Sign in to use this feature.

Years

Between: -

Subjects

remove_circle_outline
remove_circle_outline
remove_circle_outline
remove_circle_outline
remove_circle_outline
remove_circle_outline
remove_circle_outline
remove_circle_outline
remove_circle_outline

Journals

remove_circle_outline
remove_circle_outline
remove_circle_outline
remove_circle_outline
remove_circle_outline
remove_circle_outline
remove_circle_outline

Article Types

Countries / Regions

remove_circle_outline
remove_circle_outline
remove_circle_outline
remove_circle_outline
remove_circle_outline

Search Results (2,334)

Search Parameters:
Keywords = energy storage network

Order results
Result details
Results per page
Select all
Export citation of selected articles as:
33 pages, 3160 KB  
Article
A Unified Optimization Approach for Heat Transfer Systems Using the BxR and MO-BxR Algorithms
by Ravipudi Venkata Rao, Jan Taler, Dawid Taler and Jaya Lakshmi
Energies 2026, 19(1), 34; https://doi.org/10.3390/en19010034 (registering DOI) - 20 Dec 2025
Abstract
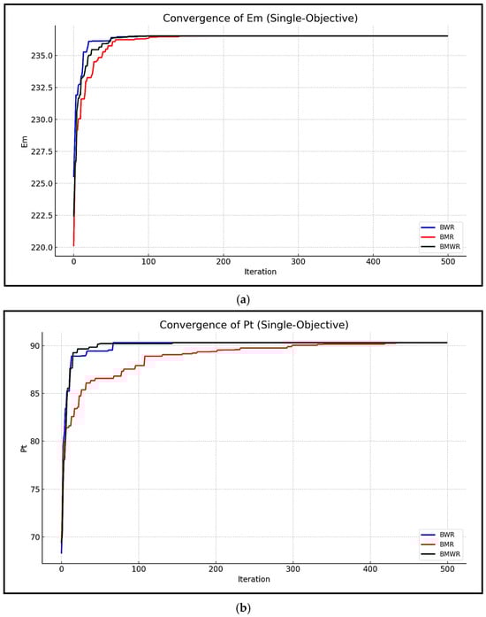
In this work, three novel optimization algorithms—collectively referred to as the BxR algorithms—and their multi-objective versions, referred to as the MO-BxR algorithms, are applied to diverse heat transfer systems. Five representative case studies are presented: two single-objective problems involving a heat exchanger network [...] Read more.
In this work, three novel optimization algorithms—collectively referred to as the BxR algorithms—and their multi-objective versions, referred to as the MO-BxR algorithms, are applied to diverse heat transfer systems. Five representative case studies are presented: two single-objective problems involving a heat exchanger network and a jet-plate solar air heater; a two-objective optimization of Y-type fins in phase-change thermal energy storage units; and two three-objective problems involving TPMS–fin three-fluid heat exchangers and Tesla-valve evaporative cold plates for LiFePO4 battery modules. The proposed algorithms are compared with leading evolutionary optimizers, including IUDE, εMAgES, iL-SHADEε, COLSHADE, and EnMODE, as well as NSGA-II, NSGA-III, and NSWOA. The results demonstrated improved convergence characteristics, better Pareto front diversity, and reduced computational burden. A decision-making framework is also incorporated to identify balanced, practically feasible, and engineering-preferred solutions from the Pareto sets. Overall, the results demonstrated that the BxR and MO-BxR algorithms are capable of effectively handling diverse thermal system designs and enhancing heat transfer performance. Full article
(This article belongs to the Section J1: Heat and Mass Transfer)
Show Figures

