google Scholar] [CrossRef]
- Jagnade, P.; Panwar, N.L.; Agarwal, C. Experimental investigation of kinetic parameters of bamboo and bamboo biochar using thermogravimetric analysis under non-isothermal conditions. BioEnergy Res. 2023, 16, 1143–1155. [Google Scholar] [CrossRef]
- Tian, P.; Guo, Z. Bioinspired silica-based superhydrophobic materials. Appl. Surf. Sci. 2017, 426, 1–18. [Google Scholar] [CrossRef]







| Materials | Tensile Strength (MPa) | Bending Strength (MPa) | Elastic Modulus (GPa) |
|---|---|---|---|
| BF | 93.97 ± 2.4 | 154.57 ± 10.15 | 7.9 ± 0.31 |
| EP-TPU/BF | 198.09 ± 5.11 | 208.2 ± 18.21 | 9.7 ± 1.53 |
| ABF-40 | 185.58 ± 10.35 | 212.35 ± 24.90 | 10.2 ± 1.79 |
| ABF-60 | 273.57 ± 16.96 | 394.95 ± 29.43 | 11.6 ± 2.52 |
| ABF-80 | 324.14 ± 20.12 | 443.97 ± 22.16 | 14.4 ± 2.34 |
| ABF-100 | 135.24 ± 35.87 | 235.12 ± 30.91 | 9.1 ± 2.71 |
| Materials | TONSET (°C) | TMAX (°C) | Residual Rate (%) |
|---|---|---|---|
| BF | 243.5 | 309.4 | 14.6% |
| EP-TPU/BF | 251.1 | 312.0 | 16.6% |
| ABF-40 | 243.1 | 315.4 | 15.8% |
| ABF-60 | 241.4 | 310.0 | 19.2% |
| ABF-80 | 238.5 | 302.5 | 16.7% |
| ABF-100 | 257.6 | 324.6 | 14.6% |
Disclaimer/Publisher’s Note: The statements, opinions and data contained in all publications are solely those of the individual author(s) and contributor(s) and not of MDPI and/or the editor(s). MDPI and/or the editor(s) disclaim responsibility for any injury to people or property resulting from any ideas, methods, instructions or products referred to in the content. |
© 2025 by the authors. Licensee MDPI, Basel, Switzerland. This article is an open access article distributed under the terms and conditions of the Creative Commons Attribution (CC BY) license.
Share and Cite
Liu, Y.; Yu, Z.; Li, R.; Wang, X.; Qiao, Y. Multifunctional Bamboo Fiber/Epoxy Composites Featuring Integrated Superhydrophobicity and Enhanced Mechanical–Thermal Performance. Nanomaterials 2026, 16, 8. https://doi.org/10.3390/nano16010008
Liu Y, Yu Z, Li R, Wang X, Qiao Y. Multifunctional Bamboo Fiber/Epoxy Composites Featuring Integrated Superhydrophobicity and Enhanced Mechanical–Thermal Performance. Nanomaterials. 2026; 16(1):8. https://doi.org/10.3390/nano16010008
Chicago/Turabian StyleLiu, Yanchao, Ze Yu, Rumin Li, Xiaodong Wang, and Yingjie Qiao. 2026. "Multifunctional Bamboo Fiber/Epoxy Composites Featuring Integrated Superhydrophobicity and Enhanced Mechanical–Thermal Performance" Nanomaterials 16, no. 1: 8. https://doi.org/10.3390/nano16010008
APA StyleLiu, Y., Yu, Z., Li, R., Wang, X., & Qiao, Y. (2026). Multifunctional Bamboo Fiber/Epoxy Composites Featuring Integrated Superhydrophobicity and Enhanced Mechanical–Thermal Performance. Nanomaterials, 16(1), 8. https://doi.org/10.3390/nano16010008