Figure 1

31 pages, 1241 KB  
Article
Electrification of Road Transport Infrastructure in the Context of Sustainable Transport Development and the Deployment of Alternative Fuels Infrastructure on the TEN-T Network in Poland
by Rafał Szyc, Norbert Chamier-Gliszczynski, Wojciech Musiał, Emilian Szczepański and Piotr Franke-Wąsowski
Energies 2026, 19(1), 15; https://doi.org/10.3390/en19010015 - 19 Dec 2025
Abstract
Road transport constitutes a crucial element of the European economy, but it also generates significant external costs. In the process of reducing the impact of road transport on the environment and society, numerous actions are being undertaken to implement the concept of sustainable [...] Read more.
Road transport constitutes a crucial element of the European economy, but it also generates significant external costs. In the process of reducing the impact of road transport on the environment and society, numerous actions are being undertaken to implement the concept of sustainable transport development in the Member States of the European Union. A key measure in this area is the introduction of low- and zero-emission propulsion systems in vehicles intended for passenger and freight transport. This article focuses on electric vehicles powered by battery energy storage systems. An essential component of these efforts is the development of alternative fuels infrastructure, which is expected to enable the operation of such vehicles by providing access to battery charging facilities. The development of infrastructure in the form of electric vehicle charging stations, initially concentrated in urban areas, has been extended to the network of European roads. The driving force behind this expansion is the European Parliament and the Council of the EU, which, on the basis of the Alternative Fuels Infrastructure Regulation (AFIR), stimulate the development of alternative fuels infrastructure along the TEN-T network. The aim of the article is to present selected challenges related to the electrification of road transport infrastructure in the context of the sustainable transport development concept and the construction of alternative fuels infrastructure along the TEN-T network. The research focuses on forecasting the demand for alternative fuels infrastructure along the A1 and A2 motorways, which form part of the TEN-T network within the territory of Poland. The research process stems from the implementation of the AFIR in the EU Member States. Full article
30 pages, 1012 KB  
Article
Economic and Energy Efficiency of Bivalent Heating Systems in a Retrofitted Hospital Building: A Case Study
by Jakub Szymiczek, Krzysztof Szczotka, Piotr Michalak, Radosław Pyrek and Ewa Chomać-Pierzecka
Energies 2026, 19(1), 10; https://doi.org/10.3390/en19010010 - 19 Dec 2025
Abstract
This case study evaluates the economic and energy efficiency of retrofitting a hospital heating system in Krakow, Poland, by transitioning from a district-heating-only model to a bivalent hybrid system. The analyzed configuration integrates air-to-water heat pumps (HP), a 180 kWp photovoltaic (PV) installation, [...] Read more.
This case study evaluates the economic and energy efficiency of retrofitting a hospital heating system in Krakow, Poland, by transitioning from a district-heating-only model to a bivalent hybrid system. The analyzed configuration integrates air-to-water heat pumps (HP), a 180 kWp photovoltaic (PV) installation, and a 120 kWh battery energy storage (ES) unit, while retaining the municipal district heating network as a peak load and backup source. Utilizing high-resolution quasi-steady-state simulations in Ebsilon Professional (10 min time step) and projected 2025 market data, the study compares three modernization scenarios differing in heat pump capacity (20, 40, and 60 kW). The assessment focuses on key performance indicators, including Net Present Value (NPV), Levelized Cost of Heating (LCOH), and Simple Payback Time (SPBT). The results identify the bivalent system with 40 kW thermal capacity (Variant 2) as the economic optimum, delivering the highest NPV (EUR 121,021), the lowest LCOH (0.0908 EUR/kWh), and a payback period of 11.94 years. Furthermore, the study quantitatively demonstrates the law of diminishing returns in the oversized scenario (60 kW), confirming that optimal sizing is critical for maximizing the efficiency of bivalent systems in public healthcare facilities. This work provides a detailed methodology and data that can form a basis for making investment decisions in similar public utility buildings in Central and Eastern Europe. Full article
(This article belongs to the Special Issue Energy Efficiency of the Buildings: 4th Edition)
40 pages, 5487 KB  
Communication
Physics-Informed Temperature Prediction of Lithium-Ion Batteries Using Decomposition-Enhanced LSTM and BiLSTM Models
by Seyed Saeed Madani, Yasmin Shabeer, Michael Fowler, Satyam Panchal, Carlos Ziebert, Hicham Chaoui and François Allard
World Electr. Veh. J. 2026, 17(1), 2; https://doi.org/10.3390/wevj17010002 - 19 Dec 2025
Abstract
Accurately forecasting the operating temperature of lithium-ion batteries (LIBs) is essential for preventing thermal runaway, extending service life, and ensuring the safe operation of electric vehicles and stationary energy-storage systems. This work introduces a unified, physics-informed, and data-driven temperature-prediction framework that integrates mathematically [...] Read more.
Accurately forecasting the operating temperature of lithium-ion batteries (LIBs) is essential for preventing thermal runaway, extending service life, and ensuring the safe operation of electric vehicles and stationary energy-storage systems. This work introduces a unified, physics-informed, and data-driven temperature-prediction framework that integrates mathematically governed preprocessing, electrothermal decomposition, and sequential deep learning architectures. The methodology systematically applies the governing relations to convert raw temperature measurements into trend, seasonal, and residual components, thereby isolating long-term thermal accumulation, reversible entropy-driven oscillations, and irreversible resistive heating. These physically interpretable signatures serve as structured inputs to machine learning and deep learning models trained on temporally segmented temperature sequences. Among all evaluated predictors, the Bidirectional Long Short-Term Memory (BiLSTM) network achieved the highest prediction fidelity, yielding an RMSE of 0.018 °C, a 35.7% improvement over the conventional Long Short-Term Memory (LSTM) (RMSE = 0.028 °C) due to its ability to simultaneously encode forward and backward temporal dependencies inherent in cyclic electrochemical operation. While CatBoost exhibited the strongest performance among classical regressors (RMSE = 0.022 °C), outperforming Random Forest, Gradient Boosting, Support Vector Regression, XGBoost, and LightGBM, it remained inferior to BiLSTM because it lacks the capacity to represent bidirectional electrothermal dynamics. This performance hierarchy confirms that LIB thermal evolution is not dictated solely by historical load sequences; it also depends on forthcoming cycling patterns and entropic interactions, which unidirectional and memoryless models cannot capture. The resulting hybrid physics-data-driven framework provides a reliable surrogate for real-time LIB thermal estimation and can be directly embedded within BMS to enable proactive intervention strategies such as predictive cooling activation, current derating, and early detection of hazardous thermal conditions. By coupling physics-based decomposition with deep sequential learning, this study establishes a validated foundation for next-generation LIB thermal-management platforms and identifies a clear trajectory for future work extending the methodology to module- and pack-level systems suitable for industrial deployment. Full article
(This article belongs to the Section Vehicle Management)
Show Figures

Figure 1

25 pages, 4692 KB  
Article
Hybrid Microgrid Power Management via a CNN–LSTM Centralized Controller Tuned with Imperialist Competitive Algorithm
by Parastou Behgouy and Abbas Ugurenver
Mathematics 2025, 13(24), 4030; https://doi.org/10.3390/math13244030 - 18 Dec 2025
Abstract
Hybrid microgrids struggle to manage electricity due to renewable source, storage, and load demand variability. This paper proposes a centralized controller employing hybrid deep learning and evolutionary optimization to overcome these issues. Solar panels, BESS, EVs, dynamic loads, steady loads, and a switching [...] Read more.
Hybrid microgrids struggle to manage electricity due to renewable source, storage, and load demand variability. This paper proposes a centralized controller employing hybrid deep learning and evolutionary optimization to overcome these issues. Solar panels, BESS, EVs, dynamic loads, steady loads, and a switching main grid make up the hybrid microgrid. To capture spatial and temporal patterns, a centralized controller uses a deep learning model with a CNN–LSTM architecture. The imperialist competitive algorithm (ICA) optimizes neural network hyperparameters for more accurate controller outputs. The controller controls grid switching, voltage source converter power, and EV reference current. R2 values of 0.9602, 0.9512, and 0.9618 show reliable controller output predictions. A typical test case, low sunshine, and no EV or BESS initial charging are validation situations. Its constant power flow, uncertainty management, and adaptability make this controller better than others. Even with intermittent energy and limited storage capacity, the ICA-optimized hybrid deep learning controller stabilized smart-grids. Full article
(This article belongs to the Special Issue Deep Neural Networks: Theory, Algorithms and Applications)
Show Figures

Figure 1

26 pages, 2485 KB  
Article
Beyond Subsidies: Economic Performance of Optimized PV-BESS Configurations in Polish Residential Sector
by Tomasz Wiśniewski and Marcin Pawlak
Energies 2025, 18(24), 6615; https://doi.org/10.3390/en18246615 - 18 Dec 2025
Abstract
This study examines the economic performance of residential photovoltaic systems combined with battery storage (PV-BESS) under Poland’s net-billing regime for a single-family household without subsidy support in 10-year operational horizon. These insights extend existing European evidence by demonstrating how net-billing fundamentally alters investment [...] Read more.
This study examines the economic performance of residential photovoltaic systems combined with battery storage (PV-BESS) under Poland’s net-billing regime for a single-family household without subsidy support in 10-year operational horizon. These insights extend existing European evidence by demonstrating how net-billing fundamentally alters investment incentives. The analysis incorporates real production data from selected locations and realistic household consumption profiles. Results demonstrate that optimal system configuration (6 kWp PV with 15 kWh storage) achieves 64.3% reduction in grid electricity consumption and positive economic performance with NPV of EUR 599, IRR of 5.32%, B/C ratio of 1.124 and discounted payback period of 9.0 years. The optimized system can cover electricity demand in the summer half-year by over 90% and reduce local network stress by shifting surplus solar generation away from midday peaks. Residential PV-BESS systems can achieve economic efficiency in Polish conditions when properly optimized, though marginal profitability requires careful risk assessment regarding component costs, durability and electricity market conditions. For Polish energy policy, the findings indicate that net-billing creates strong incentives for regulatory instruments that promote higher self-consumption, which would enhance the economic role of residential storage. Full article
Show Figures

Figure 1

25 pages, 3260 KB  
Article
Signal-Guided Cooperative Optimization Method for Active Distribution Networks Oriented to Microgrid Clusters
by Zihao Wang, Shuoyu Li, Kai Yu, Wenjing Wei, Guo Lin, Xiqiu Zhou, Yilin Huang and Yuping Huang
Energies 2025, 18(24), 6614; https://doi.org/10.3390/en18246614 - 18 Dec 2025
Abstract
To achieve low-carbon collaborative operation of active distribution networks (ADNs) and microgrid clusters, this paper proposes a signal-guided collaborative optimization method. Firstly, a spatiotemporal carbon intensity equilibrium model (STCIEM) is constructed, overcoming the limitations of centralized carbon emission flow models in terms of [...] Read more.
To achieve low-carbon collaborative operation of active distribution networks (ADNs) and microgrid clusters, this paper proposes a signal-guided collaborative optimization method. Firstly, a spatiotemporal carbon intensity equilibrium model (STCIEM) is constructed, overcoming the limitations of centralized carbon emission flow models in terms of data privacy and equitable distribution, and enabling distributed and precise carbon emission measurement. Secondly, a dual-market mechanism for carbon and electricity is designed to support peer-to-peer (P2P) carbon quota trading between microgrids and ADN-backed clearing, enhancing market liquidity and flexibility. In terms of scheduling strategy optimization, the multi-agent deep deterministic policy gradient (MADDPG) algorithm is incorporated into the carbon-electricity cooperative game framework, enabling differentiated energy scheduling under constraints. Simulation results demonstrate that the proposed method can effectively coordinate the operation of energy storage, gas turbines, and demand response, reduce system carbon intensity, improve market fairness, and enhance overall economic performance and robustness. The study shows that this framework provides theoretical support and practical reference for future distributed energy consumption and carbon neutrality paths. Full article
(This article belongs to the Section B: Energy and Environment)
Show Figures

Figure 1

28 pages, 602 KB  
Review
Nutrient-Induced Remodeling of the Adipose-Cardiac Axis: Metabolic Flexibility, Adipokine Signaling, and Therapeutic Implications for Cardiometabolic Disease
by Nikola Pavlović, Petar Todorović, Mirko Maglica, Marko Kumrić and Joško Božić
Nutrients 2025, 17(24), 3945; https://doi.org/10.3390/nu17243945 - 17 Dec 2025
Viewed by 83
Abstract
Insulin resistance, dyslipidemia, hypertension, and visceral adiposity are the leading causes of the growing worldwide health burden associated with metabolic syndrome, obesity, and cardiovascular diseases (CVDs). Despite the “obesity paradox,” which emphasizes the varied cardiovascular outcomes among obese people, obesity is now acknowledged [...] Read more.
Insulin resistance, dyslipidemia, hypertension, and visceral adiposity are the leading causes of the growing worldwide health burden associated with metabolic syndrome, obesity, and cardiovascular diseases (CVDs). Despite the “obesity paradox,” which emphasizes the varied cardiovascular outcomes among obese people, obesity is now acknowledged as an active contributor to cardiometabolic dysfunction through endocrine, inflammatory, and metabolic pathways. Growing evidence indicates that nutrition is a key determinant of cardiometabolic risk, highlighting the need to understand diet-mediated mechanisms linking adipose tissue to cardiac function. Adipokines, including adiponectin, leptin, TNF-α, and resistin, which regulate systemic inflammation, metabolic homeostasis, and myocardial physiology, are secreted by adipose tissue, which is no longer thought of as passive energy storage. Its heterogeneous phenotypes, white, brown, and beige adipose tissue, exhibit distinct metabolic profiles that influence cardiac energetics and inflammatory status. Nutrient-driven transitions between these phenotypes further underscore the intricate interplay between diet, adipose biology, and cardiac metabolism. Central nutrient-sensing pathways, including mTOR, AMPK, SIRT1, PPAR-γ, and LKB1, integrate macronutrient and micronutrient signals to regulate adipose tissue remodeling and systemic metabolic flexibility. These pathways interact with hormonal mediators such as insulin, leptin, and adiponectin, forming a complex regulatory network that shapes the adipose-cardiac axis. This review synthesises current knowledge on how nutrient inputs modulate adipose tissue phenotypes and signaling pathways to influence cardiac function. By elucidating these mechanisms, we highlight emerging opportunities for precision nutrition and targeted therapeutics to restore metabolic balance, strengthen cardiac resilience, and reduce the burden of cardiometabolic disease. Full article
(This article belongs to the Special Issue Nutrition, Adipose Tissue, and Human Health)
Show Figures

Figure 1

30 pages, 1975 KB  
Review
Thermo-Fluid Dynamics Modelling of Liquid Hydrogen Storage and Transfer Processes
by Lucas M. Claussner, Giordano Emrys Scarponi and Federico Ustolin
Hydrogen 2025, 6(4), 122; https://doi.org/10.3390/hydrogen6040122 - 17 Dec 2025
Viewed by 171
Abstract
The use of liquid hydrogen (LH2) as an energy carrier is gaining traction across sectors such as aerospace, maritime, and large-scale energy storage due to its high gravimetric energy density and low environmental impact. However, the cryogenic nature of LH2 [...] Read more.
The use of liquid hydrogen (LH2) as an energy carrier is gaining traction across sectors such as aerospace, maritime, and large-scale energy storage due to its high gravimetric energy density and low environmental impact. However, the cryogenic nature of LH2, with storage temperatures near 20 K, poses significant thermodynamic and safety challenges. This review consolidates the current state of modelling approaches used to simulate LH2 behaviour during storage and transfer operations, with a focus on improving operational efficiency and safety. The review categorizes the literature into two primary domains: (1) thermodynamic behaviour within storage tanks and (2) multi-phase flow dynamics in storage and transfer systems. Within these domains, it covers a variety of phenomena. Particular attention is given to the role of heat ingress in driving self-pressurization and boil-off gas (BoG) formation, which significantly influence storage performance and safety mechanisms. Eighty-one studies published over six decades were analyzed, encompassing a diverse range of modelling approaches. The reviewed literature revealed significant methodological variety, including general analytical models, lumped-parameter models (0D/1D), empirical and semi-empirical models, computational fluid dynamics (CFD) models (2D/3D), machine learning (ML) and artificial neural network (ANN) models, and numerical multidisciplinary simulation models. The review evaluates the validation status of each model and identifies persistent research gaps. By mapping current modelling efforts and their limitations, this review highlights opportunities for enhancing the accuracy and applicability of LH2 simulations. Improved modelling tools are essential to support the design of inherently safe, reliable, and efficient hydrogen infrastructure in a decarbonized energy landscape. Full article
(This article belongs to the Special Issue Advances in Hydrogen Production, Storage, and Utilization)
Show Figures

Figure 1

18 pages, 559 KB  
Review
Sustainable Postharvest Innovations for Fruits and Vegetables: A Comprehensive Review
by Valeria Rizzo
Foods 2025, 14(24), 4334; https://doi.org/10.3390/foods14244334 - 16 Dec 2025
Viewed by 104
Abstract
The global food industry is undergoing a critical shift toward sustainability, driven by high postharvest losses—reaching up to 40% for fruits and vegetables—and the need to reduce environmental impact. Sustainable postharvest innovations focus on improving quality, extending shelf life, and minimizing waste through [...] Read more.
The global food industry is undergoing a critical shift toward sustainability, driven by high postharvest losses—reaching up to 40% for fruits and vegetables—and the need to reduce environmental impact. Sustainable postharvest innovations focus on improving quality, extending shelf life, and minimizing waste through eco-efficient technologies. Advances in non-thermal and minimal processing, including ultrasound, pulsed electric fields, and edible coatings, support nutrient preservation and food safety while reducing energy consumption. Although integrated postharvest technologies can reduce deterioration and microbial spoilage by 70–92%, significant challenges remain, including global losses of 20–40% and the high implementation costs of certain nanostructured materials. Simultaneously, eco-friendly packaging solutions based on biodegradable biopolymers and bio-composites are replacing petroleum-based plastics and enabling intelligent systems capable of monitoring freshness and detecting spoilage. Energy-efficient storage, smart sensors, and optimized cold-chain logistics further contribute to product integrity across distribution networks. In parallel, the circular bioeconomy promotes the valorization of agro-food by-products through the recovery of bioactive compounds with antioxidant and anti-inflammatory benefits. Together, these integrated strategies represent a promising pathway toward reducing postharvest losses, supporting food security, and building a resilient, environmentally responsible fresh produce system. Full article
Show Figures

Figure 1

25 pages, 2590 KB  
Article
Enhancing Distribution Network Flexibility via Adjustable Carbon Emission Factors and Negative-Carbon Incentive Mechanism
by Hualei Zou, Qiang Xing, Hao Fu, Tengfei Zhang, Yu Chen and Jian Zhu
Processes 2025, 13(12), 4023; https://doi.org/10.3390/pr13124023 - 12 Dec 2025
Viewed by 181
Abstract
With increasing penetration of distributed renewable energy sources (RES) in distribution networks, spatiotemporal mismatches arise between static time-of-use (TOU) pricing and real-time carbon emission factors. This misalignment hinders demand-side flexibility deployment, potentially increasing high-carbon-period consumption and impeding low-carbon operations. To address this, the [...] Read more.
With increasing penetration of distributed renewable energy sources (RES) in distribution networks, spatiotemporal mismatches arise between static time-of-use (TOU) pricing and real-time carbon emission factors. This misalignment hinders demand-side flexibility deployment, potentially increasing high-carbon-period consumption and impeding low-carbon operations. To address this, the paper proposes an adjustable carbon emission factor (ADCEF) which decouples electricity from carbon liability using storage. The strategy leverages energy storage for carbon responsibility time-shifting to build a dynamic ADCEF model, introducing a negative-carbon incentive mechanism which quantifies the value of surplus renewables. A revenue feedback mechanism couples ADCEF with electricity prices, forming dynamic price troughs during high-RES periods to guide flexible resources toward coordinated peak shaving, valley filling, and low-carbon responses. Validated on a modified IEEE 33-bus system across multiple scenarios, the strategy shifts resources to carbon-negative periods, achieving 100% on-site excess RES utilization in high-penetration scenarios and, compared to traditional TOU approaches, a 27.9% emission reduction and 8.3% revenue increase. Full article
Show Figures

Figure 1

32 pages, 3705 KB  
Article
Adaptive Iterative Algorithm for Optimizing the Load Profile of Charging Stations with Restrictions on the State of Charge of the Battery of Mining Dump Trucks
by Nikita V. Martyushev, Boris V. Malozyomov, Vitaliy A. Gladkikh, Anton Y. Demin, Alexander V. Pogrebnoy, Elizaveta E. Kuleshova and Yulia I. Karlina
Mathematics 2025, 13(24), 3964; https://doi.org/10.3390/math13243964 - 12 Dec 2025
Viewed by 125
Abstract
The development of electric quarry transport puts a significant strain on local power grids, leading to sharp peaks in consumption and degradation of power quality. Existing methods of peak smoothing, such as generation control, virtual power plants, or intelligent load management, have limited [...] Read more.
The development of electric quarry transport puts a significant strain on local power grids, leading to sharp peaks in consumption and degradation of power quality. Existing methods of peak smoothing, such as generation control, virtual power plants, or intelligent load management, have limited efficiency under the conditions of stochastic and high-power load profiles of industrial charging stations. A new strategy for direct charge and discharge management of a system for integrated battery energy storage (IBES) is based on dynamic iterative adjustment of load boundaries. The mathematical apparatus of the method includes the formalization of an optimization problem with constraints, which is solved using a nonlinear iterative filter with feedback. The key elements are adaptive algorithms that minimize the network power dispersion functionality (i.e., the variance of Pgridt over the considered time interval) while respecting the constraints on the state of charge (SOC) and battery power. Numerical simulations and experimental studies demonstrate a 15 to 30% reduction in power dispersion compared to traditional constant power control methods. The results confirm the effectiveness of the proposed approach for optimizing energy consumption and increasing the stability of local power grids of quarry enterprises. Full article
Show Figures

Figure 1

19 pages, 21643 KB  
Article
Elucidating the Molecular Network Underpinning Hypoxia Adaptation in the Liver of Silver Carp (Hypophthalmichthys molitrix) via Transcriptome Analysis
by Xiaohui Li, Long Ding, Nannan Feng, Hang Sha, Guiwei Zou and Hongwei Liang
Animals 2025, 15(24), 3577; https://doi.org/10.3390/ani15243577 - 12 Dec 2025
Viewed by 238
Abstract
The fish liver serves as a crucial metabolic organ, integral to detoxification, nutrient storage, and energy regulation, thereby playing a pivotal role in enabling organisms to adapt to environmental fluctuations. The silver carp (Hypophthalmichthys molitrix), an important species in Chinese freshwater [...] Read more.
The fish liver serves as a crucial metabolic organ, integral to detoxification, nutrient storage, and energy regulation, thereby playing a pivotal role in enabling organisms to adapt to environmental fluctuations. The silver carp (Hypophthalmichthys molitrix), an important species in Chinese freshwater aquaculture, demonstrates limited tolerance to hypoxic conditions. Nevertheless, the alterations in gene expression patterns within the liver of silver carp under hypoxic stress are not yet fully elucidated. In this study, we exposed silver carp to hypoxic conditions using a natural oxygen depletion method and utilized RNA sequencing to investigate transcriptional regulation in the liver across varying levels of hypoxic stress. We identified a total of 628 differentially expressed genes (DEGs), with 42 being common across all stress conditions. These DEGs were classified into four groups based on their expression trends and subjected to GO enrichment analysis, which revealed significant enrichment in terms associated with the endoplasmic reticulum, cell proliferation, myofibrils, and sterol metabolic processes. The KEGG enrichment analysis identified nine pathways that were consistently and significantly enriched across all stress levels, six of which encompass the maintenance of cellular homeostasis, metabolic regulation, and immune modulation. The elucidation of the molecular network associated with hypoxia adaptation in the liver of silver carp presented in this study provides crucial theoretical insights into the mechanisms underlying hypoxia tolerance in fish. Full article
(This article belongs to the Special Issue Developmental Genetics of Adaptation in Aquatic Animals)
Show Figures

Figure 1

24 pages, 1426 KB  
Article
Probabilistic Resilience Enhancement of Active Distribution Networks Against Wildfires Using Hybrid Energy Storage Systems
by Muhammad Usman Aslam, Nusrat Subah Binte Shakhawat, Rakibuzzaman Shah and Nima Amjady
Appl. Sci. 2025, 15(24), 13072; https://doi.org/10.3390/app152413072 - 11 Dec 2025
Viewed by 272
Abstract
Wildfires pose significant threats to the resilience of distribution systems. Furthermore, the phenomenon of global warming is further intensifying their contribution to power outages. Thus, enhancing distribution system resilience against wildfires remains an area of active research. This work presents a probabilistic approach [...] Read more.
Wildfires pose significant threats to the resilience of distribution systems. Furthermore, the phenomenon of global warming is further intensifying their contribution to power outages. Thus, enhancing distribution system resilience against wildfires remains an area of active research. This work presents a probabilistic approach to evaluate the spatio-temporal probability of wildfire occurrence using historical Forest Fire Danger Index (FFDI) data, and its impact on distribution lines and distributed energy resources (DERs) in active distribution networks (ADNs). To enhance system resilience, the deployment of hybrid energy storage systems (HESSs) is assessed, and their effectiveness in mitigating wildfire-induced disruptions is quantified. Furthermore, the proposed probabilistic methodology is compared with two deterministic approaches to demonstrate its superior capability in assessing wildfire risk and resilience improvement. The approach is suitable for large-scale geographical applications, providing a practical framework for resilience assessment and HESS-based mitigation planning in ADNs. Full article
Show Figures

Figure 1

31 pages, 5126 KB  
Article
A Stochastic Multi-Objective Optimization Framework for Integrating Renewable Resources and Gravity Energy Storage in Distribution Networks, Incorporating an Enhanced Weighted Average Algorithm and Demand Response
by Ali S. Alghamdi
Sustainability 2025, 17(24), 11108; https://doi.org/10.3390/su172411108 - 11 Dec 2025
Viewed by 156
Abstract
This paper introduces a novel stochastic multi-objective optimization framework for the integration of gravity energy storage (GES) with renewable resources—photovoltaic (PV) and wind turbine (WT)—in distribution networks incorporating demand response (DR), addressing key gaps in uncertainty handling and optimization efficiency. The GES plays [...] Read more.
This paper introduces a novel stochastic multi-objective optimization framework for the integration of gravity energy storage (GES) with renewable resources—photovoltaic (PV) and wind turbine (WT)—in distribution networks incorporating demand response (DR), addressing key gaps in uncertainty handling and optimization efficiency. The GES plays a pivotal role in this framework by contributing to a techno-economic improvement in distribution networks through enhanced flexibility and a more effective utilization of intermittent renewable energy generation and economically viable storage capacity. The proposed multi-objective model aims to minimize energy losses, pollution costs, and investment and operational expenses. A new multi-objective enhanced weighted average algorithm integrated with an elite selection mechanism (MO-EWAA) is proposed to determine the optimal sizing and placement of PV, WT, and GES units. To address uncertainties in renewable generation and load demand, the two-point estimation method (2m + 1 PEM) is employed. Simulation results on a standard 33-bus test system demonstrate that the coordinated use of GES with renewables reduces energy losses and emission costs by 14.55% and 0.21%, respectively, compared to scenarios without storage, and incorporating the DR decreases the different costs. Moreover, incorporating the stochastic model increases the costs of energy losses, pollution, and investment and operation by 6.50%, 2.056%, and 3.94%, respectively, due to uncertainty. The MO-EWAA outperforms conventional MO-WAA and multi-objective particle swarm optimization (MO-PSO) in computational efficiency and solution quality, confirming its effectiveness for stochastic multi-objective optimization in distribution networks. Full article
Show Figures

Figure 1

Back to TopTop